Sign in to use this feature.

Years

Between: -

Subjects

remove_circle_outline
remove_circle_outline
remove_circle_outline
remove_circle_outline
remove_circle_outline
remove_circle_outline
remove_circle_outline
remove_circle_outline
remove_circle_outline

Journals

Article Types

Countries / Regions

Search Results (54)

Search Parameters:
Keywords = slicing mining

Order results
Result details
Results per page
Select all
Export citation of selected articles as:
27 pages, 29264 KB  
Article
Method and Application of Full-Space Deformation Monitoring of Surrounding Rock in Coal Mine Roadway Based on Mobile Three-Dimensional Laser Scanning
by Chao Gao, Dexing He and Xinqiu Fang
Appl. Sci. 2026, 16(7), 3156; https://doi.org/10.3390/app16073156 (registering DOI) - 25 Mar 2026
Abstract
Deformation monitoring of roadway surrounding rock is the key link to ensure the safety production of the coal mine. The traditional monitoring method can only obtain the displacement information of discrete measuring points, and it is difficult to fully reflect the spatial distribution [...] Read more.
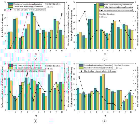
Deformation monitoring of roadway surrounding rock is the key link to ensure the safety production of the coal mine. The traditional monitoring method can only obtain the displacement information of discrete measuring points, and it is difficult to fully reflect the spatial distribution characteristics and evolution law of surrounding rock deformation. Based on the engineering background of the extra-thick coal seam roadway in the Yushupo Coal Mine, Shanxi Province, China, this study proposes a set of full-space deformation monitoring methods for roadway surrounding rock based on explosion-proof mobile 3D laser scanning technology. Firstly, a hierarchical denoising method based on improved statistical filtering is established. The quality of point cloud data is effectively improved by region clipping, a connectivity analysis guided by multi-dimensional geometric features and adaptive density threshold three-level processing strategy. Secondly, a hierarchical point cloud registration method combining physical anchor geometric constraints and deep learning patch guided matching is proposed to reduce the registration error to millimeter level. Finally, the deformation evaluation of surrounding rock is carried out by combining the overall deformation identification with the quantitative analysis of local section slices. The engineering application results show that the deformation of the roadway floor is the most significant during the monitoring period, the maximum deformation is 90.0 mm, and the average deformation is 46.9 mm. The maximum deformation of the roof is 35.0 mm, and the convergence of both sides is asymmetric. Compared with the total station, the results show that the maximum displacement error in each direction does not exceed 5 mm, and the standard deviation is within 1.3 mm, which meets the engineering accuracy requirements of coal mine roadway deformation monitoring. This study provides a complete technical scheme for panoramic and high-precision monitoring of surrounding rock deformation in coal mine roadway. Full article
Show Figures

Figure 1

24 pages, 9511 KB  
Article
Stress Deflection Effect and Rockburst Mechanism in Staggered Roadways Beneath “L-Shaped” Residual Pillar
by Qiang Lu, Jiancheng Jin, Siyuan Gong, Hui Li, Rupei Zhang, Bingrui Chen, Ying Qu and Zonglong Mu
Sensors 2026, 26(4), 1173; https://doi.org/10.3390/s26041173 - 11 Feb 2026
Viewed by 354
Abstract
Frequent rockbursts in staggered roadways beneath residual coal pillars pose a critical challenge for the slice mining of ultra-thick coal seams. Taking the LW250101-2 of Huating Coal Mine as a case study, this paper systematically reveals the stress evolution laws and rockburst mechanism [...] Read more.
Frequent rockbursts in staggered roadways beneath residual coal pillars pose a critical challenge for the slice mining of ultra-thick coal seams. Taking the LW250101-2 of Huating Coal Mine as a case study, this paper systematically reveals the stress evolution laws and rockburst mechanism induced by irregular residual pillars by integrating microseismic (MS) monitoring, moment tensor inversion, and numerical simulation. First, source mechanism inversion analysis elucidated that compressive-shear failure of coal pillars was the dominant rupture mode in five of the eight recorded rockburst events. Second, numerical simulations demonstrate that the width of the left wing and the thickness of the right wing of the “L-shaped” coal pillar structure are the key geometric factors controlling rockburst risk; larger dimensions correlate with more intense stress concentration and higher-energy MS events. Moreover, the stress deflection effect of “L-shaped” coal pillars causes the haulage gateway of the LW250101-2 to remain in a state of stress accumulation, increasing its susceptibility to rockburst. Finally, a synergistic prevention system consisting of deep-hole roof blasting, large-charge coal blasting, and ultra-deep large-diameter boreholes was implemented. Field monitoring confirms that these measures dissipated high-stress concentrations, reduced rockburst frequency to zero and ensured safe mining. Full article
(This article belongs to the Section Environmental Sensing)
Show Figures

Figure 1

30 pages, 16854 KB  
Article
Study on Shaped Charge Blasting Pressure-Relief Technology for the Floor of Extra-Thick Coal Seams and Its Application
by Renyuan Su, Zonglong Mu, Jiaxun Li, Jinglong Cao, Chunlong Jiang, Yongzheng Ren, Jingqi Ji and Hao Fu
Appl. Sci. 2026, 16(2), 1079; https://doi.org/10.3390/app16021079 - 21 Jan 2026
Viewed by 233
Abstract
During layered mining of extra-thick coal seams in deep rock-burst-prone mines, a thick bottom coal layer facilitates the accumulation of elastic strain energy in the floor strata. This stored energy may be released under mining-induced disturbances during retreat, thereby triggering rock-burst events. To [...] Read more.
During layered mining of extra-thick coal seams in deep rock-burst-prone mines, a thick bottom coal layer facilitates the accumulation of elastic strain energy in the floor strata. This stored energy may be released under mining-induced disturbances during retreat, thereby triggering rock-burst events. To mitigate floor energy accumulation at the lower-slice working face of extra-thick coal seams, previous studies have primarily adopted floor blasting for pressure relief. However, conventional blasting is often associated with poor energy utilization and limited controllability of the pressure-relief range, which hampers achieving the intended relief performance. Accordingly, this study proposes a shaped charge blasting scheme to reduce floor energy accumulation. ANSYS/LS-DYNA simulations and UDEC-based energy analyses, together with theoretical analysis and field validation, were conducted to clarify the mechanism of directional fracture propagation and the evolution of floor elastic energy before and after blasting. The results showed that the synergistic effects of the high-velocity jet and quasi-static pressure in shaped charge blasting generated a through-going fracture aligned with the maximum horizontal principal stress. This fracture effectively segmented the high-stress region in the floor and increased the maximum fracture length along the shaped charge direction to 10–13 times that achieved by conventional blasting. UDEC simulations and theoretical analysis indicated that the peak elastic energy in the floor was reduced by up to 54.08% after shaped charge blasting. Field measurements further showed that shaped charge blasting limited the maximum roadway floor heave to 300 mm and reduced floor deformation by 35–42% compared with the case without pressure relief. Overall, shaped charge blasting effectively blocks stress-transfer pathways and improves energy dissipation efficiency, providing theoretical support and a practical technical paradigm for safe and efficient mining of deep extra-thick coal seams. Full article
Show Figures

Figure 1

20 pages, 8298 KB  
Article
Fractal and CT Analysis of Water-Bearing Coal–Rock Composites Under True Triaxial Loading–Unloading
by Qiang Xu, Ze Xia, Shuyu Du, Yukuan Fan, Gang Huang, Shengyan Chen, Zhisen Zhang and Yang Liu
Fractal Fract. 2025, 9(12), 782; https://doi.org/10.3390/fractalfract9120782 - 1 Dec 2025
Cited by 2 | Viewed by 610
Abstract
To reveal the deformation and failure mechanisms as well as the fracture evolution patterns of water-bearing coal–rock composites under complex stress conditions, this study established a true triaxial stress model for the key load-bearing structure of mined coal pillar dams and developed a [...] Read more.
To reveal the deformation and failure mechanisms as well as the fracture evolution patterns of water-bearing coal–rock composites under complex stress conditions, this study established a true triaxial stress model for the key load-bearing structure of mined coal pillar dams and developed a true triaxial loading apparatus capable of implementing localized unloading paths. True triaxial loading–unloading tests were conducted on coal–rock composites under different water content conditions, and the internal fracture structures were quantitatively characterized using CT scanning combined with fractal analysis. The results indicate that: (1) under a constant axial stress-unloading confining stress path, failure primarily occurs in the coal component, and the extent of failure significantly increases with the water content of the roof rock. For instance, the total fracture volume in the coal body increased by approximately 66% from the dry to the saturated state, while the lateral strain at peak stress decreased by about 65% over the same range, indicating a transition towards more brittle behavior. (2) CT scanning and three-dimensional reconstruction results reveal that the fracture system exhibits pronounced multi-scale polarization, with significant differences in volume, surface area, and morphological parameters between the main fractures and micropores, reflecting strong heterogeneity and anisotropy; (3) fractal dimension analysis of two-dimensional slices indicates that the fracture structures exhibit fractal characteristics in all directions, with the spatial distribution of fractal dimensions closely related to the loading direction. Overall, the XY-direction fractures exhibit the highest complexity, whereas the XZ and YZ directions show pronounced directional anisotropy. As water content increases, the amplitude of fractal dimension fluctuations rises, reflecting an enhancement in the geometric complexity of the fracture system. Full article
Show Figures

Figure 1

28 pages, 12125 KB  
Article
Mechanism and Control Technology of Strata Behavior for Ultra-Thick Coal Seam Multi-Slice Mining
by Changmo Yuan, Dongdong Qin, Xufeng Wang and Xuyang Chen
Processes 2025, 13(11), 3603; https://doi.org/10.3390/pr13113603 - 7 Nov 2025
Viewed by 493
Abstract
Multi-slice mining of the 70 m ultra-thick coal seam in East Junggar coalfield, China is marked by large-scale mining space expansion and frequent stress disturbances. To address those, this study uses theoretical analysis, physical simulation, and numerical simulation to explore the evolution of [...] Read more.
Multi-slice mining of the 70 m ultra-thick coal seam in East Junggar coalfield, China is marked by large-scale mining space expansion and frequent stress disturbances. To address those, this study uses theoretical analysis, physical simulation, and numerical simulation to explore the evolution of an overburden bearing structure and the control of strata behavior in multi-slice mining. The results (1) clarify the overburden fracture-hinging characteristics: fractured blocks in lower hard strata form beam-type hinges (early stage), the lower hinged structure weakens and the beam-type hinge structure moves upward in steps (middle stage), the continuous increase in the mined-out space leads to the transverse O-X fracture of far-stope rock strata, and broken rock blocks are extruded into shells (late stage); this study also proposes an identification method for the morphology of roof bearing structures (including beam structure, higher beam structure, and arch structure); (2) define the support-controlled strata range and load calculation method at different stages, and show that the support load “increases slowly under the near-stope roof bearing structure and tends to stabilize under the far-stope roof bearing structure” as the roof bearing structure moves upward; and (3) guided by the aims of avoiding cantilever beams and ensuring near-stope roof stability, lead us to propose the following measures: pre-splitting main roof (early stage); short working faces with reduced layered thickness and rapid advance (late stage); and goaf/separation grouting (whole process). The maximum support load drops from 20,017.5 kN to 16,192.5 kN, enabling lightweight support selection. This study provides theoretical guidance for support selection and roof control in the multi-slice mining of ultra-thick coal seams. Full article
(This article belongs to the Section Energy Systems)
Show Figures

Figure 1

20 pages, 95851 KB  
Article
Swin Transformer Based Recognition for Hydraulic Fracturing Microseismic Signals from Coal Seam Roof with Ultra Large Mining Height
by Peng Wang, Yanjun Feng, Xiaodong Sun and Xing Cheng
Sensors 2025, 25(21), 6750; https://doi.org/10.3390/s25216750 - 4 Nov 2025
Cited by 1 | Viewed by 641
Abstract
Accurate differentiation between microseismic signals induced by hydraulic fracturing and those from roof fracturing is vital for optimizing fracturing efficiency, assessing roof stability, and mitigating mining-induced hazards in coal mining operations. We propose an automatic identification method for microseismic signals generated by hydraulic [...] Read more.
Accurate differentiation between microseismic signals induced by hydraulic fracturing and those from roof fracturing is vital for optimizing fracturing efficiency, assessing roof stability, and mitigating mining-induced hazards in coal mining operations. We propose an automatic identification method for microseismic signals generated by hydraulic fracturing in coal seam roofs. This method first transforms the microseismic signals induced by hydraulic fracturing and roof fracturing into time-frequency feature images using the Frequency Slice Wavelet Transform (FSWT) technique, and then employs a sliding window (Swin) Transformer network to automatically identify and classify these two types of time-frequency feature maps. A comparative analysis is conducted on the performance of three methods—including the signal energy distribution method, Residual Network (ResNet) model, and VGG Network (VGGNet) model—in identifying microseismic signals from hydraulic fracturing in coal seam roofs. The results demonstrate that the Swin Transformer recognition model combined with FSWT achieves an accuracy of 92.49% and an F1-score of 92.96% on the test set of field-acquired microseismic signals from hydraulic fracturing and roof fracturing. These performance metrics are significantly superior to those of the signal energy distribution method (accuracy: 64.70%, F1-score: 64.70%), ResNet model (accuracy: 88.04%, F1-score: 89.24%), and VGGNet model (accuracy: 88.47%, F1-score: 89.52%). This advancement provides a reliable technical approach for monitoring hydraulic fracturing effects and ensuring roof safety in coal mines. Full article
(This article belongs to the Section Environmental Sensing)
Show Figures

Figure 1

24 pages, 6626 KB  
Article
Harnessing GPS Spatiotemporal Big Data to Enhance Visitor Experience and Sustainable Management of UNESCO Heritage Sites: A Case Study of Mount Huangshan, China
by Jianping Sun, Shi Chen, Yinlan Huang, Huifang Rong and Qiong Li
ISPRS Int. J. Geo-Inf. 2025, 14(10), 396; https://doi.org/10.3390/ijgi14100396 - 12 Oct 2025
Viewed by 2018
Abstract
In the era of big data, the rapid proliferation of user-generated content enriched with geolocations offers new perspectives and datasets for probing the spatiotemporal dynamics of tourist mobility. Mining large-scale geospatial traces has become central to tourism geography: it reveals preferences for attractions [...] Read more.
In the era of big data, the rapid proliferation of user-generated content enriched with geolocations offers new perspectives and datasets for probing the spatiotemporal dynamics of tourist mobility. Mining large-scale geospatial traces has become central to tourism geography: it reveals preferences for attractions and routes to enable intelligent recommendation, enhance visitor experience, and advance smart tourism, while also informing spatial planning, crowd management, and sustainable destination development. Using Mount Huangshan—a UNESCO World Cultural and Natural Heritage site—as a case study, we integrate GPS trajectories and geo-tagged photographs from 2017–2023. We apply a Density-Field Hotspot Detector (DF-HD), a Space–Time Cube (STC), and spatial gridding to analyze behavior from temporal, spatial, and fully spatiotemporal perspectives. Results show a characteristic “double-peak, double-trough” seasonal pattern in the number of GPS tracks, cumulative track length, and geo-tagged photos. Tourist behavior exhibits pronounced elevation dependence, with clear vertical differentiation. DF-HD efficiently delineates hierarchical hotspot areas and visitor interest zones, providing actionable evidence for demand-responsive crowd diversion. By integrating sequential time slices with geography in a 3D framework, the STC exposes dynamic spatiotemporal associations and evolutionary regularities in visitor flows, supporting real-time crowd diagnosis and optimized spatial resource allocation. Comparative findings further confirm that Huangshan’s seasonal intensity is significantly lower than previously reported, while the high agreement between trajectory density and gridded photos clarifies the multi-tier clustering of route popularity. These insights furnish a scientific basis for designing secondary tour loops, alleviating pressure on core areas, and charting an effective pathway toward internal structural optimization and sustainable development of the Mount Huangshan Scenic Area. Full article
(This article belongs to the Special Issue Spatial Information for Improved Living Spaces)
Show Figures

Figure 1

20 pages, 34236 KB  
Article
ILD-Slider: A Parameter-Efficient Model for Identifying Progressive Fibrosing Interstitial Lung Disease from Chest CT Slices
by Jiahao Zhang, Shoya Wada, Kento Sugimoto, Takayuki Niitsu, Kiyoharu Fukushima, Hiroshi Kida, Bowen Wang, Shozo Konishi, Katsuki Okada, Yuta Nakashima and Toshihiro Takeda
J. Imaging 2025, 11(10), 353; https://doi.org/10.3390/jimaging11100353 - 9 Oct 2025
Viewed by 1194
Abstract
Progressive Fibrosing Interstitial Lung Disease (PF-ILD) is a severe phenotype of Interstitial Lung Disease (ILD) with a poor prognosis, typically requiring prolonged clinical observation and multiple CT examinations for diagnosis. Such requirements delay early detection and treatment initiation. To enable earlier identification of [...] Read more.
Progressive Fibrosing Interstitial Lung Disease (PF-ILD) is a severe phenotype of Interstitial Lung Disease (ILD) with a poor prognosis, typically requiring prolonged clinical observation and multiple CT examinations for diagnosis. Such requirements delay early detection and treatment initiation. To enable earlier identification of PF-ILD, we propose ILD-Slider, a parameter-efficient and lightweight deep learning framework that enables accurate PF-ILD identification from a limited number of CT slices. ILD-Slider introduces anatomy-based position markers (PMs) to guide the selection of representative slices (RSs). A PM extractor, trained via a multi-class classification model, achieves high PM detection accuracy despite severe class imbalance by leveraging a peak slice mining (PSM)-based strategy. Using the PM extractor, we automatically select three, five, or nine RSs per case, substantially reducing computational cost while maintaining diagnostic accuracy. The selected RSs are then processed by a slice-level 3D Adapter (Slider) for PF-ILD identification. Experiments on 613 cases from The University of Osaka Hospital (UOH) and the National Hospital Organization Osaka Toneyama Medical Center (OTMC) demonstrate the effectiveness of ILD-Slider, achieving an AUPRC of 0.790 (AUROC 0.847) using only five automatically extracted RSs. ILD-Slider further validates the feasibility of diagnosing PF-ILD from non-contiguous slices, which is particularly valuable for real-world and public datasets where contiguous volumes are often unavailable. These results highlight ILD-Slider as a practical and efficient solution for early PF-ILD identification. Full article
(This article belongs to the Special Issue Advances in Medical Imaging and Machine Learning)
Show Figures

Figure 1

26 pages, 14749 KB  
Article
Microbial Seafloor Weathering of Hydrothermal Sulfides: Insights from an 18-Month In Situ Incubation at the Wocan-1 Hydrothermal Field
by Chuanqi Dong, Xiqiu Han, Yejian Wang, Jiqiang Liu and Mingcong Wei
Biology 2025, 14(4), 389; https://doi.org/10.3390/biology14040389 - 9 Apr 2025
Cited by 1 | Viewed by 1270
Abstract
The weathering of seafloor hydrothermal sulfides is facilitated by microbial activities, yet the specific mechanisms of different sulfide types are not well understood. Previous studies have primarily been carried out under laboratory conditions, making it difficult to accurately replicate the complex in situ [...] Read more.
The weathering of seafloor hydrothermal sulfides is facilitated by microbial activities, yet the specific mechanisms of different sulfide types are not well understood. Previous studies have primarily been carried out under laboratory conditions, making it difficult to accurately replicate the complex in situ conditions of deep-sea hydrothermal fields. Herein, we deployed two well-characterized pyrite (Py)-dominated and chalcopyrite (Ccp)-dominated sulfide slices, which were placed 300 m from an active venting site in the Wocan-1 hydrothermal field (Carlsberg Ridge, Northwest Indian Ocean) for an 18-month in situ incubation experiment. Microscopic observations and organic matter analyses were conducted on the recovered sulfide slices to investigate the microbial weathering features of different sulfide types. Our results demonstrated that the weathering of the Py-dominated sulfide sample was primarily mediated by extracellular polymeric substances (EPSs) through indirect interactions, whereas the Ccp-dominated sulfide sample exhibited both direct microbial dissolution, resulting in the formation of distinct dissolution pits, and indirect EPS-mediated interactions. Four distinct phases of microbe–sulfide interactions were identified: approach, adsorption, stable attachment, and extensive colonization. Furthermore, the weathering products and biomineralization structures differed significantly between the two sulfide types, reflecting their different microbial colonization processes. Our study confirms that microorganisms are crucial in seafloor sulfide weathering. These findings advance our understanding of microbial-driven processes in sulfide mineral transformations and their role in marine ecosystems. Our findings are also valuable for future research on biogeochemical cycles and for developing bioremediation strategies for deep-sea mining. Full article
Show Figures

Figure 1

17 pages, 1841 KB  
Article
Monitoring of Sustainable Development Trends: Text Mining in Regional Media
by Galina Chernyshova, Evgeniy Taran, Anna Firsova and Alla Vavilina
Sustainability 2025, 17(7), 3122; https://doi.org/10.3390/su17073122 - 1 Apr 2025
Cited by 2 | Viewed by 2116
Abstract
The monitoring of regional development sustainability is closely linked to the development of an indicator system that best meets stakeholders’ requirements, providing a solid foundation for strategic decision-making. In pursuit of progress in achieving the Sustainable Development Goals (SDG), efforts are continuously being [...] Read more.
The monitoring of regional development sustainability is closely linked to the development of an indicator system that best meets stakeholders’ requirements, providing a solid foundation for strategic decision-making. In pursuit of progress in achieving the Sustainable Development Goals (SDG), efforts are continuously being undertaken to refine and enhance the indicator framework. Implementing interdisciplinary approaches for a comprehensive assessment of sustainable development in regions allows for a swift expansion and augmentation of data on regional transformations. An important aspect of the study of sustainability at the regional level is the additional possibility of using unstructured news content through text mining methods. The issue of applying natural language processing techniques for Russian-language sources is significant, as a large number of relevant tools are developed for English. Additionally, the analysis of news content has several features that complicate the classification of sentiments of messages with mostly neutral wording. The proposed methodology for processing specific news content in assessing the sustainability of regional development was implemented. An application for data scraping was developed, data were collected taking into account the selected regions and periods, stop word dictionaries were configured, frequency analysis was implemented, and the sentiment analysis of the obtained slices was carried out. For the formed set of news documents related to sustainable development by keywords according to SDGs 1–17, for the regions of the Volga Federal District, a corpus of documents was obtained representing data for 2021, 2022, and 2023 for 14 regions. The analysis of key topics for different areas and periods was carried out using the cosine similarity measure. The developed approach to news analysis allows for increasing the efficiency of monitoring on various topics. This methodology has been tested for systemic and operational assessment in the dynamics of the sustainable development of regions. Text analysis methods within the framework of decision support at the regional level provide the opportunity to identify emerging trends. Full article
(This article belongs to the Section Development Goals towards Sustainability)
Show Figures

Figure 1

20 pages, 19513 KB  
Article
Seismic Sedimentology for the Characterization of Quaternary Evaporite Facies in Biogas-Bearing Taidong Area, Sanhu Depression, Qaidam Basin, NW China
by Guoyong Liu, Zhaohui Xu, Jiangtao Li, Yong Song, Hongliu Zeng, Xiaomin Zhu, Jixian Tian, Chunming Lin and Lei Jiang
Appl. Sci. 2025, 15(5), 2288; https://doi.org/10.3390/app15052288 - 20 Feb 2025
Viewed by 1187
Abstract
S-wave seismic data are unaffected by natural gas trapped in strata, making them a valuable tool to study evaporite facies comparing to P-wave data. S-wave seismic data were utilized to construct an isochronous framework and analyze evaporite facies by seismic sedimentology methods in [...] Read more.
S-wave seismic data are unaffected by natural gas trapped in strata, making them a valuable tool to study evaporite facies comparing to P-wave data. S-wave seismic data were utilized to construct an isochronous framework and analyze evaporite facies by seismic sedimentology methods in the Quaternary biogenic gas-bearing Taidong area, Sanhu Depression, Qaidam Basin, NW China, with calibration from wireline logs, geochemical evidences, and modern analogs. Techniques of phase rotation, frequency decomposition, R (Red), G (Green), B (Blue) fusion, and stratal slices were integrated to reconstruct seismic geomorphological features. Linear and sub-circular morphologies, resembling those observed in modern saline pans such as Lake Chad, were identified. Observations from Upper Pleistocene outcrops of anhydrite and halite at Yanshan (east of the Taidong area), along with lithological and paleo-environmental records from boreholes SG-5, SG-1, and SG-1b (northwest of the Taidong area), support the seismic findings. The slices generated from the S-wave seismic data indicate a progressive increase in the occurrence of evaporite features from the K2 standard zone upwards. The vertical occurrence of evaporite facies in the Taidong area increases, which coincides with the contemporary regional and global arid paleo-environmental changes. The interpretation of Quaternary stratal slices reveals a transition from a freshwater lake to brackish, saline, and finally, a dry saline pan, overlaid by silt. This analysis provides valuable insights into locating evaporites as cap rocks for biogenic gas accumulation and also into mining the evaporite mineral resources in shallow layers of the Taidong area. Full article
(This article belongs to the Section Earth Sciences)
Show Figures

Figure 1

19 pages, 9404 KB  
Article
Vortex-Induced Vibration of Deep-Sea Mining Pipes: Analysis Using the Slicing Method
by Xiangzhao Wu, Song Sang, Youwei Du, Fugang Liu and Jintao Zhang
Appl. Sci. 2024, 14(24), 11938; https://doi.org/10.3390/app142411938 - 20 Dec 2024
Viewed by 1742
Abstract
Deep-sea mining pipes are different from traditional ocean risers articulated at both ends: they are free-suspended, weakly constrained at the bottom, and have an intermediate silo at the end, compared to which relatively little research has been carried out on vortex-induced vibration in [...] Read more.
Deep-sea mining pipes are different from traditional ocean risers articulated at both ends: they are free-suspended, weakly constrained at the bottom, and have an intermediate silo at the end, compared to which relatively little research has been carried out on vortex-induced vibration in mining pipes. In this study, a sophisticated quasi-3D numerical model with two degrees of freedom for the flow field domain and structural dynamics of a deep-sea mining pipe is developed through a novel slicing method. The investigation explores how the vortex-induced vibrations of the mining pipe behave in various scenarios, including uniform and oscillating flows, as well as changes in the mass of the relay bin. The findings indicate that the displacement of the deep-sea mining pipe increases continuously as it moves from top to bottom along its axial direction. The upper motion track appears chaotic, while the middle and lower tracks exhibit a stable “8” shape capture, with the tail capturing a “C” shape track. Furthermore, with an increase in flow velocity, both transverse vibration frequency and vibration modes of the mining pipe progressively rise. Under oscillating flow conditions, there exists a “delay effect” between vibration amplitude and velocity. Additionally, an increase in oscillation frequency leads to gradual sparsity in the vibration envelope of the mining pipe in transverse flow direction without affecting its overall vibration frequency. Under the same flow velocity and different bottom effects, the main control frequency of the deep-sea mining pipe is basically unchanged, but the vibration mode of the mining pipe is changed. Full article
Show Figures

Figure 1

13 pages, 1770 KB  
Article
Deep Learning Assisted Diagnosis of Chronic Obstructive Pulmonary Disease Based on a Local-to-Global Framework
by Nian Cai, Yiying Xie, Zijie Cai, Yuchen Liang, Yinghong Zhou and Ping Wang
Electronics 2024, 13(22), 4443; https://doi.org/10.3390/electronics13224443 - 13 Nov 2024
Cited by 7 | Viewed by 2148
Abstract
To aid the diagnosis of chronic obstructive pulmonary disease (COPD), a local-to-global deep framework with group attentions and slice-aware loss is designed in this paper, which utilizes the chest CT sequences of the patients as the network input. To fully mine the medical [...] Read more.
To aid the diagnosis of chronic obstructive pulmonary disease (COPD), a local-to-global deep framework with group attentions and slice-aware loss is designed in this paper, which utilizes the chest CT sequences of the patients as the network input. To fully mine the medical hints submerged in the CT slices, two types of group attentions are designed to extract local–global features of the grouped slices. Specifically, in each group, a group local attention block (GLAB) and a group global attention block (GGAB) are designed to extract local features in the CT slices and long-range dependencies among the grouped slices. To alleviate the influence of different numbers of CT slices in the chest CT sequences for different patients, a slice-aware loss is proposed by incorporating a normalized coefficient into the cross-entropy loss. Experimental results indicate that the designed deep model performs a good COPD identification on a real COPD dataset with 96.08% accuracy, 94.12% sensitivity, 97.06% specificity, and 95.32% AUC, which is superior to some existing deep learning methods. Full article
Show Figures

Figure 1

19 pages, 12980 KB  
Article
Study on the “Two-Zone” Heights in Lower Slice Mining Under Thick Alluvium and Thin Bedrock
by Xiaowei Lu, Jingyu Jiang, Wen Wang and Haibo Cao
Appl. Sci. 2024, 14(22), 10128; https://doi.org/10.3390/app142210128 - 5 Nov 2024
Cited by 3 | Viewed by 1513
Abstract
The extraction of thin bedrock coal seams with thick alluvium poses a challenging issue in the realm of coal safety production in China. Especially for mining under aquifers, knowing the development height of water-conducting fracture zones above the goaf is crucial for coal [...] Read more.
The extraction of thin bedrock coal seams with thick alluvium poses a challenging issue in the realm of coal safety production in China. Especially for mining under aquifers, knowing the development height of water-conducting fracture zones above the goaf is crucial for coal mine safety and production. Taking the 11092 working face of lower slice mining in Zhaogu No. 1 Mine as an example, the failure transfer process of the overlying strata is analyzed first. On this basis, the development height of the water-conducting fracture zone is predicted using empirical formulas and the BP neural network. According to the empirical formula, the height of the roof caving zone ranges from 6.93 m to 27.72 m, while the height of the water-conducting fracture zone ranges from 22.17 m to 71.73 m. The BP neural network predicts that the development height of the water-conducting fracture zone in the working face after mining is 56.83 m. CDEM numerical simulation is employed to analyze the development height of two zones of overburden rock. The findings indicate that with a mining height of 2.5 m and a cumulative mining height of 6 m, the maximum caving ratio is 2.61. It is observed that for a cumulative mining thickness of less than 6 m, a bedrock thickness of not less than 30 m, and a clay layer thickness exceeding 5 m, the clay layer effectively obstructs the upward development of the water-conducting fracture zone. Finally, the prediction results of the development height of the two zones of overlying strata in the working face are verified by using the height observation method on the underground water-conducting fracture zone and the borehole peeping method. In conclusion, the height of the overlying strata after mining the lower slice working face in the first panel of the east can be used as a basis for determining the thickness of coal (rock) pillars for waterproofing and sand control safety during the mining of lower slice working faces in mines. Full article
(This article belongs to the Special Issue Advances in Green Coal Mining Technologies)
Show Figures

Figure 1

13 pages, 19727 KB  
Article
Oolitic Sedimentary Characteristics of the Upper Paleozoic Bauxite Series in the Eastern Ordos Basin and Its Significance for Oil and Gas Reservoirs
by Fengyu Sun, Changling Qu, Gaoshe Cao, Liqin Xie, Xiaohu Shi, Shengtao Luo, Zhuang Liu, Ling Zhang, Xiaochen Ma, Xinhang Zhou, Sen Zhu and Zhenzhi Wang
Processes 2024, 12(10), 2123; https://doi.org/10.3390/pr12102123 - 29 Sep 2024
Cited by 4 | Viewed by 1916
Abstract
In recent years, great breakthroughs have been made in gas explorations of the Upper Paleozoic bauxite series in the Longdong area of the Ordos Basin, challenging the understanding that bauxite is not an effective reservoir. Moreover, studying the reservoir characteristics of bauxite is [...] Read more.
In recent years, great breakthroughs have been made in gas explorations of the Upper Paleozoic bauxite series in the Longdong area of the Ordos Basin, challenging the understanding that bauxite is not an effective reservoir. Moreover, studying the reservoir characteristics of bauxite is crucial for oil and gas exploration. Taking the bauxite series in the Longdong area as an example, this study systematically collects data from previous publications and analyzes the petrology, mineralogy, oolitic micro-morphology, chemical composition, and other sedimentary characteristics of the bauxite series in the study area using field outcrops, core observations, rock slices, cast slices, X-ray diffraction analysis, scanning electron microscopy and energy spectra, and so on. In this study, the oolitic microscopic characteristics of the bauxite reservoir and the significance of oil and gas reservoirs are described. The results show that the main minerals in the bauxite reservoir are boehmite and clay minerals composed of 73.5–96.5% boehmite, with an average of 90.82%. The rocks are mainly bauxitic mudstone and bauxite. A large number of oolites are observable in the bauxite series, and corrosion pores and intercrystalline pores about 8–20 μm in size have generally developed. These pores are important storage spaces in the reservoir. The brittleness index of the bauxite series was found to be as high as 99.3%, which is conducive to subsequent mining and fracturing. The main gas source rocks of oolitic bauxite rock and the Paleozoic gas series are the coal measure source rocks of the Upper Paleozoic. The oolitic bauxite reservoirs in the study area generally have obvious gas content, but the continuity of the planar distribution of the bauxite reservoirs is poor, providing a scientific basis for studying bauxite reservoirs and improving the exploratory effects of bauxite gas reservoirs. Full article
Show Figures

Figure 1

Back to TopTop