Sign in to use this feature.

Years

Between: -

Subjects

remove_circle_outline
remove_circle_outline
remove_circle_outline
remove_circle_outline
remove_circle_outline
remove_circle_outline
remove_circle_outline

Journals

Article Types

Countries / Regions

Search Results (13)

Search Parameters:
Keywords = scissor-structural mechanisms

Order results
Result details
Results per page
Select all
Export citation of selected articles as:
17 pages, 3207 KB  
Article
Cyclohexane Vibronic States: A Combined VUV Spectroscopy and Theoretical Study
by Edvaldo Bandeira, Alessandra S. Barbosa, Nykola C. Jones, Søren V. Hoffmann, Márcio H. F. Bettega and Paulo Limão-Vieira
Molecules 2025, 30(7), 1493; https://doi.org/10.3390/molecules30071493 - 27 Mar 2025
Viewed by 511
Abstract
In this work, we provide results from a joint experimental and theoretical study of the vibronic features of cyclohexane (C6H12) in the photon energy range of 6.8–10.8 eV (182–115 nm). The high-resolution vacuum ultraviolet (VUV) photoabsorption measurements, together with [...] Read more.
In this work, we provide results from a joint experimental and theoretical study of the vibronic features of cyclohexane (C6H12) in the photon energy range of 6.8–10.8 eV (182–115 nm). The high-resolution vacuum ultraviolet (VUV) photoabsorption measurements, together with quantum chemical calculations at the time-dependent density functional theory (TDDFT) level, have helped to assign the major electronic excitations to mixed valence–Rydberg and Rydberg transitions. The C6H12 photoabsorption spectrum shows fine structure which has been assigned to CH2 scissoring, v3a1g, CH2 rocking, v4a1g, C–C stretching, v5a1g, and CCC bending/CC torsion, v24eg, modes. Molecular structure calculations at the DFT level for the neutral and cationic electronic ground-states have shown the relevant structural changes that are operative in the higher-lying electronic states. Photolysis lifetimes in the Earth’s atmosphere are shown to be irrelevant, while the main atmospheric sink mechanism is the reaction with the OH radical. Potential energy curves have been obtained at the TDDFT level of theory, showing the relevance of interchange character mainly involving the CH2 scissoring, v3a1g, and CH2 rocking, v4a1g, modes, while Jahn–Teller distortion yields weak vibronic coupling involving the non-totally symmetric CCC bending/CC torsion, v24eg, mode. Full article
(This article belongs to the Special Issue Exclusive Feature Papers in Physical Chemistry, 3rd Edition)
Show Figures

Graphical abstract

18 pages, 6883 KB  
Article
New FeMoTaTiZr High-Entropy Alloy for Medical Applications
by Miguel López-Ríos, Julia Mirza-Rosca, Ileana Mariana Mates, Victor Geanta and Ionelia Voiculescu
Metals 2025, 15(3), 259; https://doi.org/10.3390/met15030259 - 27 Feb 2025
Cited by 2 | Viewed by 1218
Abstract
High-entropy alloys are novel metallic materials distinguished by very special mechanical and chemical properties that are superior to classical alloys, attracting high global interest for the study and development thereof for different applications. This work presents the creation and characterisation of an FeMoTaTiZr [...] Read more.
High-entropy alloys are novel metallic materials distinguished by very special mechanical and chemical properties that are superior to classical alloys, attracting high global interest for the study and development thereof for different applications. This work presents the creation and characterisation of an FeMoTaTiZr high-entropy alloy composed of chemical constituents with relatively low biotoxicity for human use, suitable for medical tools such as surgical scissors, blades, or other cutting tools. The alloy microstructure is dendritic in an as-cast state. The chemical composition of the FeMoTaTiZr alloy micro-zone revealed that the dendrites especially contain Mo and Ta, while the inter-dendritic matrix contains a mixture of Ti, Fe, and Zr. The structural characterisation of the alloy, carried out via X-ray diffraction, shows that the main phases formed in the FeMoTaTiZr matrix are fcc (Ti7Zr3)0.2 and hcp Ti2Fe after annealing at 900 °C for 2 h, followed by water quenching. After a second heat treatment performed at 900 °C for 15 h in an argon atmosphere followed by argon flow quenching, the homogeneity of the alloy was improved, and a new compound like Fe3.2Mo2.1, Mo0.93Zr0.07, and Zr(MoO4)2 appeared. The microhardness increased over 6% after this heat treatment, from 694 to 800 HV0.5, but after the second annealing and quenching, the hardness decreased to 730 HV0.5. Additionally, a Lactate Dehydrogenase (LDH) cytotoxicity assay was performed. Mesenchymal stem cells proliferated on the new FeMoTaTiZr alloy to a confluence of 80–90% within 10 days of analysis in wells where the cells were cultured on and in the presence of the alloy. When using normal human fibroblasts (NHF), both in wells with cells cultured on metal alloys and in those without alloys, an increase in LDH activity was observed. Therefore, it can be considered that certain cytolysis phenomena (cytotoxicity) occurred because of the more intense proliferation of this cell line due to the overcrowding of the culture surface with cells. Full article
Show Figures

Figure 1

21 pages, 12351 KB  
Article
Design and Optimization of a Bennett–Spherical Scissor Mechanism Suitable for Driving Aerial–Aquatic Rotor Deformation
by Chengrong Du and Dongbiao Zhao
Actuators 2024, 13(8), 318; https://doi.org/10.3390/act13080318 - 21 Aug 2024
Viewed by 1448
Abstract
This paper aims to design a deformable mechanism to drive amphibious rotor blade deform from an aerial shape to an aquatic one. The Bennett four-bar and spherical four-bar mechanisms are used as the basic units (B unit and S unit) to form the [...] Read more.
This paper aims to design a deformable mechanism to drive amphibious rotor blade deform from an aerial shape to an aquatic one. The Bennett four-bar and spherical four-bar mechanisms are used as the basic units (B unit and S unit) to form the Bennett–spherical spatial scissor unit (BS unit). By analyzing the kinematic characteristics of the BS unit, it is found that the BS unit can achieve the spatial deformation of expansion and torsion, effectively improving the rotor’s performance in water and air media. The wing rib support structure, which is fixed to the BS unit linkage, is designed. The coordinate transformation method describes the blade shape in aerial and aquatic modes using BS unit and rib parameters. To improve the rotor blade performance in air and water, the rotor blade design is carried out under the NSGA-II framework with BS parameters as the design variables. The Gaussian regression and CFD methods are applied to build a surrogate model to reduce the computational cost. The results show that the expansion–torsional deformation of the BS unit can effectively increase the air and water compatibility of the rotor blades. When the rotor is an aerial shape, the BS mechanism extends and decreases the torsion to increase the lift and efficiency. When it is deformed to an aquatic shape, the BS mechanism reduces its length and increases the torsion to reduce the torque effectively. The BS scissor unit and the design method can be effectively applied in the design of deformable rotor blades. Full article
Show Figures

Figure 1

16 pages, 15347 KB  
Article
HoberUI: An Exploration of Kinematic Structures as Interactive Input Devices
by Gvidas Razevicius, Anne Roudaut and Abhijit Karnik
Multimodal Technol. Interact. 2024, 8(2), 13; https://doi.org/10.3390/mti8020013 - 13 Feb 2024
Cited by 1 | Viewed by 2606
Abstract
Deployable kinematic structures can transform themselves from a small closed configuration to a large deployed one. These structures are widely used in many engineering fields including aerospace, architecture, robotics and to some extent within HCI. In this paper, we investigate the use of [...] Read more.
Deployable kinematic structures can transform themselves from a small closed configuration to a large deployed one. These structures are widely used in many engineering fields including aerospace, architecture, robotics and to some extent within HCI. In this paper, we investigate the use of a symmetric spherical deployable structure and its application to interface control. We present HoberUI, a bimanual symmetric tangible interface with 7 degrees of freedom and explore its use for manipulating 3D environments. We base this on the toy version of the deployable structure called the Hoberman sphere, which consists of pantographic scissor mechanisms and is capable of homogeneous shrinkage and expansion. We first explore the space for designing and implementing interactions through such kinematic structures and apply this to 3D object manipulation. We then explore HoberUI’s usability through a user evaluation that shows the intuitiveness and potential of using instrumented kinematic structures as input devices for bespoke applications. Full article
Show Figures

Figure 1

11 pages, 2713 KB  
Article
Effects of Overload on Thermal Decomposition Kinetics of Cross-Linked Polyethylene Copper Wires
by Yizhuo Jia, Pengrui Man, Xinyao Guo, Liang Deng and Yang Li
Polymers 2023, 15(19), 3954; https://doi.org/10.3390/polym15193954 - 30 Sep 2023
Cited by 2 | Viewed by 1991
Abstract
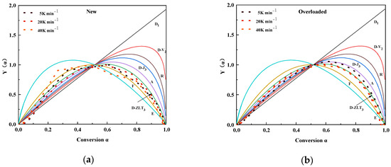
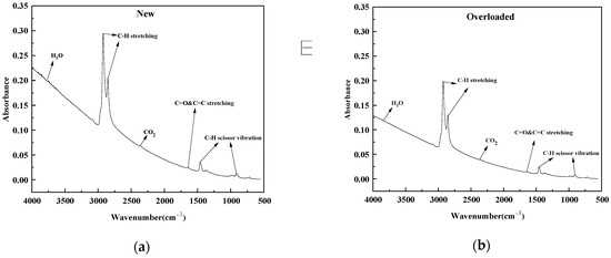
During an overload fault in an energized wire, the hot metal core modifies the structure of the insulation material. Therefore, understanding the thermal decomposition kinetics of the insulation materials of the overloaded wire is essential for fire prevention and control. This study investigates [...] Read more.
During an overload fault in an energized wire, the hot metal core modifies the structure of the insulation material. Therefore, understanding the thermal decomposition kinetics of the insulation materials of the overloaded wire is essential for fire prevention and control. This study investigates the thermal decomposition process of new and overloaded cross-linked polyethylene (XLPE) copper wires using thermogravimetry–Fourier-transform infrared spectroscopy and cone calorimetry. The thermal decomposition onset temperature and activation energy of the overloaded XLPE insulation materials were reduced by approximately 15 K and 20 kJ mol−1, respectively, and its reaction mechanism function changed from D-ZLT3 to A2 (0 < α < 0.5). The FTIR shows that the major spectral components produced during the pyrolysis of the XLPE insulation material are C-H stretching, H2O, CO2, C-H scissor vibrations, and C=O and C=C stretching. Additionally, the four functional groups in the PE chains produced the spectral components in the following decreasing order of wavenumber: C–H stretching > CO2 > C–H scissor vibration > C=O and C=C stretching. Full article
Show Figures

Graphical abstract

11 pages, 2775 KB  
Article
Scissor-like Au4Cu2 Cluster with Phosphorescent Mechanochromism and Thermochromism
by Xue-Meng Wu, Jin-Yun Wang, Ya-Zi Huang and Zhong-Ning Chen
Molecules 2023, 28(7), 3247; https://doi.org/10.3390/molecules28073247 - 5 Apr 2023
Cited by 4 | Viewed by 2464
Abstract
Reaction of [Au(tht)2](ClO4) (tht = tetrahydrothiophene), [Cu(CH3CN)4](ClO4), 3,6-di-tert-butyl-1,8-diethynyl-9H-carbazole (H3decz), and bis(2-diphenylphosphinophenyl)ether (POP) in the presence of triethylamine (NEt3) gave the cluster complex Au4Cu [...] Read more.
Reaction of [Au(tht)2](ClO4) (tht = tetrahydrothiophene), [Cu(CH3CN)4](ClO4), 3,6-di-tert-butyl-1,8-diethynyl-9H-carbazole (H3decz), and bis(2-diphenylphosphinophenyl)ether (POP) in the presence of triethylamine (NEt3) gave the cluster complex Au4Cu2(decz)2(POP)2 as yellow crystals. As revealed by X-ray crystallography, the Au4Cu2 cluster exhibits scissor-like structure sustained by two decz and two POP ligands and stabilized by Au-Cu and Au-Au interactions. The Au4Cu2 cluster shows bright yellow to orange photoluminescence upon irradiation at >300 nm, arising from 3[π (decz)→5d (Au)] 3LMCT (ligand-to-metal charge transfer) and 3[π→π* (decz)] 3IL (intraligand) triplet states as revealed by theoretical and computational studies. When it is mechanically ground, reversible phosphorescence conversion from yellow to red is observed owing to more compact molecular packing and thus stronger intermetallic interaction. Variable-temperature luminescence studies reveal that it displays distinct red-shifts of the emission whether the temperature is elevated or lowered from ambient temperature, suggestive of exceptional thermochromic phosphorescence characteristics. Full article
(This article belongs to the Section Inorganic Chemistry)
Show Figures

Graphical abstract

21 pages, 2795 KB  
Article
Numerical Analysis of Reinforcing Effect for Scissors-Type Bridge with Strut Members
by Yuki Chikahiro and Ichiro Ario
Appl. Sci. 2022, 12(24), 12906; https://doi.org/10.3390/app122412906 - 15 Dec 2022
Cited by 3 | Viewed by 2913
Abstract
Recently, a scissor mechanism was efficiently applied in the safety engineering field as an emergency structure owing to the advantages of mobility, transformability, and re-usability. This paper focuses on the advantages of this mechanism and puts forward a deployable emergency bridge called Mobile [...] Read more.
Recently, a scissor mechanism was efficiently applied in the safety engineering field as an emergency structure owing to the advantages of mobility, transformability, and re-usability. This paper focuses on the advantages of this mechanism and puts forward a deployable emergency bridge called Mobile Bridge as a smart bridge. To deploy this bridge in an emergency situation, the structural safety, such as strength and stiffness, must be ensured through proper reinforcing methods. Several research studies concerning the reinforcing effect to scissors structures have been conducted using a cable and/or strut. However, the reinforcing situation was limited, and it is not clear where and how much reinforcement should be introduced. In this paper, we discuss the reinforcing effect of simple struts through a theoretical and numerical approach. Then, we evaluate their applicability to the Mobile Bridge based on numerical simulation. The advantage of the proposed reinforcing method is evaluated, focusing on the reduction of the bending moment which is the dominant sectional force in the scissor structure. We found the reinforcing effect has a nonlinear relationship between the stress and ratio of extension rigidity. The most effective reinforcing configuration was a double warren truss with the vertical element in a two-unit scissors-type bridge and a double warren truss without the vertical element in a three-unit scissors-type bridge. The necessary sectional area of the strut elements was more than 0.2 times that of the scissors member. These results imply that the smart bridge can enhance its performance by using proper reinforcement of the struts. Full article
(This article belongs to the Special Issue Advanced Technologies for Bridge Design and Construction)
Show Figures

Figure 1

25 pages, 21742 KB  
Article
Design of a Robust Tool for Deploying Large-Area Stretchable Sensor Networks from Microscale to Macroscale
by Elliot Ransom, Xiyuan Chen and Fu-Kuo Chang
Sensors 2022, 22(13), 4856; https://doi.org/10.3390/s22134856 - 27 Jun 2022
Cited by 3 | Viewed by 2338
Abstract
An investigation was conducted to develop an effective automated tool to deploy micro-fabricated stretchable networks of distributed sensors onto the surface of large structures at macroscale to create “smart” structures with embedded distributed sensor networks. Integrating a large network of distributed sensors with [...] Read more.
An investigation was conducted to develop an effective automated tool to deploy micro-fabricated stretchable networks of distributed sensors onto the surface of large structures at macroscale to create “smart” structures with embedded distributed sensor networks. Integrating a large network of distributed sensors with structures has been a major challenge in the design of so-called smart structures or devices for cyber-physical applications where a large amount of usage data from structures or devices can be generated for artificial intelligence applications. Indeed, many “island-and-serpentine”-type distributed sensor networks, while promising, remain difficult to deploy. This study aims to enable such networks to be deployed in a safe, automated, and efficient way. To this end, a scissor-hinge controlled system was proposed as the basis for a deployment mechanism for such stretchable sensor networks (SSNs). A model based on a kinematic scissor-hinge mechanism was developed to simulate and design the proposed system to automatically stretch a micro-scaled square network with uniformly distributed sensor nodes. A prototype of an automatic scissor-hinge stretchable tool was constructed during the study with an array of four scissor-hinge mechanisms, each belt-driven by a single stepper motor. Two micro-fabricated SSNs from a 100 mm wafer were fabricated at the Stanford Nanofabrication Facility for this deployment study. The networks were designed to be able to cover an area 100 times their manufacturing size (from a 100 mm diameter wafer to a 1 m2 active area) once stretched. It was demonstrated that the proposed deployment tool could place sensor nodes in prescribed locations efficiently within a drastically shorter time than in current labor-intensive manual deployment methods. Full article
(This article belongs to the Special Issue Architectures, Protocols and Algorithms of Sensor Networks)
Show Figures

Figure 1

17 pages, 2231 KB  
Article
Deployable Tubular Mechanisms Integrated with Magnetic Anchoring and Guidance System
by Wenchao Yue, Ruijie Tang, Joei Simin Wong and Hongliang Ren
Actuators 2022, 11(5), 124; https://doi.org/10.3390/act11050124 - 28 Apr 2022
Cited by 3 | Viewed by 3865
Abstract
Deployable mechanism has received more attention in the medical field due to its simple structure, dexterity, and flexibility. Meanwhile, the advantages of the Magnetic Anchoring and Guidance System (MAGS) are further highlighted by the fact that the operators can remotely control the corresponding [...] Read more.
Deployable mechanism has received more attention in the medical field due to its simple structure, dexterity, and flexibility. Meanwhile, the advantages of the Magnetic Anchoring and Guidance System (MAGS) are further highlighted by the fact that the operators can remotely control the corresponding active and passive magnetic parts in vivo. Additionally, MAGS allows the untethered manipulation of intracorporeal devices. However, the conventional instruments in MAGS are normally rigid, compact, and less flexible. Therefore, to solve this problem, four novel deployable tubular mechanisms, Design 1 (Omega-shape mechanism), Design 2 (Fulcrum-shape mechanism), Design 3 (Archway-shape mechanism), and Design 4 (Scissor-shape mechanism) in this paper, are proposed integrated with MAGS to realize the laser steering capability. Firstly, this paper introduces the motion mechanism of the four designs and analyzes the motion characterization of each structure through simulation studies. Further, the prototypes of four designs are fabricated using tubular structures with embedded magnets. The actuation success rate, the workspace characterization, the force generation and the load capability of four mechanisms are tested and analyzed based on experiments. Then, the demonstration of direct laser steering via macro setup shows that the four mechanisms can realize the laser steering capability within the error of 0.6 cm. Finally, the feasibility of indirect laser steering via a macro-mini setup is proven. Therefore, such exploration demonstrates that the application of the deployable tubular mechanisms integrated with MAGS towards in vivo treatment is promising. Full article
Show Figures

Figure 1

27 pages, 2080 KB  
Article
Access to Baccalaureate School in Switzerland: Regional Variance of Institutional Conditions and Its Consequences for Educational Inequalities
by Regula Julia Leemann, Andrea Pfeifer Brändli and Christian Imdorf
Educ. Sci. 2022, 12(3), 213; https://doi.org/10.3390/educsci12030213 - 16 Mar 2022
Cited by 12 | Viewed by 4824
Abstract
In Switzerland, baccalaureate school is still considered to be the royal road to a university education and the elite path for the social reproduction of the upper class. However, cantonal enrollment to baccalaureate school varies widely due to Swiss federalism. There is a [...] Read more.
In Switzerland, baccalaureate school is still considered to be the royal road to a university education and the elite path for the social reproduction of the upper class. However, cantonal enrollment to baccalaureate school varies widely due to Swiss federalism. There is a recurring debate on whether access to baccalaureate school is fair and equal among pupils who live in different cantons and who are of different social origin. This paper aims to analyze how the institutional conditions of cantons and municipalities impact a pupil’s probability of entering baccalaureate school and how the cantonal provisioning of places in baccalaureate school affects social inequality of access. For our theoretical foundation, we combine concepts of neo-institutionalism with mechanisms of social reproduction in education. Empirically, we analyze national longitudinal register data to model educational transitions from compulsory to baccalaureate school by using logistic regression models. Our results show that institutional structures at the cantonal and municipal levels influence the probability of transition beyond individual pupils’ characteristics. The degree of inequality varies between cantons, depending on the supply of baccalaureate school places. Inequality first increases with an increasing number of places (the scissors effect) and decreases only after the demand of more privileged families for places at baccalaureate school is saturated. Full article
Show Figures

Figure 1

14 pages, 32387 KB  
Article
Impact Resistance Analysis and Optimization of Variant Truss Beam Structure Based on Material Properties
by Xiaohao Li, Junqi Pan and Xingchen Zhou
Materials 2021, 14(19), 5847; https://doi.org/10.3390/ma14195847 - 6 Oct 2021
Cited by 6 | Viewed by 2112
Abstract
In order to meet the increasing application requirements with regards to structural impact resistance in industries such as mining, construction, aerospace engineering, and disaster relief and mitigation, this paper designs a variant truss beam structure with a large shrinkage ratio and high impact [...] Read more.
In order to meet the increasing application requirements with regards to structural impact resistance in industries such as mining, construction, aerospace engineering, and disaster relief and mitigation, this paper designs a variant truss beam structure with a large shrinkage ratio and high impact resistance. Based on the principle of the curved trajectory of scissor mechanisms, this paper conducts a finite element simulation analysis of the impact load on the truss beam structure, a theoretical analysis of the impact response and a relevant prototype bench-top experiment, completing a full study on the impact resistance mechanism of the designed variant truss beam structure under the impact load. In the paper, the buffer effect of the external load impact on the variant truss beam structure is analyzed from the perspective of the energy change of elastic–plastic deformation. This paper proposes an optimization strategy for the variant truss beam structure with the energy absorption rate as the optimization index through extensive analysis of the parameter response surfaces. The strategy integrates analyses on the response characteristic analysis of various configuration materials to obtain an optimal combination of component parameters that ensures that the strength of the truss beam structure meets set requirements. The strategy provides a feasible method with which to verify the effectiveness and impact resistance of a variant truss structure design. Full article
Show Figures

Figure 1

18 pages, 4336 KB  
Article
Sensor Histidine Kinase NarQ Activates via Helical Rotation, Diagonal Scissoring, and Eventually Piston-Like Shifts
by Ivan Gushchin, Philipp Orekhov, Igor Melnikov, Vitaly Polovinkin, Anastasia Yuzhakova and Valentin Gordeliy
Int. J. Mol. Sci. 2020, 21(9), 3110; https://doi.org/10.3390/ijms21093110 - 28 Apr 2020
Cited by 13 | Viewed by 4854
Abstract
Membrane-embedded sensor histidine kinases (HKs) and chemoreceptors are used ubiquitously by bacteria and archaea to percept the environment, and are often crucial for their survival and pathogenicity. The proteins can transmit the signal from the sensor domain to the catalytic kinase domain reliably [...] Read more.
Membrane-embedded sensor histidine kinases (HKs) and chemoreceptors are used ubiquitously by bacteria and archaea to percept the environment, and are often crucial for their survival and pathogenicity. The proteins can transmit the signal from the sensor domain to the catalytic kinase domain reliably over the span of several hundreds of angstroms, and regulate the activity of the cognate response regulator proteins, with which they form two-component signaling systems (TCSs). Several mechanisms of transmembrane signal transduction in TCS receptors have been proposed, dubbed (swinging) piston, helical rotation, and diagonal scissoring. Yet, despite decades of studies, there is no consensus on whether these mechanisms are common for all TCS receptors. Here, we extend our previous work on Escherichia coli nitrate/nitrite sensor kinase NarQ. We determined a crystallographic structure of the sensor-TM-HAMP fragment of the R50S mutant, which, unexpectedly, was found in a ligand-bound-like conformation, despite an inability to bind nitrate. Subsequently, we reanalyzed the structures of the ligand-free and ligand-bound NarQ and NarX sensor domains, and conducted extensive molecular dynamics simulations of ligand-free and ligand-bound wild type and mutated NarQ. Based on the data, we show that binding of nitrate to NarQ causes, first and foremost, helical rotation and diagonal scissoring of the α-helices at the core of the sensor domain. These conformational changes are accompanied by a subtle piston-like motion, which is amplified by a switch in the secondary structure of the linker between the sensor and TM domains. We conclude that helical rotation, diagonal scissoring, and piston are simply different degrees of freedom in coiled-coil proteins and are not mutually exclusive in NarQ, and likely in other nitrate sensors and TCS proteins as well. Full article
(This article belongs to the Special Issue Bacterial Chemoreceptors)
Show Figures

Figure 1

20 pages, 2730 KB  
Article
Synthesis, Analysis, and Design of a Novel Mechanism for the Trailing Edge of a Morphing Wing
by Harun Levent Şahin and Yavuz Yaman
Aerospace 2018, 5(4), 127; https://doi.org/10.3390/aerospace5040127 - 11 Dec 2018
Cited by 7 | Viewed by 10059
Abstract
In the design and analysis of morphing wings, several sciences need to be integrated. This article tries to answer the question, “What is the most appropriate actuation mechanism to morph the wing profile?” by introducing the synthesis, analysis, and design of a novel [...] Read more.
In the design and analysis of morphing wings, several sciences need to be integrated. This article tries to answer the question, “What is the most appropriate actuation mechanism to morph the wing profile?” by introducing the synthesis, analysis, and design of a novel scissor-structural mechanism (SSM) for the trailing edge of a morphing wing. The SSM, which is deployable, is created via a combination of various scissor-like elements (SLEs). In order to provide mobility requirements, a four-bar linkage (FBL) is assembled with the proposed SSM. The SSM is designed with a novel kinematic synthesis concept, so it follows the airfoil camber with minimum design error. In this concept, assuming a fully-compliant wing skin, various types of SLEs are assembled together, and emergent SSM provide the desired airfoil geometries. In order to provide the required aerodynamic efficiency of newly-created airfoil geometries and obtain pressure distribution over the airfoil, two-dimensional (2D) aerodynamic analyses have been conducted. The analyses show similar aerodynamic behavior with the desired NACA airfoils. By assigning the approximate link masses and mass centers, the dynamic force analysis of the mechanism has also been performed, and the required torque to drive the newly-developed SSM is estimated as feasible. Full article
(This article belongs to the Special Issue 8th EASN-CEAS Workshop on Manufacturing for Growth and Innovation)
Show Figures

Figure 1

Back to TopTop