Sign in to use this feature.

Years

Between: -

Subjects

remove_circle_outline
remove_circle_outline
remove_circle_outline
remove_circle_outline
remove_circle_outline
remove_circle_outline
remove_circle_outline
remove_circle_outline
remove_circle_outline

Journals

remove_circle_outline
remove_circle_outline
remove_circle_outline
remove_circle_outline
remove_circle_outline
remove_circle_outline
remove_circle_outline
remove_circle_outline
remove_circle_outline
remove_circle_outline
remove_circle_outline

Article Types

Countries / Regions

remove_circle_outline
remove_circle_outline
remove_circle_outline
remove_circle_outline
remove_circle_outline
remove_circle_outline

Search Results (678)

Search Parameters:
Keywords = school grade level

Order results
Result details
Results per page
Select all
Export citation of selected articles as:
39 pages, 2140 KB  
Article
A Dual-Model Framework for Writing Assessment: A Cross-Sectional Interpretive Machine Learning Analysis of Linguistic Features
by Cheng Tang, George Engelhard, Yinying Liu and Jiawei Xiong
Data 2026, 11(1), 2; https://doi.org/10.3390/data11010002 - 21 Dec 2025
Viewed by 49
Abstract
Constructed-response items offer rich evidence of writing proficiency, but the linguistic signals they contain vary with grade level. This study presents a cross-sectional analysis of 5638 English Language Arts essays from Grades 6–12 to identify which linguistic features predict proficiency and to characterize [...] Read more.
Constructed-response items offer rich evidence of writing proficiency, but the linguistic signals they contain vary with grade level. This study presents a cross-sectional analysis of 5638 English Language Arts essays from Grades 6–12 to identify which linguistic features predict proficiency and to characterize how their importance shifts across grade levels. We extracted a suite of lexical, syntactic, and semantic-cohesion features, and evaluated their predictive power using an interpretive dual-model framework combining LASSO and XGBoost algorithms. Feature importance was assessed through LASSO coefficients, XGBoost Gain scores, and SHAP values, and interpreted by isolating both consensus and divergences of the three metrics. Results show moderate, generalizable predictive signals in Grades 6–8, but no generalizable predictive power was found in the Grades 9–12 cohort. Across the middle grades, three findings achieved strong consensus. Essay length, syntactic density, and global semantic organization served as strong predictors of writing proficiency. Lexical diversity emerged as a key divergent feature, it was a top predictor for XGBoost but ignored by LASSO, suggesting its contribution depends on interactions with other features. These findings inform actionable, grade-sensitive feedback, highlighting stable, diagnostic targets for middle school while cautioning that discourse-level features are necessary to model high-school writing. Full article
19 pages, 646 KB  
Article
Self-Regulation as a Mediator and Moderator Between School Stress and School Well-Being: A Multilevel Study
by Maja Gajda, Aleksandra Jasińska-Maciążek, Paweł Grygiel, Sylwia Opozda-Suder and Roman Dolata
Eur. J. Investig. Health Psychol. Educ. 2025, 15(12), 259; https://doi.org/10.3390/ejihpe15120259 - 17 Dec 2025
Viewed by 265
Abstract
This study examines the relationship between school stress and school well-being, focusing on the mediating and moderating role of self-regulation. This cross-sectional study uses hierarchical linear modeling to assess how two aspects of school stress—perceived school stress at the individual level (students’ subjective [...] Read more.
This study examines the relationship between school stress and school well-being, focusing on the mediating and moderating role of self-regulation. This cross-sectional study uses hierarchical linear modeling to assess how two aspects of school stress—perceived school stress at the individual level (students’ subjective appraisal of how stressful specific school demands are) and classroom stressor exposure at the group level (the aggregated frequency of stressful events occurring in each classroom)—are linked to student school well-being. The sample included 702 Polish primary school students (Grades 4, 6, and 8, approx. ages 10–15). Results indicate that while higher perceived school stress is associated with lower well-being, classroom-level stressor exposure also contributes to variations in student well-being. Self-regulation was positively associated with school well-being and partly accounted for the association between perceived stress and well-being. However, no significant moderating effect of self-regulation was found, suggesting that while self-regulation helps explain the link between stress and well-being, it does not necessarily attenuate the association between stress and well-being. These findings highlight the importance of both individual self-regulation skills and structural interventions aimed at reducing classroom stressors to promote student well-being. Full article
Show Figures

Figure 1

19 pages, 683 KB  
Article
‘We Just Do What the Teacher Says’—Students’ Perspectives on Participation in ‘Inclusive’ Physical Education Classes
by Bianca Sandbichler, Christoph Kreinbucher-Bekerle and Sebastian Ruin
Educ. Sci. 2025, 15(12), 1700; https://doi.org/10.3390/educsci15121700 - 16 Dec 2025
Viewed by 257
Abstract
To date, it remains unclear how students position themselves within the tension between participation, achievement, and body norms in physical education (PE), as well as what role participatory structures play in this process. This paper, therefore, investigates the intersection of these dimensions by [...] Read more.
To date, it remains unclear how students position themselves within the tension between participation, achievement, and body norms in physical education (PE), as well as what role participatory structures play in this process. This paper, therefore, investigates the intersection of these dimensions by examining students’ experiences of participation in PE settings characterized by a high degree of diversity. Theoretically, the study is grounded in concepts of participatory and diversity-sensitive didactics, which serve as analytical frameworks for examining school practices. Semi-structured qualitative interviews were conducted with secondary school students across different grade levels. The data were analyzed using structured qualitative content analysis, yielding five main categories: moments of participation, self-positioning, understanding of the body, understanding of performance, and performance requirements. These categories are illustrated and interrelated through three exemplary student portraits. The findings indicate that participation in PE is a dynamic and negotiated process, shaped by teachers’ orientations and students’ agency, social dynamics, and prevailing body and performance norms. While some students benefit from inclusive practices, others encounter structural and symbolic barriers. The study highlights the potential of participatory, diversity-sensitive, and sensitizing teaching to foster agency, challenge exclusionary norms, and enable meaningful engagement for all students. These insights contribute to current debates on diversity, inclusion, and democratic education in PE. Full article
Show Figures

Figure 1

14 pages, 619 KB  
Article
Exploring Agricultural Knowledge Among Secondary Students in Rural and Metropolitan Australian Schools: A Case Study
by Jaime K. Manning, Patricia Menchon, Eloise S. Fogarty and Amy Cosby
Educ. Sci. 2025, 15(12), 1698; https://doi.org/10.3390/educsci15121698 - 16 Dec 2025
Viewed by 208
Abstract
This article examines Australian high school students’ knowledge of food and fibre industries based on their exposure to agriculture. This research explores the agricultural knowledge of students from year 7 to 10 students (N = 2603) from 47 schools across Australia in 2021. [...] Read more.
This article examines Australian high school students’ knowledge of food and fibre industries based on their exposure to agriculture. This research explores the agricultural knowledge of students from year 7 to 10 students (N = 2603) from 47 schools across Australia in 2021. Through a survey, agricultural knowledge questions were classified into livestock (LK), crops (CK) and general knowledge (GK). Exposure to agricultural environments based on location and farming exposure were compared between the groups to assess their level of knowledge achieved. Agricultural knowledge levels in the CK and GK groups were comparable, with both significantly higher than LK. Exposure to agriculture impacted the level of knowledge achieved, increasing as students gained more exposure, particularly in livestock. The results highlight the importance of experiential learning to enhance student knowledge of agriculture. Future research should explore what the expected agricultural literacy is of Australian secondary students for each grade level, requiring benchmarks to be established. Full article
Show Figures

Figure 1

24 pages, 1981 KB  
Article
Determinants of Trust: Evidence from Elementary School Classrooms
by Roberto Araya and Pablo González-Vicente
J. Intell. 2025, 13(12), 165; https://doi.org/10.3390/jintelligence13120165 - 15 Dec 2025
Viewed by 203
Abstract
Emotional intelligence (EI), specifically the capacity to recognize and understand one’s own emotions and those of others, is pivotal for developing the interpersonal skills that foster effective collaboration. This is especially crucial for developing trust in others, which serves as the necessary foundation [...] Read more.
Emotional intelligence (EI), specifically the capacity to recognize and understand one’s own emotions and those of others, is pivotal for developing the interpersonal skills that foster effective collaboration. This is especially crucial for developing trust in others, which serves as the necessary foundation for functioning in our increasingly impersonal contemporary society. Although extensive research has been conducted on trust in adults, empirical evidence for children remains limited. Quantifying the extent to which trust exists in young children, whether it differs from trust in adults, and how it changes with age, gender, and various psychological and school culture factors is essential for understanding how educational environments can foster its development. In this article, we analyze trust among almost 3000 fourth-grade children from 135 schools, measured based on behaviors exhibited during a Public Goods Game. The results align with other studies, showing that trust is substantially higher towards the in-group (classmates) than the out-group. A notable gender effect was observed, with boys exhibiting significantly higher levels of trust than girls. Trust was also higher in municipal schools compared to state-subsidized private schools. Personality traits, measured via the Big Five model using the Pictorial Personality Traits Questionnaire for Children (PPTQ-C), also emerged as influential. Specifically, elevated levels of Agreeableness and Conscientiousness predicted increased trust in both in-groups and out-groups. Extraversion and Openness to Experience also played a role, although to a lesser extent. Full article
(This article belongs to the Special Issue Social Cognition and Emotions)
Show Figures

Figure 1

12 pages, 258 KB  
Article
Problematic Internet Use and Psychological Distress in High School Students
by Irati Becerril-Atxikallende, Joana Jaureguizar and Nuria Galende
Healthcare 2025, 13(24), 3231; https://doi.org/10.3390/healthcare13243231 - 10 Dec 2025
Viewed by 374
Abstract
Background/Objectives: The frequent and uncontrolled use of digital devices has resulted in phenomena such as technological addiction and problematic ICT use, especially after the pandemic. This has been associated with several factors related to psychological distress in young adults, but less is [...] Read more.
Background/Objectives: The frequent and uncontrolled use of digital devices has resulted in phenomena such as technological addiction and problematic ICT use, especially after the pandemic. This has been associated with several factors related to psychological distress in young adults, but less is known about the subject in adolescents. Thus, the aim of this study is to analyze the relationship between problematic Internet use and psychological distress factors in high school students and examine whether these variables differed when gender and academic grade level were considered. Methods: A quantitative, cross-sectional, and descriptive–correlational study was employed. A total of 2048 students from the Basque Country, aged between 11 and 17 years old, completed an online self-report questionnaire composed of demographics and ad hoc items, the Problematic Internet Use Scale (PIUS), and selected subscales from the Child and Adolescent Assessment System (anxiety, social anxiety, and depression). Descriptive statistics, Pearson correlation analyses, independent-sample ANOVA, Bonferroni post hoc tests, and independent-sample t tests were conducted. Results: Even though no differences were found between males and females when PIUS was analyzed, significant differences were found between students from different academic grade levels, whereby those from higher levels presented higher rates of problematic Internet use. Significant correlations were found between PIUS and depression, anxiety, and social anxiety. Furthermore, those who showed more problematic Internet use also presented higher anxiety, social anxiety, and depression levels. Conclusions: Adolescents in higher grade levels tend to exhibit a higher incidence of problematic Internet use. Consequently, intensive and uncontrolled Internet usage has been linked to poorer mental health. The findings underline the importance of promoting digital literacy among adolescents. These results highlight the importance of approaching psychological distress through prevention initiatives and emphasize the protective role that both schools and families play in promoting healthier and more balanced Internet use among adolescents. Full article
(This article belongs to the Special Issue The Relationship of Social Media and Cyberbullying with Mental Health)
9 pages, 437 KB  
Article
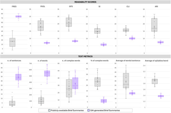
Readability Optimization of Layperson Summaries in Urological Oncology Clinical Trials: Outcomes from the BRIDGE-AI 8 Study
by Ilicia Cano, Aalamnoor Pannu, Ethan Layne, Conner Ganjavi, Aditya Desai, Gus Miranda, Jie Cai, Vasileios Magoulianitis, Karan Gill, Gerhard Fuchs, Mihir Desai, Inderbir Gill and Giovanni E. Cacciamani
Curr. Oncol. 2025, 32(12), 696; https://doi.org/10.3390/curroncol32120696 - 10 Dec 2025
Viewed by 272
Abstract
Accessible health information is essential to promote patient engagement and informed participation in clinical research. Brief summaries on ClinicalTrials.gov are indented for lay people; however they are often written at a reading level that is too advanced for the public. This study evaluated [...] Read more.
Accessible health information is essential to promote patient engagement and informed participation in clinical research. Brief summaries on ClinicalTrials.gov are indented for lay people; however they are often written at a reading level that is too advanced for the public. This study evaluated the performance of a Generative Artificial Intelligence (GAI)-powered tool—Pub2Post—in producing readable and complete layperson brief summaries for urologic oncology clinical trials. Twenty actively recruiting clinical trials on prostate, bladder, kidney, and testis cancers were retrieved from ClinicalTrials.gov. For each, a GAI-generated summary was produced and compared with its publicly available counterpart. Readability indices, grade-level indicators, and text metrics were analyzed alongside content inclusion across eight structural domains. GAI-generated summaries demonstrated markedly improved readability (mean FRES 73.3 ± 3.5 vs. 17.0 ± 13.1; p < 0.0001), aligning with the recommended middle-school reading level, and achieved 100% inclusion of guideline-defined content elements. GAI summaries exhibited simpler syntax and reduced lexical complexity, supporting improved comprehension. These findings suggest that GAI tools such as Pub2Post can generate patient-facing summaries that are both accessible and comprehensive. Full article
Show Figures

Figure 1

22 pages, 6144 KB  
Article
Multimodal Large Language Models vs. Human Authors: A Comparative Study of Chinese Fairy Tales for Young Children
by Jing Du, Wenhao Liu, Dibin Zhou, Seongku Hong and Fuchang Liu
Informatics 2025, 12(4), 139; https://doi.org/10.3390/informatics12040139 - 9 Dec 2025
Viewed by 333
Abstract
In the realm of children’s education, multimodal large language models (MLLMs) are already being utilized to create educational materials for young learners. But how significant are the differences between image-based fairy tales generated by MLLMs and those crafted by human authors? This paper [...] Read more.
In the realm of children’s education, multimodal large language models (MLLMs) are already being utilized to create educational materials for young learners. But how significant are the differences between image-based fairy tales generated by MLLMs and those crafted by human authors? This paper addresses this question through the design of multi-dimensional human evaluation and actual questionnaire surveys. Specifically, we conducted studies on evaluating MLLM-generated stories and distinguishing them from human-written stories involving 50 undergraduate students in education-related majors, 30 first-grade students, 81 second-grade students, and 103 parents. The findings reveal that most undergraduate students with an educational background, elementary school students, and parents perceive stories generated by MLLMs as being highly similar to those written by humans. Through the evaluation of primary school students and vocabulary analysis, it is further shown that, unlike human-authored stories, which tend to exceed the vocabulary level of young students, MLLM-generated stories are able to control vocabulary complexity and are also very interesting for young readers. Based on the results of the above experiments, we further discuss the following question: Can MLLMs assist or even replace humans in writing Chinese children’s fairy tales based on pictures for young children? We approached this question from both a technical perspective and a user perspective. Full article
Show Figures

Figure 1

14 pages, 571 KB  
Article
Fostering School Belonging Among Portuguese Adolescents: Psychosocial Predictors and Guidelines for Educational Action
by Marta Reis, Catarina Noronha, Gina Tomé, Marina Carvalho, Nuno Neto Rodrigues and Margarida Gaspar de Matos
Adolescents 2025, 5(4), 78; https://doi.org/10.3390/adolescents5040078 - 4 Dec 2025
Viewed by 231
Abstract
Introduction: School belonging is a key component of adolescent well-being, associated with academic success, mental health, and social inclusion. This study explores the levels of school belonging among Portuguese students and examines the psychosocial factors associated with this perception. Methods: Data from 3083 [...] Read more.
Introduction: School belonging is a key component of adolescent well-being, associated with academic success, mental health, and social inclusion. This study explores the levels of school belonging among Portuguese students and examines the psychosocial factors associated with this perception. Methods: Data from 3083 students (5th to 12th grade) obtained through the 2024 National Study by the Observatory of Psychological Health and Well-Being were analysed. Socio-emotional skills, well-being indicators, psychological symptoms, and school engagement variables were assessed using validated instruments. Statistical analyses included ANOVA and linear regression. Results: Overall, boys and younger students reported higher levels of school belonging. Sociability, resilience, confidence, school engagement, and and components of Positive Youth Development (PYD)—a strengths-based framework focusing on the internal and external assets that foster healthy youth development—such as competence and connection, were positively associated with school belonging. Conversely, depressive symptoms and experiences of bullying negatively predicted this outcome. Conclusions: This study’s findings highlight the need to reinforce inclusive educational practices, foster positive youth development, and promote protective relational dynamics within the school context. Full article
(This article belongs to the Section Adolescent Health and Mental Health)
Show Figures

Graphical abstract

24 pages, 2012 KB  
Article
Assessing the Readability of Russian Textbooks Using Large Language Models
by Andrei Paraschiv, Mihai Dascalu and Marina Solnyshkina
Information 2025, 16(12), 1071; https://doi.org/10.3390/info16121071 - 4 Dec 2025
Viewed by 342
Abstract
This study aims to assess the capability of Large Language Models (LLMs), particularly GPT-4o, to evaluate and modify the complexity level of Russian school textbooks. We lay the groundwork for developing scalable, context-aware methods for readability assessment and text simplification in Russian educational [...] Read more.
This study aims to assess the capability of Large Language Models (LLMs), particularly GPT-4o, to evaluate and modify the complexity level of Russian school textbooks. We lay the groundwork for developing scalable, context-aware methods for readability assessment and text simplification in Russian educational materials, areas where traditional formulas often fall short. Using a corpus of 154 textbooks covering various subjects and grade levels, we evaluate the extent to which LLMs accurately predict the appropriate comprehension level of a text and how well they simplify texts by targeted grade reduction. Our evaluation framework employs GPT-4o as a multi-role agent in three distinct experiments. First, we prompt the model to estimate the target comprehension age for each segment and identify five key linguistic or conceptual features underpinning its assessment. Second, we simulate student comprehension by instructing the model to reason step-by-step through whether the text is understandable for a hypothetical student of the given grade. Third, we examine the model’s ability to simplify selected fragments by reducing their complexity by three grade levels. We further measure model perplexity and output token probabilities to probe the prediction confidence and coherence. Results indicate that while LLMs show considerable potential in complexity assessment (i.e., MAE of 1 grade level), they tend to overestimate text difficulty and face challenges in achieving precise simplification levels. Ease of understanding assessments generally align with human expectations, although texts with abstract, technical, or poetic content (e.g., Physics, History, and Literary Russian) pose challenges. Our study concludes that LLMs can substantially complement traditional readability metrics and assist teachers in developing suitable Russian educational materials. Full article
(This article belongs to the Special Issue AI Technology-Enhanced Learning and Teaching)
Show Figures

Figure 1

31 pages, 345 KB  
Article
Risk and Protective Factors for Bullying, Cyberbullying, and Sexual Harassment in U.S. Schools: A Socio-Ecological Analysis Beyond Individual Level Factors
by Zehra Sahin-Ilkorkor and Sarah Jane Brubaker
Youth 2025, 5(4), 128; https://doi.org/10.3390/youth5040128 - 29 Nov 2025
Viewed by 611
Abstract
This study identifies the socio-ecological predictors at each level of the ecosystem that serve as risk or protective factors for the frequency of bullying, cyberbullying, and sexual harassment in U.S. schools, and examines how these predictors vary across the three behaviors, highlighting both [...] Read more.
This study identifies the socio-ecological predictors at each level of the ecosystem that serve as risk or protective factors for the frequency of bullying, cyberbullying, and sexual harassment in U.S. schools, and examines how these predictors vary across the three behaviors, highlighting both common and distinct predictors. Using data from two waves (2018 and 2020) of the School Survey on Crime and Safety (SSOCS), a nationally representative cross-sectional survey of 5132 U.S. public elementary and secondary schools, we conduct a Generalized Ordinal Logistic Regression in hierarchical blocks of mesosystem-, exosystem-, and macrosystem-level factors to examine the relative contribution of each ecological level. We find that both mesosystem (teacher training, school size, school grade) and exosystem (neighborhood crime, parental involvement, and involvement of mental health & social services)-level factors play significant roles in predicting the frequency of bullying, sexual harassment, and cyberbullying. Urbanicity at the macrosystem-level is not a significant predictor of bullying and sexual harassment; however, schools in urban areas are less likely to have frequent and monthly cyberbullying and more likely to have occasional and no cyberbullying compared to schools in non-urban areas. We argue for the importance of multi-level interventions to address peer harassment in schools through evidence-based policies. Full article
19 pages, 478 KB  
Article
Validity and Reliability of the ECIP-Q Among Peruvian Adolescents: A Tool for Monitoring Cyberbullying and School Coexistence
by Julio Dominguez-Vergara, Henry Santa-Cruz-Espinoza, María Quintanilla-Castro and Carlos López-Villavicencio
Educ. Sci. 2025, 15(11), 1565; https://doi.org/10.3390/educsci15111565 - 20 Nov 2025
Viewed by 543
Abstract
Cyberbullying is a public health concern in adolescence that requires measures with valid and comparable evidence across subgroups. This study examined the validity and reliability evidence of the European Cyberbullying Intervention Project Questionnaire (ECIP-Q) in Peruvian adolescents. Using an instrumental cross-sectional design, 729 [...] Read more.
Cyberbullying is a public health concern in adolescence that requires measures with valid and comparable evidence across subgroups. This study examined the validity and reliability evidence of the European Cyberbullying Intervention Project Questionnaire (ECIP-Q) in Peruvian adolescents. Using an instrumental cross-sectional design, 729 students aged 12–18 years (M_age = 14.6; SD = 1.27) from Lima, Trujillo, and Piura were recruited through non-probabilistic sampling. Items were treated as ordinal; polychoric correlations were estimated (WLSMV, theta parameterization), and a reproducible prevalence-based recoding was applied to mitigate pileups in category 0. Competing CFA and ESEM models were tested for 22- and 19-item specifications, incorporating two residual covariances for “mirror-pair” items. Sex invariance was evaluated at configural, metric, and scalar levels. The two-factor, 19-item ESEM with two residual covariances showed the best fit (χ2 = 291.164; df = 130; CFI = 0.982; TLI = 0.976; RMSEA = 0.041 [0.035–0.048]; SRMR = 0.091). Reliability was adequate for cybervictimization (CR = 0.737, ω = 0.888, factor determinacy [fd] = 0.965) and cyberaggression (CR = 0.282, ω = 0.805, fd = 0.938). Cyberbullying dimensions correlated positively with aggression and moral disengagement and weakly with empathy. Regarding sociodemographic variables, cyberbullying was associated with age, grade, and Internet use; moreover, cyberaggression was higher in boys than in girls. Having more friends and better relationships with teachers were negatively associated with cyberbullying, whereas perceiving the school environment as unsafe was positively associated with cyberbullying. Overall, the 19-item ECIP-Q demonstrates acceptable structural validity, reliability, and sex invariance in Peruvian adolescents, supporting its use for screening and monitoring school coexistence. Full article
Show Figures

Figure 1

10 pages, 209 KB  
Article
Can Artificial Intelligence Educate Patients? Comparative Analysis of ChatGPT and DeepSeek Models in Meniscus Injuries
by Bahri Bozgeyik and Erman Öğümsöğütlü
Healthcare 2025, 13(22), 2980; https://doi.org/10.3390/healthcare13222980 - 20 Nov 2025
Viewed by 393
Abstract
Background: Meniscus injuries are among the most common traumatic and degenerative conditions of the knee joint. Patient education plays a critical role in treatment adherence, surgical preparation, and postoperative rehabilitation. The use of artificial intelligence (AI)-based large language models (LLMs) is rapidly increasing [...] Read more.
Background: Meniscus injuries are among the most common traumatic and degenerative conditions of the knee joint. Patient education plays a critical role in treatment adherence, surgical preparation, and postoperative rehabilitation. The use of artificial intelligence (AI)-based large language models (LLMs) is rapidly increasing in healthcare. This study aimed to compare the quality and readability of responses to frequently asked patient questions about meniscus injuries generated by ChatGPT-5 and DeepSeek R1. Materials and Methods: Twelve frequently asked questions regarding the etiology, symptoms, diagnosis, imaging, and treatment of meniscus injuries were presented to both AI models. The responses were independently evaluated by two experienced orthopedic surgeons using a response rating system and a 4-point Likert scale to assess accuracy, clarity, comprehensiveness, and consistency. Readability was analyzed using the Flesch–Kincaid Reading Ease Score (FRES) and the Flesch–Kincaid Grade Level (FKGL). Interrater reliability was determined using intraclass correlation coefficients (ICCs). Results: DeepSeek performed significantly better than ChatGPT in the response rating system (p = 0.017) and achieved higher scores for comprehensiveness on the 4-point Likert scale (p = 0.005). No significant differences were observed between the two models in terms of accuracy, clarity, or consistency (p > 0.05). Both models produced comparable readability scores (p > 0.05), corresponding to a high-school reading level. Conclusions: Both ChatGPT and DeepSeek show promise as supportive tools for educating patients about meniscus injuries. While DeepSeek demonstrated higher overall content quality, both models generated understandable information suitable for general patient education. Further refinement is needed to improve clarity and accessibility, ensuring that AI-based materials are appropriate for diverse patient populations. Full article
(This article belongs to the Section Artificial Intelligence in Healthcare)
14 pages, 292 KB  
Article
The Impact of STS-Oriented Nature Education Programs on Middle School Students’ Creativity
by Selda Demirçalı
Educ. Sci. 2025, 15(11), 1556; https://doi.org/10.3390/educsci15111556 - 19 Nov 2025
Viewed by 541
Abstract
This study investigated the impact of a Science-Technology-Society (STS)-based nature education program on the creativity levels of middle school students. Recognizing creativity as a crucial human capacity for individual and societal progress, the research focused on its core elements, including the generation of [...] Read more.
This study investigated the impact of a Science-Technology-Society (STS)-based nature education program on the creativity levels of middle school students. Recognizing creativity as a crucial human capacity for individual and societal progress, the research focused on its core elements, including the generation of novel solutions, diverse perspectives, and original ideas. The STS approach, which emphasizes constructivist learning and problem-solving within real-world contexts, was employed to enhance skills such as visualization, mental image formation, combining objects and ideas innovatively, generating alternative uses, and designing tools and machines. A quasi-experimental single-group pre-test–post-test design was utilized. Participants included 60 middle school students (15 from each of grades 5 to 8) comprising 30 gifted students enrolled in Science and Art Centers simultaneously. Students’ creativity levels were assessed using the Test for Creative Thinking-Drawing Production (TCT-DP), which is a figural test measuring holistic creativity across 14 criteria. Data were analyzed using arithmetic means, paired-sample t-tests, and independent-sample t-tests. The results demonstrated a statistically significant and large improvement in overall creativity following the intervention (t(59) = 7.14, p < 0.001; Cohen’s d = 0.92). Notably, no significant differences in creativity were observed between the gifted and non-gifted groups either before or after the program. These findings align with previous research indicating that out-of-school environmental and nature-based activities can enhance students’ creative thinking and problem-solving skills. The study suggests that STS-based nature education effectively fosters creativity and should be integrated into curricula to strengthen problem-solving, perspective-taking, and idea generation skills. Full article
(This article belongs to the Special Issue Creativity and Education)
19 pages, 971 KB  
Article
Social–Emotional Competence Growth Profiles in Upper Elementary School Years and Pathways to Mental Health Outcomes in Middle School
by Juyeon Lee and Chenxiao Wang
Int. J. Environ. Res. Public Health 2025, 22(11), 1744; https://doi.org/10.3390/ijerph22111744 - 18 Nov 2025
Viewed by 734
Abstract
Social–emotional competence (SEC) is an essential factor for healthy youth development. However, few studies have examined patterns of SEC growth trajectories among non-Western youth, and whether and how their SEC growth patterns during elementary school years predict later mental health. Using five-year panel [...] Read more.
Social–emotional competence (SEC) is an essential factor for healthy youth development. However, few studies have examined patterns of SEC growth trajectories among non-Western youth, and whether and how their SEC growth patterns during elementary school years predict later mental health. Using five-year panel data on a nationally representative sample of South Korean youth (N = 2607; 49.6% girl, Mage = 10, SDage = 0.1 at baseline), we first identified three latent profiles of SEC growth trajectories throughout upper elementary years (Grades 4 to 6), distinguished by initial and continued mean-level differences in both self-management and group collaboration. Informed by self-determination theory, we found that these SEC growth profiles significantly predicted depression and life satisfaction in middle school (Grade 8), mediated by peer relatedness and academic competence during the middle school transition (Grade 7). This study discusses implications for future research and practice to promote young adolescents’ social–emotional development and mental health. Full article
(This article belongs to the Special Issue Mental Health and Health Promotion in Young People)
Show Figures

Figure 1

Back to TopTop