Sign in to use this feature.

Years

Between: -

Subjects

remove_circle_outline
remove_circle_outline
remove_circle_outline
remove_circle_outline

Journals

Article Types

Countries / Regions

Search Results (20)

Search Parameters:
Keywords = sialylation of glycoproteins and glycolipids

Order results
Result details
Results per page
Select all
Export citation of selected articles as:
17 pages, 1922 KB  
Article
Assessment of Sialic Acid Content in Dairy Products from Buffalo’s and Goat’s Milk Compared to Cow’s Milk
by Simona Rinaldi, Michela Contò, Carlo Boselli, Giuliano Palocci, Angelo Citro and Sebastiana Failla
Dairy 2025, 6(6), 62; https://doi.org/10.3390/dairy6060062 - 28 Oct 2025
Viewed by 1111
Abstract
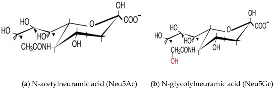
Sialic acids (SIAs) are bioactive compounds present in glycoproteins and glycolipids, playing key roles in human physiology. N-acetylneuraminic acid (Neu5Ac), the only sialic acid synthesized by humans, contributes to neurodevelopment and immune function, whereas N-glycolylneuraminic acid (Neu5Gc), acquired from animal-derived foods, is potentially [...] Read more.
Sialic acids (SIAs) are bioactive compounds present in glycoproteins and glycolipids, playing key roles in human physiology. N-acetylneuraminic acid (Neu5Ac), the only sialic acid synthesized by humans, contributes to neurodevelopment and immune function, whereas N-glycolylneuraminic acid (Neu5Gc), acquired from animal-derived foods, is potentially harmful, showing pro-inflammatory properties. Accordingly, a high Neu5Ac/Neu5Gc ratio represents an important nutritional indicator. This study quantified the two main forms of SIA in five commercial cheese types (mozzarella, stracchino, caciotta, robiola, ricotta) produced from cow (C), buffalo (B), and goat (G) milk, as well as in laboratory cheesemaking from 1000 g of milk from each species. Neu5Gc concentrations were significantly higher in G cheeses (p < 0.001), while Neu5Ac was more abundant in C cheeses (p < 0.05). Consequently, the Neu5Ac/Neu5Gc ratio was markedly higher in C and B cheeses (24.11 and 21.57, respectively) than in G (1.29), reflecting species-specific glycosylation patterns. Among cheese types, ricotta produced from whey exhibited the highest SIA concentrations among all species, followed by robiola, mozzarella and stracchino. In contrast, caciotta showed the lowest SIA levels. The laboratory cheesemaking trial confirmed that most SIAs remained bound to whey proteins. These findings highlighted the combined effect of milk species and cheesemaking on sialylation, with potential nutritional implications. Full article
(This article belongs to the Section Milk and Human Health)
Show Figures

Graphical abstract

25 pages, 1563 KB  
Review
Dysregulated Sialylation in Cancer: From Immunosuppressive Microenvironment to Siglec-Targeted Therapeutics
by Yuecheng Zhang, Zhengyao Gao, Yuhan Zhang, Siqin Ai, Wenyan Li and Lingbo Sun
Biomolecules 2025, 15(10), 1375; https://doi.org/10.3390/biom15101375 - 27 Sep 2025
Cited by 1 | Viewed by 1965
Abstract
Sialic acid, typically positioned at the terminal ends of glycoprotein or glycolipid chains via glycosyltransferase activity, is indispensable for intercellular recognition and signal transduction. Aberrant sialylation has been implicated in disrupted cell communication and oncogenic signaling, contributing to carcinogenesis. Consequently, targeting sialic acid [...] Read more.
Sialic acid, typically positioned at the terminal ends of glycoprotein or glycolipid chains via glycosyltransferase activity, is indispensable for intercellular recognition and signal transduction. Aberrant sialylation has been implicated in disrupted cell communication and oncogenic signaling, contributing to carcinogenesis. Consequently, targeting sialic acid metabolism has emerged as a promising strategy for cancer diagnosis and therapy. This review first delineates the physiological biosynthesis of sialic acid and molecular mechanisms underlying its pathological dysregulation. We then examine the sialic acid–Siglec axis as an immune checkpoint in cancer immunotherapy, highlighting its functional convergence and divergence from the PD-1/PD-L1 pathway. Furthermore, we elucidate how aberrant sialylation drives malignant transformation. Finally, we synthesize current therapeutic strategies targeting the sialic acid–Siglec axis, with particular emphasis on implementing nanomaterial-based platforms in clinical translation. These advances may yield novel diagnostic tools and therapeutic targets for glycobiology-guided precision medicine. Full article
(This article belongs to the Section Molecular Biology)
Show Figures

Figure 1

20 pages, 2078 KB  
Review
Bacterial Sialidases: Biological Significance and Application
by Stephan Engibarov, Yana Gocheva, Irina Lazarkevich and Rumyana Eneva
Appl. Biosci. 2025, 4(2), 17; https://doi.org/10.3390/applbiosci4020017 - 1 Apr 2025
Cited by 3 | Viewed by 2927
Abstract
This review summarizes recent findings on the diverse roles of bacterial sialidases in microbial biology. Bacterial sialidases, also known as neuraminidases, are exog α-lycosidases that cleave terminal sialic acid residues from a number of complex compounds designated as sialoglycoconjugates (glycoproteins, glycolipids and oligosaccharides). [...] Read more.
This review summarizes recent findings on the diverse roles of bacterial sialidases in microbial biology. Bacterial sialidases, also known as neuraminidases, are exog α-lycosidases that cleave terminal sialic acid residues from a number of complex compounds designated as sialoglycoconjugates (glycoproteins, glycolipids and oligosaccharides). Metabolically, they are involved in sialic acid catabolism, providing energy, carbon and nitrogen sources. Catabolic degradation of sialic acids is a physiological feature that can be considered an important virulence factor in pathogenic microorganisms. Sialidases play a pivotal role in host–pathogen interactions and promotion of bacterial colonization. The activity of these enzymes enables bacterial adhesion, biofilm formation, tissue invasion, and also provides immune evasion by exposing cryptic receptors and modifying immune components. Many different perspectives are being developed for the potential application of sialidases. In the field of medicine, they are being explored as appropriate targets for antimicrobials, vaccines, diagnostic preparations and in tumor immunotherapy. In the field of enzymatic synthesis, they are used for the regioselective production of oligosaccharide analogs, enzymatic separation of isoenzymes and as a tool for structural analysis of sialylated glycans, among other applications. Full article
Show Figures

Figure 1

18 pages, 2041 KB  
Review
Insights on the Role of Sialic Acids in Acute Lymphoblastic Leukemia in Children
by Kimberley Rinai Radu and Kwang-Hyun Baek
Int. J. Mol. Sci. 2025, 26(5), 2233; https://doi.org/10.3390/ijms26052233 - 1 Mar 2025
Cited by 3 | Viewed by 2032
Abstract
Sialic acids serve as crucial terminal sugars on glycoproteins or glycolipids present on cell surfaces. These sugars are involved in diverse physiological and pathological processes through their interactions with carbohydrate-binding proteins, facilitating cell–cell communication and influencing the outcomes of bacterial and viral infections. [...] Read more.
Sialic acids serve as crucial terminal sugars on glycoproteins or glycolipids present on cell surfaces. These sugars are involved in diverse physiological and pathological processes through their interactions with carbohydrate-binding proteins, facilitating cell–cell communication and influencing the outcomes of bacterial and viral infections. The role of hypersialylation in tumor growth and metastasis has been widely studied. Recent research has highlighted the significance of aberrant sialylation in enabling tumor cells to escape immune surveillance and sustain their malignant behavior. Acute lymphoblastic leukemia (ALL) is a heterogenous hematological malignancy that primarily affects children and is the second leading cause of mortality among individuals aged 1 to 14. ALL is characterized by the uncontrolled proliferation of immature lymphoid cells in the bone marrow, peripheral blood, and various organs. Sialic acid-binding immunoglobulin-like lectins (Siglecs) are cell surface proteins that can bind to sialic acids. Activation of Siglecs triggers downstream reactions, including induction of cell apoptosis. Siglec-7 and Siglec-9 have been reported to promote cancer progression by driving macrophage polarization, and their expressions on natural killer cells can inhibit tumor cell death. This comprehensive review aims to explore the sialylation mechanisms and their effects on ALL in children. Understanding the complex interplay between sialylation and ALL holds great potential for developing novel diagnostic tools and therapeutic interventions in managing this pediatric malignancy. Full article
(This article belongs to the Section Molecular Pathology, Diagnostics, and Therapeutics)
Show Figures

Figure 1

35 pages, 5001 KB  
Review
Mechanistic and Therapeutic Implications of Protein and Lipid Sialylation in Human Diseases
by Xiaotian Zhong, Aaron M. D’Antona and Jason C. Rouse
Int. J. Mol. Sci. 2024, 25(22), 11962; https://doi.org/10.3390/ijms252211962 - 7 Nov 2024
Viewed by 4516
Abstract
Glycan structures of glycoproteins and glycolipids on the surface glycocalyx and luminal sugar layers of intracellular membrane compartments in human cells constitute a key interface between intracellular biological processes and external environments. Sialic acids, a class of alpha-keto acid sugars with a nine-carbon [...] Read more.
Glycan structures of glycoproteins and glycolipids on the surface glycocalyx and luminal sugar layers of intracellular membrane compartments in human cells constitute a key interface between intracellular biological processes and external environments. Sialic acids, a class of alpha-keto acid sugars with a nine-carbon backbone, are frequently found as the terminal residues of these glycoconjugates, forming the critical components of these sugar layers. Changes in the status and content of cellular sialic acids are closely linked to many human diseases such as cancer, cardiovascular, neurological, inflammatory, infectious, and lysosomal storage diseases. The molecular machineries responsible for the biosynthesis of the sialylated glycans, along with their biological interacting partners, are important therapeutic strategies and targets for drug development. The purpose of this article is to comprehensively review the recent literature and provide new scientific insights into the mechanisms and therapeutic implications of sialylation in glycoproteins and glycolipids across various human diseases. Recent advances in the clinical developments of sialic acid-related therapies are also summarized and discussed. Full article
(This article belongs to the Special Issue Glycobiology in Human Health and Disease)
Show Figures

Figure 1

13 pages, 5825 KB  
Article
Detection of Sialic Acid to Differentiate Cervical Cancer Cell Lines Using a Sambucus nigra Lectin Biosensor
by Ricardo Zamudio Cañas, María Eugenia Jaramillo Flores, Verónica Vallejo Ruiz, Raúl Jacobo Delgado Macuil and Valentín López Gayou
Biosensors 2024, 14(1), 34; https://doi.org/10.3390/bios14010034 - 10 Jan 2024
Cited by 9 | Viewed by 3767
Abstract
Pap smear screening is a widespread technique used to detect premalignant lesions of cervical cancer (CC); however, it lacks sensitivity, leading to identifying biomarkers that improve early diagnosis sensitivity. A characteristic of cancer is the aberrant sialylation that involves the abnormal expression of [...] Read more.
Pap smear screening is a widespread technique used to detect premalignant lesions of cervical cancer (CC); however, it lacks sensitivity, leading to identifying biomarkers that improve early diagnosis sensitivity. A characteristic of cancer is the aberrant sialylation that involves the abnormal expression of α2,6 sialic acid, a specific carbohydrate linked to glycoproteins and glycolipids on the cell surface, which has been reported in premalignant CC lesions. This work aimed to develop a method to differentiate CC cell lines and primary fibroblasts using a novel lectin-based biosensor to detect α2,6 sialic acid based on attenuated total reflectance Fourier transform infrared spectroscopy (ATR-FTIR) and chemometric. The biosensor was developed by conjugating gold nanoparticles (AuNPs) with 5 µg of Sambucus nigra (SNA) lectin as the biorecognition element. Sialic acid detection was associated with the signal amplification in the 1500–1350 cm−1 region observed by the surface-enhanced infrared absorption spectroscopy (SEIRA) effect from ATR-FTIR results. This region was further analyzed for the clustering of samples by applying principal component analysis (PCA) and confidence ellipses at a 95% interval. This work demonstrates the feasibility of employing SNA biosensors to discriminate between tumoral and non-tumoral cells, that have the potential for the early detection of premalignant lesions of CC. Full article
(This article belongs to the Topic Machine Learning and Biomedical Sensors)
Show Figures

Graphical abstract

16 pages, 1685 KB  
Review
Gut Microbial Sialidases and Their Role in the Metabolism of Human Milk Sialylated Glycans
by Diego Muñoz-Provencio and María J. Yebra
Int. J. Mol. Sci. 2023, 24(12), 9994; https://doi.org/10.3390/ijms24129994 - 10 Jun 2023
Cited by 14 | Viewed by 3965
Abstract
Sialic acids (SAs) are α-keto-acid sugars with a nine-carbon backbone present at the non-reducing end of human milk oligosaccharides and the glycan moiety of glycoconjugates. SAs displayed on cell surfaces participate in the regulation of many physiologically important cellular and molecular processes, including [...] Read more.
Sialic acids (SAs) are α-keto-acid sugars with a nine-carbon backbone present at the non-reducing end of human milk oligosaccharides and the glycan moiety of glycoconjugates. SAs displayed on cell surfaces participate in the regulation of many physiologically important cellular and molecular processes, including signaling and adhesion. Additionally, sialyl-oligosaccharides from human milk act as prebiotics in the colon by promoting the settling and proliferation of specific bacteria with SA metabolism capabilities. Sialidases are glycosyl hydrolases that release α-2,3-, α-2,6- and α-2,8-glycosidic linkages of terminal SA residues from oligosaccharides, glycoproteins and glycolipids. The research on sialidases has been traditionally focused on pathogenic microorganisms, where these enzymes are considered virulence factors. There is now a growing interest in sialidases from commensal and probiotic bacteria and their potential transglycosylation activity for the production of functional mimics of human milk oligosaccharides to complement infant formulas. This review provides an overview of exo-alpha-sialidases of bacteria present in the human gastrointestinal tract and some insights into their biological role and biotechnological applications. Full article
Show Figures

Figure 1

21 pages, 2083 KB  
Review
Insights into the Role of Sialylation in Cancer Metastasis, Immunity, and Therapeutic Opportunity
by Jianmei Huang, Jianming Huang and Guonan Zhang
Cancers 2022, 14(23), 5840; https://doi.org/10.3390/cancers14235840 - 26 Nov 2022
Cited by 33 | Viewed by 5499
Abstract
Sialylation is an enzymatic process that covalently attaches sialic acids to glycoproteins and glycolipids and terminates them by creating sialic acid-containing glycans (sialoglycans). Sialoglycans, usually located in the outmost layers of cells, play crucial biological roles, notably in tumor transformation, growth, metastasis, and [...] Read more.
Sialylation is an enzymatic process that covalently attaches sialic acids to glycoproteins and glycolipids and terminates them by creating sialic acid-containing glycans (sialoglycans). Sialoglycans, usually located in the outmost layers of cells, play crucial biological roles, notably in tumor transformation, growth, metastasis, and immune evasion. Thus, a deeper comprehension of sialylation in cancer will help to facilitate the development of innovative cancer therapies. Cancer sialylation-related articles have consistently increased over the last four years. The primary subjects of these studies are sialylation, cancer, immunotherapy, and metastasis. Tumor cells activate endothelial cells and metastasize to distant organs in part by the interactions of abnormally sialylated integrins with selectins. Furthermore, cancer sialylation masks tumor antigenic epitopes and induces an immunosuppressive environment, allowing cancer cells to escape immune monitoring. Cytotoxic T lymphocytes develop different recognition epitopes for glycosylated and nonglycosylated peptides. Therefore, targeting tumor-derived sialoglycans is a promising approach to cancer treatments for limiting the dissemination of tumor cells, revealing immunogenic tumor antigens, and boosting anti-cancer immunity. Exploring the exact tumor sialoglycans may facilitate the identification of new glycan targets, paving the way for the development of customized cancer treatments. Full article
(This article belongs to the Special Issue Advances in Cancer Glycobiology)
Show Figures

Figure 1

19 pages, 1252 KB  
Review
Neuraminidases—Key Players in the Inflammatory Response after Pathophysiological Cardiac Stress and Potential New Therapeutic Targets in Cardiac Disease
by Maren Heimerl, Thomas Gausepohl, Julia H. Mueller and Melanie Ricke-Hoch
Biology 2022, 11(8), 1229; https://doi.org/10.3390/biology11081229 - 17 Aug 2022
Cited by 10 | Viewed by 4621
Abstract
Glycoproteins and glycolipids on the cell surfaces of vertebrates and higher invertebrates contain α-keto acid sugars called sialic acids, terminally attached to their glycan structures. The actual level of sialylation, regulated through enzymatic removal of the latter ones by NEU enzymes, highly affects [...] Read more.
Glycoproteins and glycolipids on the cell surfaces of vertebrates and higher invertebrates contain α-keto acid sugars called sialic acids, terminally attached to their glycan structures. The actual level of sialylation, regulated through enzymatic removal of the latter ones by NEU enzymes, highly affects protein-protein, cell-matrix and cell-cell interactions. Thus, their regulatory features affect a large number of different cell types, including those of the immune system. Research regarding NEUs within heart and vessels provides new insights of their involvement in the development of cardiovascular pathologies and identifies mechanisms on how inhibiting NEU enzymes can have a beneficial effect on cardiac remodelling and on a number of different cardiac diseases including CMs and atherosclerosis. In this regard, a multitude of clinical studies demonstrated the potential of N-acetylneuraminic acid (Neu5Ac) to serve as a biomarker following cardiac diseases. Anti-influenza drugs i.e., zanamivir and oseltamivir are viral NEU inhibitors, thus, they block the enzymatic activity of NEUs. When considering the improvement in cardiac function in several different cardiac disease animal models, which results from NEU reduction, the inhibition of NEU enzymes provides a new potential therapeutic treatment strategy to treat cardiac inflammatory pathologies, and thus, administrate cardioprotection. Full article
Show Figures

Figure 1

47 pages, 6250 KB  
Systematic Review
Re-Expression of Poly/Oligo-Sialylated Adhesion Molecules on the Surface of Tumor Cells Disrupts Their Interaction with Immune-Effector Cells and Contributes to Pathophysiological Immune Escape
by Mostafa Jarahian, Faroogh Marofi, Marwah Suliman Maashi, Mahnaz Ghaebi, Abdolrahman Khezri and Martin R. Berger
Cancers 2021, 13(20), 5203; https://doi.org/10.3390/cancers13205203 - 16 Oct 2021
Cited by 14 | Viewed by 6382 | Correction
Abstract
Glycans linked to surface proteins are the most complex biological macromolecules that play an active role in various cellular mechanisms. This diversity is the basis of cell–cell interaction and communication, cell growth, cell migration, as well as co-stimulatory or inhibitory signaling. Our review [...] Read more.
Glycans linked to surface proteins are the most complex biological macromolecules that play an active role in various cellular mechanisms. This diversity is the basis of cell–cell interaction and communication, cell growth, cell migration, as well as co-stimulatory or inhibitory signaling. Our review describes the importance of neuraminic acid and its derivatives as recognition elements, which are located at the outermost positions of carbohydrate chains linked to specific glycoproteins or glycolipids. Tumor cells, especially from solid tumors, mask themselves by re-expression of hypersialylated neural cell adhesion molecule (NCAM), neuropilin-2 (NRP-2), or synaptic cell adhesion molecule 1 (SynCAM 1) in order to protect themselves against the cytotoxic attack of the also highly sialylated immune effector cells. More particularly, we focus on α-2,8-linked polysialic acid chains, which characterize carrier glycoproteins such as NCAM, NRP-2, or SynCam-1. This characteristic property correlates with an aggressive clinical phenotype and endows them with multiple roles in biological processes that underlie all steps of cancer progression, including regulation of cell–cell and/or cell–extracellular matrix interactions, as well as increased proliferation, migration, reduced apoptosis rate of tumor cells, angiogenesis, and metastasis. Specifically, re-expression of poly/oligo-sialylated adhesion molecules on the surface of tumor cells disrupts their interaction with immune-effector cells and contributes to pathophysiological immune escape. Further, sialylated glycoproteins induce immunoregulatory cytokines and growth factors through interactions with sialic acid-binding immunoglobulin-like lectins. We describe the processes, which modulate the interaction between sialylated carrier glycoproteins and their ligands, and illustrate that sialic acids could be targets of novel therapeutic strategies for treatment of cancer and immune diseases. Full article
(This article belongs to the Special Issue Feature Paper from Journal Reviewers)
Show Figures

Graphical abstract

19 pages, 1261 KB  
Review
The Potential for Sialic Acid and Sialylated Glycoconjugates as Feed Additives to Enhance Pig Health and Production
by Marefa Jahan, Nidhish Francis, Peter Wynn and Bing Wang
Animals 2021, 11(8), 2318; https://doi.org/10.3390/ani11082318 - 5 Aug 2021
Cited by 6 | Viewed by 5059
Abstract
Swine are one of the most important agricultural species for human food production. Given the significant disease challenges confronting commercial pig farming systems, introduction of a new feed additive that can enhance animal performance by improving growth and immune status represents a major [...] Read more.
Swine are one of the most important agricultural species for human food production. Given the significant disease challenges confronting commercial pig farming systems, introduction of a new feed additive that can enhance animal performance by improving growth and immune status represents a major opportunity. One such candidate is sialic acid (Sia), a diverse family of nine-carbon acidic sugar, present in various organs and body fluid, as well as an essential structural and functional constituent of brain ganglioside of humans and animals. Sias are key monosaccharide and biomarker of sialylated milk oligosaccharide (Sia-MOS’s), sialylated glycoproteins and glycolipids in milk and all vertebrate cells. Sias accomplish many critical endogenous functions by virtue of their physiochemical properties and via recognition by intrinsic receptors. Human milk sialylated glycoconjugates (Sia-GC’s) are bioactive compounds known to act as prebiotics that promote gut microbiota development, gut maturation, pathogen resistance, immunomodulation, anti-inflammation and neurodevelopment. However, the importance of Sia in pig health, especially in the growth, development, immunity of developing piglet and in pig production remains unknown. This review aims to critically discuss the current status of knowledge of the biology and nutritional role of Sia and Sia-GC’s on health of both female sow and newborn piglets. Full article
(This article belongs to the Section Pigs)
Show Figures

Figure 1

21 pages, 4108 KB  
Review
Siglec Ligands
by Anabel Gonzalez-Gil and Ronald L. Schnaar
Cells 2021, 10(5), 1260; https://doi.org/10.3390/cells10051260 - 20 May 2021
Cited by 91 | Viewed by 13034
Abstract
A dense and diverse array of glycans on glycoproteins and glycolipids decorate all cell surfaces. In vertebrates, many of these carry sialic acid, in a variety of linkages and glycan contexts, as their outermost sugar moiety. Among their functions, glycans engage complementary glycan [...] Read more.
A dense and diverse array of glycans on glycoproteins and glycolipids decorate all cell surfaces. In vertebrates, many of these carry sialic acid, in a variety of linkages and glycan contexts, as their outermost sugar moiety. Among their functions, glycans engage complementary glycan binding proteins (lectins) to regulate cell physiology. Among the glycan binding proteins are the Siglecs, sialic acid binding immunoglobulin-like lectins. In humans, there are 14 Siglecs, most of which are expressed on overlapping subsets of immune system cells. Each Siglec engages distinct, endogenous sialylated glycans that initiate signaling programs and regulate cellular responses. Here, we explore the emerging science of Siglec ligands, including endogenous sialoglycoproteins and glycolipids and synthetic sialomimetics. Knowledge in this field promises to reveal new molecular pathways controlling cell physiology and new opportunities for therapeutic intervention. Full article
(This article belongs to the Special Issue Sugars on Cell Surfaces and Their Biological Purposes)
Show Figures

Figure 1

14 pages, 1245 KB  
Review
Hyposialylation Must Be Considered to Develop Future Therapies in Autoimmune Diseases
by Anne Bordron, Marie Morel, Cristina Bagacean, Maryvonne Dueymes, Pierre Pochard, Anne Harduin-Lepers, Christophe Jamin and Jacques-Olivier Pers
Int. J. Mol. Sci. 2021, 22(7), 3402; https://doi.org/10.3390/ijms22073402 - 26 Mar 2021
Cited by 17 | Viewed by 3862
Abstract
Autoimmune disease development depends on multiple factors, including genetic and environmental. Abnormalities such as sialylation levels and/or quality have been recently highlighted. The adjunction of sialic acid at the terminal end of glycoproteins and glycolipids is essential for distinguishing between self and non-self-antigens [...] Read more.
Autoimmune disease development depends on multiple factors, including genetic and environmental. Abnormalities such as sialylation levels and/or quality have been recently highlighted. The adjunction of sialic acid at the terminal end of glycoproteins and glycolipids is essential for distinguishing between self and non-self-antigens and the control of pro- or anti-inflammatory immune reactions. In autoimmunity, hyposialylation is responsible for chronic inflammation, the anarchic activation of the immune system and organ lesions. A detailed characterization of this mechanism is a key element for improving the understanding of these diseases and the development of innovative therapies. This review focuses on the impact of sialylation in autoimmunity in order to determine future treatments based on the regulation of hyposialylation. Full article
(This article belongs to the Special Issue Lymphocyte Signalling and Function in Systemic Autoimmune Diseases)
Show Figures

Figure 1

18 pages, 3263 KB  
Article
NMR Experiments Shed New Light on Glycan Recognition by Human and Murine Norovirus Capsid Proteins
by Robert Creutznacher, Thorben Maass, Patrick Ogrissek, Georg Wallmann, Clara Feldmann, Hannelore Peters, Marit Lingemann, Stefan Taube, Thomas Peters and Alvaro Mallagaray
Viruses 2021, 13(3), 416; https://doi.org/10.3390/v13030416 - 5 Mar 2021
Cited by 17 | Viewed by 4226
Abstract
Glycan–protein interactions are highly specific yet transient, rendering glycans ideal recognition signals in a variety of biological processes. In human norovirus (HuNoV) infection, histo-blood group antigens (HBGAs) play an essential but poorly understood role. For murine norovirus infection (MNV), sialylated glycolipids or glycoproteins [...] Read more.
Glycan–protein interactions are highly specific yet transient, rendering glycans ideal recognition signals in a variety of biological processes. In human norovirus (HuNoV) infection, histo-blood group antigens (HBGAs) play an essential but poorly understood role. For murine norovirus infection (MNV), sialylated glycolipids or glycoproteins appear to be important. It has also been suggested that HuNoV capsid proteins bind to sialylated ganglioside head groups. Here, we study the binding of HBGAs and sialoglycans to HuNoV and MNV capsid proteins using NMR experiments. Surprisingly, the experiments show that none of the norovirus P-domains bind to sialoglycans. Notably, MNV P-domains do not bind to any of the glycans studied, and MNV-1 infection of cells deficient in surface sialoglycans shows no significant difference compared to cells expressing respective glycans. These findings redefine glycan recognition by noroviruses, challenging present models of infection. Full article
(This article belongs to the Special Issue Glycans in Viral Infection and Immunity)
Show Figures

Figure 1

28 pages, 2612 KB  
Review
Prospects for Using Expression Patterns of Paramyxovirus Receptors as Biomarkers for Oncolytic Virotherapy
by Olga V. Matveeva and Svetlana A. Shabalina
Cancers 2020, 12(12), 3659; https://doi.org/10.3390/cancers12123659 - 5 Dec 2020
Cited by 10 | Viewed by 5002
Abstract
The effectiveness of oncolytic virotherapy in cancer treatment depends on several factors, including successful virus delivery to the tumor, ability of the virus to enter the target malignant cell, virus replication, and the release of progeny virions from infected cells. The multi-stage process [...] Read more.
The effectiveness of oncolytic virotherapy in cancer treatment depends on several factors, including successful virus delivery to the tumor, ability of the virus to enter the target malignant cell, virus replication, and the release of progeny virions from infected cells. The multi-stage process is influenced by the efficiency with which the virus enters host cells via specific receptors. This review describes natural and artificial receptors for two oncolytic paramyxoviruses, nonpathogenic measles, and Sendai viruses. Cell entry receptors are proteins for measles virus (MV) and sialylated glycans (sialylated glycoproteins or glycolipids/gangliosides) for Sendai virus (SeV). Accumulated published data reviewed here show different levels of expression of cell surface receptors for both viruses in different malignancies. Patients whose tumor cells have low or no expression of receptors for a specific oncolytic virus cannot be successfully treated with the virus. Recent published studies have revealed that an expression signature for immune genes is another important factor that determines the vulnerability of tumor cells to viral infection. In the future, a combination of expression signatures of immune and receptor genes could be used to find a set of oncolytic viruses that are more effective for specific malignancies. Full article
(This article belongs to the Special Issue Oncolytic Virus Therapy Against Cancer)
Show Figures

Figure 1

Back to TopTop