Sign in to use this feature.

Years

Between: -

Subjects

remove_circle_outline
remove_circle_outline
remove_circle_outline
remove_circle_outline
remove_circle_outline

Journals

Article Types

Countries / Regions

Search Results (12)

Search Parameters:
Keywords = slipper pair

Order results
Result details
Results per page
Select all
Export citation of selected articles as:
30 pages, 3701 KB  
Article
Dynamic Prediction Model for Uneven Slipper Wear Under Complex Lubrication Conditions Considering Lubrication–Wear Coupling
by Hu Mo, Shigang Qin, Wei Zhou, Yunan Yang, Penghui Duan and Fu Peng
Lubricants 2025, 13(11), 505; https://doi.org/10.3390/lubricants13110505 - 19 Nov 2025
Viewed by 312
Abstract
It is difficult to experimentally determine the real-time wear coefficient of a slipper pair under complex lubrication conditions. To address this challenge, this study proposes a predictive method for slipper wear, eliminating the need for experimental measurement of the slipper pair’s friction coefficient [...] Read more.
It is difficult to experimentally determine the real-time wear coefficient of a slipper pair under complex lubrication conditions. To address this challenge, this study proposes a predictive method for slipper wear, eliminating the need for experimental measurement of the slipper pair’s friction coefficient under complex lubrication conditions. The force and motion characteristics of the slipper pair are analyzed to determine the non-uniform clearance distribution caused by elastic deformation and micro-motion. Based on the Greenwood–Williamson (G–W) model and Hertzian contact theory, the contact regions and stresses on the slipper bottom are accurately evaluated under mixed lubrication conditions. The Archard wear equation, combined with wear coefficients obtained from dry friction tests, is employed to calculate the instantaneous uneven wear of the slipper. This wear is then incorporated into iterative calculations of non-uniform clearance, forming a dynamic prediction model that captures the coupled relationship between lubrication and wear. The numerically simulated wear profile was compared with previously reported experimental measurements, and the discrepancies between them were analyzed. The results indicate that the proposed model can effectively predict the outer-side bottom wear of the slipper under steady-state operating conditions. Furthermore, the contact and wear behaviors under extreme conditions are investigated, the modeling results show revealing the variations in wear location and contact stress for ideal flat-bottom, low-speed, and high-speed operating states. The proposed model provides theoretical and methodological insights for optimizing the lubrication performance of slipper pairs during the stable wear stage. Full article
Show Figures

Figure 1

14 pages, 1795 KB  
Article
Numerical Simulation Study on the Volumetric Efficiency Loss of CO2 Swash Plate Axial Piston Pumps
by Xiyin Wang and Sanping Zhou
Appl. Sci. 2025, 15(13), 7032; https://doi.org/10.3390/app15137032 - 22 Jun 2025
Viewed by 1083
Abstract
With the aim of addressing the low volumetric efficiency of CO2 swashplate axial piston pumps, the influence of four volumetric losses—loss of the CO2 compression retention volume, leakage volume loss of the port pair, leakage volume loss of the plunger pair, [...] Read more.
With the aim of addressing the low volumetric efficiency of CO2 swashplate axial piston pumps, the influence of four volumetric losses—loss of the CO2 compression retention volume, leakage volume loss of the port pair, leakage volume loss of the plunger pair, and leakage volume loss of the slipper pair—on volumetric efficiency was analyzed using a transient numerical simulation method. The numerical simulation results showed that the real physical property model can accurately describe the compression retention characteristics of CO2 under high-pressure conditions. CO2 compression retention volume loss accounted for 28.6% of the volumetric efficiency and was the main factor causing low volumetric efficiency of the piston pump. Leakage volume losses of the slipper pair, the flow distribution pair, and the plunger pair accounted for about 3.4%, 1.5%, and 0.5% of the volumetric efficiency, respectively. These research results provide a reference for volumetric efficiency loss analyses of piston pumps. Full article
(This article belongs to the Section Mechanical Engineering)
Show Figures

Figure 1

20 pages, 6955 KB  
Article
Numerical Simulation and Experimental Testing of the Strength of the Piston-Returning Spherical Joint Pair in a High-Speed Axial Piston Pump
by Shaonian Li, Fuhao Li, Longtao Yang, Kaifeng Wang and Liting Fu
Processes 2025, 13(2), 417; https://doi.org/10.3390/pr13020417 - 5 Feb 2025
Viewed by 899
Abstract
The piston-returning spherical joint pair in an axial piston pump continuously bears alternating loads generated by conversions between high and low pressure. If its strength fails, then the axial piston pump cannot function normally. Therefore, we performed numerical simulations and laboratory experiments to [...] Read more.
The piston-returning spherical joint pair in an axial piston pump continuously bears alternating loads generated by conversions between high and low pressure. If its strength fails, then the axial piston pump cannot function normally. Therefore, we performed numerical simulations and laboratory experiments to investigate the strength properties of the piston-returning spherical joint pair components of an axial piston pump. The results show that when the piston is in the transition area from oil suction to oil discharge, the maximum deformation and stress of the slipper are located on the inner surface of the slipper spherical socket, and the maximum deformation value is 2.523 μm. When the piston is in the transition area from oil discharge to oil suction, the maximum deformation and stress of the slipper are located at the closing part of the slipper, and the maximum deformation value is 1.959 μm. The maximum deformation of the piston at both positions is located at the bottom of the piston, with values of 11.622 μm and 3.8512 μm, respectively. The maximum stress of the piston is located in the neck of the piston. The deformation at the spherical socket closure of the slipper increases with the increase in the pushing–pulling force, and this relationship is nonlinear. The maximum deformation at the spherical socket closure is smallest for the manganese brass slipper, is larger for the tin bronze slipper, and is largest for the ordinary brass slipper. The maximum deformation at the spherical socket closure of the slipper obtained by the strength test is greater than the simulation result. These research conclusions can serve as a reference for the design of piston-returning spherical joint pairs in axial piston pumps. Full article
(This article belongs to the Section Energy Systems)
Show Figures

Figure 1

17 pages, 5260 KB  
Article
Lubrication, Friction and Wear Characteristics of Textured Surface Slipper Pairs in Axial Piston Pumps
by Bin Bian, Zhiqiang Zhang, Lin Li, Qun Chao, Hao Yuan and Zhiqi Liu
Lubricants 2024, 12(11), 370; https://doi.org/10.3390/lubricants12110370 - 25 Oct 2024
Cited by 7 | Viewed by 2024
Abstract
The study investigates the impact of textured surface parameters and pump operating parameters on the friction performance of slipper pairs in axial piston pumps. The orthogonal experimental scheme was developed, and the influence of several factors was explored, such as rotational speed, area [...] Read more.
The study investigates the impact of textured surface parameters and pump operating parameters on the friction performance of slipper pairs in axial piston pumps. The orthogonal experimental scheme was developed, and the influence of several factors was explored, such as rotational speed, area ratio, micro-pit shape, diameter, depth-to-diameter ratio and film thickness. Optimal dimension combinations of the micro-pit were identified by numerical simulation and standard pin–disk friction experiment. In the pin–disk friction pair test, the friction coefficient of the textured surface compared to the smooth surface showed a maximum average friction reduction rate of 26.974%. Under various pump pressures (4, 8, 12 MPa) and pump displacements (10, 20, 35 L/min), the friction reduction rates of the textured surface slipper pairs (texture diameter 500 µm, depth 250 µm, area ratio 20%) ranged from 0.78% to 18.13%. The study underscores the importance of surface texture in enhancing the operational efficiency and reliability of axial piston pumps, offering valuable insights for the design and maintenance of hydraulic pumps. Full article
Show Figures

Figure 1

17 pages, 9819 KB  
Article
Study on the Lubricating Characteristics of the Oil Film of the Slipper Pair in a Large Displacement Piston Pump
by Liping Xu, Jiaheng Chen, Donglin Li, Liang Zhang, Yaowei Jia, Fuhang Guo and Jian Li
Lubricants 2023, 11(12), 521; https://doi.org/10.3390/lubricants11120521 - 8 Dec 2023
Cited by 4 | Viewed by 2507
Abstract
Due to the large size of the bottom surface, the slipper pair of the large displacement piston pump (LDPP) will form a larger linear speed difference in the inner and outer positions of the slipper relative to the center of the swash plate [...] Read more.
Due to the large size of the bottom surface, the slipper pair of the large displacement piston pump (LDPP) will form a larger linear speed difference in the inner and outer positions of the slipper relative to the center of the swash plate during high-speed rotation. It is more likely to lead to the slipper overturning, which makes the slipper partially worn. To make improvements, the comprehensive performance of the slipper pair of the LDPP, the motion law of the slipper pair of the LDPP was explored. Firstly, a mathematical model of the oil film thickness of the slipper pair of the LDPP under the state of residual compression force is established, based on the consideration of the linear velocity difference formed by the high-speed rotation of the large bottom surface slipper and the theory of dynamics and thermodynamics. Secondly, the impact of rotational speed, piston chamber pressure and oil temperature on the oil film thickness of the slipper pair was simulated and analyzed. Finally, to measure the oil film thickness of the slipper pair, oil film thickness measuring equipment was created, and the accuracy of the mathematical model was verified. The study revealed the changing rules of the oil film thickness and tilt angle of the bottom surface of the slipper pair under various working conditions. The consistency of the simulation and test findings demonstrates that the mathematical model can accurately describe influencing elements and changing rules of the LDPP slipper pair’s oil film lubrication characteristics. Full article
Show Figures

Figure 1

14 pages, 3226 KB  
Article
Thermo-Hydrodynamic Lubrication Analysis of Slipper Pair Considering Wear Profile
by Hu Mo, Yanping Hu and Song Quan
Lubricants 2023, 11(5), 190; https://doi.org/10.3390/lubricants11050190 - 25 Apr 2023
Cited by 15 | Viewed by 2123
Abstract
The profile of sealing land is a sensitive factor affecting the thermo-hydrodynamic lubrication characteristics of the slipper pair. In this paper, the non-uniform wear of the running surface under the slipper was presented and defined as the boundary condition. Based on the finite [...] Read more.
The profile of sealing land is a sensitive factor affecting the thermo-hydrodynamic lubrication characteristics of the slipper pair. In this paper, the non-uniform wear of the running surface under the slipper was presented and defined as the boundary condition. Based on the finite volume method and the successive over-relaxation iteration method, a discrete numerical model coupled with the temperature, pressure, and thickness of the oil film was constructed. The Newton and sequential circulation methods were used to solve the coupling equations. The influence of the wear profile on the film thickness, sliding attitude, and leakage were discussed. The analyzed results show that the control of the wear on the outer side of sealing land and the contour vertex position, and the avoidance of the wear on the inner side of sealing land could improve the thermo-hydrodynamic lubrication performance of the slipper pair. Full article
Show Figures

Figure 1

19 pages, 6951 KB  
Article
Impact Analysis of Worn Surface Morphology on Adaptive Friction Characteristics of the Slipper Pair in Hydraulic Pump
by Siyuan Liu, Chunsong Yu, Chao Ai, Weizhe Zhang, Ziang Li, Yongqiang Zhang and Wanlu Jiang
Micromachines 2023, 14(3), 682; https://doi.org/10.3390/mi14030682 - 19 Mar 2023
Cited by 5 | Viewed by 2524
Abstract
The hydrostatic bearing slipper pair of the hydraulic pump has a unique adaptive friction characteristic, which has a better friction reduction and anti-wear ability than the general sliding friction pair, and also has a certain recovery effect on the performance degradation caused by [...] Read more.
The hydrostatic bearing slipper pair of the hydraulic pump has a unique adaptive friction characteristic, which has a better friction reduction and anti-wear ability than the general sliding friction pair, and also has a certain recovery effect on the performance degradation caused by the early wear of the slipper. This paper attempts to reveal the friction adaptive mechanism. Based on the fractal theory, two fractal parameters of fractal dimension and scale coefficient are used to characterize the surface morphology of the slipper mathematically, and the adaptive friction mechanism model is established by combining the friction coefficient equation. The effects of different fractal parameters on the friction coefficient and other performance parameters of slipper pairs are obtained by means of the numerical analysis method. The wear test was carried out by replacing specimens at different intervals to observe the worn surface morphology and the degradation process of the slipper to verify the correctness of the theoretical results. The results show that the friction performance and load-bearing capabilities of the slipper can be recovered to a certain extent within a short period when early wear occurs, and its surface performance shows the variation characteristics of deterioration-repair-re-deterioration-re-repair. Full article
Show Figures

Figure 1

16 pages, 7881 KB  
Article
Effect of Composite Bionic Micro-Texture on Bearing Lubrication and Cavitation Characteristics of Slipper Pair
by Yingna Liang, Cunyuan Wang, Wei Wang, Hao Xing, Zhepeng Zhang and Dianrong Gao
J. Mar. Sci. Eng. 2023, 11(3), 582; https://doi.org/10.3390/jmse11030582 - 9 Mar 2023
Cited by 13 | Viewed by 2014
Abstract
The slipper pair is the crucial friction pair of the seawater axial piston pump. Taking seawater as the working medium will inevitably affect the bearing performance of the slipper pair. In this paper, a seawater axial piston pump slipper pair model with a [...] Read more.
The slipper pair is the crucial friction pair of the seawater axial piston pump. Taking seawater as the working medium will inevitably affect the bearing performance of the slipper pair. In this paper, a seawater axial piston pump slipper pair model with a composite bionic micro-texture of the first-stage circular pit and the second-stage circular ball is established. Using the CFD simulation method, 18 groups of orthogonal tests are designed to explore the effects of seven test factors, such as rotational speed, first-stage diameter, first-stage aspect ratio, second-stage diameter, second-stage aspect ratio, area ratio, and distribution angle, on the bearing characteristics of the water film of the slipper pair. Study whether cavitation can further improve the bearing characteristics of the water film. The research shows that there is a vortex behind the circular pit, and there is a pressure difference in the calculation domain of the water film. The existence of the pressure difference causes the bearing force of the water film surface to increase. The cavitation phenomenon mainly occurs at the divergent wedge behind the circular pit. Among them, the total pressure bearing force of the 5th test group increased by 90% after introducing cavitation effect, and the total pressure bearing force of the 17th test group increased by about 86% compared with other test groups at the same speed. The order of the test factors affecting the water film bearing features is: A (rotational speed) > C (first-stage aspect ratio) > B (first-stage diameter) > E (second-stage aspect ratio) > F (area ratio) > D (second-stage diameter) > G (distribution angle). The optimal model is A6B2C1D3E3F2G3. Full article
Show Figures

Figure 1

17 pages, 16399 KB  
Article
Simulation Study on Bearing Lubrication Mechanism and Friction Characteristics of the Biomimetic Non-Smooth Surface of a Cross-Scale, Second-Order Compound Microstructure
by Yingna Liang, Cunyuan Wang, Zongyi Zhang, Zhepeng Zhang, Wei Wang, Hao Xing, Tianyuan Guan and Dianrong Gao
Lubricants 2023, 11(2), 77; https://doi.org/10.3390/lubricants11020077 - 11 Feb 2023
Cited by 11 | Viewed by 2447
Abstract
The reasonable design of biomimetic non-smooth surfaces is a novel and effective way to solve problems such as the poor lubricity and serious friction and wear of friction pairs of seawater axial piston pumps. Inspired by cross-scale, second-order compound microstructures on the surfaces [...] Read more.
The reasonable design of biomimetic non-smooth surfaces is a novel and effective way to solve problems such as the poor lubricity and serious friction and wear of friction pairs of seawater axial piston pumps. Inspired by cross-scale, second-order compound microstructures on the surfaces of some living organisms, a hydrodynamic lubrication model of a slipper pair with a surface featuring spherical pits containing spherical convex hulls was built. This study analyzed the bearing lubrication mechanism and friction characteristics of cross-scale, second-order compound microstructure from the microflow perspective via the CFD method and optimized the working and geometric parameters using a hybrid orthogonal test scheme. The study’s results show that the cross-scale, second-order compound microstructure can produce a superimposed hydrodynamic pressure effect to improve the bearing capacity of the lubrication film of a slipper pair, reducing the friction coefficient. The orders of factors (the working parameter and geometric parameters) under multiple indices (the total pressure-bearing capacity and the friction coefficient) were found. The optimal combination is a spherical pit with a first order diameter of 0.7 mm, a first order depth-to-diameter ratio of 0.1, an area rate of 20%, an arrangement angle of α/3 and a spherical convex hull with a second order diameter of 0.13 mm, and a second order depth-to-diameter ratio of 0.3. Compared to a smooth surface and a first-order, non-smooth microstructure, the cross-scale, second-order compound microstructure has an 11.0% and 8.9% higher total pressure-bearing capacity, respectively, and the friction coefficient decreased by 9.5% and 5.4%, respectively. Full article
(This article belongs to the Topic Advanced Manufacturing and Surface Technology)
Show Figures

Figure 1

17 pages, 3531 KB  
Article
Study on Friction Characteristics of Slipper Pair of Large Displacement High-Pressure Piston Pump
by Zekui Li, Shunhai Xu, Guofang Gong, Yankun Bi, Liping Xu, Liang Zhang and Zhen Ren
Lubricants 2022, 10(12), 363; https://doi.org/10.3390/lubricants10120363 - 15 Dec 2022
Cited by 7 | Viewed by 2538
Abstract
The reference value of the oil film thickness and friction coefficient of the slipper pair is critical to the development of the piston pump, especially for 750 mL/r displacement piston pumps. To explore the computing method and range of the reference value mentioned [...] Read more.
The reference value of the oil film thickness and friction coefficient of the slipper pair is critical to the development of the piston pump, especially for 750 mL/r displacement piston pumps. To explore the computing method and range of the reference value mentioned applicable to 750 mL/r displacement piston pumps, this study aims to propose the modified calculation model of the oil film thickness based on the real clearance flowrate and obtain the value range of the friction coefficient of the slipper pair. Through the friction test of the slipper pair, the mean deviation ratio of the oil film thickness between the modified value, theoretical value, and the measured value was calculated and compared, respectively. The variation law of the friction under the influence of different speeds and working pressures was analyzed. Finally, the range of the equivalent friction coefficient with the upper and lower limit surfaces was obtained. The results show that the mean deviation ratio between the modified oil film thickness value and the measured value is mainly within 6%, while that of the theoretical method is mainly from 6% to 8%, and the mean of the difference between the two deviation ratios is about 3%, verifying the feasibility of the modified model used for the calculation of the reference value. Meanwhile, the value of the equivalent friction coefficient fluctuates in the range of 0.006–0.018, which is affected more significantly by the working pressure than the speed, suggesting that the working pressure can be given priority as the design basis of the friction coefficient for 750 mL/r displacement piston pumps. Full article
Show Figures

Figure 1

13 pages, 3339 KB  
Article
Towards Customized Footwear with Improved Comfort
by Rafaela Teixeira, Carlos Coelho, João Oliveira, Joana Gomes, Vera Vaz Pinto, Maria José Ferreira, João Miguel Nóbrega, Alexandre Ferreira da Silva and Olga Sousa Carneiro
Materials 2021, 14(7), 1738; https://doi.org/10.3390/ma14071738 - 1 Apr 2021
Cited by 18 | Viewed by 115953
Abstract
A methodology enabling the customization of shoes for comfort improvement is proposed and assessed. For this aim, 3D printed graded density inserts were placed in one of the critical plantar pressure zones of conventional insoles, the heel. A semi-automated routine was developed to [...] Read more.
A methodology enabling the customization of shoes for comfort improvement is proposed and assessed. For this aim, 3D printed graded density inserts were placed in one of the critical plantar pressure zones of conventional insoles, the heel. A semi-automated routine was developed to design the 3D inserts ready for printing, which comprises three main stages: (i) the definition of the number of areas with different mesh density, (ii) the generation of 2D components with continuous graded mesh density, and (iii) the generation of a 3D component having the same 2D base mesh. The adequacy of the mesh densities used in the inserts was previously assessed through compression tests, using uniform mesh density samples. Slippers with different pairs of inserts embedded in their insoles were mechanically characterized, and their comfort was qualitatively assessed by a panel of users. All users found a particular pair, or a set, of prototype slippers more comfortable than the original ones, taken as reference, but their preferences were not consensual. This emphasizes the need for shoe customization, and the usefulness of the proposed methodology to achieve such a goal. Full article
Show Figures

Graphical abstract

18 pages, 22953 KB  
Article
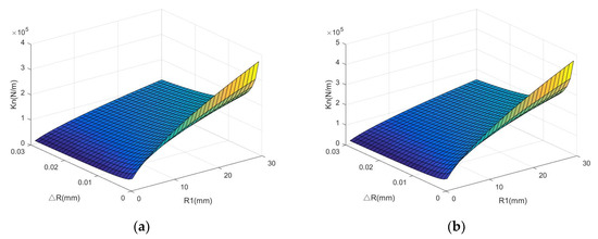
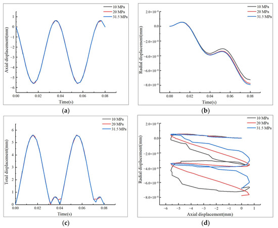
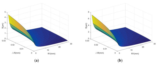
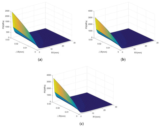
Dynamic Contact Analysis of the Piston and Slipper Pair in Axial Piston Pump
by Hui Shen, Zhuxin Zhou, Dong Guan, Zhongtao Liu, Li Jing and Chun Zhang
Coatings 2020, 10(12), 1217; https://doi.org/10.3390/coatings10121217 - 13 Dec 2020
Cited by 11 | Viewed by 5966
Abstract
The dynamic analysis model of axial piston pump was established; both the kinematics and dynamics simulation analysis were conducted by virtual prototyping approach. The displacement, velocity, acceleration and stress curves of the piston under different working conditions were investigated. In addition, a ball-in-socket [...] Read more.
The dynamic analysis model of axial piston pump was established; both the kinematics and dynamics simulation analysis were conducted by virtual prototyping approach. The displacement, velocity, acceleration and stress curves of the piston under different working conditions were investigated. In addition, a ball-in-socket contact model was established, and the effects of hydraulic pressure, piston radius and radial clearance on normal displacement, contact radius, maximum contact pressure, normal contact stiffness and tangential contact stiffness were analyzed comprehensively. The results indicate that the normal displacement, maximum contact pressure, contact radius, normal contact stiffness and tangential contact stiffness can be improved by enlarging the piston radius and decreasing the radial clearance. Full article
Show Figures

Figure 1

Back to TopTop