Sign in to use this feature.

Years

Between: -

Subjects

remove_circle_outline
remove_circle_outline
remove_circle_outline
remove_circle_outline
remove_circle_outline
remove_circle_outline
remove_circle_outline
remove_circle_outline
remove_circle_outline

Journals

remove_circle_outline
remove_circle_outline
remove_circle_outline
remove_circle_outline
remove_circle_outline

Article Types

Countries / Regions

remove_circle_outline
remove_circle_outline
remove_circle_outline
remove_circle_outline

Search Results (231)

Search Parameters:
Keywords = sequential quadratic

Order results
Result details
Results per page
Select all
Export citation of selected articles as:
15 pages, 2274 KB  
Article
Mine Ventilation Network Calibration Based on Slack Variables and Sequential Quadratic Programming
by Fengliang Wu, Ruitun Wang, Jun Cao and Jianan Gao
Processes 2026, 14(4), 715; https://doi.org/10.3390/pr14040715 - 21 Feb 2026
Viewed by 144
Abstract
In mine ventilation network calibration, sparse and inconsistent airflow measurements often lead to infeasibility in traditional optimization models. To overcome this challenge, this paper proposes a nonlinear programming calibration model incorporating slack variables. The model treats aerodynamic resistance corrections, airflow adjustments, unknown airflows, [...] Read more.
In mine ventilation network calibration, sparse and inconsistent airflow measurements often lead to infeasibility in traditional optimization models. To overcome this challenge, this paper proposes a nonlinear programming calibration model incorporating slack variables. The model treats aerodynamic resistance corrections, airflow adjustments, unknown airflows, and resistance lower-bound slack variables as decision variables. The objective function is formulated to minimize the weighted sum of squares of resistance corrections, while penalty terms account for airflow adjustments and slack variables. Constraints integrate Kirchhoff’s laws with relaxed inequality constraints for resistance lower bounds. A calibration tool integrated via the ObjectARX interface was developed using C++, utilizing the Sequential Quadratic Programming (SQP) algorithm for the solution. The method was validated via a case study of a network comprising 39 branches and 16 measured airflows, optimized under five distinct initial conditions. Results demonstrate that the inclusion of slack variables mathematically guarantees the existence of feasible solutions. With a resistance correction weight of 10−2 and a penalty coefficient of 105, the model applies only minimal necessary corrections to handle overly tight constraints or data conflicts. The SQP algorithm exhibits superior global convergence, consistently iterating to optimal solutions that satisfy network balance laws regardless of initial values. This approach effectively resolves the infeasibility and data conflict issues inherent in traditional methods, demonstrating significant robustness and practical engineering utility. Full article
(This article belongs to the Section Petroleum and Low-Carbon Energy Process Engineering)
Show Figures

Figure 1

19 pages, 2280 KB  
Article
Biosurfactant-Producing Bacteria Isolated from a Microbial Consortium Previously Subjected to Adaptive Laboratory Evolution in Oily Sludge
by Maria Clara Bessa Souza, Rachel Passos Rezende, Natielle Cachoeira Dotivo, Angelina Moreira de Freitas, Elizama Aguiar-Oliveira, Luiz Carlos Salay, Eric de Lima Silva Marques, Suzana Rodrigues de Moura, Erivelton Santana Ferreira, Luana Silva Ferreira, Henrique Andrade Rabelo Bonfim, Fabiano Lopes Thompson, Bianca Mendes Maciel and João Carlos Teixeira Dias
Microorganisms 2026, 14(2), 503; https://doi.org/10.3390/microorganisms14020503 - 20 Feb 2026
Viewed by 243
Abstract
Microbial bioprospecting in contaminated environments is a promising strategy for identifying biosurfactant-producing bacteria; however, translating environmentally adapted strains into predictable cultivation processes remains challenging. In this study, a microbial consortium subjected to long-term evolutionary laboratory adaptation in oily sludge was investigated to evaluate [...] Read more.
Microbial bioprospecting in contaminated environments is a promising strategy for identifying biosurfactant-producing bacteria; however, translating environmentally adapted strains into predictable cultivation processes remains challenging. In this study, a microbial consortium subjected to long-term evolutionary laboratory adaptation in oily sludge was investigated to evaluate strain-specific phenotypic responses related to biosurfactant production. Phylogenetic analysis based on 16S rDNA sequencing identified three taxonomically distant isolates: Faucicola sp. strain BS5C, Pseudomonas sp. strain BS16B, and Enterobacter sp. BS14MR. Biosurfactant production was evaluated using a sequential Design of Experiments (DOE) approach, including fractional factorial and central composite rotatable designs, with the emulsification index (E24) used as a semi-quantitative response variable. Initial screening revealed a statistically significant negative effect (p < 0.10) of high dextrose concentrations for all isolates. Strain-specific differences in model adequacy were observed, with a statistically adequate quadratic model obtained for Pseudomonas sp. BS16B (R2 = 0.8658, p = 0.0225), whereas the other isolates showed significant lack of fit (p < 0.05). ATR-FTIR analysis revealed spectral profiles consistent with lipopeptide-like compounds. Overall, these results indicate that isolates derived from the same long-term adapted system may differ substantially in process predictability, suggesting that productivity-based screening alone may be insufficient for selecting robust strains. Full article
(This article belongs to the Section Microbial Biotechnology)
Show Figures

Figure 1

13 pages, 4699 KB  
Article
Self-Powered Flexible Humidity Sensor Based on HACC/LiCl Composite Electrolyte
by Baojian Zhao, Fanfeng Yi, Shangping Gao, Hong Zhang and Caideng Yuan
Materials 2026, 19(4), 760; https://doi.org/10.3390/ma19040760 - 15 Feb 2026
Viewed by 287
Abstract
To address the challenges of traditional flexible humidity sensors, such as reliance on external power supply, complex fabrication processes, and poor adaptability to energy-limited scenarios, this study successfully developed a low-cost, easily scalable, self-powered flexible humidity sensor based on hydroxypropyl trimethyl ammonium chitosan/lithium [...] Read more.
To address the challenges of traditional flexible humidity sensors, such as reliance on external power supply, complex fabrication processes, and poor adaptability to energy-limited scenarios, this study successfully developed a low-cost, easily scalable, self-powered flexible humidity sensor based on hydroxypropyl trimethyl ammonium chitosan/lithium chloride (HACC/LiCl) composite electrolyte using a screen-printing process. The device employs A4 paper as the flexible substrate, and interdigitated manganese dioxide (MnO2) positive electrodes, zinc (Zn) negative electrodes, and HACC/LiCl composite electrolyte layers are sequentially fabricated via screen-printing, ultimately constructing a simple primary battery structure. Through a series of performance screening and optimization, 0.1 mol/L LiCl-modified HACC (HL-1) is identified as the optimal electrolyte system. The test results show that the HL-1 sensor exhibits a wide humidity detection range of 11~97% relative humidity (RH), with the output voltage displaying a good quadratic function relationship with humidity (R2 = 0.996), and a peak output voltage of up to 1.2 V. The device possesses excellent cyclic stability and long-term stability, with no significant fluctuation in output voltage under different bending deformation states. This sensor demonstrates broad application prospects in fields such as respiratory monitoring and non-contact sensing, providing a feasible technical path for the development of low-cost passive humidity monitoring equipment. Full article
Show Figures

Graphical abstract

20 pages, 4433 KB  
Article
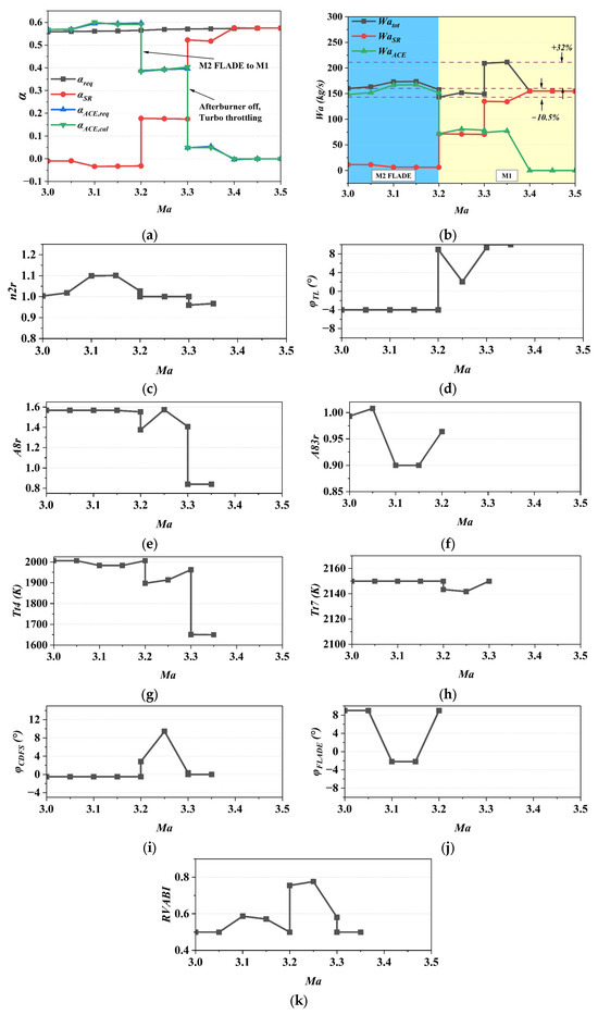
Co-Optimized Flow Matching and Thrust Retention Control for an Adaptive Cycle Engine in Turbine-Based Combined Cycle Mode Transition
by Yu Fu, Wenyan Song and Qiuyin Wang
Energies 2026, 19(4), 993; https://doi.org/10.3390/en19040993 - 13 Feb 2026
Viewed by 134
Abstract
This paper presents a comprehensive study on the control law design for the turbine-to-ramjet mode transition in an adaptive-cycle turbine-based combined cycle (TBCC) engine, aiming to mitigate the persistent “thrust gap” challenge. An integrated conceptual configuration of a hypersonic vehicle with a parallel-duct [...] Read more.
This paper presents a comprehensive study on the control law design for the turbine-to-ramjet mode transition in an adaptive-cycle turbine-based combined cycle (TBCC) engine, aiming to mitigate the persistent “thrust gap” challenge. An integrated conceptual configuration of a hypersonic vehicle with a parallel-duct TBCC system, which replaces the conventional turbofan with a three-bypass adaptive cycle engine (ACE), is proposed. High-fidelity performance models for both the ACE and the scramjet are developed, with a Kriging surrogate model employed to accelerate the computationally intensive ACE simulations during the transition. A co-optimization framework is established, defining a comprehensive performance index that balances thrust tracking accuracy and control smoothness under rigorous intake-engine flow matching constraints. Using sequential quadratic programming (SQP), the control schedules for the ACE’s variable geometries are optimized. Comparative analyses reveal that the ACE, with its flexible bypass management and multiple adjustable mechanisms, can actively adapt its airflow demand to match the restricted intake supply. Consequently, the optimized ACE-based TBCC reduces total airflow fluctuation during the Mach 3–3.5 transition from 106% (conventional turbofan baseline) to 42.5%, while maintaining required thrust. This work quantitatively demonstrates the superior flow-handling capability of adaptive cycle technology, providing a viable and effective solution for ensuring stable and efficient mode transition in future hypersonic TBCC propulsion systems. Full article
Show Figures

Figure 1

15 pages, 1040 KB  
Article
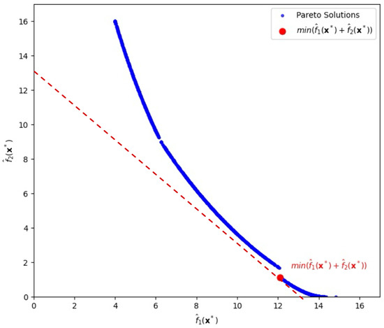
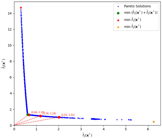
Pareto-Front Optimization of Variance-Added Expected Loss with Interrelated Qualities
by Sangwon Kim and Kichun Lee
Entropy 2026, 28(2), 199; https://doi.org/10.3390/e28020199 - 10 Feb 2026
Viewed by 165
Abstract
In industries, particularly in quality optimization, the trade-off between model bias and variance is inevitable, reflecting the tension between accuracy and uncertainty. Traditional methods often address these aspects separately, potentially leading to suboptimal decisions. This study proposes a Pareto-front optimization framework for a [...] Read more.
In industries, particularly in quality optimization, the trade-off between model bias and variance is inevitable, reflecting the tension between accuracy and uncertainty. Traditional methods often address these aspects separately, potentially leading to suboptimal decisions. This study proposes a Pareto-front optimization framework for a variance-added expected loss function within the context of interrelated quality characteristics. By integrating multivariate quadratic loss with a variance term, our approach simultaneously captures deviation from targets (bias) and system uncertainty (variance). Unlike sequential approaches that first minimize bias and then variance—often increasing total risk—our weighted formulation flexibly adjusts for their trade-offs. This enables a more balanced and efficient optimization process that identifies solutions with lower overall risk. Through Pareto-front analysis, we reveal trade-offs between expected loss and variance, allowing users to select optimal quality designs based on their preferred bias–variance balance. Representative examples and a case study adopted from the literature validate the effectiveness and practical applicability of the proposed method. Full article
(This article belongs to the Special Issue Information-Theoretic Methods in Data Analytics, 2nd Edition)
Show Figures

Figure 1

22 pages, 5728 KB  
Article
Improving the Generalization Performance of Multi-Earthquake-Case Models for Building Damage Assessments Based on Multi-Sensor Data and Model Weight Optimization
by Jin Chen, Guangyao Zhou, Xia Ning and Hongjian You
Remote Sens. 2026, 18(4), 546; https://doi.org/10.3390/rs18040546 - 8 Feb 2026
Viewed by 241
Abstract
The rapid assessment of building damage within a region after an earthquake is crucial for post-earthquake relief efforts. The current building damage assessment methods primarily employ remote sensing or structural equation modeling, which suffer from poor timeliness, are largely focused on individual buildings, [...] Read more.
The rapid assessment of building damage within a region after an earthquake is crucial for post-earthquake relief efforts. The current building damage assessment methods primarily employ remote sensing or structural equation modeling, which suffer from poor timeliness, are largely focused on individual buildings, and face difficulties in obtaining structural data. Furthermore, building assessment cases are often applicable only to a single earthquake, exhibiting poor generalization performance when the study area changes. This paper addresses the above issues by selecting historical earthquake cases from different geographical regions. The data includes hazard-causing factors, hazard-affected body factors, and hazard-formative environment factors captured by multi-sensors, as well as damage proxy map (DPM) data. In this study, we developed a technical approach to improve the generalization performance of building earthquake damage assessment using the light gradient boosting machine (LightGBM) and sequential least squares quadratic programming (SLSQP) methods. Among them, the LightGBM method is used to construct the evaluation model, while the SLSQP method is used to seek the optimal combination of single-earthquake-case models when constructing a multi-earthquake-case model. The analysis shows that the constructed multi-earthquake-case model is superior to the baseline model. Compared with the baseline model, the constructed multi-earthquake-case model has an mean absolute error (MAE) reduced by 0.015–0.037, an root mean squared error (RMSE) reduced by 0.021–0.056, and an coefficient of determination (R2) increased by 0.096–0.296. Furthermore, the availability of historical earthquake cases as prior data can improve the effectiveness of post-earthquake building damage assessments and is suitable for damage assessments lacking building structural data. Full article
Show Figures

Graphical abstract

13 pages, 2224 KB  
Article
Motion-Informed, Patient-Specific Femoral Localization for MPFL Reconstruction Using 4D-CT and Constrained Optimization
by Jiaying Wei, Xinhao Zhang, Jia Li, Weigen Ye, Runxing Kang, Dehua Wang, Weilin Wu, Mao Yuan, Yinsong Sun, Hong Cheng, Wei Huang, Ke Li, Chaobin Zou and Chen Zhao
Diagnostics 2026, 16(4), 508; https://doi.org/10.3390/diagnostics16040508 - 7 Feb 2026
Viewed by 221
Abstract
Background: Accurate femoral localization is a critical factor influencing graft length-change behavior in medial patellofemoral ligament reconstruction (MPFLR). However, the commonly used Schöttle point is derived from static radiographs and does not account for subject-specific patellofemoral kinematics during active knee motion. In this [...] Read more.
Background: Accurate femoral localization is a critical factor influencing graft length-change behavior in medial patellofemoral ligament reconstruction (MPFLR). However, the commonly used Schöttle point is derived from static radiographs and does not account for subject-specific patellofemoral kinematics during active knee motion. In this study, we integrated four-dimensional computed tomography (4D-CT) with constrained optimization to establish a motion-informed, patient-specific femoral localization framework. Methods: A total of 1382 4D-CT knee datasets were screened, and 58 knees were selected for detailed kinematic modeling. Subject-specific femoral and patellar point clouds were reconstructed from time-resolved CT data acquired during voluntary knee flexion. Within a predefined 5–15 mm neighborhood of the Schöttle point, a constrained sequential quadratic programming (SQP) approach was applied to identify an individualized femoral point (I-point) that minimized MPFL length variability while enforcing a femoral-surface constraint. Results: Compared with the Schöttle point, the I-point demonstrated a distinct spatial distribution, characterized primarily by a proximal shift along the femoral axis (PERMANOVA pseudo-F = 4.457, p = 0.006). Across 0–90° of knee flexion, the I-point was associated with reduced MPFL length variation and approached a relatively stable length-change profile near mid-flexion. Conclusions: These findings indicate that integrating 4D-CT-derived kinematics with constrained optimization can provide quantitative, imaging-based, motion-informed guidance for patient-specific femoral localization. This imaging-based framework may serve as a preoperative decision-support tool for personalized MPFLR planning. Full article
Show Figures

Figure 1

21 pages, 1755 KB  
Article
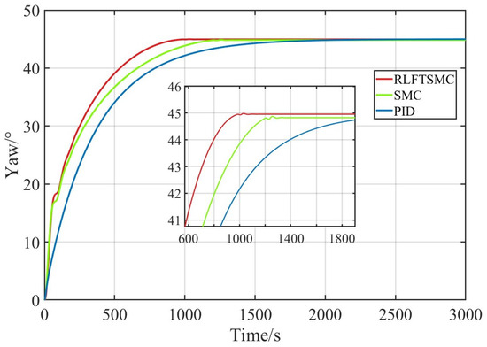
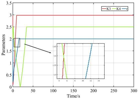
Reinforcement Learning-Based Sliding Mode Control of Underwater Vehicles with Bow Rudders and X-Stern Rudders
by Hao Ren, Jie Liu, Jian Gao, Guang Pan and Haixu Ding
J. Mar. Sci. Eng. 2026, 14(3), 321; https://doi.org/10.3390/jmse14030321 - 6 Feb 2026
Viewed by 227
Abstract
This paper addresses the motion control for an x-rudder underwater vehicle, which features a bow rudder and four independent x-shaped stern rudders. To achieve coordinated operation of bow and stern rudders of the x-rudder underwater vehicle, the motion controller is divided into two [...] Read more.
This paper addresses the motion control for an x-rudder underwater vehicle, which features a bow rudder and four independent x-shaped stern rudders. To achieve coordinated operation of bow and stern rudders of the x-rudder underwater vehicle, the motion controller is divided into two parts: dynamic controller and control distributor. A model-free sliding mode parameter optimization control algorithm for underwater vehicles based on reinforcement learning (RL) is proposed. The proposed algorithm integrates a fast terminal sliding mode controller based on prior model knowledge with a model-free, data-driven input derived from reinforcement learning, ensuring both efficiency and adaptability. The control allocator employs an improved sequential quadratic programming approach to tackle the mixed minimization problem, considering various evaluation criteria and constraints. The effectiveness of the proposed control method is validated through numerical simulations across different conditions, and its performance is compared in terms of accuracy, convergence, and computational complexity. Full article
(This article belongs to the Section Ocean Engineering)
Show Figures

Figure 1

20 pages, 1585 KB  
Article
Integrating C-Phycocyanin, and Polyhydroxybutyrate Recovery Using a Triphasic System: Experimental Design and Optimization in Thermotolerant Potamosiphon sp.
by Andrés F. Barajas-Solano
Phycology 2026, 6(1), 21; https://doi.org/10.3390/phycology6010021 - 1 Feb 2026
Cited by 1 | Viewed by 333
Abstract
This research assesses a triphasic extraction technique for the sequential retrieval of C-phycocyanin (C-PC) and polyhydroxybutyrate (PHB) from a thermotolerant Potamosiphon sp. strain. A two-stage design-of-experiments methodology was employed (Minimum Run Resolution V factorial design involving six variables, followed by a central composite [...] Read more.
This research assesses a triphasic extraction technique for the sequential retrieval of C-phycocyanin (C-PC) and polyhydroxybutyrate (PHB) from a thermotolerant Potamosiphon sp. strain. A two-stage design-of-experiments methodology was employed (Minimum Run Resolution V factorial design involving six variables, followed by a central composite design (CCD)) to optimize the chosen region. In the factorial stage, PHB ranged from 109.396 to 168.995 mg/g, and the model was significant (F = 22.63, p < 0.0001). Freeze-milling and vortexing were identified as critical elements, underscoring the importance of the t-butanol × (NH4)2SO4 interaction for phase selectivity. The CCD concentrating on freeze-milling and vortex cycles yielded a robust quadratic model (F = 78.18, p < 0.0001), forecasting a peak PHB yield of 191.82 mg/g at six freeze-milling cycles and three vortex cycles (desirability 0.921), while maintaining t-butanol at 19.9 mL, t-butanol concentration at 94.7% (v/v), (NH4)2SO4 at 49.9% (w/v), and vortex duration at 1.2 min. Ten separate trials validated the model’s accuracy, yielding an observed PHB of 191.5 mg/g, which closely matched the model’s prediction. The platform facilitates an integrated downstream process in which C-PC is recovered under moderate conditions before triphasic partitioning. This enables the simultaneous valorization of pigment, lipophilic fraction, and biopolymer inside a unified cyanobacterial biorefinery process. Full article
(This article belongs to the Special Issue Development of Algal Biotechnology)
Show Figures

Figure 1

27 pages, 14177 KB  
Article
Lite-BSSNet: A Lightweight Blueprint-Guided Visual State Space Network for Remote Sensing Imagery Segmentation
by Jiaxin Yan, Yuxiang Xie, Yan Chen, Yanming Guo and Wenzhe Liu
Remote Sens. 2026, 18(3), 441; https://doi.org/10.3390/rs18030441 - 30 Jan 2026
Viewed by 283
Abstract
Remote sensing image segmentation requires balancing global context and local detail across multi-scale objects. However, convolutional neural network (CNN)-based methods struggle to model long-range dependencies, while transformer-based approaches suffer from quadratic complexity and become inefficient for high-resolution remote sensing scenarios. In addition, the [...] Read more.
Remote sensing image segmentation requires balancing global context and local detail across multi-scale objects. However, convolutional neural network (CNN)-based methods struggle to model long-range dependencies, while transformer-based approaches suffer from quadratic complexity and become inefficient for high-resolution remote sensing scenarios. In addition, the semantic gap between deep and shallow features can cause misalignment during cross-layer aggregation, and information loss in upsampling tends to break thin continuous structures, such as roads and roof edges, introducing pronounced structural noise. To address these issues, we propose lightweight Lite-BSSNet (Blueprint-Guided State Space Network). First, a Structural Blueprint Generator (SBG) converts high-level semantics into an edge-enhanced structural blueprint that provides a topological prior. Then, a Visual State Space Bridge (VSS-Bridge) aligns multi-level features and projects axially aggregated features into a linear-complexity visual state space, smoothing high-gradient edge signals for sequential scanning. Finally, a Structural Repair Block (SRB) enlarges the effective receptive field via dilated convolutions and uses spatial/channel gating to suppress upsampling artifacts and reconnect thin structures. Experiments on the ISPRS Vaihingen and Potsdam datasets show that Lite-BSSNet achieves the highest segmentation accuracy among the compared lightweight models, with mIoU of 83.9% and 86.7%, respectively, while requiring only 45.4 GFLOPs, thus achieving a favorable trade-off between accuracy and efficiency. Full article
Show Figures

Figure 1

19 pages, 4026 KB  
Proceeding Paper
Comparative SQP-GA-PSO Algorithms for Hierarchical Multi-Objective Optimization Design of Induction Motors
by Hung Vu Xuan
Eng. Proc. 2026, 122(1), 28; https://doi.org/10.3390/engproc2026122028 - 26 Jan 2026
Viewed by 231
Abstract
This paper presents the optimal design for a 30 kW, 3-phase squirrel-cage induction motor (IM). In this paper, three optimization algorithms are used for design optimization, namely, Particle Swarm Optimization Algorithm (PSO), genetic algorithm (GA), and Sequential Quadratic Programming (SQP). The optimal goals [...] Read more.
This paper presents the optimal design for a 30 kW, 3-phase squirrel-cage induction motor (IM). In this paper, three optimization algorithms are used for design optimization, namely, Particle Swarm Optimization Algorithm (PSO), genetic algorithm (GA), and Sequential Quadratic Programming (SQP). The optimal goals are maximum starting torque, efficiency, and minimum material cost. The result of the IM design optimization using three optimal methods is announced and compared. Additionally, computation time and the number of iterations of each algorithm are compared to find out the most suitable algorithm for the optimal design of an induction motor. In addition, this paper proposes a solution that permits us to find only one solution satisfying all the optimal criteria. Instead of using the conventional multi-objective optimization method that normally leads to a Pareto set with many optimal points at the same optimal level, we propose a hierarchical optimization method that experiences some mono-objective optimization and then builds a function representing the multi-objective optimization. Using this method, having a global optimal point can be obtained. Comparison of the optimal algorithms and multi-objective optimization methods has given broadened insight into optimal techniques for IMs. We have found that PSO is the best method for optimization design of IMs in terms of computation time and finding the global optimal point. Full article
Show Figures

Figure 1

17 pages, 2530 KB  
Article
Hybrid Optimization Technique for Finding Efficient Earth–Moon Transfer Trajectories
by Lorenzo Casalino, Andrea D’Ottavio, Giorgio Fasano, Janos D. Pintér and Riccardo Roberto
Algorithms 2026, 19(1), 80; https://doi.org/10.3390/a19010080 - 17 Jan 2026
Viewed by 393
Abstract
The Lunar Gateway is a planned small space station that will orbit the Moon and serve as a central hub for NASA’s Artemis program to return humans to the lunar surface and to prepare for Mars missions. This work presents a hybrid optimization [...] Read more.
The Lunar Gateway is a planned small space station that will orbit the Moon and serve as a central hub for NASA’s Artemis program to return humans to the lunar surface and to prepare for Mars missions. This work presents a hybrid optimization strategy for designing minimum-fuel transfers from an Earth orbit to a Lunar Near-Rectilinear Halo Orbit. The corresponding optimal control problem—crucial for missions to NASA’s Lunar Gateway—is characterized by a high-dimensional, non-convex solution space due to the multi-body gravitational environment. To tackle this challenge, a two-stage hybrid optimization scheme is employed. The first stage uses a Genetic Algorithm heuristic as a global search strategy, to identify promising feasible trajectory solutions. Subsequently, the initial solution guess (or guesses) produced by GA are improved by a local optimizer based on a Sequential Quadratic Programming method: from a suitable initial guess, SQP rapidly converges to a high-precision feasible solution. The proposed methodology is applied to a representative cargo mission case study, demonstrating its efficiency. Our numerical results confirm that the hybrid optimization strategy can reliably generate mission-grade quality trajectories that satisfy stringent constraints while minimizing propellant consumption. Our analysis validates the combined GA-SQP optimization approach as a robust and efficient tool for space mission design in the cislunar environment. Full article
Show Figures

Figure 1

39 pages, 5114 KB  
Article
Optimal Sizing of Electrical and Hydrogen Generation Feeding Electrical and Thermal Load in an Isolated Village in Egypt Using Different Optimization Technique
by Mohammed Sayed, Mohamed A. Nayel, Mohamed Abdelrahem and Alaa Farah
Energies 2026, 19(2), 452; https://doi.org/10.3390/en19020452 - 16 Jan 2026
Viewed by 233
Abstract
This paper analyzes the functional feasibility and strategic value of hybrid hydrogen storage and photovoltaic (PV) energy systems at isolated areas, specifically at Egypt’s Shalateen station. The paper is significant as it formulates a solution to the energy independence coupled with economic feasibility [...] Read more.
This paper analyzes the functional feasibility and strategic value of hybrid hydrogen storage and photovoltaic (PV) energy systems at isolated areas, specifically at Egypt’s Shalateen station. The paper is significant as it formulates a solution to the energy independence coupled with economic feasibility issue in regions where the basic energy infrastructure is non-existent or limited. Through the integration of a portfolio of advanced optimization algorithms—Differential Evolution (DE), Genetic Algorithm (GA), Particle Swarm Optimization (PSO), Grey Wolf Optimizer (GWO), Multi-Objective Genetic Algorithm (MOGA), Pattern Search, Sequential Quadratic Programming (SQP), and Simulated Annealing—the paper evaluates the performance of two scenarios. The first evaluates the PV system in the absence of hydrogen production to demonstrate how system parameters are optimized by Pattern Search and PSO to achieve a minimum Cost of Energy (COE) of 0.544 USD/kWh. The second extends the system to include hydrogen production, which becomes important to ensure energy continuity during solar irradiation-free months like those during winter months. In this scenario, the same methods of optimization enhance the COE to 0.317 USD/kWh, signifying the economic value of integrating hydrogen storage. The findings underscore the central role played by hybrid renewable energy systems in ensuring high resilience and sustainability of supplies in far-flung districts, where continued enhancement by means of optimization is needed to realize maximum environmental and technological gains. The paper offers a futuristic model towards sustainable, dependable energy solutions key to the energy independence of the future in such challenging environments. Full article
(This article belongs to the Section A2: Solar Energy and Photovoltaic Systems)
Show Figures

Figure 1

24 pages, 1474 KB  
Article
A Fractional Hybrid Strategy for Reliable and Cost-Optimal Economic Dispatch in Wind-Integrated Power Systems
by Abdul Wadood, Babar Sattar Khan, Bakht Muhammad Khan, Herie Park and Byung O. Kang
Fractal Fract. 2026, 10(1), 64; https://doi.org/10.3390/fractalfract10010064 - 16 Jan 2026
Viewed by 314
Abstract
Economic dispatch in wind-integrated power systems is a critical challenge, yet many recent metaheuristics suffer from premature convergence, heavy parameter tuning, and limited ability to escape local optima in non-smooth valve-point landscapes. This study proposes a new hybrid optimization framework, the Fractional Grasshopper [...] Read more.
Economic dispatch in wind-integrated power systems is a critical challenge, yet many recent metaheuristics suffer from premature convergence, heavy parameter tuning, and limited ability to escape local optima in non-smooth valve-point landscapes. This study proposes a new hybrid optimization framework, the Fractional Grasshopper Optimization algorithm (FGOA), which integrates fractional-order calculus into the standard Grasshopper Optimization algorithm (GOA) to enhance its search efficiency. The FGOA method is applied to the economic load dispatch (ELD) problem, a nonlinear and nonconvex task that aims to minimize fuel and wind-generation costs while satisfying practical constraints such as valve-point loading effects (VPLEs), generator operating limits, and the stochastic behavior of renewable energy sources. Owing to the increasing role of wind energy, stochastic wind power is modeled through the incomplete gamma function (IGF). To further improve computational accuracy, FGOA is hybridized with Sequential Quadratic Programming (SQP), where FGOA provides global exploration and SQP performs local refinement. The proposed FGOA-SQP approach is validated on systems with 3, 13, and 40 generating units, including mixed thermal and wind sources. Comparative evaluations against recent metaheuristic algorithms demonstrate that FGOA-SQP achieves more accurate and reliable dispatch outcomes. Specifically, the proposed approach achieves fuel cost reductions ranging from 0.047% to 0.71% for the 3-unit system, 0.31% to 27.25% for the 13-unit system, and 0.69% to 12.55% for the 40-unit system when compared with state-of-the-art methods. Statistical results, particularly minimum fitness values, further confirm the superior performance of the FGOA-SQP framework in addressing the ELD problem under wind power uncertainty. Full article
Show Figures

Figure 1

18 pages, 4346 KB  
Article
Catalytic CO2 Utilization for Ethanol Reforming over Yttrium-Promoted Ni-Co/MCM-41 Catalyst: Optimizing Hydrogen Production Using Box–Behnken Experimental Design and Response Surface Methodology
by Bamidele Victor Ayodele, SK Safdar Hossain, Nur Diyan Mohd Ridzuan and Hayat Khan
Catalysts 2026, 16(1), 90; https://doi.org/10.3390/catal16010090 - 13 Jan 2026
Viewed by 448
Abstract
Catalytic dry reforming of ethanol offers a sustainable pathway for syngas and hydrogen production through CO2 utilization, though its efficiency depends heavily on the strategic synthesis of catalysts and the optimization of reaction parameters. This study employs Box–Behnken Design (BBD) and Response [...] Read more.
Catalytic dry reforming of ethanol offers a sustainable pathway for syngas and hydrogen production through CO2 utilization, though its efficiency depends heavily on the strategic synthesis of catalysts and the optimization of reaction parameters. This study employs Box–Behnken Design (BBD) and Response Surface Methodology (RSM) to optimize hydrogen yield from CO2 reforming of ethanol over a Yttrium-promoted Ni-Co/MCM-41 catalyst. The catalyst was synthesized using sequential wet impregnation method and characterized for its physicochemical properties. The catalyst was tested in fixed-bed reactor using experimental data obtained from BBD considering the effects of temperature (550–700 °C), ethanol flowrate (0.5–1 mL/min) and CO2 flowrate (15–30 mL/min) on the hydrogen yield. The experimental conditions were optimized using RSM quadratic model. The characterization revealed that the ordered mesoporous nature of the MCM-41 is maintained providing a high surface area of 597.75 m2/g for the catalyst. The addition of Yttrium as a promoter facilitates the formation of well crystallized nanoparticles. Maximum hydrogen yield of 85.09% was obtained at 700 °C, 20.393 mL/min and 0.877 mL/min for temperature, CO2 and ethanol flowrate, respectively. The predicted hydrogen yield obtained is strongly correlated with the actual values as indicated by R2 of 0.9570. Full article
Show Figures

Graphical abstract

Back to TopTop