Sign in to use this feature.

Years

Between: -

Subjects

remove_circle_outline
remove_circle_outline
remove_circle_outline
remove_circle_outline
remove_circle_outline
remove_circle_outline
remove_circle_outline

Journals

Article Types

Countries / Regions

Search Results (14)

Search Parameters:
Keywords = siphon valves

Order results
Result details
Results per page
Select all
Export citation of selected articles as:
22 pages, 14858 KB  
Article
Clam Genome and Transcriptomes Provide Insights into Molecular Basis of Morphological Novelties and Adaptations in Mollusks
by Xiujun Sun, Xi Chen, Biao Wu, Liqing Zhou, Yancui Chen, Sichen Zheng, Songlin Wang and Zhihong Liu
Biology 2024, 13(11), 870; https://doi.org/10.3390/biology13110870 - 25 Oct 2024
Cited by 1 | Viewed by 2608
Abstract
Bivalve mollusks, comprising animals enclosed in two shell valves, are well-adapted to benthic life in many intertidal zones. Clams have evolved the buried lifestyle, which depends on their unique soft tissue structure and their wedge-shaped muscular foot and long extendible siphons. However, molecular [...] Read more.
Bivalve mollusks, comprising animals enclosed in two shell valves, are well-adapted to benthic life in many intertidal zones. Clams have evolved the buried lifestyle, which depends on their unique soft tissue structure and their wedge-shaped muscular foot and long extendible siphons. However, molecular mechanisms of adaptative phenotype evolution remain largely unknown. In the present study, we obtain the high-quality chromosome-level genome of Manila clam R. philippinarum, an economically important marine bivalve in many coastal areas. The genome is constructed by the Hi-C assisted assembly, which yields 19 chromosomes with a total of 1.17 Gb and BUSCO integrity of 92.23%. The de novo assembled genome has a contig N50 length of 307.7 kb and scaffold N50 of 59.5 Mb. Gene family expansion analysis reveals that a total of 24 single-copy gene families have undergone the significant expansion or contraction, including E3 ubiquitin ligase and dynein heavy chain. The significant expansion of transposable elements has been also identified, including long terminal repeats (LTR) and non-LTR retrotransposons. The comparative transcriptomics among different clam tissues reveals that extracellular matrix (ECM) receptors and neuroactive ligand receptors may play the important roles in tissue structural support and neurotransmission during their infaunal life. These findings of gene family expansion and tissue-specific expression may reflect the unique soft tissue structure of clams, suggesting the evolution of lineage-specific morphological novelties. The high-quality genome and transcriptome data of R. philippinarum will not only facilitate the genetic studies on clams but will also provide valuable information on morphological novelties in mollusks. Full article
(This article belongs to the Section Marine Biology)
Show Figures

Figure 1

11 pages, 6119 KB  
Article
Euler Force-Driven Siphon Valve Control for Precise Sequential Release in Centrifugal Microfluidic Chips
by Yu Lu, Hao Shen, Guangyao Chen, Kaichao Yang, Jing Zhang, Liwei Xue, Jianzhen Ou and Liguo Chen
Micromachines 2024, 15(10), 1200; https://doi.org/10.3390/mi15101200 - 27 Sep 2024
Cited by 1 | Viewed by 1589
Abstract
Controlling the fluids in centrifugal microfluidic chips for precise sequential release is critical for multi-step reactions and immunoassays. Currently, the traditional methods of liquid sequential release mainly rely on various types of microvalves, which face the problems of complex operation and high costs. [...] Read more.
Controlling the fluids in centrifugal microfluidic chips for precise sequential release is critical for multi-step reactions and immunoassays. Currently, the traditional methods of liquid sequential release mainly rely on various types of microvalves, which face the problems of complex operation and high costs. Here, this work presents a method for driving liquid release using the Euler force. Under continuous acceleration and deceleration, the centrifugal and Euler forces can transfer the liquid from the sample chamber to the collection chamber. The liquid sequential release mechanism based on the Euler force was analyzed, which showed that the angular acceleration is key to the liquid release. Then, the geometrical parameters affecting the angular acceleration of complete release were investigated and simulated. Finally, based on the relationship between the geometrical parameters of the connecting channels and the angular acceleration of complete release, a simple and precise sequential release structure was designed, which allowed for a sequential and stable transfer of the liquid into the reaction chamber. The results showed that the proposed method is capable of transferring liquid, and its simple structure, low manufacturing cost, and ease of operation enable precise sequential liquid release in centrifugal microfluidic platforms. Full article
Show Figures

Figure 1

16 pages, 6549 KB  
Article
Integrated High-Throughput Centrifugal Microfluidic Chip Device for Pathogen Detection On-Site
by Shuyu Lu, Yuanzhan Yang, Siqi Cui, Anyi Li, Cheng Qian and Xiaoqiong Li
Biosensors 2024, 14(6), 313; https://doi.org/10.3390/bios14060313 - 19 Jun 2024
Cited by 7 | Viewed by 2880
Abstract
An integrated and high-throughput device for pathogen detection is crucial in point-of-care testing (POCT), especially for early diagnosis of infectious diseases and preventing the spread of infection. We developed an on-site testing platform that utilizes a centrifugal microfluidic chip and automated device to [...] Read more.
An integrated and high-throughput device for pathogen detection is crucial in point-of-care testing (POCT), especially for early diagnosis of infectious diseases and preventing the spread of infection. We developed an on-site testing platform that utilizes a centrifugal microfluidic chip and automated device to achieve high-throughput detection. The low-power (<32 W), portable (220 mm × 220 mm × 170 mm, 4 kg) device can complete bacterial lysis, nucleic acid extraction and purification, loop-mediated isothermal amplification (LAMP) reaction, and real-time fluorescence detection. Magnetic beads for nucleic acid adsorption can be mixed by applying electromagnetic fields and centrifugal forces, and the efficiency of nucleic acid extraction is improved by 60% compared to the no-mixing group. The automated nucleic acid extraction process achieves equivalent nucleic acid extraction efficiency in only 40% of the time consumed using the kit protocol. By designing the valve system and disc layout, the maximum speed required for the centrifugal microfluidic chip is reduced to 1500 rpm, greatly reducing the equipment power consumption and size. In detecting E. coli, our platform achieves a limit of detection (LOD) of 102 CFU/mL in 60 min. In summary, our active centrifugal microfluidic platform provides a solution for the integration of complex biological assays on turntables, with great potential in the application of point-of-care diagnosis. Full article
(This article belongs to the Special Issue Biosensing Technologies in Medical Diagnosis)
Show Figures

Figure 1

12 pages, 267 KB  
Review
Chronic Pediatric Headache as a Manifestation of Shunt Over-Drainage and Slit Ventricle Syndrome in Patients Harboring a Cerebrospinal Fluid Diversion System: A Narrative Literature Review
by Dimitrios Panagopoulos, Maro Gavra, Efstathios Boviatsis, Stefanos Korfias and Marios Themistocleous
Children 2024, 11(5), 596; https://doi.org/10.3390/children11050596 - 15 May 2024
Viewed by 2100
Abstract
The main subject of the current review is a specific subtype of headache, which is related to shunt over-drainage and slit ventricle syndrome, in pediatric patients harboring an implanted shunt device for the management of hydrocephalus. This clinical entity, along with its impairment [...] Read more.
The main subject of the current review is a specific subtype of headache, which is related to shunt over-drainage and slit ventricle syndrome, in pediatric patients harboring an implanted shunt device for the management of hydrocephalus. This clinical entity, along with its impairment regarding the quality of life of the affected individuals, is generally underestimated. This is partly due to the absence of universally agreed-upon diagnostic criteria, as well as due to a misunderstanding of the interactions among the implicated pathophysiological mechanisms. A lot of attempts have been performed to propose an integrative model, aiming at the determination of all the offending mechanisms of the shunt over-drainage syndrome, as well as the determination of all the clinical characteristics and related symptomatology that accompany these secondary headaches. This subcategory of headache, named postural dependent headache, can be associated with nausea, vomiting, and/or radiological signs of slim ventricles and/or subdural collections. The ultimate goal of our review is to draw clinicians’ attention, especially that of those that are managing pediatric patients with permanent, long-standing, ventriculoperitoneal, or, less commonly, ventriculoatrial shunts. We attempted to elucidate all clinical and neurological characteristics that are inherently related to this type of headache, as well as to highlight the current management options. This specific subgroup of patients may eventually suffer from severe, intractable headaches, which may negatively impair their quality of daily living. In the absence of any other clinical condition that could be incriminated as the cause of the headache, shunt over-drainage should not be overlooked. On the contrary, it should be seriously taken into consideration, and its management should be added to the therapeutic armamentarium of such cases, which are difficult to be handled. Full article
(This article belongs to the Special Issue Pediatric Headaches: Diagnostic and Therapeutic Issues)
13 pages, 3062 KB  
Article
RETRACTED: Surface Hydrophilic Modification for Chip of Centrifugal Microfluidic Immunoassay System
by Yuxing Shi, Peng Ye, Chuang Wang, Kuojun Yang and Jinhong Guo
Micromachines 2022, 13(6), 831; https://doi.org/10.3390/mi13060831 - 26 May 2022
Cited by 7 | Viewed by 2908 | Retraction
Abstract
The surface of a centrifugal microfluidic immunoassay system chip such as polymethyl methacrylate (PMMA) is often hydrophobic, which leads to problems such as poor liquid transfer efficiency and easy-to-block siphon channels, leading to bad fluid control. Therefore, surface hydrophilic modification for such chips [...] Read more.
The surface of a centrifugal microfluidic immunoassay system chip such as polymethyl methacrylate (PMMA) is often hydrophobic, which leads to problems such as poor liquid transfer efficiency and easy-to-block siphon channels, leading to bad fluid control. Therefore, surface hydrophilic modification for such chips is necessary to improve the rapidity and sensitivity of the system. Chemical modification is commonly used, but there is little research on the hydrophilic effect of different concentrations of hydrophilic reagents. According to function requirements for different microchannels of the chip (some only need to ensure the liquid can flow into the next chamber, and some also need to ensure the function of “closing the door” during immunoassay incubation), we explored the best combination of hydrophilic reagent and concentration through experiments. Firstly, three hydrophilic reagents were used for modification. Secondly, the hydrophilic effects of different reagents and concentrations were explored by contact angle test, the influence of different modification methods on liquid transfer efficiency was characterized by residual liquid calculation in the chamber. Finally, the effect of different hydrophilic reagents on absorbance was also tested. By experimental results and comprehensively considering the stability of the modification effect and the function requirements, Tween-20 (2.0% v/v) was chosen as the modifying reagents of the first siphon valve and the second siphon valve, and TritonX-100 (2.0% v/v) was chosen for the third siphon valve, which effectively reduces the contact angle and improves the liquid transfer efficiency, leading to further improvement of the rapidity and sensitivity of the centrifugal microfluidic immunoassay system by efficient siphoning and high plasma separation efficiency (99%). Full article
Show Figures

Figure 1

15 pages, 810 KB  
Article
The Role of Antisiphon Devices in the Prevention of Central Ventricular Catheter Obliteration for Hydrocephalus: A 15-Years Institution’s Experience Retrospective Analysis
by Dimitrios Panagopoulos, Georgios Strantzalis, Maro Gavra, Efstathios Boviatsis and Stefanos Korfias
Children 2022, 9(4), 493; https://doi.org/10.3390/children9040493 - 1 Apr 2022
Cited by 3 | Viewed by 2613
Abstract
Shunt over-drainage in patients harboring a ventriculoperitoneal shunt constitutes one of the most devastating, and difficult to manage, side effects associated with this operation. Siphoning is one of the most important contributing factors that predispose to this complication. Based on the fact that [...] Read more.
Shunt over-drainage in patients harboring a ventriculoperitoneal shunt constitutes one of the most devastating, and difficult to manage, side effects associated with this operation. Siphoning is one of the most important contributing factors that predispose to this complication. Based on the fact that the predisposing pathophysiologic mechanism is considerably multiplicated, amelioration of that adverse condition is considerably difficult to achieve. A lot of evidence suggests that the widespread utilization of gravitational valves or antisiphon devices is of utmost importance, in order to minimize or even avoid the occurrence of such complications. The recent literature data highlight that gravity-related, long-lasting shunt over-drainage consists of a momentous factor that could be considered one of the main culprits of central shunt failure. A lot of efforts have been performed, in order to design effective means that are aimed at annihilating siphoning. Our tenet was the investigation of the usefulness of the incorporation of an extra apparatus in the shunt system, capable of eliminating the impact of the siphoning effect, based on the experience that was gained by their long-term use in our institution. A retrospective analysis was performed, based on the data that were derived from our institution’s database, centered on patients to which an ASD was incorporated into their initial shunt device between 2006 and 2021. A combination of clinical, surgical, radiological findings, along with the relevant demographic characteristics of the patients were collected and analyzed. We attempted to compare the rates of shunt dysfunction, attributed to occlusion of the ventricular catheter, in a group of patients, before and after the incorporation of an anti-siphon device to all of them. A total number of 120 patients who have already been shunted due to hydrocephalus of different etiologies, were managed with the insertion of an ASD. These devices were inserted at different anatomical locations, which were located peripherally to the initially inserted valvular mechanism. The data that were collected from a subpopulation of 17 of these patients were subjected to a separate statistical analysis because they underwent a disproportionately large number of operations (i.e., >10-lifetime shunt revisions). These patients were studied separately as their medical records were complicated. The analysis of our records revealed that the secondary implementation of an ASD resulted in a decrease of the 1-year and 5-year central catheter dysfunction rates in all of our patients when compared with the relevant obstruction rates at the same time points prior to ASD insertion. According to our data, and in concordance with a lot of current literature reports, an ASD may offer a significant reduction in the obstruction rates that is related to the ventricular catheter of the shunt. These data could only be considered preliminary and need to be confirmed with prospective studies. Nevertheless, this study could be considered capable of providing supportive evidence that chronic shunt over-drainage is a crucial factor in the pathophysiology of shunt malfunction. Apart from that, it could provide pilot data that could be reviewed in order to organize further clinical and laboratory studies, aiming toward the assessment of optimal shunt valve systems that, along with ASD, resist siphoning. Full article
Show Figures

Figure 1

21 pages, 5729 KB  
Review
Shunt Overdrainage: Reappraisal of the Syndrome and Proposal for an Integrative Model
by Bienvenido Ros, Sara Iglesias, Jorge Linares, Laura Cerro, Julia Casado and Miguel Angel Arráez
J. Clin. Med. 2021, 10(16), 3620; https://doi.org/10.3390/jcm10163620 - 17 Aug 2021
Cited by 23 | Viewed by 11854
Abstract
Although shunt overdrainage is a well-known complication in hydrocephalus management, the problem has been underestimated. Current literature suggests that the topic requires more examination. An insight into this condition is limited by a lack of universally agreed-upon diagnostic criteria, heterogeneity of published series, [...] Read more.
Although shunt overdrainage is a well-known complication in hydrocephalus management, the problem has been underestimated. Current literature suggests that the topic requires more examination. An insight into this condition is limited by a lack of universally agreed-upon diagnostic criteria, heterogeneity of published series, the multitude of different management options and misunderstanding of relationships among pathophysiological mechanisms involved. We carried out a review of the literature on clinical, radiological, intracranial pressure (ICP), pathophysiological and treatment concepts to finally propose an integrative model. Active prophylaxis and management are proposed according to this model based on determination of pathophysiological mechanisms and predisposing factors behind each individual case. As pathophysiology is progressively multifactorial, prevention of siphoning with gravitational valves or antisiphon devices is mandatory to avoid or minimize further complications. Shunt optimization or transferal and neuroendoscopy may be recommended when ventricular collapse and cerebrospinal fluid isolation appear. Cranial expansion may be useful in congenital or acquired craniocerebral disproportion and shunting the subarachnoid space in communicating venous hydrocephalus and idiopathic intracranial hypertension. Full article
Show Figures

Figure 1

22 pages, 4473 KB  
Article
Design Optimization of Centrifugal Microfluidic “Lab-on-a-Disc” Systems towards Fluidic Larger-Scale Integration
by Jens Ducrée
Appl. Sci. 2021, 11(13), 5839; https://doi.org/10.3390/app11135839 - 23 Jun 2021
Cited by 10 | Viewed by 4121
Abstract
Enhancing the degree of functional multiplexing while assuring operational reliability and manufacturability at competitive costs are crucial ingredients for enabling comprehensive sample-to-answer automation, e.g., for use in common, decentralized “Point-of-Care” or “Point-of-Use” scenarios. This paper demonstrates a model-based “digital twin” approach, which efficiently [...] Read more.
Enhancing the degree of functional multiplexing while assuring operational reliability and manufacturability at competitive costs are crucial ingredients for enabling comprehensive sample-to-answer automation, e.g., for use in common, decentralized “Point-of-Care” or “Point-of-Use” scenarios. This paper demonstrates a model-based “digital twin” approach, which efficiently supports the algorithmic design optimization of exemplary centrifugo-pneumatic (CP) dissolvable-film (DF) siphon valves toward larger-scale integration (LSI) of well-established “Lab-on-a-Disc” (LoaD) systems. Obviously, the spatial footprint of the valves and their upstream laboratory unit operations (LUOs) have to fit, at a given radial position prescribed by its occurrence in the assay protocol, into the locally accessible disc space. At the same time, the retention rate of a rotationally actuated CP-DF siphon valve and, most challengingly, its band width related to unavoidable tolerances of experimental input parameters need to slot into a defined interval of the practically allowed frequency envelope. To accomplish particular design goals, a set of parametrized metrics is defined, which are to be met within their practical boundaries while (numerically) minimizing the band width in the frequency domain. While each LSI scenario needs to be addressed individually on the basis of the digital twin, a suite of qualitative design rules and instructive showcases structures are presented. Full article
(This article belongs to the Special Issue Fluid Flows Modelling in Microfluidic Systems)
Show Figures

Figure 1

15 pages, 2628 KB  
Review
Neurosurgical CSF Diversion in Idiopathic Intracranial Hypertension: A Narrative Review
by Geraint J. Sunderland, Michael D. Jenkinson, Elizabeth J. Conroy, Carrol Gamble and Conor L. Mallucci
Life 2021, 11(5), 393; https://doi.org/10.3390/life11050393 - 26 Apr 2021
Cited by 17 | Viewed by 5425
Abstract
The prevalence of idiopathic intracranial hypertension (IIH), a complex disorder, is increasing globally in association with obesity. The IIH syndrome occurs as the result of elevated intracranial pressure, which can cause permanent visual impairment and loss if not adequately managed. CSF diversion via [...] Read more.
The prevalence of idiopathic intracranial hypertension (IIH), a complex disorder, is increasing globally in association with obesity. The IIH syndrome occurs as the result of elevated intracranial pressure, which can cause permanent visual impairment and loss if not adequately managed. CSF diversion via ventriculoperitoneal and lumboperitoneal shunts is a well-established strategy to protect vision in medically refractory cases. Success of CSF diversion is compromised by high rates of complication; including over-drainage, obstruction, and infection. This review outlines currently used techniques and technologies in the management of IIH. Neurosurgical CSF diversion is a vital component of the multidisciplinary management of IIH. Full article
(This article belongs to the Special Issue Idiopathic Intracranial Hypertension)
Show Figures

Figure 1

15 pages, 2218 KB  
Article
Siphon-Controlled Automation on a Lab-on-a-Disc Using Event-Triggered Dissolvable Film Valves
by Brian D. Henderson, David J. Kinahan, Jeanne Rio, Rohit Mishra, Damien King, Sarai M. Torres-Delgado, Dario Mager, Jan G. Korvink and Jens Ducrée
Biosensors 2021, 11(3), 73; https://doi.org/10.3390/bios11030073 - 6 Mar 2021
Cited by 14 | Viewed by 5092
Abstract
Within microfluidic technologies, the centrifugal microfluidic “Lab-on-a-Disc” (LoaD) platform offers great potential for use at the PoC and in low-resource settings due to its robustness and the ability to port and miniaturize ‘wet bench’ laboratory protocols. We present the combination of ‘event-triggered dissolvable [...] Read more.
Within microfluidic technologies, the centrifugal microfluidic “Lab-on-a-Disc” (LoaD) platform offers great potential for use at the PoC and in low-resource settings due to its robustness and the ability to port and miniaturize ‘wet bench’ laboratory protocols. We present the combination of ‘event-triggered dissolvable film valves’ with a centrifugo-pneumatic siphon structure to enable control and timing, through changes in disc spin-speed, of the release and incubations of eight samples/reagents/wash buffers. Based on these microfluidic techniques, we integrated and automated a chemiluminescent immunoassay for detection of the CVD risk factor marker C-reactive protein displaying a limit of detection (LOD) of 44.87 ng mL−1 and limit of quantitation (LoQ) of 135.87 ng mL−1. Full article
(This article belongs to the Special Issue Biosensors for Rapid Diagnostics)
Show Figures

Figure 1

14 pages, 3674 KB  
Article
Siphon-Induced Droplet Break-Off for Enhanced Mixing on a Centrifugal Platform
by Robert Burger, David J Kinahan, Hélène Cayron, Nuno Reis, João Fonseca and Jens Ducrée
Inventions 2020, 5(1), 1; https://doi.org/10.3390/inventions5010001 - 22 Dec 2019
Cited by 13 | Viewed by 6123
Abstract
We present a powerful and compact batch-mode mixing and dilution technique for centrifugal microfluidic platforms. Siphon structures are designed to discretize continuous flows into a sequence of droplets of volumes as low as 100 nL. Using a passive, self-regulating 4-step mechanism, discrete volumes [...] Read more.
We present a powerful and compact batch-mode mixing and dilution technique for centrifugal microfluidic platforms. Siphon structures are designed to discretize continuous flows into a sequence of droplets of volumes as low as 100 nL. Using a passive, self-regulating 4-step mechanism, discrete volumes of two fluids are alternatingly issued into a common intermediate chamber. At its base, a capillary valve acts as a fluidic shift register; a single droplet is held in place while two or more droplets merge and pass through the capillary stop. These merged droplets are advectively mixed as they pass through the capillary valve and into the receiving chamber. Mixing is demonstrated for various combinations of liquids such as aqueous solutions as well as saline solutions and human plasma. The mixing quality is assessed on a quantitative scale by using a colorimetric method based on the mixing of potassium thiocyanate and iron(III) chloride, and in the case of human plasma using a spectroscopic method. For instance, volumes of 5 µL have been mixed in less than 20 s. Single-step dilutions up to 1:5 of plasma in a standard phosphate buffer solution are also demonstrated. This work describes the preliminary development of the mixing method which has since been integrated into a commercially available microfluidic cartridge. Full article
(This article belongs to the Special Issue Microfluidic Devices)
Show Figures

Figure 1

10 pages, 2457 KB  
Article
Determination of Mercury(II) on A Centrifugal Microfluidic Device Using Ionic Liquid Dispersive Liquid−Liquid Microextraction
by Yun Hui, Yujia Liu, William C. Tang, Dian Song, Marc Madou, Shanhong Xia and Tianzhun Wu
Micromachines 2019, 10(8), 523; https://doi.org/10.3390/mi10080523 - 8 Aug 2019
Cited by 14 | Viewed by 4569
Abstract
An integrated centrifugal microfluidic device was developed to preconcentrate and detect hazardous mercury (II) in water with ionic liquid as environmentally friendly extractant. An automatically salt-controlled ionic liquid dispersive liquid–liquid microextraction on a centrifugal microfluidic device was designed, fabricated, and characterized. The entire [...] Read more.
An integrated centrifugal microfluidic device was developed to preconcentrate and detect hazardous mercury (II) in water with ionic liquid as environmentally friendly extractant. An automatically salt-controlled ionic liquid dispersive liquid–liquid microextraction on a centrifugal microfluidic device was designed, fabricated, and characterized. The entire liquid transport mixing and separation process was controlled by rotation speed, siphon valves, and capillary valves. Still frame images on the rotating device showed the process in detail, revealing the sequential steps of mixing, siphon priming, transportation between chambers, and phase separation. The preconcentration of red dye could be clearly observed with the naked eye. By combining fluorescence probe and microscopy techniques, the device was tested to determine ppb-level mercury (II) in water, and was found to exhibit good linearity and low detection limit. Full article
(This article belongs to the Special Issue Advanced MEMS/NEMS Technology, Volume II)
Show Figures

Graphical abstract

13 pages, 1783 KB  
Article
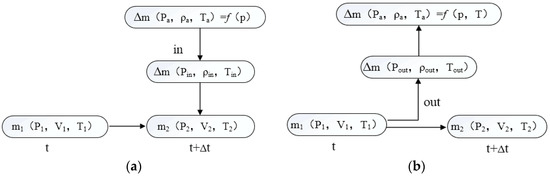
Study on the Mathematical Model of Vacuum Breaker Valve for Large Air Mass Conditions
by Xiao-ying Zhang, Cheng-yu Fan, Xiao-dong Yu, Jian Zhang, Jia-wen Lv and Ting-yu Xu
Water 2019, 11(7), 1358; https://doi.org/10.3390/w11071358 - 30 Jun 2019
Cited by 4 | Viewed by 4584
Abstract
The mathematical model of vacuum breaker valve is significant to the protection scheme. The more accurate the vacuum breaker valve model, the more reliable the calculation results. In this study, the application conditions of the air valve model are analyzed according to the [...] Read more.
The mathematical model of vacuum breaker valve is significant to the protection scheme. The more accurate the vacuum breaker valve model, the more reliable the calculation results. In this study, the application conditions of the air valve model are analyzed according to the assumptions used in the derivation, and the contradictions between these assumptions are proposed. Then, according to the different working characteristics between the vacuum breaker valve on the siphon outlet pipe and the air valve, the vacuum breaker valve model is deduced based on the modified assumptions. In the derivation process, the thermodynamic change of the gas in the vacuum breaker valve is assumed to follow the isentropic process rather than an isothermal process, and the water level in the vacuum breaker valve is considered to be changeable. An engineering case is introduced, and the results calculated according to the vacuum breaker valve model are compared with those resulting from the air valve model. The results indicate that the vacuum breaker valve model is suitable for large air mass conditions and can provide a theoretical basis for the numerical simulation and settings of vacuum breaker valves. Full article
(This article belongs to the Section Hydraulics and Hydrodynamics)
Show Figures

Figure 1

15 pages, 3227 KB  
Article
A Novel PZT Pump with Built-in Compliant Structures
by Qibo Bao, Jianhui Zhang, Ming Tang, Zhi Huang, Liyi Lai, Jun Huang and Chuanyu Wu
Sensors 2019, 19(6), 1301; https://doi.org/10.3390/s19061301 - 15 Mar 2019
Cited by 40 | Viewed by 5491
Abstract
Different to the traditionally defined valved piezoelectric (PZT) pump and valveless PZT pump, two groups of PZT pumps with built-in compliant structures—with distances between the free ends of 0.2 mm (Group A) and 0 mm (Group B)—were designed, fabricated, and experimentally tested. This [...] Read more.
Different to the traditionally defined valved piezoelectric (PZT) pump and valveless PZT pump, two groups of PZT pumps with built-in compliant structures—with distances between the free ends of 0.2 mm (Group A) and 0 mm (Group B)—were designed, fabricated, and experimentally tested. This type of pump mainly contains a chamber 12 mm in diameter and 1.1 mm in height, a PZT vibrator, and two pairs of compliant structures arranged on the flowing channel. The flow-resistance differences between these two groups of PZT pumps were theoretically and experimentally verified. The relationships between the amplitude, applied voltage and frequency of the PZT vibrators were obtained experimentally, with results illustrating that the amplitude linearly and positively correlates with the voltage, while nonlinearly and negatively correlating to the frequency. The flow rate performance of these two groups was experimentally tested from 110–160 Vpp and 10–130 Hz. Results showed that the flow rate positively correlates to the voltage, and the optimum flow rate frequency centers around 90 Hz for Group A and 80 Hz for Group B, respectively. The flow rate performances of Group B were further measured from 60–100 Hz and 170–210 Vpp, and obtained optimal flow rates of 3.6 mL/min at 210 Vpp and 80 Hz when ignoring the siphon-caused backward flow rate. As the compliant structures are not prominently limited by the channel’s size, and the pump can be minimized by Micro-electromechanical Systems (MEMS) processing methods, it is a suitable candidate for microfluidic applications like closed-loop cooling systems and drug delivery systems. Full article
(This article belongs to the Section Physical Sensors)
Show Figures

Figure 1

Back to TopTop