Sign in to use this feature.

Years

Between: -

Subjects

remove_circle_outline
remove_circle_outline
remove_circle_outline
remove_circle_outline
remove_circle_outline
remove_circle_outline

Journals

Article Types

Countries / Regions

Search Results (28)

Search Parameters:
Keywords = singular Cauchy problem

Order results
Result details
Results per page
Select all
Export citation of selected articles as:
17 pages, 330 KB  
Article
Boundary Value Problems and Propagation of Singularities for Several Partial Differential Equations of Mathematical Physics
by Angela Slavova and Petar Popivanov
Mathematics 2026, 14(5), 883; https://doi.org/10.3390/math14050883 - 5 Mar 2026
Viewed by 164
Abstract
This paper deals with several equations of mathematical physics written in explicit form with their solutions. In Theorem 1, an oblique derivative problem for the string equation is studied. More precisely, the initial-boundary value problem for the string equation is investigated. The corresponding [...] Read more.
This paper deals with several equations of mathematical physics written in explicit form with their solutions. In Theorem 1, an oblique derivative problem for the string equation is studied. More precisely, the initial-boundary value problem for the string equation is investigated. The corresponding vector field on the boundary is non-vanishing and does not have a characteristic direction, but can be tangential to some part of the boundary, and it is allowed to change sign. A classical solution exists with suitable compatibility conditions at the corner points. The picture changes significantly in the case of the wave equation with several (say two: 2D) space variables in a circular cylinder. The initial-boundary value problem turns out to be underdetermined with an infinite-dimensional kernel if the boundary vector field is orthogonal to the time axis. By prescribing extra conditions on the generatrices of the cylinder where the vector field is tangential to the cylinder, we obtain a unique classical solution. In Theorem 2, we consider the Cauchy problem in the interior of the parabola of the Lorentzian-type eikonal equation and find its unique classical solution in {0x21/2}{x2x122}. Propagation of singularities for the D and 3 D hyperbolic (Klein–Gordon) equations in R4, R8 is studied in Theorem 3. In the double characteristic points, the wave front propagates either along the surface of the characteristic cone, or in the solid cone starting from (t0,x0). Full article
(This article belongs to the Section C1: Difference and Differential Equations)
Show Figures

Figure 1

21 pages, 1400 KB  
Article
Frictional Contact of Functionally Graded Piezoelectric Materials with Arbitrarily Varying Properties
by Xiuli Liu, Kaiwen Xiao, Changyao Zhang, Xinyu Zhou, Lingfeng Gao and Jing Liu
Mathematics 2026, 14(3), 450; https://doi.org/10.3390/math14030450 - 27 Jan 2026
Viewed by 220
Abstract
This study investigates the two-dimensional (2D) steady-state frictional contact behavior of functionally graded piezoelectric material (FGPM) coatings under a high-speed rigid cylindrical punch. An electromechanical coupled contact model considering inertial effects is established, while a layered model is employed to simulate arbitrarily varying [...] Read more.
This study investigates the two-dimensional (2D) steady-state frictional contact behavior of functionally graded piezoelectric material (FGPM) coatings under a high-speed rigid cylindrical punch. An electromechanical coupled contact model considering inertial effects is established, while a layered model is employed to simulate arbitrarily varying material parameters. Based on piezoelectric elasticity theory, the steady-state governing equations for the coupled system are derived. By utilizing the transfer matrix method and the Fourier integral transform, the boundary value problem is converted into a system of coupled Cauchy singular integral equations of the first and second kinds in the frequency domain. These equations are solved semi-analytically, using the least squares method combined with an iterative algorithm. Taking a power-law gradient distribution as a case study, the effects of the gradient index, relative sliding speed, and friction coefficient on the contact pressure, in-plane stress, and electric displacement are systematically analyzed. Furthermore, the contact responses of FGPM coatings with power-law, exponential, and sinusoidal gradient profiles are compared. The findings provide a theoretical foundation for the optimal design of FGPM coatings and for enhancing their operational reliability under high-speed service conditions. Full article
Show Figures

Figure 1

36 pages, 544 KB  
Article
Well-Posedness of Cauchy-Type Problems for Nonlinear Implicit Hilfer Fractional Differential Equations with General Order in Weighted Spaces
by Jakgrit Sompong, Samten Choden, Ekkarath Thailert and Sotiris K. Ntouyas
Symmetry 2025, 17(7), 986; https://doi.org/10.3390/sym17070986 - 22 Jun 2025
Viewed by 564
Abstract
This paper establishes the well-posedness of Cauchy-type problems with non-symmetric initial conditions for nonlinear implicit Hilfer fractional differential equations of general fractional orders in weighted function spaces. Using fixed-point techniques, we first prove the existence of solutions via Schaefer’s fixed-point theorem. The uniqueness [...] Read more.
This paper establishes the well-posedness of Cauchy-type problems with non-symmetric initial conditions for nonlinear implicit Hilfer fractional differential equations of general fractional orders in weighted function spaces. Using fixed-point techniques, we first prove the existence of solutions via Schaefer’s fixed-point theorem. The uniqueness and Ulam–Hyers stability are then derived using Banach’s contraction principle. By introducing a novel singular-kernel Gronwall inequality, we extend the analysis to Ulam–Hyers–Rassias stability and continuous dependence on initial data. The theoretical framework is unified for general fractional orders and validated through examples, demonstrating its applicability to implicit systems with memory effects. Key contributions include weighted-space analysis and stability criteria for this class of equations. Full article
Show Figures

Figure 1

30 pages, 394 KB  
Article
Problems with Missing Tricomi Condition and Analog of Frankl Condition for One Class of Mixed Type Equations
by Assel Makulbay, Mirakhmat Mirsaburov, Abdumauvlen Berdyshev and Gulbakhor Mirsaburova
Mathematics 2025, 13(11), 1875; https://doi.org/10.3390/math13111875 - 3 Jun 2025
Viewed by 745
Abstract
In this paper, for a mixed elliptic-hyperbolic type equation with various degeneration orders and singular coefficients, theorems of uniqueness and existence of the solution to the problem with a missing Tricomi condition on boundary characteristic and with an analog of Frankl condition on [...] Read more.
In this paper, for a mixed elliptic-hyperbolic type equation with various degeneration orders and singular coefficients, theorems of uniqueness and existence of the solution to the problem with a missing Tricomi condition on boundary characteristic and with an analog of Frankl condition on different parts of the cut boundary along the degeneration segment in the mixed domain are proved. On the degeneration line segment, a general conjugation condition is set, and on the boundary of the elliptic domain and degeneration segment, the Bitsadze–Samarskii condition is posed. The considered problem, based on integral representations of the solution to the Dirichlet problem (in elliptic part of the domain) and a modified Cauchy problem (in hyperbolic part of the domain), is reduced to solving a non-standard singular Tricomi integral equation with a non-Fredholm integral operator (featuring an isolated first-order singularity in the kernel) in non-characteristic part of the equation. Non-standard approaches are applied here in constructing the solution algorithm. Through successive applications of the theory of singular integral equations and then the Wiener–Hopf equation theory, the non-standard singular Tricomi integral equation is reduced to a Fredholm integral equation of the second kind, the unique solvability of which follows from the uniqueness theorem for the problem. Full article
(This article belongs to the Section C1: Difference and Differential Equations)
19 pages, 826 KB  
Article
Straight Disclinations in Fractional Nonlocal Medium
by Tamara Kyrylych and Yuriy Povstenko
Materials 2025, 18(8), 1717; https://doi.org/10.3390/ma18081717 - 9 Apr 2025
Viewed by 596
Abstract
The constitutive equation for a nonlocal stress tensor is represented as an integral with the suitable kernel function. In this paper, the nonlocality kernel is chosen as the Green function of the Cauchy problem for the fractional diffusion equation with the Caputo derivative [...] Read more.
The constitutive equation for a nonlocal stress tensor is represented as an integral with the suitable kernel function. In this paper, the nonlocality kernel is chosen as the Green function of the Cauchy problem for the fractional diffusion equation with the Caputo derivative with respect to the nonlocality parameter. The solutions of nonlocal elasticity problems for the straight wedge and twist disclinations in an infinite medium are obtained in the framework of this new nonlocal theory of elasticity. The Laplace integral transform with respect to the nonlocality parameter is used. It is necessary to emphasize that the transition from the nonlocal to local stress tensor is described by the limiting value of the nonlocality parameter τ0. The obtained stress fields do not contain nonphysical singularities at the disclination lines. Full article
(This article belongs to the Special Issue Feature Papers in Materials Physics (2nd Edition))
Show Figures

Figure 1

12 pages, 501 KB  
Article
Concentrated Couple in a Plane and in a Half-Plane in the Framework of Fractional Nonlocal Elasticity
by Yuriy Povstenko, Tamara Kyrylych, Bożena Woźna-Szcześniak, Ireneusz Szcześniak and Andrzej Yatsko
Appl. Sci. 2025, 15(4), 2048; https://doi.org/10.3390/app15042048 - 15 Feb 2025
Viewed by 957
Abstract
In nonlocal elasticity, the constitutive equation for the stress tensor is written in an integral form, with the weight function, referred to as the nonlocality kernel, often being the Green’s function for the partial differential equation. In this paper, we obtain solutions to [...] Read more.
In nonlocal elasticity, the constitutive equation for the stress tensor is written in an integral form, with the weight function, referred to as the nonlocality kernel, often being the Green’s function for the partial differential equation. In this paper, we obtain solutions to elasticity problems for a concentrated couple in a plane and on the boundary of a half-plane within framework of a new theory of nonlocal elasticity, where the nonlocal kernel is the Green’s function of the Cauchy problem for the fractional diffusion equation. The obtained solutions are free from nonphysical singularities that appear in the classical local elasticity solutions. Full article
(This article belongs to the Special Issue Deformation and Fracture Behaviors of Materials)
Show Figures

Figure 1

22 pages, 2243 KB  
Article
Thermal Friction Contact Analysis of Graded Piezoelectric Coatings Under Conductive Punch Loading
by Xinyu Zhou, Jing Liu and Jiajia Mao
Coatings 2025, 15(2), 222; https://doi.org/10.3390/coatings15020222 - 13 Feb 2025
Cited by 2 | Viewed by 1189
Abstract
In this paper, we investigate the thermal friction sliding contact of a functionally graded piezoelectric material (FGPM)-coated half-plane subjected to a rigid conductive cylindrical punch. This study considers the effect of the thermal convection term in heat conduction. The thermo-electro-elastic material parameters of [...] Read more.
In this paper, we investigate the thermal friction sliding contact of a functionally graded piezoelectric material (FGPM)-coated half-plane subjected to a rigid conductive cylindrical punch. This study considers the effect of the thermal convection term in heat conduction. The thermo-electro-elastic material parameters of the coating vary exponentially along its thickness direction. Utilizing thermoelastic theory and Fourier integral transforms, the problem is formulated into Cauchy singular integral equations of the first and second kinds with surface stress, contact width, and electric displacement as the unknown variables. The numerical solutions for the contact stress, electric displacement, and temperature field of the graded coating surface are obtained using the least-squares method and iterative techniques. It can be observed that the thermo-electro-elastic contact behavior of the coating surface undergoes significant changes as the graded index varies from −0.5 to 0.5, the friction coefficient ranges from 0.1 to 0.5, and the sliding velocity changes from 0.01 m/s to 0.05 m/s. The results indicate that adjusting the graded index of the coating, the sliding speed of the punch, and the friction coefficient can improve the thermo-electro-elastic contact damage of the material’s surface. Full article
Show Figures

Figure 1

12 pages, 316 KB  
Article
Singular Cauchy Problem for a Nonlinear Fractional Differential Equation
by Victor Orlov
Mathematics 2024, 12(22), 3629; https://doi.org/10.3390/math12223629 - 20 Nov 2024
Cited by 3 | Viewed by 932
Abstract
The paper studies a nonlinear equation including both fractional and ordinary derivatives. The singular Cauchy problem is considered. The theorem of the existence of uniqueness of a solution in the neighborhood of a fixed singular point of algebraic type is proved. An analytical [...] Read more.
The paper studies a nonlinear equation including both fractional and ordinary derivatives. The singular Cauchy problem is considered. The theorem of the existence of uniqueness of a solution in the neighborhood of a fixed singular point of algebraic type is proved. An analytical approximate solution is built, an a priori estimate is obtained. A formula for calculating the area where the proven theorem works is obtained. The theoretical results are confirmed by a numerical experiment in both digital and graphical versions. The technology of optimizing an a priori error using an a posteriori error is demonstrated. Full article
(This article belongs to the Special Issue Fractional Calculus and Mathematical Applications, 2nd Edition)
Show Figures

Figure 1

20 pages, 1432 KB  
Article
An Algorithm for the Solution of Integro-Fractional Differential Equations with a Generalized Symmetric Singular Kernel
by Sameeha A. Raad and Mohammed A. Abdou
Fractal Fract. 2024, 8(11), 644; https://doi.org/10.3390/fractalfract8110644 - 30 Oct 2024
Cited by 6 | Viewed by 1500
Abstract
This work studies an integro-fractional differential equation (I-FrDE) with a generalized symmetric singular kernel. The scientific approach in this study was to transform the integro-differential equation (I-DE) into a mixed integral equation (MIE) with an Able kernel [...] Read more.
This work studies an integro-fractional differential equation (I-FrDE) with a generalized symmetric singular kernel. The scientific approach in this study was to transform the integro-differential equation (I-DE) into a mixed integral equation (MIE) with an Able kernel in fractional time and a generalized symmetric singular kernel in position. Additionally, the authors first set conditions on the singular kernels, whether related to time or position, and then transform the integral equation into an integral operator. Secondly, the solution is unique, which is proven by means of fixed-point theorems. In combination with the solution rules, the convergence of the solution is studied, and the error equation resulting from the solution is a stable error-integral influencer equation. Next, to solve this MIE, the authors apply a special technique to separate the variables and produce an integral equation in position with coefficients, in the form of an integral operator in time. As the most effective technique for resolving singular integral equations, the Toeplitz matrix method (TMM) is utilized to convert the integral equation into an algebraic system for the purpose of solving the position problem. The existence of a solution to the linear algebraic system in Banach space is then demonstrated. Lastly, certain applications where the functions of the generalized symmetric kernel are cubic or exponential and it assumes the logarithmic, Cauchy, or Carleman form are discussed. In each case, Maple 18 is also used to compute the error estimate. Full article
Show Figures

Figure 1

12 pages, 660 KB  
Article
Non-Local Problems for the Fractional Order Diffusion Equation and the Degenerate Hyperbolic Equation
by Menglibay Ruziev, Roman Parovik, Rakhimjon Zunnunov and Nargiza Yuldasheva
Fractal Fract. 2024, 8(9), 538; https://doi.org/10.3390/fractalfract8090538 - 16 Sep 2024
Cited by 1 | Viewed by 1613
Abstract
This research explores nonlocal problems associated with fractional diffusion equations and degenerate hyperbolic equations featuring singular coefficients in their lower-order terms. The uniqueness of the solution is established using the energy integral method, while the existence of the solution is equivalently reduced to [...] Read more.
This research explores nonlocal problems associated with fractional diffusion equations and degenerate hyperbolic equations featuring singular coefficients in their lower-order terms. The uniqueness of the solution is established using the energy integral method, while the existence of the solution is equivalently reduced to solving Volterra integral equations of the second kind and a fractional differential equation. The study focuses on a mixed domain where the parabolic section aligns with the upper half-plane, and the hyperbolic section is bounded by two characteristics of the equation under consideration and a segment of the x-axis. By utilizing the solution representation of the fractional-order diffusion equation, a primary functional relationship is derived between the traces of the sought function on the x-axis segment from the parabolic part of the mixed domain. An explicit solution form for the modified Cauchy problem in the hyperbolic section of the mixed domain is presented. This solution, combined with the problem’s boundary condition, yields a fundamental functional relationship between the traces of the unknown function, mapped to the interval of the equation’s degeneration line. Through the conjugation condition of the problem, an equation with fractional derivatives is obtained by eliminating one unknown function from two functional relationships. The solution to this equation is explicitly formulated. For a specific solution of the proposed problem, visualizations are provided for various orders of the fractional derivative. The analysis demonstrates that the derivative order influences both the intensity of the diffusion (or subdiffusion) process and the shape of the wave front. Full article
Show Figures

Figure 1

13 pages, 1830 KB  
Article
Analysis of an Interface Crack between Piezoelectric Semiconductor Coating and Elastic Substrate Structure
by Xiangru Tian, Yali Zhang, Hailiang Ma, Xing Li and Shenghu Ding
Mathematics 2024, 12(8), 1208; https://doi.org/10.3390/math12081208 - 17 Apr 2024
Cited by 4 | Viewed by 1691
Abstract
Piezoelectric semiconductor materials possess a unique combination of piezoelectric and semiconductor effects, exhibiting multifaceted coupling properties such as electromechanical, acoustic, photoelectric, photovoltaic, thermal, and thermoelectric capabilities. This study delves into the anti-plane mechanical model of an interface crack between a strip of piezoelectric [...] Read more.
Piezoelectric semiconductor materials possess a unique combination of piezoelectric and semiconductor effects, exhibiting multifaceted coupling properties such as electromechanical, acoustic, photoelectric, photovoltaic, thermal, and thermoelectric capabilities. This study delves into the anti-plane mechanical model of an interface crack between a strip of piezoelectric semiconductor material and an elastic material. By introducing two boundary conditions, the mixed boundary value problem is reformulated into a set of singular integral equations with a Cauchy kernel. The details of carrier concentration, current density, and electric displacement near the crack are provided in a numerical analysis. The findings reveal that the distribution of the current density, carrier concentration, and electric displacement is intricately influenced by the doping concentration of the piezoelectric semiconductor. Moreover, the presence of mechanical and electric loads can either expedite or decelerate the growth of the crack, highlighting the pivotal role of external stimuli in influencing material behavior. Full article
(This article belongs to the Special Issue Mathematical Applications in Electrical Engineering)
Show Figures

Figure 1

17 pages, 377 KB  
Article
The Application of the Bidiagonal Factorization of Totally Positive Matrices in Numerical Linear Algebra
by José-Javier Martínez
Axioms 2024, 13(4), 258; https://doi.org/10.3390/axioms13040258 - 14 Apr 2024
Cited by 3 | Viewed by 1970
Abstract
The approach to solving linear systems with structured matrices by means of the bidiagonal factorization of the inverse of the coefficient matrix is first considered in this review article, the starting point being the classical Björck–Pereyra algorithms for Vandermonde systems, published in 1970 [...] Read more.
The approach to solving linear systems with structured matrices by means of the bidiagonal factorization of the inverse of the coefficient matrix is first considered in this review article, the starting point being the classical Björck–Pereyra algorithms for Vandermonde systems, published in 1970 and carefully analyzed by Higham in 1987. The work of Higham briefly considered the role of total positivity in obtaining accurate results, which led to the generalization of this approach to totally positive Cauchy, Cauchy–Vandermonde and generalized Vandermonde matrices. Then, the solution of other linear algebra problems (eigenvalue and singular value computation, least squares problems) is addressed, a fundamental tool being the bidiagonal decomposition of the corresponding matrices. This bidiagonal decomposition is related to the theory of Neville elimination, although for achieving high relative accuracy the algorithm of Neville elimination is not used. Numerical experiments showing the good behavior of these algorithms when compared with algorithms that ignore the matrix structure are also included. Full article
(This article belongs to the Special Issue Advances in Linear Algebra with Applications)
16 pages, 255 KB  
Article
Boundary Value Problems for the Perturbed Dirac Equation
by Hongfen Yuan, Guohong Shi and Xiushen Hu
Axioms 2024, 13(4), 238; https://doi.org/10.3390/axioms13040238 - 4 Apr 2024
Viewed by 1592
Abstract
The perturbed Dirac operators yield a factorization for the well-known Helmholtz equation. In this paper, using the fundamental solution for the perturbed Dirac operator, we define Cauchy-type integral operators (singular integral operators with a Cauchy kernel). With the help of these operators, we [...] Read more.
The perturbed Dirac operators yield a factorization for the well-known Helmholtz equation. In this paper, using the fundamental solution for the perturbed Dirac operator, we define Cauchy-type integral operators (singular integral operators with a Cauchy kernel). With the help of these operators, we investigate generalized Riemann and Dirichlet problems for the perturbed Dirac equation which is a higher-dimensional generalization of a Vekua-type equation. Furthermore, applying the generalized Cauchy-type integral operator F˜λ, we construct the Mann iterative sequence and prove that the iterative sequence strongly converges to the fixed point of operator F˜λ. Full article
20 pages, 637 KB  
Article
Multidimensional Diffusion-Wave-Type Solutions to the Second-Order Evolutionary Equation
by Alexander Kazakov and Anna Lempert
Mathematics 2024, 12(2), 354; https://doi.org/10.3390/math12020354 - 22 Jan 2024
Cited by 1 | Viewed by 1450
Abstract
The paper concerns a nonlinear second-order parabolic evolution equation, one of the well-known objects of mathematical physics, which describes the processes of high-temperature thermal conductivity, nonlinear diffusion, filtration of liquid in a porous medium and some other processes in continuum mechanics. A particular [...] Read more.
The paper concerns a nonlinear second-order parabolic evolution equation, one of the well-known objects of mathematical physics, which describes the processes of high-temperature thermal conductivity, nonlinear diffusion, filtration of liquid in a porous medium and some other processes in continuum mechanics. A particular case of it is the well-known porous medium equation. Unlike previous studies, we consider the case of several spatial variables. We construct and study solutions that describe disturbances propagating over a zero background with a finite speed, usually called ‘diffusion-wave-type solutions’. Such effects are atypical for parabolic equations and appear since the equation degenerates on manifolds where the desired function vanishes. The paper pays special attention to exact solutions of the required type, which can be expressed as either explicit or implicit formulas, as well as a reduction of the partial differential equation to an ordinary differential equation that cannot be integrated in quadratures. In this connection, Cauchy problems for second-order ordinary differential equations arise, inheriting the singularities of the original formulation. We prove the existence of continuously differentiable solutions for them. A new example, an analog of the classic example by S.V. Kovalevskaya for the considered case, is constructed. We also proved a new existence and uniqueness theorem of heat-wave-type solutions in the class of piece-wise analytic functions, generalizing previous ones. During the proof, we transit to the hodograph plane, which allows us to overcome the analytical difficulties. Full article
(This article belongs to the Section C1: Difference and Differential Equations)
Show Figures

Figure 1

15 pages, 1628 KB  
Article
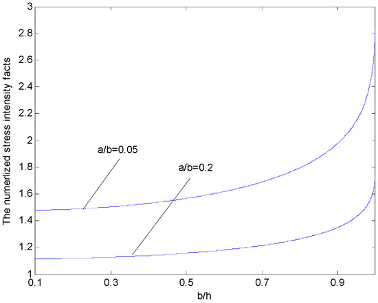
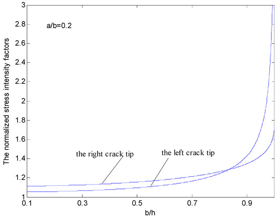
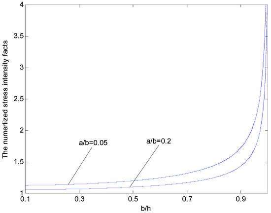
Analytical Solution for a 1D Hexagonal Quasicrystal Strip with Two Collinear Mode-III Cracks Perpendicular to the Strip Boundaries
by Jing Yu and Junhong Guo
Crystals 2023, 13(4), 661; https://doi.org/10.3390/cryst13040661 - 11 Apr 2023
Cited by 11 | Viewed by 2380
Abstract
We considered the problem of determining the singular elastic fields in a one-dimensional (1D) hexagonal quasicrystal strip containing two collinear cracks perpendicular to the strip boundaries under antiplane shear loading. The Fourier series method was used to reduce the boundary value problem to [...] Read more.
We considered the problem of determining the singular elastic fields in a one-dimensional (1D) hexagonal quasicrystal strip containing two collinear cracks perpendicular to the strip boundaries under antiplane shear loading. The Fourier series method was used to reduce the boundary value problem to triple series equations, then to singular integral equations with Cauchy kernel. The analytical solutions are in a closed form for the stress field, and the stress intensity factors and the energy release rates of the phonon and phason fields near the crack tip are expressed using the first and third complete elliptic integrals. The effects of the geometrical parameters of the crack configuration on the dimensionless stress intensity factors are presented graphically. The studied crack model can be used to solve the problems of a periodic array of two collinear cracks of equal length in a 1D hexagonal quasicrystal strip and an eccentric crack in a 1D hexagonal quasicrystal strip. The propagation of cracks produced during their manufacturing process may result in the premature failure of quasicrystalline materials. Therefore, it is very important to study the crack problem of quasicrystalline materials with defects as mentioned above. It can provide a theoretical basis for the application of quasicrystalline materials containing the above defects. Full article
Show Figures

Figure 1

Back to TopTop