Sign in to use this feature.

Years

Between: -

Subjects

remove_circle_outline
remove_circle_outline
remove_circle_outline
remove_circle_outline

Journals

Article Types

Countries / Regions

Search Results (23)

Search Parameters:
Keywords = shelterwood system

Order results
Result details
Results per page
Select all
Export citation of selected articles as:
21 pages, 5062 KB  
Article
Forest Management Effects on Breeding Bird Communities in Apennine Beech Stands
by Guglielmo Londi, Francesco Parisi, Elia Vangi, Giovanni D’Amico and Davide Travaglini
Ecologies 2025, 6(3), 54; https://doi.org/10.3390/ecologies6030054 - 1 Aug 2025
Viewed by 1307
Abstract
Beech forests in the Italian peninsula are actively managed and they also support a high level of biodiversity. Hence, biodiversity conservation can be synergistic with timber production and carbon sequestration, enhancing the overall economic benefits of forest management. This study aimed to evaluate [...] Read more.
Beech forests in the Italian peninsula are actively managed and they also support a high level of biodiversity. Hence, biodiversity conservation can be synergistic with timber production and carbon sequestration, enhancing the overall economic benefits of forest management. This study aimed to evaluate the effect of forest management regimes on bird communities in the Italian Peninsula during 2022 through audio recordings. We studied the structure, composition, and specialization of the breeding bird community in four managed beech stands (three even-aged beech stands aged 20, 60, and 100 years old, managed by a uniform shelterwood system; one uneven-aged stand, managed by a single-tree selection system) and one uneven-aged, unmanaged beech stand in the northern Apennines (Tuscany region, Italy). Between April and June 2022, data were collected through four 1-hour audio recording sessions per site, analyzing 5 min sequences. The unmanaged stand hosted a richer (a higher number of species, p < 0.001) and more specialized (a higher number of cavity-nesting species, p < 0.001; higher Woodland Bird Community Index (WBCI) values, p < 0.001; and eight characteristic species, including at least four highly specialized ones) bird community, compared to all the managed forests; moreover, the latter were homogeneous (similar to each other). Our study suggests that the unmanaged beech forests should be a priority option for conservation, while in terms of the managed beech forests, greater attention should be paid to defining the thresholds for snags, deadwood, and large trees to be retained to enhance their biodiversity value. Studies in additional sites, conducted over more years and including multi-taxon communities, are recommended for a deeper understanding and generalizable results. Full article
Show Figures

Figure 1

17 pages, 12383 KB  
Article
Effects of Forest Management on Beetle (Coleoptera) Communities in Beech Forests (Fagus sylvatica) in the Apennines of Central Italy (Tuscany)
by Francesco Parisi, Adriano Mazziotta, Gherardo Chirici, Giovanni D’amico, Elia Vangi, Saverio Francini and Davide Travaglini
Forests 2024, 15(7), 1085; https://doi.org/10.3390/f15071085 - 22 Jun 2024
Cited by 3 | Viewed by 3000
Abstract
In European mountains most beech forest areas have been managed for timber production. This practice has reduced the availability of biomass for the whole forest-dwelling species assemblage and of deadwood for the saproxylic community. Despite most of Italy’s beech stands having a long [...] Read more.
In European mountains most beech forest areas have been managed for timber production. This practice has reduced the availability of biomass for the whole forest-dwelling species assemblage and of deadwood for the saproxylic community. Despite most of Italy’s beech stands having a long history of management, its effects on forest species remain poorly understood. To address this gap, we studied beetle abundance and diversity in five beech-dominated forests with increasing management intensity in central Italy’s Apennines (Tuscany). We assessed if forests with similar management intensity exhibited comparable patterns in beetle diversity, abundance, and commonness versus rarity. Three forests were managed with even-aged shelterwood; one was managed with continuous cover forestry; and one was old-growth. We found 25 beetle families and 195 species across all sites with similar total abundance and richness. However, the representation of the most abundant families varied among sampling sites (ANOVA test: always significant for the total abundance of the most abundant families: F ≥ 2.77, d.f. = 4, p ≤ 0.038). The old-growth forest harbored more threatened species than managed sites. Saproxylic assemblages were similar between the recently cut site and the old-growth forest, and between shelterwood and continuous cover sites. While the similarity gradient among the whole species assemblages reflected geographical proximity, the similarity gradient among saproxylic assemblages reflected the successional proximity among forest management systems. Our research underscores the effects of management on beetle diversity, offering insights for sustainable forestry. Full article
(This article belongs to the Topic Mediterranean Biodiversity)
Show Figures

Figure 1

18 pages, 1472 KB  
Review
How to Optimize Carbon Sinks and Biodiversity in the Conversion of Norway Spruce to Beech Forests in Austria?
by Johannes Kobler, Eduard Hochbichler, Gisela Pröll and Thomas Dirnböck
Forests 2024, 15(2), 359; https://doi.org/10.3390/f15020359 - 13 Feb 2024
Cited by 3 | Viewed by 2891
Abstract
Assessments of synergies and trade-offs between climate change mitigation and forest biodiversity conservation have focused on set-aside areas. We evaluated a more comprehensive portfolio of silvicultural management adaptations to climate change and conservation measures exemplary for managed European beech forests. Based on the [...] Read more.
Assessments of synergies and trade-offs between climate change mitigation and forest biodiversity conservation have focused on set-aside areas. We evaluated a more comprehensive portfolio of silvicultural management adaptations to climate change and conservation measures exemplary for managed European beech forests. Based on the available literature, we assessed a range of common silvicultural management and conservation measures for their effects on carbon sequestration in forest and wood products and for substituting more carbon-intensive products. We complemented this review with carbon sequestration simulations for a typical mountainous beech forest region in Austria. We propose three priority actions to enhance the synergies between climate change mitigation and biodiversity. First, actively increase the proportion of European beech in secondary Norway spruce forests, even though beech will not be unaffected by expected water supply limitations. Secondly, optimize the benefits of shelterwood systems and promote uneven-aged forestry, and thirdly, enhance mixed tree species. Targeted conservation measures (deadwood, habitat trees, and old forest patches) increase the total C storage but decrease the annual C sequestration in forests, particularly in wood products. The establishment of a beech wood market with an extended product portfolio to reduce the use of fuelwood is essential for sustainable climate change mitigation. Since there are limitations in the production of saw timber quality beech wood on low fertility sites, C accumulation, and biodiversity can be emphasized in these areas. Full article
(This article belongs to the Section Forest Ecology and Management)
Show Figures

Figure 1

16 pages, 5684 KB  
Article
Optimizing Forest Harvesting Efficiency: A Comparative Analysis of Small-Sized Logging Crews Using Cable-Grapple Skidders
by Stanimir Stoilov, Pavel Nichev, Georgi Angelov, Marina Chavenetidou and Petros A. Tsioras
Sustainability 2023, 15(24), 16749; https://doi.org/10.3390/su152416749 - 12 Dec 2023
Cited by 1 | Viewed by 1949
Abstract
Examination of the technical and economic dimensions of skidding operations is imperative for sustainable forest management, offering invaluable insights crucial for the formulation of sustainable forestry strategies. In many countries, the shift from modified agricultural machinery to purpose-built forest machinery has become apparent [...] Read more.
Examination of the technical and economic dimensions of skidding operations is imperative for sustainable forest management, offering invaluable insights crucial for the formulation of sustainable forestry strategies. In many countries, the shift from modified agricultural machinery to purpose-built forest machinery has become apparent in forest operations. However, this transition often accompanies a reduction in logging crew size, raising new questions about productivity, costs, and ergonomics of the introduced harvesting systems. This study investigates two skidding systems utilizing the cable-grapple skidder Welte 115/5L, differing in work team size: one with one skidder operator and two chainsaw operators (WT3) and the other with one skidder operator and one chainsaw operator (WT2). Conducted in natural European beech forests in southern Bulgaria, the research focused on the group shelterwood system within the Natura 2000 network. Both WT3 and WT2 exhibited net skidding productivity of 9.96 m3 PMH−1 over a mean skidding distance of 300 m and a mean winching distance of 20 m, outperforming conventional systems in the area. Despite this, there were notable differences in gross skidding productivity (8.64 m3 SMH−1 for WT3 vs. 7.30 m3 SMH−1 for WT2), affecting skidding cost (EUR 5.41 m−3 for WT3 vs. EUR 6.62 m−3 for WT2) and unit production cost (EUR 9.33 m−3 vs. EUR 11.53 m−3). This study highlights that the cable-grapple skidder can be effectively employed by smaller teams, providing higher productivity, lower unit cost, and increased flexibility during piling, primarily due to the presence of the knuckle-boom loader. While WT2 experienced more delays and production pressure, the findings suggest that WT3 represents a balanced option for small logging crews, ensuring sustainable forest operations in the face of workforce challenges. Full article
(This article belongs to the Section Sustainable Forestry)
Show Figures

Figure 1

28 pages, 2001 KB  
Article
Effects of Forestry Transformation on the Ecosystem Level of Biodiversity in Poland’s Forests
by Ewa Referowska-Chodak and Bożena Kornatowska
Forests 2023, 14(9), 1739; https://doi.org/10.3390/f14091739 - 28 Aug 2023
Cited by 2 | Viewed by 2791
Abstract
This paper presents the results of an analysis of the effects of Poland’s forest management evolution over the last 75 years on forest biodiversity at the ecosystem level. Forest biodiversity changes in the two politically and economically different eras (socialism and democracy) are [...] Read more.
This paper presents the results of an analysis of the effects of Poland’s forest management evolution over the last 75 years on forest biodiversity at the ecosystem level. Forest biodiversity changes in the two politically and economically different eras (socialism and democracy) are interpreted based on four indicators used in assessments of forest stands (naturalness; habitat diversity; forest management system; forest stand age structure). In the era of socialism (1945–1989), there were dynamic increases in the area of semi-natural forests as well as in the proportion of the most fertile habitats, whilst the proportion of the poorest habitats decreased quite dynamically. Then, the clearcutting management system was regularly implemented, with adverse impacts on forest spatial structure diversity. The proportion of old/mature tree stands and the stand average age increased at relatively slow rates. In the era of democracy (1990–2020), there were comparatively more dynamic increases observed in the area of forests undisturbed by man, as well as in the proportions of mixed broadleaved and wetland forest habitats. At the same time, the proportion of old/mature stands and stand average age kept increasing at relatively fast rates. The area of forests managed with the use of the shelterwood system increased and the area of forest plantations substantially decreased. On the other hand, irrespective of the era under study, there occurred a noticeable not-so-favourable decreasing trend in the proportion of the youngest forest stands. All in all, during the analysed period of more than seven decades, the evolution of forest management practice implemented in Poland’s forests by State Forests National Forest Holding led to the restoration of/an increase in biodiversity at the ecosystem level. Yet, there have remained unsolved issues, as regards the following aspects: organisational (the assurance of further reconstruction of forest stands, and the restoration of water profiles), political (a lack of up-to-date national forest policy), and financial (the costs of protecting/restoring biodiversity vs. State Forests’ self-financing), as well as conceptual (old-growth stands in managed forests, and controversy over clearcutting) and natural/anthropogenic (climate change, and the eutrophication of forest habitats) issues. The solutions may require measures outside the limits of Poland’s forestry, if not far beyond national borders. Full article
(This article belongs to the Special Issue The Ecological Management and Sustainable Development of Forests)
Show Figures

Figure 1

24 pages, 4308 KB  
Article
A General Rule-Based Framework for Generating Alternatives for Forest Ecosystem Management Decision Support Systems
by Silvana Nobre, Marc McDill, Luiz Carlos Estraviz Rodriguez and Luis Diaz-Balteiro
Forests 2023, 14(9), 1717; https://doi.org/10.3390/f14091717 - 25 Aug 2023
Cited by 2 | Viewed by 2636
Abstract
Linear programming formulations of forest ecosystem management (FEM) problems proposed in the 1960s have been adapted and improved upon over the years. Generating management alternatives for forest planning is a key step in building these models. Global forests are diverse, and a variety [...] Read more.
Linear programming formulations of forest ecosystem management (FEM) problems proposed in the 1960s have been adapted and improved upon over the years. Generating management alternatives for forest planning is a key step in building these models. Global forests are diverse, and a variety of models have been developed to simulate management alternatives. This paper describes iGen, a forest prescription generator that employs a rule-based system (AI-RBS), an AI technique that is often used for expert systems. iGen was designed with the goal of being able to generate management alternatives for virtually any FEM problem. The prescription generator is not designed for, adapted to, focused on—and ideally not limited to—any specific region, landscape, forest condition, projection method, or yield function. Instead, it aims to maximize generality, enabling it to address a broad range of FEM problems. The goal is that practitioners and researchers who do not have and do not want to develop their own alternative generator can use iGen as a prescription generator for their problem instances. For those who choose to develop their own alternative generators, we hope that the concepts and algorithms we propose in this paper will be useful in designing their own systems. iGen’s flexibility can be attributed to three key features. First, users can define the state variable vector for management units according to the available data, models (production functions), and objectives of their problem instance. Second, users also define the types of interventions that can be applied to each type of management unit and create a rule base describing the conditions under which each intervention can be applied. Finally, users specify the equations of motion that determine how the state vector for each management unit will be updated over time, depending on which, if any, interventions are applied. Other than this basic structure, virtually everything in an iGen problem instance is user-defined. iGen uses these key elements to simulate all possible management prescriptions for each management unit and stores the resulting information in a database that is structured to efficiently store the output data from these simulations and to facilitate the generation of optimization models for ultimately determining the Pareto frontier for a given FEM problem. This article introduces iGen, illustrating its concepts, structure, and algorithms through two FEM example problems with contrasting forest management practices: natural regeneration with shelterwood harvests and plantation/coppice. For data and iGen source programs, visit github.com/SilvanaNobre/iGenPaper. Full article
(This article belongs to the Section Forest Ecology and Management)
Show Figures

Figure 1

20 pages, 63065 KB  
Article
Is the Current Forest Management to the Northernmost Population of Cordulegaster heros (Anisoptera: Cordulegastridae) in Central Europe (Czech Republic) Threatening?
by Otakar Holuša, Kateřina Holušová and Attila Balázs
Forests 2023, 14(2), 228; https://doi.org/10.3390/f14020228 - 26 Jan 2023
Cited by 2 | Viewed by 2061
Abstract
Cordulegaster heros is included in the EN category on the IUCN Red List for the territory of the Czech Republic, where it inhabits an area of approximately 100 km2. All of the localities are located in the forest complex in Chřiby [...] Read more.
Cordulegaster heros is included in the EN category on the IUCN Red List for the territory of the Czech Republic, where it inhabits an area of approximately 100 km2. All of the localities are located in the forest complex in Chřiby hills, and all of the forests fall into the category of management forests. Most of the forest stands have a high and very high degree of naturalness; they are natural forest stands. The predominant management units are Nutrient sites in middle elevations (78.2% of the area) and Oligotrophic sites in middle elevations (2.1% of the area), with stand types of Fagus sylvatica representing 92.5% of the area, and forest stand types of Quercus sp. representing 5.7% of the area. The wider alluvia in forest streams are classified as being in management unit alder and ash sites on waterlogged and floodplain soils (1.1%), with the forest stand type of Alnus glutinosa. The forest stands are restored by regeneration under shelterwood (97.8% of the area). The waterlogged alluvia, if a separate management unit is established for them, are restored by a regeneration by strip method. Realistically, seven factors were recorded in C. heros habitats, but they mostly have only point effects. Within forestry management, the factors of logging directly in the habitats and the subsequent transport of harvested timber in the habitat were recorded. The most intrusive effects were found on tractor logging roads, where fine soil washes into the stream and causes prolonged turbidity. Of the water management structures in the study area, logging roads with bridges and culverts are constructed, stream banks are reinforced with longitudinal walls at points, and stone steps in the channels are constructed only sporadically. The current forest management system can be described as a nature-friendly system, and therefore, it fully ensures the conditions for the survival of the C. heros population in the Czech Republic. Full article
(This article belongs to the Special Issue The Extinction Crisis: How Bad, What Can Be Done?)
Show Figures

Figure 1

15 pages, 2493 KB  
Article
Modeling Productivity and Estimating Costs of Processor Tower Yarder in Shelterwood Cutting of Pine Stand
by Salvatore F. Papandrea, Stanimir Stoilov, Georgi Angelov, Tanya Panicharova, Piotr S. Mederski and Andrea R. Proto
Forests 2023, 14(2), 195; https://doi.org/10.3390/f14020195 - 19 Jan 2023
Cited by 12 | Viewed by 2638
Abstract
Cable-based yarding technology has had a long tradition on steep slopes in Europe, and the new implementation of yarding functions in recent decades favored operational efficiency and lower extraction costs. The main goal of this study was to evaluate the performance of the [...] Read more.
Cable-based yarding technology has had a long tradition on steep slopes in Europe, and the new implementation of yarding functions in recent decades favored operational efficiency and lower extraction costs. The main goal of this study was to evaluate the performance of the Syncrofalke 3t truck-mounted Processor Tower Yarder (PTY) on steep terrain, in coniferous forests managed with the shelterwood system. In particular, the aim was to determine PTY productivity and costs, with attention to parameters that could increase PTY effectiveness. The study was carried out in the Sredna Gora Mountains, Central Bulgaria, in pure Scots pine stand, with trees of average DBH = 34 cm and height = 22 m. The study was carried out in six corridors with 120 work cycles of tree extraction up the hill, 28° (53%). The mean productivity of PTY was 15.20 m3 per productive machine hour (PMH) and 12.29 m3 per scheduled machine hour (SMH) and was mainly influenced by the productivity of the yarder unit. Under the given conditions, the performance of PTY significantly increased if more than one tree (at least two trees) were attached and extracted per yarder cycle, since the productivity of the processor was approximately twice that of the yarder. The gross costs of the studied PTY were calculated at 297.48 EUR PMH−1 and 16.17 EUR m−3. The variable costs (75%) predominate in the net costs distribution, followed by the fixed costs (15%) and the labor costs (10%). The time, productivity and cost results obtained showed the high efficiency and level of integration of PTY operations in order to achieve economic efficiency of logging in montane pine forest managed in a shelterwood system. Full article
(This article belongs to the Special Issue Forest Harvesting, Operations and Management)
Show Figures

Figure 1

14 pages, 759 KB  
Article
Work Productivity, Costs and Environmental Impacts of Two Thinning Methods in Italian Beech High Forests
by Francesco Latterini, Rachele Venanzi, Walter Stefanoni, Giulio Sperandio, Alessandro Suardi, Vincenzo Civitarese and Rodolfo Picchio
Sustainability 2022, 14(18), 11414; https://doi.org/10.3390/su141811414 - 12 Sep 2022
Cited by 6 | Viewed by 1737
Abstract
In the Mediterranean area, the most common management of beech forests relies on the shelterwood system. However, more effort has been put into developing alternative silvicultural treatments to enhance the forests’ capacity to provide the higher ecosystem services. The crop-tree management system seems [...] Read more.
In the Mediterranean area, the most common management of beech forests relies on the shelterwood system. However, more effort has been put into developing alternative silvicultural treatments to enhance the forests’ capacity to provide the higher ecosystem services. The crop-tree management system seems to perform well, particularly under the economic point of view. Moreover, it can provide higher quality timber from thinning interventions which are carried out before the end of the rotation period. However, very few articles have been found in the literature dealing with evaluation of the economic and environmental performance of the alternative thinning method based on crop-tree management (AT) in comparison to the traditional thinning from below typical of the shelterwood system (TT). Therefore, three study areas in Italy were selected to assess working productivity, costs and GHG emissions associated with the two methods. In the study areas with the application of mechanized extraction systems, AT showed higher work productivity and lower costs than TT, whereas GHG emissions reduction by AT was observed only in one of the three study areas. There was not significant improvement related to AT application when using animals for extraction operations. AT was more economically sustainable for thinning interventions in beech high forests, but the reduction of GHG emissions was not as effective as in TT. Crop-tree management proved to be a suitable option to be applied in beech forest stands, although further studies should focus on the overall rotation cycle and include the evaluation of impacts on productivity of a higher presence of saplings expected after crop-tree intervention. Full article
Show Figures

Figure 1

27 pages, 4767 KB  
Article
Damage and Tolerability Thresholds for Remaining Trees after Timber Harvesting: A Case Study from Southwest Romania
by Ilie-Cosmin Cântar, Cătălin-Ionel Ciontu, Lucian Dincă, Gheorghe Florian Borlea and Vlad Emil Crişan
Diversity 2022, 14(3), 193; https://doi.org/10.3390/d14030193 - 6 Mar 2022
Cited by 12 | Viewed by 3641
Abstract
The present study analyses the damage of remaining trees after timber harvesting from 24 logging sites from southwest Romania. The purpose was to establish tolerability thresholds within which damaged trees recover in a short amount of time, reducing the possibility of further rot [...] Read more.
The present study analyses the damage of remaining trees after timber harvesting from 24 logging sites from southwest Romania. The purpose was to establish tolerability thresholds within which damaged trees recover in a short amount of time, reducing the possibility of further rot apparition and tree health deterioration. Observations were resumed after the growing season had passed. Healed damage was analysed in regard to damage type, width, orientation and tree circumference. By using the ratio between the width of healed damage and the circumference of trees as experimental variants, equations were elaborated to determine the tolerance threshold of trees in logging. This is expressed as a maximum value between the damage width and the damaged tree circumference for which the damage is curable. The correlation between the circumference and the abovementioned relation was analysed, and differences between the values of the analysed relation for different cardinal orientations of the damage were statistically tested. The value of this ratio, which can be considered a tolerance threshold for trees in logging, records values of 0.09 (for thinnings, for cuttings to increase the light availability for regeneration and for final cuttings from shelterwood systems) and 0.10 (for first-intervention cuttings, as well as preparatory and seed cutting from shelterwood systems or selections systems). Full article
(This article belongs to the Special Issue Forest Management and Biodiversity Conservation)
Show Figures

Graphical abstract

16 pages, 9679 KB  
Article
Climate and Management Factors Underlying Changes in Beech Forest Herbaceous Layer Plant Communities in the Polish Eastern Carpathians
by Anna Bugno-Pogoda and Tomasz Durak
Forests 2021, 12(11), 1446; https://doi.org/10.3390/f12111446 - 23 Oct 2021
Cited by 6 | Viewed by 2526
Abstract
The herbaceous vegetation and forest stand characteristics in European beech forests growing in the Polish part of the Eastern Carpathians have changed over the last 40 years. This has been influenced by many factors, including land-use change, forest management and climate change. This [...] Read more.
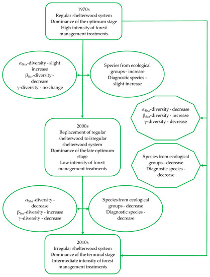
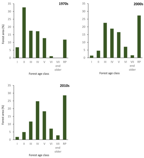
The herbaceous vegetation and forest stand characteristics in European beech forests growing in the Polish part of the Eastern Carpathians have changed over the last 40 years. This has been influenced by many factors, including land-use change, forest management and climate change. This study investigates changes in forest cover and structure and the associated changes in herbaceous layer plant communities and seeks to elucidate whether and how beech forest herbaceous layer communities have been affected by climate change. The study used information from archival and current land cover maps, semi-permanent sampling plots, forest management plans for the Forest Districts of Brzozów, Lesko and Ustrzyki Dolne and meteorological weather station data compiled for three study periods of herbaceous vegetation (1970s, 2000s, 2010s). In the study area, the regular shelterwood system was changed to an irregular shelterwood system that produces stands with a complex overstorey structure. The results revealed the important role of light availability in shaping the species composition of the herbaceous layer in semi-natural Carpathian beech forests, which was strongly related to the course of management activities. An overall decrease in the number of species during the 2010s is linked to the ageing of beech forests, increased intensity of management activities in ageing stands, competition from understorey vegetation and lower soil moisture that can be linked to climate change. Our study partially supports the existing findings that more manipulative forest management systems can play an important role in countering the current and expected effects of climate change on the forest ecosystem because of the low degree of spatial differentiation of the stand’s structure (developmental stages). Therefore, foresters managing the structure of stands should strive to create a forest structure with high variability of developmental stages on a regional scale. Full article
(This article belongs to the Section Forest Ecology and Management)
Show Figures

Figure 1

10 pages, 3299 KB  
Article
Winter Food Availability for Wild Herbivores Depending on the Type of Forest Regeneration
by Vlastimil Skoták, Kamil Turek, Jiří Kamler, Jiří Kloz and Petra Novotná
Forests 2021, 12(7), 825; https://doi.org/10.3390/f12070825 - 23 Jun 2021
Cited by 1 | Viewed by 2520
Abstract
This study compares the amount of available biomass for wild herbivores (red deer (Cervus elaphus L.), roe deer (Capreolus capreolus L.), and hare (Lepus europaeus Pallas)) depending on three different types of forest silvicultural systems—presented using the example of beech [...] Read more.
This study compares the amount of available biomass for wild herbivores (red deer (Cervus elaphus L.), roe deer (Capreolus capreolus L.), and hare (Lepus europaeus Pallas)) depending on three different types of forest silvicultural systems—presented using the example of beech and spruce stands in wintertime. During the winter period, spruce provided ten times more biomass for herbivores than beech. However, beech provided more metabolizable energy, 7.38 MJ/kg on average, whereas spruce only provided 6.57 MJ/kg. From the point of view of “risk of damage by herbivores”, artificial regeneration suffered the worst damage after using the Clear Cutting method of forest regeneration, as there was the least amount of biomass available, and thus, herbivores caused the greatest damage. On average, 12% of shoots were damaged in clearings. Most at risk was young forest vegetation up to 1 m tall. In summer, the area was overgrown with available plants, but in winter, the herbivores focused mainly on eating woody shoots. Damage to the natural regeneration when using the Shelterwood Cutting and Strip Cutting regeneration methods ranged up to 3%. At the same time, a high amount of available biomass was measured there, most likely due to its frequent natural regeneration. Thus, both types of trees regenerated in this way were not as susceptible to damage by herbivores as when regenerated using the Clear Cutting method. Full article
(This article belongs to the Section Forest Ecology and Management)
Show Figures

Figure 1

20 pages, 2495 KB  
Article
Impact of Forest Management on the Temporal Dynamics of Herbaceous Plant Diversity in the Carpathian Beech Forests over 40 Years
by Anna Bugno-Pogoda, Roma Durak and Tomasz Durak
Biology 2021, 10(5), 406; https://doi.org/10.3390/biology10050406 - 5 May 2021
Cited by 8 | Viewed by 2875
Abstract
In recent years, there has been a growing awareness of the complex dependence of herbaceous plant diversity on forest structure and management. However, among the studies presented so far, those in which the chronosequence (approach based on the assumption of space-for-time substitution) was [...] Read more.
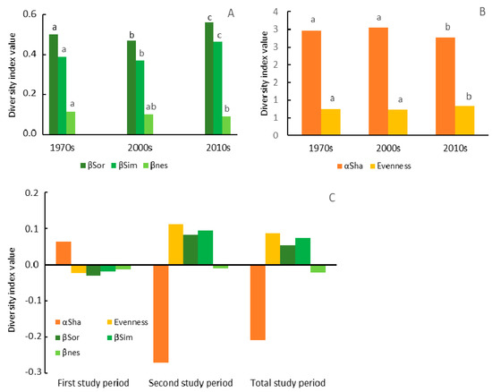
In recent years, there has been a growing awareness of the complex dependence of herbaceous plant diversity on forest structure and management. However, among the studies presented so far, those in which the chronosequence (approach based on the assumption of space-for-time substitution) was used, dominate. On the other hand, it is rare to find results based on long-term research on permanent or semi-permanent sampling plots. The aim of this study was to recognize the changes in the vegetation composition and dynamics of various indices of herbaceous plant diversity over 40 years of forest development, and their dependence on forest structure and management. Here we analyzed the temporal dynamics of herbaceous plant diversity in Carpathian fertile beech forests, based on datasets recorded on semi-permanent plots in three censuses (the 1970s, 2000s and 2010s). We checked the temporal changes in alpha, beta, and gamma diversity. Analyses of the plant diversity were performed on the background of changes in forest structure and management systems. We found that the within-plot (alfa diversity) and between-plot (beta diversity) herbaceous plant diversity metrics showed inconsistent patterns along with changes in the forest structure, management systems, and intensity of forest management, during the last 40 years. Temporal changes in the gamma diversity followed the changes in alpha diversity. Although the beta diversity after 40 years is greater than in the past, we argue that the conservation status of habitats typical for well-preserved fertile mountain beech forests has deteriorated due to a decline in the sharing of the diagnostic species of these forests. We showed the importance of the different temporal interactions between the forest structure and management for herbaceous plant diversity. We argue that, in view of the complexity of these processes, it would be a mistake to reject or prioritize alpha or beta diversity measurements to determine the real course of long-term changes in herbaceous plant diversity and to properly assess the state of the forest biodiversity, their conservation status, or conservation action plans. In addition, we need far more data from long-term observations to fully understand the possible relationship patterns between the factors controlling the forest structure and plant diversity. Full article
(This article belongs to the Section Conservation Biology and Biodiversity)
Show Figures

Figure 1

5 pages, 309 KB  
Proceeding Paper
Single Tree Stability Assessment in Beech High Forest and Factors that Could Induce Windbreak
by Emiliano Gennari, Francesco Latterini, Rachele Venanzi, Angela Lo Monaco and Rodolfo Picchio
Environ. Sci. Proc. 2021, 3(1), 60; https://doi.org/10.3390/IECF2020-07953 - 11 Nov 2020
Cited by 1 | Viewed by 1650
Abstract
Wind in Europe is the main disturbing factor and the greatest damaging agent of forest stands, causing three times the annual damage caused by fires each year. The amount of trees destroyed by wind annually in Europe is over 38 million cubic meters. [...] Read more.
Wind in Europe is the main disturbing factor and the greatest damaging agent of forest stands, causing three times the annual damage caused by fires each year. The amount of trees destroyed by wind annually in Europe is over 38 million cubic meters. Given the importance and extent of the phenomenon of wind crashes, this has been one of the main topics on which forestry scientists have focused over time, so much so that already in the mid-1990s of the last century there were more than 200 scientific papers on this topic. However, most of these studies focused on the prediction of possible wind damage, paying attention to the population level and not to a single tree; moreover, almost all of the studies were carried out on conifers. Studies concerning the single tree have been carried out above all in urban forestry, where the trees live in unfavorable contexts and are very distant from what could be their optimal living conditions found in forests. The aim of this research was to search for possible correlations between the tree conformation and the crashes caused by windy events. This was in order to assess the characteristics predisposing trees to crash, in such a way as to provide the forest engineer with useful information in choosing the trees to take priority in order to reduce the damage caused by windy events. In conjunction with the “Vaia windstorm”, which affected much of Northern Italy, another meteoric event also occurred which caused the crash of numerous individuals inside the beech forest located on the summit of Monte Amiata, in Tuscany. On this occasion, an attempt was made to investigate the possible existence of single-tree scale indicators relating to a greater susceptibility to crash, in beech forests of the same age treated to shelterwood system, under the same phytosanitary, edaphic and topographical conditions. The research methodology applied is the same as in other studies carried out on the subject, in such a way as to allow comparison between the results obtained. Various parameters were analyzed, in particular: maximum height, crown insertion height, castle height, height corresponding to the maximum crown width, crown volume and surface. The findings showed that the main variables that had a significant influence on wind crashes were: tree height, crown surface and volume. In particular, the standing trees were taller than those crashed and with a larger crown. Full article
Show Figures

Figure 1

16 pages, 2132 KB  
Article
Timber Distribution Dynamics in Scientifically Managed Community Forests: Learning from Nepal
by Prabin Bhusal, Pawan Karki and Jude Ndzifon Kimengsi
Forests 2020, 11(10), 1032; https://doi.org/10.3390/f11101032 - 24 Sep 2020
Cited by 9 | Viewed by 5366
Abstract
In a bid to address growing timber demand, irregular shelterwood system-based scientific forestry gained momentum in Nepal in 2000. While timber production, in general, is said to have witnessed an increase, the outcomes linked to equitable distribution among users remain unclear, suggesting the [...] Read more.
In a bid to address growing timber demand, irregular shelterwood system-based scientific forestry gained momentum in Nepal in 2000. While timber production, in general, is said to have witnessed an increase, the outcomes linked to equitable distribution among users remain unclear, suggesting the need for context-specific studies on the performance of scientific forestry in terms of timber distribution among users. Taking the case of the Western Terai Region of Nepal, this paper provides an in-depth analysis of the patterns and implications of timber distribution under community forestry systems where scientific forest management (SciFM) is practiced. The study deployed focus group discussions (n = 4), key informant interviews, and a review of timber distribution processes for the past six fiscal years (2013–2019), the periods before and after the implementation of SciFM. For data analysis, a deductive approach was used; analytical themes were framed along the lines of timber-harvesting trends, timber distribution structure and processes, and timber distribution patterns based on wellbeing. The study revealed a substantial increase in timber harvesting; considering the base year, harvest increased by 45% in the second year and by 56% in the third year. This was, however, characterized by a 40% decrease in the average volume of timber for users within the community forest user group. Ninety-seven percent of the timber produced in this system was distributed among middle- and high-class groups, with only 3% available for poor households—this puts to question the intended objective of providing sufficient timber, especially to poor users. The paper concludes that technocentric efforts linked to increasing timber sufficiency (e.g., through SciFM) have failed to address the needs of the poorest of the poor, as elite capture prevails. We also call for future studies to explore pathways to deal with the hydra-headed nature of elite capture. Full article
(This article belongs to the Special Issue Protected Areas in Forest Conservation: Challenges and Opportunities)
Show Figures

Figure 1

Back to TopTop