Effects of Overload on Thermal Decomposition Kinetics of Cross-Linked Polyethylene Copper Wires
Abstract
:1. Introduction
2. Materials and Methods
2.1. Materials
2.2. Experimental Method
2.2.1. Preparation of Overloaded XLPE Copper Wires
2.2.2. TG–FTIR Apparatus
3. Results and Discussion
3.1. Thermogravimetric Loss
3.2. Activation Energy
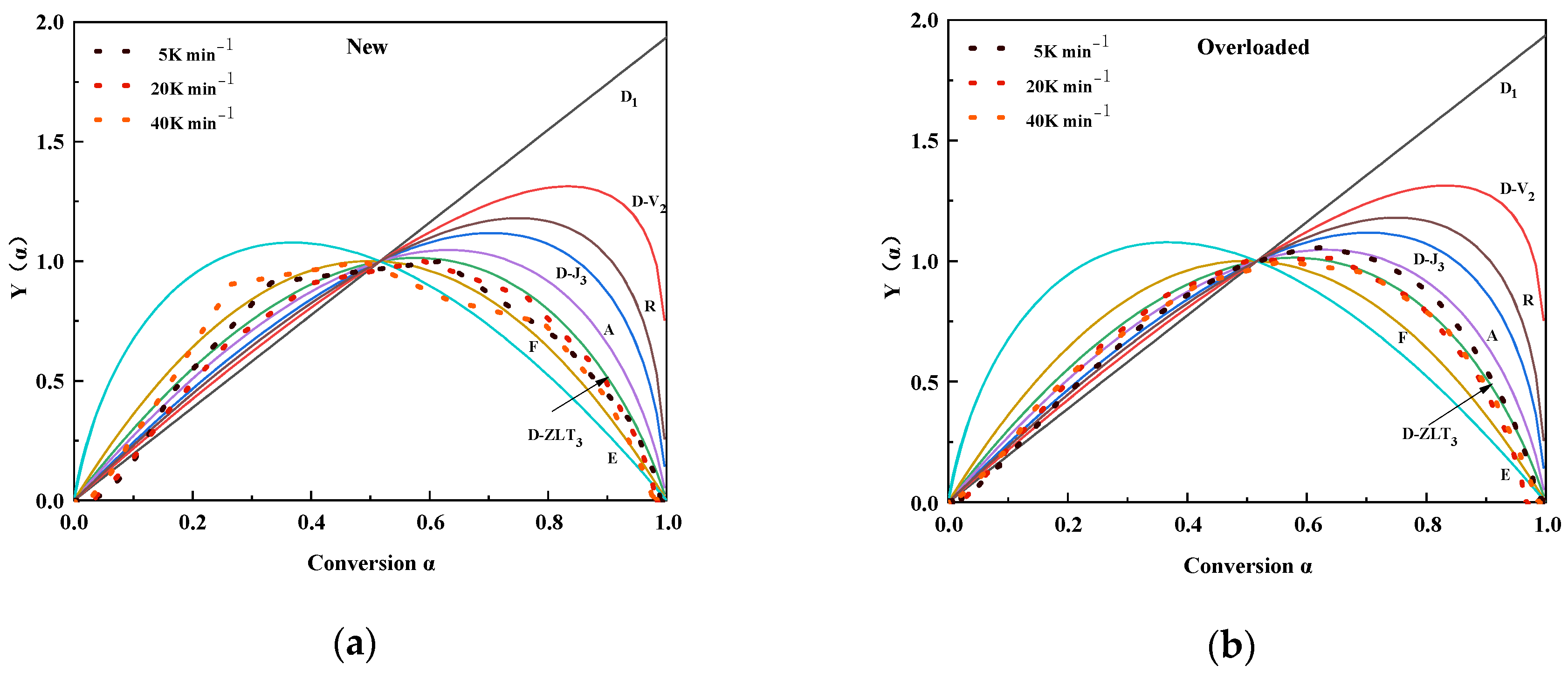
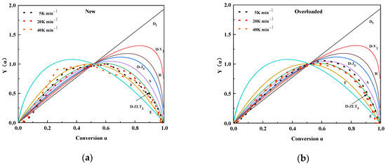
3.3. Reaction Mechanism Function
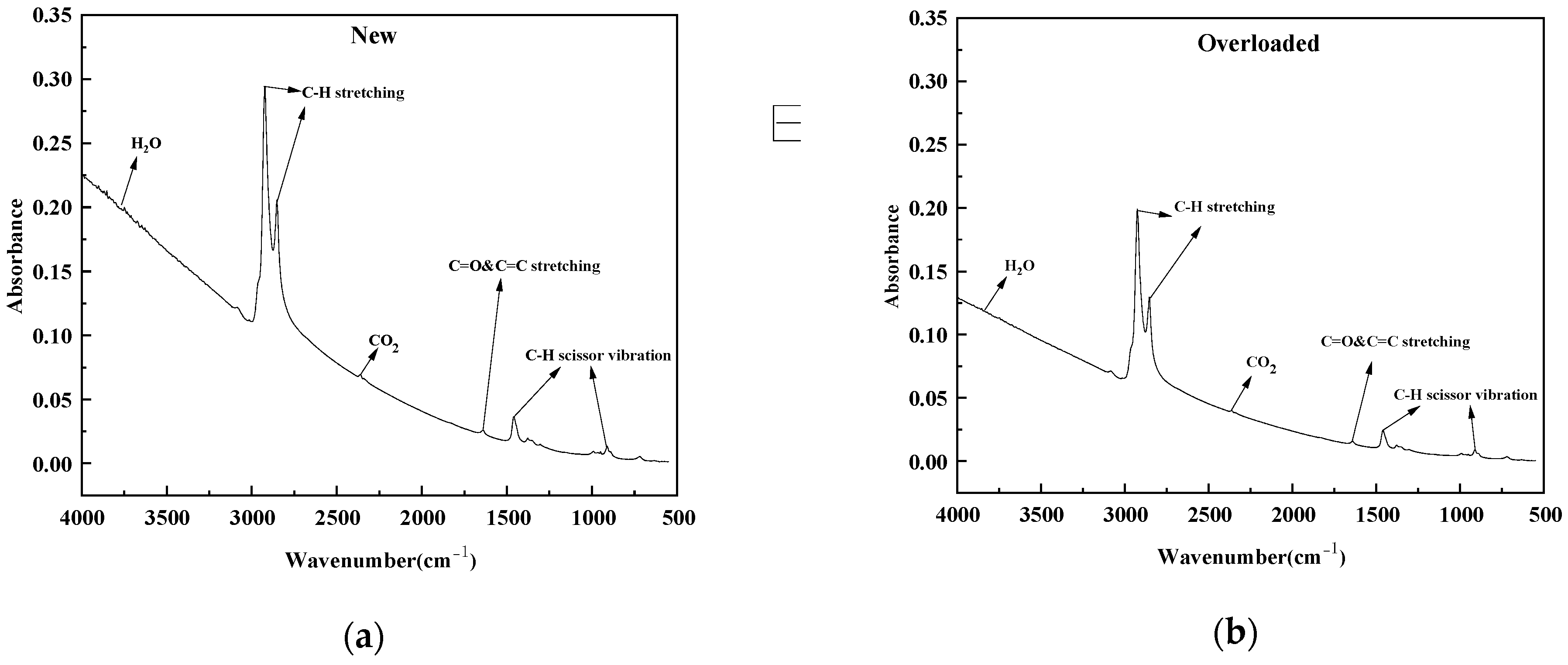
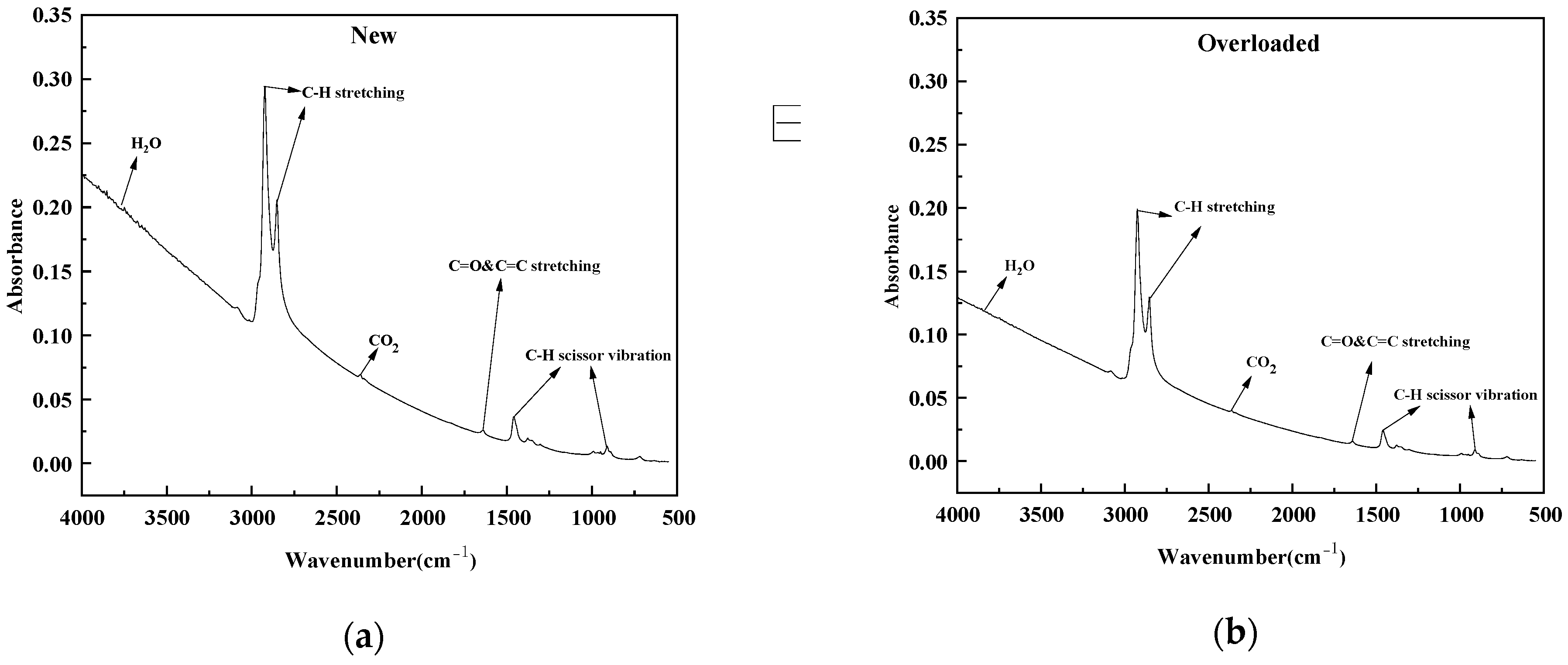
3.4. FTIR Analysis
4. Conclusions
- Both the new and overloaded XLPE insulation materials underwent thermal decomposition in one step, but exhibited different thermal decomposition behaviors. The Tonset, DTGpeak, Tpeak, and residual mass of the overloaded XLPE insulation materials were lower than those of the new XLPE insulation materials, regardless of their heating rates.
- The activation energies of the overloaded XLPE insulation materials, calculated using the KAS and FWO model-free methods, were lower than those of the new XLPE materials. For the new XLPE insulation materials, the overall reaction mechanism was more consistent with that of the D-ZLT3 model. However, for the overloaded XLPE insulation materials, the reaction mechanism corresponds to A2 (0 < α < 0.5) and D-ZLT3 (0.5 < α < 1).
- The results of FTIR analysis showed that the main spectral components of the pyrolysis gases of the new and overloaded XLPE insulation materials were C–H stretching, H2O, CO2, C–H scissor vibrations, and C=O and C=C stretching. The concentrations of gases released from the overloaded XLPE insulation materials were lower than those released from the new XLPE insulation materials. The amount of the four spectral components produced during thermal decomposition was in the following order: C–H stretching > CO2 > C-H scissor vibration > C=O and C=C stretching.
Author Contributions
Funding
Institutional Review Board Statement
Data Availability Statement
Conflicts of Interest
References
- Luo, Y.-X.; Li, Q.; Jiang, L.-R.; Zhou, Y.-H. Analysis of Chinese fire statistics during the period 1997–2017. Fire Saf. J. 2021, 125, 103400. [Google Scholar] [CrossRef]
- National Fire Protection Association. NFPA 921: Guide for Fire and Explosion Investigations; National Fire Protection Association: Quincy, MA, USA, 2020. [Google Scholar]
- Li, Z.; Lin, Q.; Li, Y.; Lyu, H.; Wang, H.; Sun, J. Effect of the Current on the Fire Characteristics of Overloaded Polyvinyl Chloride Copper Wires. Polymers 2022, 14, 4766. [Google Scholar] [CrossRef] [PubMed]
- Li, Y.; Sun, Y.; Gao, Y.; Sun, J.; Lyu, H.-F.; Yu, T.; Yang, S.; Wang, Y. Analysis of overload induced arc formation and beads characteristics in a residential electrical cable. Fire Saf. J. 2022, 131, 103626. [Google Scholar] [CrossRef]
- Deng, J.; Liu, T.-S.; Yao, M.; Yi, X.; Bai, G.-X.; Huang, Q.-R.; Li, Z. Comparative study of the combustion and kinetic characteristics of fresh and naturally aged pine wood. Fuel 2023, 343, 127962. [Google Scholar] [CrossRef]
- Salasinska, K.; Mizera, K.; Celiński, M.; Kozikowski, P.; Mirowski, J.; Gajek, A. Thermal properties and fire behavior of polyethylene with a mixture of copper phosphate and melamine phosphate as a novel flame retardant. Fire Saf. J. 2020, 115, 103137. [Google Scholar] [CrossRef]
- Xuan, W.; Wang, H.; Yan, S.; Xia, D. Exploration on the steam gasification mechanism of waste PE plastics based on ReaxFF-MD and DFT methods. Fuel 2022, 315, 123121. [Google Scholar] [CrossRef]
- Salasinska, K.; Mizera, K.; Celiński, M.; Kozikowski, P.; Borucka, M.; Gajek, A. Thermal properties and fire behavior of a flexible poly(vinyl chloride) modified with complex of 3-aminotriazole with zinc phosphate. Fire Saf. J. 2021, 112, 103326. [Google Scholar] [CrossRef]
- Honus, S.; Kumagai, S.; Fedorko, G.; Molnár, V.; Yoshioka, T. Pyrolysis gases produced from individual and mixed PE, PP, PS, PVC, and PET—Part I: Production and physical properties. Fuel 2018, 221, 346–360. [Google Scholar] [CrossRef]
- Encinar, J.; González, J. Pyrolysis of synthetic polymers and plastic wastes. Kinetic study. Fuel Process. Technol. 2007, 89, 678–686. [Google Scholar] [CrossRef]
- Cho, Y.-S.; Shim, M.-J.; Kim, S.-W. Thermal degradation kinetics of PE by the Kissinger equation. Mater. Chem. Phys. 1998, 52, 94–97. [Google Scholar] [CrossRef]
- Park, J.W.; Oh, S.C.; Lee, H.P.; Kim, H.T.; Yoo, K.O. A kinetic analysis of thermal degradation of polymers using a dynamic method. Polym. Degrad. Stab. 2000, 67, 535–540. [Google Scholar] [CrossRef]
- Aboulkas, A.; El Harfi, K.; El Bouadili, A. Thermal degradation behaviors of polyethylene and polypropylene. Part I: Pyrolysis kinetics and mechanisms. Energy Convers. Manag. 2009, 51, 1363–1369. [Google Scholar] [CrossRef]
- Mo, S.-J.; Zhang, J.; Liang, D.; Chen, H.-Y. Study on Pyrolysis Characteristics of Cross-linked Polyethylene Material Cable. Procedia Eng. 2013, 52, 588–592. [Google Scholar] [CrossRef]
- Wang, C.; Liu, H.; Zhang, J.; Yang, S.; Zhang, Z.; Zhao, W. Thermal degradation of flame-retarded high-voltage cable sheath and insulation via TG-FTIR. J. Anal. Appl. Pyrolysis 2018, 134, 167–175. [Google Scholar] [CrossRef]
- Sugimoto, M.; Shimada, A.; Kudoh, H.; Tamura, K.; Seguchi, T. Product analysis for polyethylene degradation by radiation and thermal ageing. Radiat. Phys. Chem. 2013, 82, 69–73. [Google Scholar] [CrossRef]
- Wang, Z.; Wei, R.; Ning, X.; Xie, T.; Wang, J. Thermal degradation properties of LDPE insulation for new and aged fine wires. J. Therm. Anal. Calorim. 2019, 137, 461–471. [Google Scholar] [CrossRef]
- GB/T 19666-2019; General Rules for Flame Retardant and Fire Resistant Wire and Cable or Optical Fiber Cable. National Standard of The People’s Republic of China: Beijing, China, 2019.
- IX-IEC, IEC 60331-2; Tests for Electric Cables under Fire Conditions—Circuit Integrity—Part 2. National Standard of The People’s Republic of China: Beijing, China, 2019. Available online: https://www.cssn.net.cn/cssn/productDetail/10084e6b261824b27e5650d5429eb8d7 (accessed on 19 April 2009).
- Hurley, M.J.; Gottuk, D.; Hall, J.R.; Harada, K.; Kuligowski, E.; Puchovsky, M.; Torero, J.; Watts, J.M.; Wieczorek, C. SFPE Handbook of Fire Protection Engineering, 5th ed.; Springer: New York, NY, USA, 2016. [Google Scholar]
- ISO I. 5660-1: 2015; Reaction-to-Fire Tests–Heat Release, Smoke Production and Mass Loss Rate-Part 1: Heat Release Rate (Cone Calorimeter Method) and Smoke Production Rate (Dynamic Measurement). International Organization for Standardization: Geneva, Switzerland, 2015.
- Ballice, L.; Yüksel, M.; Saǧlam, M.; Reimert, R.; Schulz, H. Classification of Volatile Products from the Temperature-Programmed Pyrolysis of Low- and High-Density Polyethylene. Energy Fuels 1998, 12, 925–928. [Google Scholar] [CrossRef]
- Conesa, J.A.; Marcilla, A.; Font, R.; Caballero, J. Thermogravimetric studies on the thermal decomposition of polyethylene. J. Anal. Appl. Pyrolysis 1996, 36, 1–15. [Google Scholar] [CrossRef]
- Kissinger, H.E. Reaction Kinetics in Differential Thermal Analysis. Anal. Chem. 2002, 29, 1702–1706. [Google Scholar] [CrossRef]
- Yang, J.; Miranda, R.; Roy, C. Using the DTG curve fitting method to determine the apparent kinetic parameters of thermal decomposition of polymers. Polym. Degrad. Stab. 2001, 73, 455–461. [Google Scholar] [CrossRef]
- Málek, J. The kinetic analysis of non-isothermal data. Thermochim. Acta 1992, 200, 257–269. [Google Scholar] [CrossRef]
- Gotor, F.J.; Criado, J.M.; Malek, J.; Koga, N. Kinetic Analysis of Solid-State Reactions: The Universality of Master Plots for Analyzing Isothermal and Nonisothermal Experiments. J. Phys. Chem. A 2000, 104, 10777–10782. [Google Scholar] [CrossRef]
- Bai, F.; Guo, W.; Lü, X.; Liu, Y.; Guo, M.; Li, Q.; Sun, Y. Kinetic study on the pyrolysis behavior of Huadian oil shale via non-isothermal thermogravimetric data. Fuel 2015, 146, 111–118. [Google Scholar] [CrossRef]
- Sánchez-Jiménez, P.E.; Perejón, A.; Criado, J.M.; Diánez, M.J.; Pérez-Maqueda, L.A. Kinetic model for thermal dehydrochlorination of poly(vinyl chloride). Polymer 2010, 51, 3998–4007. [Google Scholar] [CrossRef]
- Yang, J.-C.E.; Lan, H.; Lin, X.-Q.; Yuan, B.; Fu, M.-L. Synthetic conditions-regulated catalytic Oxone efficacy of MnO x/SBA-15 towards butyl paraben (BPB) removal under heterogeneous conditions. Chem. Eng. J. 2016, 289, 296–305. [Google Scholar] [CrossRef]
- Rajendran, S.; Uma, T. Conductivity studies on PVC/PMMA polymer blend electrolyte. Mater. Lett. 2000, 44, 242–247. [Google Scholar] [CrossRef]
- Gao, N.; Li, A.; Quan, C.; Du, L.; Duan, Y. TG–FTIR and Py–GC/MS analysis on pyrolysis and combustion of pine sawdust. J. Anal. Appl. Pyrolysis 2013, 100, 26–32. [Google Scholar] [CrossRef]
- Formela, K.; Wołosiak, M.; Klein, M.; Wang, S. Characterization of volatile compounds, structural, thermal and physico-mechanical properties of cross-linked polyethylene foams degraded thermo-mechanically at variable times. Polym. Degrad. Stab. 2016, 134, 383–393. [Google Scholar] [CrossRef]
- Gulmine, J.; Akcelrud, L. FTIR characterization of aged XLPE. Polym. Test. 2006, 25, 932–942. [Google Scholar] [CrossRef]
- Gulmine, J.; Janissek, P.; Heise, H.; Akcelrud, L. Polyethylene characterization by FTIR. Polym. Test. 2002, 21, 557–563. [Google Scholar] [CrossRef]
- Thornton, W.M. XV. The relation of oxygen to the heat of combustion of organic compounds. Philos. Mag. J. Sci. 1917, 33, 196–203. [Google Scholar] [CrossRef]
- Deng, J.; Lin, Q.-W.; Li, Y.; Wang, H.-B.; Wang, C.-P.; Zhao, Y.-H.; Lyu, H.-F.; Shu, C.-M. Ignition and Flame Spreading Features of Excessively Overloaded Polyvinyl Chloride Copper Wires. Fire Technol. 2023, 1–19. [Google Scholar] [CrossRef]
- Deng, J.; Lin, Q.; Li, Y.; Wang, C.; Wang, H.; Man, P. Effect of overload current values on the fire characteristics of polyethylene (PE) copper wires. J. Therm. Anal. Calorim. 2023, 1–11. [Google Scholar] [CrossRef]







| Characteristic | Cu (99.99%) | Insulation (XLPE) |
|---|---|---|
| Diameter (mm) | 0.16 ± 0.01 | 0.8 ± 0.02 |
| Density (g cm−3) | 8.9 ± 0.01 | 0.93 ± 0.01 |
| Heat conductivity (W m−1 K−1) | 400 ± 5.00 | 0.42 ± 0.02 |
| Resistivity (Ω m) | 1.75 × 10−8 | / |
| Specific heat (J g−1 K−1) | 0.39 ± 0.01 | 1.9 ± 0.01 |
| Melting point (K) | 1357.77 ± 20.0 | 383–393 |
| Sample | Heating Rate/min−1 | Tonset/K | DTGpeak/(% min−1) | Tpeak/K |
|---|---|---|---|---|
| New | 5 | 739.9 | 23.0 | 745.1 |
| 10 | 749.6 | 41.2 | 761.7 | |
| 20 | 754.8 | 74.9 | 770.7 | |
| 30 | 771.5 | 119.8 | 776.3 | |
| 40 | 776.9 | 165.0 | 780.7 | |
| Overloaded | 5 | 723.1 | 17.0 | 741.9 |
| 10 | 735.1 | 33.7 | 754.3 | |
| 20 | 744.8 | 61.1 | 761.6 | |
| 30 | 748.4 | 89.9 | 771.4 | |
| 40 | 755.8 | 124.9 | 775.8 |
| XLPE Insulation Materials | Conversion Rate | (kJ mol−1) | R2 |
|---|---|---|---|
| New | 0.1 | 299.4 | 0.86 |
| 0.2 | 309.7 | 0.95 | |
| 0.3 | 302.7 | 0.98 | |
| 0.4 | 303.3 | 0.98 | |
| 0.5 | 298.1 | 0.99 | |
| 0.6 | 290.1 | 0.99 | |
| 0.7 | 283.9 | 0.99 | |
| 0.8 | 281.9 | 0.99 | |
| 0.9 | 268.1 | 0.99 | |
| Overloaded | 0.1 | 262.2 | 0.98 |
| 0.2 | 280.2 | 0.98 | |
| 0.3 | 274.1 | 0.98 | |
| 0.4 | 277.1 | 0.99 | |
| 0.5 | 277.0 | 0.99 | |
| 0.6 | 277.1 | 0.99 | |
| 0.7 | 271.8 | 0.98 | |
| 0.8 | 267.2 | 0.98 | |
| 0.9 | 263.3 | 0.99 |
| XLPE Insulation Materials | Conversion Rate | (kJ mol−1) | R2 |
|---|---|---|---|
| New | 0.1 | 296.4 | 0.87 |
| 0.2 | 306.4 | 0.95 | |
| 0.3 | 299.8 | 0.98 | |
| 0.4 | 300.3 | 0.98 | |
| 0.5 | 295.4 | 0.99 | |
| 0.6 | 287.9 | 0.99 | |
| 0.7 | 282.0 | 0.99 | |
| 0.8 | 280.2 | 0.99 | |
| 0.9 | 267.0 | 0.99 | |
| Overloaded | 0.1 | 260.8 | 0.98 |
| 0.2 | 278.1 | 0.98 | |
| 0.3 | 272.4 | 0.98 | |
| 0.4 | 275.3 | 0.99 | |
| 0.5 | 275.3 | 0.99 | |
| 0.6 | 275.4 | 0.99 | |
| 0.7 | 270.4 | 0.98 | |
| 0.8 | 266.1 | 0.98 | |
| 0.9 | 262.5 | 0.99 |
| Number | Model | ||
|---|---|---|---|
| Diffusion Model | |||
| 1 | 1D diffusion D1 | ||
| 2 | 2D diffusion-Valensi D-V2 | ||
| 3 | 3D diffusion-Jander D-J3 | ||
| 4 | 3D Zhuravlev-Leskin-Tempelman D-ZLT3 | ||
| Sigmoidal rate equations | |||
| 5 | Avarami–Erofeev A2 | ||
| 6 | Avarami–Erofeev A3 | ||
| 7 | Avarami–Erofeev A4 | ||
| Reaction order models | |||
| 8 | Second-order chemical reaction F2 | ||
| 9 | Third-order chemical reaction F3 | ||
| Exponent power models | |||
| 10 | First-order E1 | ||
| 11 | Second-order E2 | ||
| Geometrical contraction models | |||
| 12 | Contracting area R2 | ||
| 13 | 3D contracting volume R3 | ||
Disclaimer/Publisher’s Note: The statements, opinions and data contained in all publications are solely those of the individual author(s) and contributor(s) and not of MDPI and/or the editor(s). MDPI and/or the editor(s) disclaim responsibility for any injury to people or property resulting from any ideas, methods, instructions or products referred to in the content. |
© 2023 by the authors. Licensee MDPI, Basel, Switzerland. This article is an open access article distributed under the terms and conditions of the Creative Commons Attribution (CC BY) license (https://creativecommons.org/licenses/by/4.0/).
Share and Cite
Jia, Y.; Man, P.; Guo, X.; Deng, L.; Li, Y. Effects of Overload on Thermal Decomposition Kinetics of Cross-Linked Polyethylene Copper Wires. Polymers 2023, 15, 3954. https://doi.org/10.3390/polym15193954
Jia Y, Man P, Guo X, Deng L, Li Y. Effects of Overload on Thermal Decomposition Kinetics of Cross-Linked Polyethylene Copper Wires. Polymers. 2023; 15(19):3954. https://doi.org/10.3390/polym15193954
Chicago/Turabian StyleJia, Yizhuo, Pengrui Man, Xinyao Guo, Liang Deng, and Yang Li. 2023. "Effects of Overload on Thermal Decomposition Kinetics of Cross-Linked Polyethylene Copper Wires" Polymers 15, no. 19: 3954. https://doi.org/10.3390/polym15193954
APA StyleJia, Y., Man, P., Guo, X., Deng, L., & Li, Y. (2023). Effects of Overload on Thermal Decomposition Kinetics of Cross-Linked Polyethylene Copper Wires. Polymers, 15(19), 3954. https://doi.org/10.3390/polym15193954
