Impact Analysis of Worn Surface Morphology on Adaptive Friction Characteristics of the Slipper Pair in Hydraulic Pump
Abstract
:1. Introduction
2. Models and Test Methods
2.1. Adaptive Friction Characteristic
2.2. Model Establishment
2.3. Experimental Conditions and Methods
- (1)
- Stop the experiment after the first experiment has reached the given wear time, replace the test sample and extend the wear time for a second experiment, and so on.
- (2)
- The surface morphology of the slipper is collected at the end of each experiment. The fractal parameters are calculated for each lower sample and averaged to obtain the variation pattern of the fractal parameters throughout the early wear stage.
- (3)
- During the experiment, the friction coefficient signal is collected in real-time by the test platform’s sensor with a sampling frequency of 10, and the friction coefficient is observed to change.
3. Results
3.1. Numerical Simulation
3.1.1. Parameter Settings
3.1.2. Analysis of Simulation Results
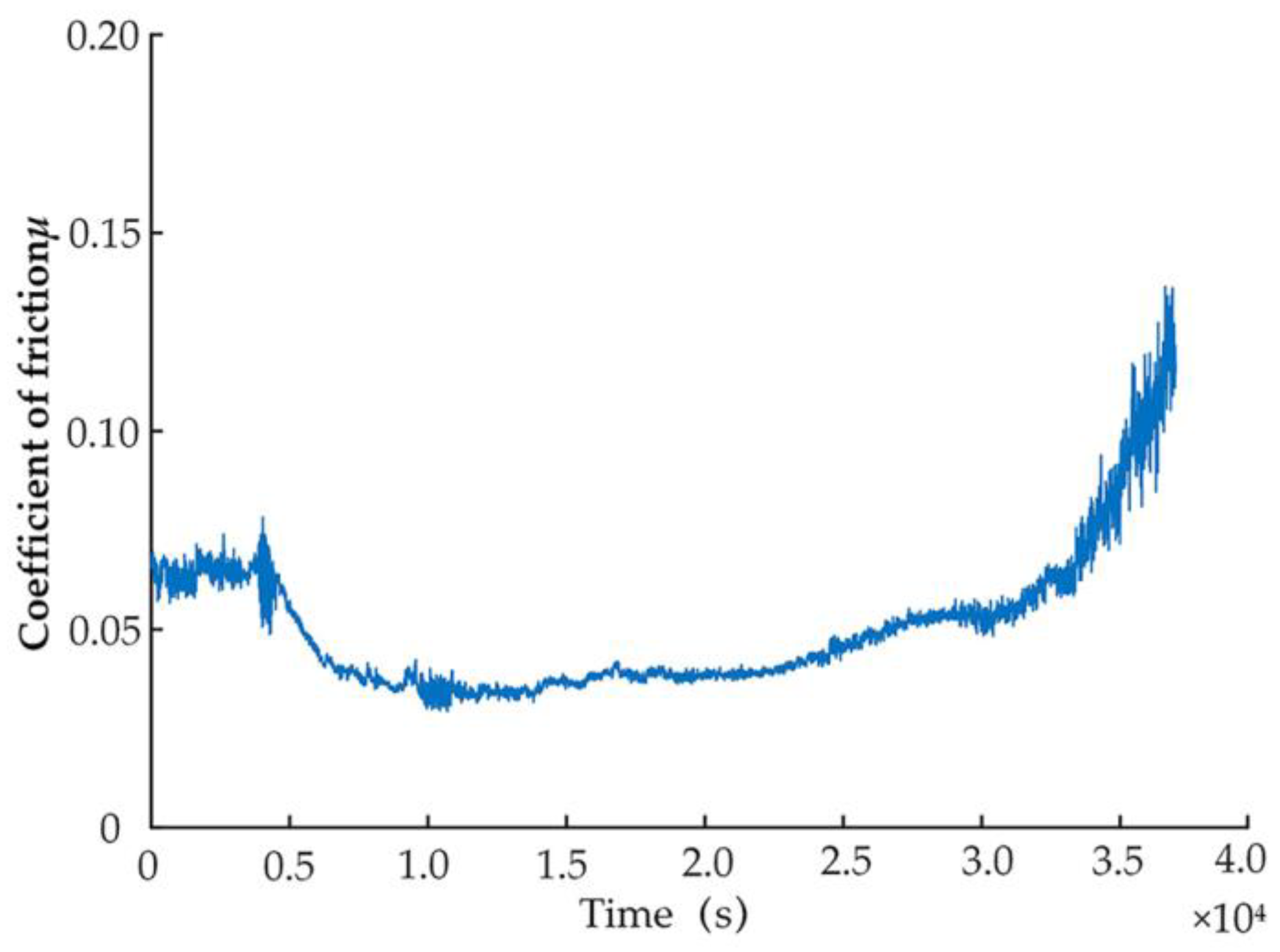
3.2. Analysis of Experimental Results
4. Discussion
5. Conclusions
- (1)
- Based on the fractal theory, the mathematical mapping relationship between oil film thickness and surface morphology fractal characterization parameters is derived, and the adaptive friction mechanism model of the slipper pair is established by combining the oil film stiffness equation, the friction coefficient equation, and the residual pressing force equation.
- (2)
- The numerical solution of the model reveals that when early wear occurs, the load-carrying coefficient becomes smaller, and the friction coefficient and oil film stiffness become more extensive, resulting in poorer load-carrying performance and tribological properties, which can be restored after adaptive adjustment of the slipper pair, and the load-carrying performance and tribological properties of the slipper pair will gradually become better as the fractal dimension becomes more extensive and the scale coefficient becomes smaller.
- (3)
- The correctness of the simulation results has been verified through experiments. The surface morphology and tribological properties of the slipper pair in the early wear phase show a cyclic change process of deterioration-repair-deterioration-repair, and the frictional properties become better when the fractal dimension becomes more extensive, and the scale coefficient decreases.
Author Contributions
Funding
Conflicts of Interest
Nomenclature
| pd | the oil supply pressure (MPa) |
| p0 | the pressure of the central oil chamber (MPa) |
| Q | the leakage flow (m3/s) |
| h | the oil film thickness (μm) |
| R1 | the inner edge radius of the sealing bar (m) |
| R2 | the outer edge radius of the sealing bar (m) |
| FN | the pressing force (N) |
| F0 | the supporting force (N) |
| F | the axial thrust (N) |
| Ff | the plunger friction force (N) |
| Fa | the inertial force (N) |
| FT | the radial force (N) |
| ΔF | the residual pressing force (N) |
| Z(x) | the surface profile height |
| x | the surface profile displacement coordinate |
| d | the fractal dimension |
| n | the frequency index |
| G | the scale coefficient |
| L | the sampling length |
| γn | the spatial frequency of the contour curve |
| λr | the cutoff wavelength |
| Rq | the root mean square roughness |
| Zmax | the maximum value of the two-dimensional profile |
| hn | the average surface topography height of the slipper and the gap of the swashplate surface (m) |
| Ra | the average deviation of the contour arithmetic |
| δ | the top deformation of asperity |
| a | the contact area of the asperity |
| Δh | the height outside the asperity oil film |
| aR | the contact area of a single asperity |
| n(a) | the area distribution of the asperity |
| AR | the total actual contact area |
| dz | the plunger diameter |
| θ | the swash plate dip angle |
| μ | the friction coefficient |
| a1 | the liquid friction influence coefficient |
| a2 | the dry friction influence coefficient |
| a3 | the friction coefficient attenuation index |
| m | the slipper quality (g) |
| J | the oil film stiffness (Pa·s) |
| KJ | the damping parameter of the slipper pair |
| r0 | the orifice radius of fixed damping (m) |
| l | the orifice length of fixed damping (m) |
References
- Tang, H.H.; Ren, Y.; Xiang, J.W. Fully-coupled thermomechanical analysis for sliding contact between textured slipper and swashplate in axial piston pump. Int. J. Heat Mass Transf. 2020, 163, 120521. [Google Scholar] [CrossRef]
- Gang, L.; Huang, G.; Yuan, H.; Xia, S.; Tan, W. Analysis and optimisation of impact wear of diesel engine needle valve assembly. Int. J. Hydromechatronics 2022, 5, 80–91. [Google Scholar] [CrossRef]
- Danes, L.; Vacca, A. A frequency domain-based study for fluid-borne noise reduction in hydraulic system with simple passive elements. Int. J. Hydromechatronics 2021, 4, 203–229. [Google Scholar] [CrossRef]
- Nie, S.L.; Guo, M.; Yin, F.L.; Ji, H.; Ma, Z.H.; Hu, Z.; Zhou, X. Research on fluid-structure interaction for piston/cylinder tribopair of seawater hydraulic axial piston pump in deep-sea environment. J. Ocean Eng. 2021, 219, 108222. [Google Scholar] [CrossRef]
- Wang, Y.J. Study on performance of the slipper bearing in hydraulic axial piston pump in high-pressure and high-speed. Ph.D. Thesis, Beijing Institute of Technology, Beijing, China, June 2014. [Google Scholar]
- Wang, H.J.; Shi, G.L. Lubrication characteristics of the worn slipper in the slipper-swashplate pair. Ind. Lubr. Tribol. 2021, 73, 1037–1044. [Google Scholar] [CrossRef]
- Stosiak, M.; Karpenko, M.; Deptuła, A.; Urbanowicz, K.; Skačkauskas, P.; Cieślicki, R.; Deptuła, A.M. Modelling and Experimental Verification of the Interaction in a Hydraulic Directional Control Valve Spool Pair. Appl. Sci. 2023, 13, 458. [Google Scholar] [CrossRef]
- Taylor, R.I.; Sherrington, I. A Simplified Approach to the Prediction of Mixed and Boundary Friction. Tribol. Int. 2022, 175, 107836. [Google Scholar] [CrossRef]
- Rizzo, G.; Bonanno, A.; Massarotti, G.P.; Pastorello, L.; RaimondoA, M.; Veronesi, F.; Blosi, M. Energy efficiency improvement by the application of nanostructured coatings on axial piston pump slippers. In Proceedings of the 10th International Fluid Power Conference (10. IFK), Dresden, Germany, 8–10 March 2016; pp. 313–328. [Google Scholar]
- Gaston, H.; Wang, D. Analysis of Damage and Failure mechanism under a lubricated slipper/swashplate interface in Axial Piston Machines. Sci. Direct 2022, 35, 124–131. [Google Scholar] [CrossRef]
- Gaston, H.; Wei, X.F.; Li, F.Y.; Andrews, L.; Wang, D.Y. Heat effects modelling on the efficiency loss of the lubricating interface between piston and cylinder in axial piston pumps. Tribol. Int. 2022, 175, 107846. [Google Scholar] [CrossRef]
- Sohil, H.; Hendrik, F.; Lars, B.; Drik, B. Validation of a thermal eleuthero dynamic multibody dynamics model of the slipper pad by friction force measurement in the axial piston pump. Tribol. Int. 2017, 115, 319–337. [Google Scholar] [CrossRef]
- Canbulut, F.; Sinanoglu, C.; Koc, E. Experimental analysis of frictional power loss of hydrostatic slipper bearings. Ind. Lubr. Tribol. 2009, 61, 123–131. [Google Scholar] [CrossRef]
- Ibatan, A.; Uddin, M.S.; Chowdhury, M.A. Recent development on surface texturing in enhancing tribological performance of bearing sliders. Surf. Coat. Technol. 2015, 272, 102–120. [Google Scholar] [CrossRef]
- Darbani, A.; Shang, L.Z.; Beale, J.; Ivantysynova, M. Slipper surface geometry optimization of the slipper/swashplate interface of swashplate-type axial piston machines. Int. J. Fluid Power 2019, 20, 245–270. [Google Scholar] [CrossRef]
- Kou, B.F.; Li, Z.S.; Zhang, Z.; Huo, P.L. Study on Friction and Wear Performance of the slipper pair in Axial Piston Pump. Mach. Tool Hydraul. 2020, 50, 7–12. [Google Scholar] [CrossRef]
- Wu, D.F.; Li, B.; Chen, J.Y.; Liu, Y.S.; Li, Z.Y. Study on the tribological characteristics of the slipper/ swash plate pair of ultra-high seawater pump lubricated by water. Chin. Hydraul. Pneum. 2010, 9, 65–67. [Google Scholar] [CrossRef]
- Zhang, D.Y.; Sun, X.Z.; Gao, F. Effect of Texture Parameters on Tribological Performance of the slipper Surface in Hydraulic Motor. Surf. Technol. 2019, 48, 230–236. [Google Scholar] [CrossRef]
- Ana, H.; Susana, L.; Paulo, D. 3-D reconstruction by extended depth-of-field in tribological analysis: Fractal approach of sliding surface in Polyamide66 with glass fiber reinforcement. Poilmer Test. 2019, 73, 178–185. [Google Scholar] [CrossRef]
- Zhou, X.; Chen, Z.; Gu, C.H.; Wang, J.H. Thermo-mechanical coupling analysis of the end faces for a mechanical seal under dry friction. Tribology 2019, 39, 738–744. [Google Scholar] [CrossRef]
- Dorian, A.; Hanaor, H.; Gan, Y.X.; Ital, E. Static friction at fractal interfaces. Tribol. Int. 2016, 93, 229–238. [Google Scholar] [CrossRef]
- Shi, M.J.; Wang, J.M.; Hou, D.B.; Ning, K. Friction Factor Prediction and Surface Technology Optimization of Wind Power Flange. China Surf. Eng. 2021, 34, 198–204. [Google Scholar] [CrossRef]
- Li, Z.Y. Hydraulic Components and Systems; China Machine Press: Beijing, China, 2011. [Google Scholar]
- Shi, H.J.; Wu, G.J.; Chu, Q.Z.; Chen, S.Y. A new testing method of wear online. Coal Mine Mach. 2004, 8, 117–118. [Google Scholar] [CrossRef]
- Liu, Y.; Wang, Y.S.; Chen, X.; Zhang, C.H.; Tan, Y.Y. Two-stage method for fractal dimension calculation of the mechanical equipment rough surface profile based on fractal theory. Fractals 2017, 104, 495–502. [Google Scholar] [CrossRef]
- Zhu, H.; Lu, B.B.; Li, J.Q. Nonlinear theory and methods of researching tribological problems. J. Mech. Eng. 2010, 46, 82–88. [Google Scholar] [CrossRef]
- Shen, F.; Li, Y.H.; Ke, L.L. On the size distribution of truncation areas for fractal surfaces. Int. J. Mech. Sci. 2023, 237, 107789. [Google Scholar] [CrossRef]
- Ma, Y.B. Research on Fractal Contact Strength of Tooth Surface Considering the Influence of Friction and Lubrication. Master’s Thesis, Hefei University of Technology, Hefei, China, June 2014. [Google Scholar]
- Xun, Y.Q. Study on the Friction and Wear Characteristics of Rough Surface Based on Fractal Character. Master’s Thesis, Northeastern University, Shenyang, China, June 2013. [Google Scholar]
- Fang, G.F.; Liu, Q.H.; Wei, L. Effects of Working Parameters on Contact Characteristics Between End Faces for Contacting Mechanical Seals. Chin. Hydraul. Pneum. 2021, 1, 105–110. [Google Scholar] [CrossRef]
- Sun, H.M.; Liu, J.X.; Yang, M.X.; Liu, S.Y. Analysis of Film Lubrication Properties for Swash Plate Pump Slipper in the Process of Intensely Wear Working Condition. Chin. Hydraul. Pneum. 2017, 2, 5–9. [Google Scholar] [CrossRef]
- Liu, J.X. Study on Oil Film Bearing Characteristics for Hydraulic Pump Slipper Pair in Wear Stage. Master’s Thesis, Yanshan University, Qinhuangdao, China, June 2018. [Google Scholar]
- Zhou, G.Z. The Effects of Film Thickness, Sliding Speed and Coatings on Friction Coefficient of Metal Sheet Forming. Master’s Thesis, Shanghai Jiaotong University, Shanghai, China, June 2016. [Google Scholar]
- Wang, Y.P.; Chen, X.Y.; Cao, H.W.; Song, B.; Li, J. Simulation on Lubrication Characteristic for a Piston Pump Based on Dynamic Pressure Effect. Chin. Hydraul. Pneum. 2020, 12, 132–142. [Google Scholar] [CrossRef]
- Wang, C. Dynamic Characteristics Analysis of Axial Piston Pump Slipper Pair with Wear Fault. Master’s Thesis, Yanshan University, Qinhuangdao, China, May 2017. [Google Scholar]
- Liu, S.Y.; Zhang, Y.Q.; Ai, C.; Ge, Y.; Li, Z.A.; Zhu, Y.; Hao, M. A new test method for simulating wear failure of hydraulic pump slipper pair under high-speed and high-pressure conditions. Front. Energy Res. 2020, 10, 1096633. [Google Scholar] [CrossRef]



















| Time Segment Time Point | Time/s | Time Segment Time Point | Time/s |
|---|---|---|---|
| 1 2 3 4 | 22,000 22,500 23,000 23,500 | 5 6 7 8 | 24,000 24,500 25,000 25,500 |
| Parameter of Structure | The Numerical | Parameter of Structure | The Numerical |
|---|---|---|---|
| The slipper quality Inner edge radius Outer edge radius Plunger diameter | 50 g 0.009 m 0.016 m 0.023 m | Viscosity of oil Damping hole radius Damping hole length cos θ | 0.026 Pa·s 0.001 m 0.12 m 0.66 |
| Parameter | The Numerical | Parameter | The Numerical |
|---|---|---|---|
| Fractal dimension Scale coefficient | 1.60 0.0025 | Coefficient of bearing Oil film thickness | 0.83 7.23 μm |
| Fractal Parameter | Numerical Size | ||||
|---|---|---|---|---|---|
| Fractal dimension Scale coefficient | 1.55 0.0044 | 1.50 0.0074 | 1.45 0.0122 | 1.40 0.0191 | 1.35 0.0217 |
Disclaimer/Publisher’s Note: The statements, opinions and data contained in all publications are solely those of the individual author(s) and contributor(s) and not of MDPI and/or the editor(s). MDPI and/or the editor(s) disclaim responsibility for any injury to people or property resulting from any ideas, methods, instructions or products referred to in the content. |
© 2023 by the authors. Licensee MDPI, Basel, Switzerland. This article is an open access article distributed under the terms and conditions of the Creative Commons Attribution (CC BY) license (https://creativecommons.org/licenses/by/4.0/).
Share and Cite
Liu, S.; Yu, C.; Ai, C.; Zhang, W.; Li, Z.; Zhang, Y.; Jiang, W. Impact Analysis of Worn Surface Morphology on Adaptive Friction Characteristics of the Slipper Pair in Hydraulic Pump. Micromachines 2023, 14, 682. https://doi.org/10.3390/mi14030682
Liu S, Yu C, Ai C, Zhang W, Li Z, Zhang Y, Jiang W. Impact Analysis of Worn Surface Morphology on Adaptive Friction Characteristics of the Slipper Pair in Hydraulic Pump. Micromachines. 2023; 14(3):682. https://doi.org/10.3390/mi14030682
Chicago/Turabian StyleLiu, Siyuan, Chunsong Yu, Chao Ai, Weizhe Zhang, Ziang Li, Yongqiang Zhang, and Wanlu Jiang. 2023. "Impact Analysis of Worn Surface Morphology on Adaptive Friction Characteristics of the Slipper Pair in Hydraulic Pump" Micromachines 14, no. 3: 682. https://doi.org/10.3390/mi14030682
APA StyleLiu, S., Yu, C., Ai, C., Zhang, W., Li, Z., Zhang, Y., & Jiang, W. (2023). Impact Analysis of Worn Surface Morphology on Adaptive Friction Characteristics of the Slipper Pair in Hydraulic Pump. Micromachines, 14(3), 682. https://doi.org/10.3390/mi14030682
