Sign in to use this feature.

Years

Between: -

Subjects

remove_circle_outline
remove_circle_outline
remove_circle_outline
remove_circle_outline
remove_circle_outline
remove_circle_outline
remove_circle_outline
remove_circle_outline
remove_circle_outline

Journals

remove_circle_outline
remove_circle_outline
remove_circle_outline
remove_circle_outline

Article Types

Countries / Regions

remove_circle_outline
remove_circle_outline
remove_circle_outline
remove_circle_outline

Search Results (880)

Search Parameters:
Keywords = runoff variation

Order results
Result details
Results per page
Select all
Export citation of selected articles as:
26 pages, 9231 KB  
Article
Quantitative Risk Assessment of Buildings and Infrastructures: A Natural Hazard Perspective Under Extreme Rainfall Scenarios
by Guangming Li, Zizheng Guo, Haojie Wang, Zhanxu Guo, Lejun Zhao, Rujiao Tan and Yuhua Zhang
Appl. Sci. 2026, 16(5), 2522; https://doi.org/10.3390/app16052522 (registering DOI) - 5 Mar 2026
Abstract
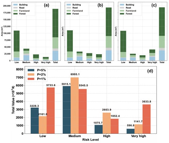
The increasing frequency and intensity of extreme climate events have posed more geohazards worldwide. It is therefore crucial to quantify and map risk to reduce disaster-related losses. The main objective of this study is to propose a quantitative framework to conduct risk assessment [...] Read more.
The increasing frequency and intensity of extreme climate events have posed more geohazards worldwide. It is therefore crucial to quantify and map risk to reduce disaster-related losses. The main objective of this study is to propose a quantitative framework to conduct risk assessment of buildings and infrastructures impacted by geohazards. A debris flow hazard in Tianjin, North China was taken as a case study. A physically based model and the Gumbel extreme value distribution were utilized to construct a range of extreme rainfall and runoff scenarios. The FLO-2D and ABAQUS software were subsequently employed to simulate the surging behavior of the debris flow and assess the structural vulnerability of buildings, respectively. Furthermore, the number of elements at risk and economic values were estimated to generate risk maps. The results revealed that variations in peak discharge in the channel evidently affected flow velocity and depth, thus elevating the debris flow intensity and the likelihood of the materials threatening buildings. The stiffness degradation of concrete was strategically used as the indicator to quantify structure vulnerability and effectively present the dynamic responses under the impacts of the debris flow. Under a 100-year return period rainfall scenario, the proportion of very high- and high-risk areas reached 31%, with the estimated economic loss approximately ¥167.7 million. This highlighted the critical role that extreme rainfall played in shaping both the spatial distribution and severity of debris flow risks. The proposed method provides a scientific basis for enhancing the resilience of mountainous regions to compound natural disasters exacerbated by climate change. Full article
(This article belongs to the Special Issue Dynamics of Geohazards)
Show Figures

Figure 1

21 pages, 1707 KB  
Article
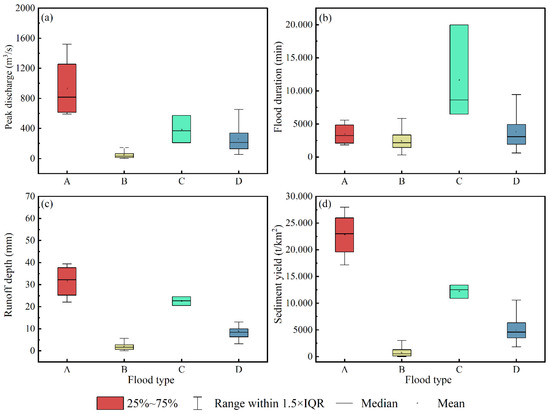
Runoff and Sediment Characteristics of Flood Events in the Chabagou Watershed on the Loess Plateau of China from 1959 to 2022
by Jingjing Xu, Yin Chen, Jianmei Yan, Pengfei Du, Wenxiang Liu, Qi Zhong, Yi Zhang and Zhe Qiao
Land 2026, 15(3), 419; https://doi.org/10.3390/land15030419 - 4 Mar 2026
Abstract
Flood events are major drivers of soil erosion and sediment yield on the Loess Plateau, where extensive ecological restoration has been implemented. This study investigates runoff–sediment dynamics by analyzing 215 flood events recorded in the Chabagou watershed (1959–2022), with a focus on changes [...] Read more.
Flood events are major drivers of soil erosion and sediment yield on the Loess Plateau, where extensive ecological restoration has been implemented. This study investigates runoff–sediment dynamics by analyzing 215 flood events recorded in the Chabagou watershed (1959–2022), with a focus on changes under intensifying restoration efforts. Using long-term hydrological and rainfall data, we applied cluster and discriminant analyses to classify flood events based on sediment hysteresis loops and evaluated variations across three management periods (1959–1979, 1980–1999, and 2000–2022), characterized by progressive increases in check dam construction and vegetation recovery. The results show that the floods characterized by short duration, low peak flow, and low sediment concentration were predominant, accounting for 77.7% of the recorded 215 events. A clear decreasing trend was observed, with average sediment yield and peak discharge declining by approximately 68% and 52%, respectively. Anticlockwise hysteresis loops were most common (45.6%), followed by complex (27.9%) and figure-of-eight loops (23.7%). The proportion of figure-of-eight loops increased notably from 17% to 39%, indicating reduced sediment connectivity due to large-scale ecological restoration. Extreme rainfall events consistently produced complex hysteresis patterns, influenced mainly by rainfall intensity but increasingly modulated by human interventions. These results highlight adaptive watershed management strategies that target figure-of-eight and complex flood events to mitigate erosion and flood risks. Full article
(This article belongs to the Special Issue Climate Change and Soil Erosion: Challenges and Solutions)
Show Figures

Figure 1

15 pages, 2820 KB  
Article
Surface and Subsurface Losses of N and P from Sloping Karst Farmland in Southwest China
by Rongjie Fang, Yunrong Bao, Pan Wu, Shuyu Guo and Qinxue Xu
Water 2026, 18(5), 547; https://doi.org/10.3390/w18050547 - 26 Feb 2026
Viewed by 185
Abstract
Non-point source pollution has become one of the most widespread environmental degradation problems in recent years. This study aimed to investigate how hydrological processes regulate nitrogen and phosphorus losses under simulated rainfall conditions through in situ rainfall experiments in karst farmland. We conducted [...] Read more.
Non-point source pollution has become one of the most widespread environmental degradation problems in recent years. This study aimed to investigate how hydrological processes regulate nitrogen and phosphorus losses under simulated rainfall conditions through in situ rainfall experiments in karst farmland. We conducted a field-scale plot experiment, recorded rainfall and runoff, and measured the nutrient concentration in the runoff of nine experimental plots on the slope toe, middle slope and upper slope. Simulated rainfall intensity was 90 mm/h for 60 min. The results showed nitrogen losses were dominated by subsurface flow in small-scale studies, which accounted for 55.19% (2.50 kg/ha), 71.35% (3.88 kg/ha), and 93.85% (1.39 kg/ha) of TN losses at the toe, middle, and upper slope positions, respectively. The middle slope exhibited the highest losses of N mainly due to its larger subsurface runoff volume. NH4+ dominated TN in surface flow, contributing up to 97.5% (0.0092 kg/ha) at the slope toe, whereas NO3− was the dominant N form in subsurface flow, with little variation across the three slope positions, averaging 0.062 kg/ha. In contrast, phosphorus losses are primarily associated with surface flow, with TP concentrations in surface flow being 5–60 times higher than those in subsurface flow, with average surface TP losses of approximately 0.04 kg/ha. These results imply that nutrient management in karst farmland should adopt differentiated control strategies, with greater emphasis on reducing subsurface nitrogen leaching while limiting surface runoff and erosion to mitigate phosphorus losses. However, the conclusions are based solely on small-scale rainfall simulation experiments, and nutrient loss may also be influenced by factors such as karst terrain heterogeneity, prior soil moisture content, soil properties, and rainfall characteristics. Full article
(This article belongs to the Section Water Erosion and Sediment Transport)
Show Figures

Figure 1

29 pages, 13675 KB  
Article
A Hybrid AE-SDGC-Autoformer Model for Short-Term Runoff Forecasting and Sustainable Water Resource Management
by Renfeng Liu, Liangyi Wang, Liping Zeng, Dingdong Wang and Xinhua Li
Sustainability 2026, 18(4), 2096; https://doi.org/10.3390/su18042096 - 19 Feb 2026
Viewed by 288
Abstract
Runoff forecasting is an essential application in the management of water resources and sustainable development. In practice, there are limitations in the forecast results because of factors such as data unavailability, noise interference, and spatiotemporal variation in multi-site data. To overcome the limitations, [...] Read more.
Runoff forecasting is an essential application in the management of water resources and sustainable development. In practice, there are limitations in the forecast results because of factors such as data unavailability, noise interference, and spatiotemporal variation in multi-site data. To overcome the limitations, this paper proposes a hybrid forecast model based on Autoencoder (AE), Sparsified Dynamic Graph Convolution (SDGC), and Autoformer. The AE cleans noise and sharpens feature representation, the SDGC constructs dynamic adjacency matrices via the Multidimensional Dynamic Time Warping (MDTW) and sparsifies with a parameterized Multi-Layer Perceptron (MLP) to capture time-varying spatial correlations among stations, and the Autoformer decomposes features to model long-term nonlinear runoff trends through its autocorrelation mechanism. The experiment was carried out in six locations in the southeastern part of Guizhou province during the wet and dry periods and was contrasted with different mainstream models and supplemented with hydrological mechanism consistency analysis. Experimental results show that the hybrid model performs better than all the other models. In the short-term runoff simulation at XingHua Station during the wet season, NSE attains the maximum value of 0.891, with RMSE decreased by 6.5% to 24.1% and MAE by 20.2% to 35.5%. This model provides accurate runoff data to support flood early warning, dry-season water scheduling, and ecological flow protection, offering a reliable tool for sustainable water resource management in complex karst basins. Full article
(This article belongs to the Section Sustainable Water Management)
Show Figures

Graphical abstract

15 pages, 3301 KB  
Article
Environmental Evolution Recorded by Tamarix Nebkhas in the Qaidam Basin
by Yongxin Zeng, Chongyi E, Jiawei Wang, Qiuming Tong, Kejia Li and Ming Tang
Water 2026, 18(3), 416; https://doi.org/10.3390/w18030416 - 5 Feb 2026
Viewed by 316
Abstract
A typical Tamarix nebkha was studied in the southern Qaidam Basin, China. K-feldspar pIRIR dating was applied to establish a reliable chronological framework, and an Undatable age–depth model was constructed. Accumulation rates (AR) declined in stages: rapid (~1.33 cm/a; ~370–260 yr BP), slower [...] Read more.
A typical Tamarix nebkha was studied in the southern Qaidam Basin, China. K-feldspar pIRIR dating was applied to establish a reliable chronological framework, and an Undatable age–depth model was constructed. Accumulation rates (AR) declined in stages: rapid (~1.33 cm/a; ~370–260 yr BP), slower (~0.75 cm/a; ~260–130 yr BP), and slowest (~0.31 cm/a; ~130 yr BP-present). This dynamic pattern is likely influenced by a combination of regional aeolian activity variations, geomorphological evolution, and the intrinsic growth dynamics of the nebkha itself. To further understand the relationship between nebkha development and climatic conditions, a δ13C sequence was reconstructed using Tamarix plant remains preserved within the sediments. Based on shifts in leaf-level δ13C values, which indicate changes in water use efficiency, water availability over the past 370 years was inferred and divided into three main phases: relatively sufficient from 1650 to 1690, gradually decreasing during 1690–1870, and increasing again after 1870. The δ13C trend closely correlates with temperature variations derived from δ18O records of the Malan ice core. This suggests that in this hyper-arid region, the development of Tamarix nebkhas is primarily controlled by glacial meltwater and snowmelt runoff from the Kunlun Mountains, rather than by local precipitation. Full article
Show Figures

Figure 1

24 pages, 6704 KB  
Article
Exploratory Assessment of Short-Term Antecedent Modeled Flow Memory in Shaping Macroinvertebrate Diversity: Integrating Satellite-Derived Precipitation and Rainfall-Runoff Modeling in a Remote Andean Micro-Catchment
by Gonzalo Sotomayor, Raúl F. Vázquez, Marie Anne Eurie Forio, Henrietta Hampel, Bolívar Erazo and Peter L. M. Goethals
Biology 2026, 15(3), 257; https://doi.org/10.3390/biology15030257 - 30 Jan 2026
Viewed by 977
Abstract
Estimating runoff in ungauged catchments remains a major challenge in hydrology, particularly in remote Andean headwaters where limited accessibility and budgetary constraints hinder the long-term operation of monitoring networks. This study integrates satellite-derived rainfall data, hydrological modeling, and benthic macroinvertebrate diversity analysis to [...] Read more.
Estimating runoff in ungauged catchments remains a major challenge in hydrology, particularly in remote Andean headwaters where limited accessibility and budgetary constraints hinder the long-term operation of monitoring networks. This study integrates satellite-derived rainfall data, hydrological modeling, and benthic macroinvertebrate diversity analysis to explore how short-term antecedent flow conditions relate to temporal variation in community structure. The research was conducted in a pristine 0.26 km2 micro-catchment of the upper Collay basin (southern Ecuador). Daily simulated discharge was used to compute antecedent flow descriptors representing short-term variability and cumulative changes in stream conditions, which were related to taxonomic (i.e., H = Shannon diversity, E = Pielou evenness, and D = Simpson dominance) and functional indices (i.e., Rao = Rao’s quadratic entropy, FAD1 = Functional Attribute Diversity, and wFDc = weighted functional dendrogram-based diversity) using Generalized Additive Models. Results showed progressively higher hydrology–biology associations with increasing antecedent flow integration length, suggesting that biological variability responds more strongly to cumulative than to instantaneous flow conditions. Among hydrological descriptors, the cumulative magnitude of negative flow changes was consistently associated with taxonomic diversity. H and E showed more coherent and robust patterns than functional metrics, indicating a faster response of community composition to short-term hydrological variability, whereas functional diversity integrates slower ecological processes. While based on modeled discharge under severe hydrometeorological data limitations, this study provides a practical ecohydrological starting point for identifying short-term hydrological memory signals potentially relevant to aquatic biodiversity in ungauged headwater systems. Full article
(This article belongs to the Section Marine and Freshwater Biology)
Show Figures

Graphical abstract

23 pages, 5082 KB  
Article
Applicability of the Lumped GR4J Model for Modeling the Hydrology of the Inland Valleys of the Sudanian Zones of Benin
by Akominon M. Tidjani, Quentin F. Togbévi, Pierre G. Tovihoudji, P. B. Irénikatché Akponikpè and Marnik Vanclooster
Water 2026, 18(3), 340; https://doi.org/10.3390/w18030340 - 29 Jan 2026
Viewed by 292
Abstract
Achieving sustainable agricultural intensification in inland valleys while limiting the adverse environmental impacts and uncertainties related to water availability requires an analysis of the long-term hydrological behavior of the catchment. Such a task is particularly challenging in West Africa and Benin due to [...] Read more.
Achieving sustainable agricultural intensification in inland valleys while limiting the adverse environmental impacts and uncertainties related to water availability requires an analysis of the long-term hydrological behavior of the catchment. Such a task is particularly challenging in West Africa and Benin due to the limited availability of climate and hydrological data. This study evaluates the applicability of the lumped GR4J model for simulating streamflow in three inland valleys of the Sudanian zone of Benin (Lower-Sowé, Bahounkpo and Nalohou). Additionally, we test the reliability of satellite-based rainfall data (GPM-IMERG, CHIRPS or GSMAP) in modeling hydrological dynamics in these small catchments. The results demonstrate that the GR4J model is effective in simulating daily discharge in the three inland valleys (KGE > 0.5 during both calibration and validation periods), with particularly interesting performance in mean-flow conditions. The modeling using GPM-IMERG and GSMAP rainfall data shows mitigated results with acceptable performance at Nalohou and less accurate results at Bahounkpo and Lower-Sowé. CHIRPS emerged as the most consistent among the evaluated products, providing a sound basis for reconstructing general trends and seasonal variations in historical streamflow time series. The approach of combining historical CHIRPS data and the GR4J model provides insights and can support decision-making related to water resource management in terms of resource capacity and volume in the study area. Except for Nalohou (KGE = 0.19 with GPM-IMERG data), we observe limitations in predicting high flows with satellite-based climatic data at Bahounkpo (KGE = 0.02 with GPM-IR) and Lower-Sowé (KGE = −0.01 with CHIRPS), where the near-zero KGE scores indicate marginal improvement over a mean-flow benchmark. Future work should explore how hybrid or flexible modeling approaches can improve the accuracy of runoff simulations in inland valleys, particularly for extreme (low- and high-) flow conditions. Additionally, the analysis of the trends of indicators of hydrological alteration (IHA) must be deepened in these important ecosystems, especially under climate and land-use change scenarios. Full article
(This article belongs to the Special Issue Advances in Ecohydrology in Arid Inland River Basins, 2nd Edition)
Show Figures

Figure 1

17 pages, 3623 KB  
Article
Characterizing the Spatiotemporal Distribution of Water Quality and Pollution Sources in Mountainous Watershed
by Wenting Qiu, Wei Wang, Xingyue Tu, Zehua Xu, Biao Wang, Zhimiao Zhang, Ying Wang and Baiyin Liu
Water 2026, 18(3), 328; https://doi.org/10.3390/w18030328 - 28 Jan 2026
Viewed by 273
Abstract
The precise identification of pollution sources constitutes a cornerstone for effective water environment management in mountainous watersheds. This study employed principal component analysis–absolute principal component scores–multiple linear regression (PCA-APCS-MLR) receptor modeling to analyze monthly water quality indicators across the Longxi River Basin. Results [...] Read more.
The precise identification of pollution sources constitutes a cornerstone for effective water environment management in mountainous watersheds. This study employed principal component analysis–absolute principal component scores–multiple linear regression (PCA-APCS-MLR) receptor modeling to analyze monthly water quality indicators across the Longxi River Basin. Results revealed comparable water quality between the main stream and its tributaries, with no statistically significant differences identified. Water quality exhibited a distinct spatial pattern, with superior conditions in the upstream and downstream segments compared to the middle reaches. Water quality parameters exhibited significant seasonal variations. During the wet period, the degradation of water quality was primarily driven by diffuse agricultural sources, contributing 42.9%, followed by watershed background levels and surface runoff. In the dry season, rural domestic wastewater (39.3%) was the leading pollution source. For Permanganate index (CODMn) exceedance, basin background and agricultural non-point sources in the wet season were the main contributors (46.8% and 44.7%, respectively). For ammonium nitrogen (NH3-N), wet season agricultural non-point sources (44.4%) and dry season rural domestic pollution (71.8%) were key contributors. Agricultural non-point sources were the dominant pollution source for total nitrogen (TN) in the wet season (84.2%). Effective water quality improvement in the Longxi River Basin hinges on targeted strategies—to mitigate diffuse agricultural sources through optimized fertilization, and to enhance the collection and treatment of rural domestic sewage. This study not only enhances the understanding of pollution source distribution and quantification in mountainous watersheds, but also serves as a vital reference for formulating targeted water environment management strategies. Full article
(This article belongs to the Section Water Quality and Contamination)
Show Figures

Figure 1

24 pages, 10732 KB  
Article
Analyzing the Impact of High-Frequency Noise on Hydrological Runoff Modeling: A Frequency-Based Framework for Data Uncertainty Assessment
by Tianxu Liu, Wenyu Ouyang, Muhammad Adnan and Chi Zhang
Water 2026, 18(2), 195; https://doi.org/10.3390/w18020195 - 12 Jan 2026
Viewed by 330
Abstract
The performance of deep learning-based hydrological forecasting is highly sensitive to input quality, yet existing studies lack a systematic framework to evaluate the impact of high-frequency noise based on hydrological characteristics. To address this, we propose a frequency-based framework to assess the robustness [...] Read more.
The performance of deep learning-based hydrological forecasting is highly sensitive to input quality, yet existing studies lack a systematic framework to evaluate the impact of high-frequency noise based on hydrological characteristics. To address this, we propose a frequency-based framework to assess the robustness of LSTM runoff prediction models. We define three hydrologically meaningful noise types—long-term trend, short-term event, and transient interference—and employ a synthetic noise injection strategy on the CAMELS dataset. Furthermore, we introduce an adaptive exponentially weighted moving average (AEWMA) algorithm that dynamically adjusts smoothing based on local signal variability. Results from dual-domain evaluation (time and frequency) indicate that model accuracy deteriorates significantly when high-frequency noise exceeds 30% of the total signal energy. Moderate adaptive smoothing (e.g., α=0.9&0.6) effectively preserves hydrological signals while mitigating performance loss, whereas aggressive smoothing suppresses meaningful variations. This study underscores the necessity of noise-type-specific preprocessing and suggests spectral energy ratios as quantitative thresholds for adaptive data quality control in hydrological modeling workflows. Full article
(This article belongs to the Section Water Resources Management, Policy and Governance)
Show Figures

Figure 1

25 pages, 3863 KB  
Article
Tidal Dynamics Shaped the Dissolved Organic Carbon Fate and Exchange Flux Across Estuary-Coastal Water Continuum in Zhanjiang Bay, China
by Xiao-Ling Chen, Peng Zhang, Ying-Xian He, Lin Zhou and Ji-Biao Zhang
J. Mar. Sci. Eng. 2026, 14(2), 123; https://doi.org/10.3390/jmse14020123 - 7 Jan 2026
Viewed by 477
Abstract
Dissolved organic matter (DOM) is central to biogeochemical cycles in estuarine-coastal zones, with its source-sink dynamics linking regional ecological functions to global carbon budgets. As a typical semi-enclosed bay in southern China, Zhanjiang Bay (ZJB) features intense tidal mixing and significant seasonal runoff [...] Read more.
Dissolved organic matter (DOM) is central to biogeochemical cycles in estuarine-coastal zones, with its source-sink dynamics linking regional ecological functions to global carbon budgets. As a typical semi-enclosed bay in southern China, Zhanjiang Bay (ZJB) features intense tidal mixing and significant seasonal runoff variations, making it a representative system for understanding DOM dynamics in complex land–sea interaction zones. The migration of dissolved organic carbon (DOC) is crucial for bay carbon budgets, yet its estimation is constrained by land–water interface dynamics and in situ observation limitations. To clarify the regulation of DOM’s fate and exchange flux in ZJB, this study integrated in situ observations, ultraviolet spectroscopy, and three-dimensional fluorescence techniques to analyze DOM tidal dynamics and net DOC exchange flux. Results indicated terrestrial runoff dominated rainy-season DOC sources, resulting in slightly higher concentrations (1.86 ± 0.46 mg·L−1) compared to the dry season (1.82 ± 0.20 mg·L−1). Terrestrial inputs endowed rainy-season DOM with high molecular weight and aromaticity, with microbial humic substances (C2) accounting for 36%. Tidal fluctuations affected DOC via water exchange: ebb tides diluted concentrations with low-DOC open-ocean seawater, while flood tides increased them through high-DOC bay water discharge. Dry-season DOM relied on in situ biotransformation, characterized by low molecular weight and aromaticity, with the protein-like fraction (C4) accounting for 24.3%. Fluorescence index (FI = 1.77–1.79) confirmed DOM as a mixture of allochthonous and autochthonous sources, with significant in situ contributions and weak humification. Net DOC exchange flux, regulated by terrestrial runoff, was 3.6–4.6 times higher in the rainy season, decreasing from the estuary to the coast. In conclusion, the joint regulation of terrestrial runoff-driven seasonal dynamics and tidal water exchange governs ZJB’s DOM dynamics, providing valuable insights for biogeochemical research in semi-enclosed bays. Full article
(This article belongs to the Special Issue Selected Feature Papers in Marine Environmental Science)
Show Figures

Figure 1

16 pages, 2874 KB  
Article
Spatio-Temporal Variation in Water Quality in Urban Lakes and Land Use Driving Impact: A Case Study of Wuhan
by Yanfeng He, Hui Zhang, Qiang Chen and Xiang Zhang
Water 2026, 18(2), 153; https://doi.org/10.3390/w18020153 - 7 Jan 2026
Viewed by 350
Abstract
Urban lakes, as critical components of urban ecosystems, provide essential ecological services but face water quality deterioration due to rapid urbanization and associated land use changes. This study investigated the temporal and spatial characteristics and evolution mechanisms of water quality in Wuhan city [...] Read more.
Urban lakes, as critical components of urban ecosystems, provide essential ecological services but face water quality deterioration due to rapid urbanization and associated land use changes. This study investigated the temporal and spatial characteristics and evolution mechanisms of water quality in Wuhan city lakes, with a focus on the Great East Lake basin (GELB), a typical urban lake cluster in the middle Yangtze River basin. By integrating monthly water quality monitoring data (2017–2023) with high-resolution land use data (2020), we employed the Water Quality Index (WQI), Spearman correlation analysis, and Redundancy Analysis (RDA) to assess water quality and the impact of land use on major pollutants. The results revealed significant spatial heterogeneity: Sha Lake (SL) exhibited the best water quality, while Yangchun Lake (YCL) and North Lake (NL) showed the worst conditions. Seasonal variations in water quality were observed, influenced by the ecological functions of lakes and surrounding land use. Notably, understanding these seasonal dynamics provides insights into nutrient cycle operations and their effective management under varying climatic conditions. In addition, the correlation between chlorophyll-a concentration and nutrient elements in urban lakes was not consistent, with some lakes showing significant negative correlations. The water quality of urban lakes is influenced by both land use and human management. Land use analysis indicated high impervious surfaces in East Lake (EL), SL, and YCL exacerbated runoff-driven nutrient loads, the nitrogen elevation from agricultural runoff of Yan East Lake (YEL) and NL’s pollution from historical industrial discharge. This study highlights the urgent need for targeted water management strategies to mitigate the impact of urbanization on water quality and provide a scientific basis for effective governance and ecological restoration in rapidly urbanizing areas around the world. By adopting an integrated approach combining water quality assessments with land use data, this research offers valuable insights for sustainable urban lake management. Full article
(This article belongs to the Section Water Quality and Contamination)
Show Figures

Figure 1

23 pages, 2795 KB  
Article
A Bio-Inspired Approach to Sustainable Building Design Optimization: Multi-Objective Flow Direction Algorithm with One-Hot Encoding
by Ahmet Serhan Canbolat and Emre İsa Albak
Biomimetics 2026, 11(1), 31; https://doi.org/10.3390/biomimetics11010031 - 2 Jan 2026
Viewed by 548
Abstract
The urgent need for sustainable building design calls for advanced optimization methods that simultaneously address economic and environmental objectives, particularly those involving mixed discrete-continuous variables such as insulation material, heating source, and insulation thickness. While nature-inspired metaheuristics have shown promise in engineering optimization, [...] Read more.
The urgent need for sustainable building design calls for advanced optimization methods that simultaneously address economic and environmental objectives, particularly those involving mixed discrete-continuous variables such as insulation material, heating source, and insulation thickness. While nature-inspired metaheuristics have shown promise in engineering optimization, their application to building envelope design remains limited, especially in handling discrete choices efficiently within a multi-objective framework. Inspired by the natural process of rainwater runoff and drainage basin dynamics, this study presents a novel hybrid approach integrating the Multi-Purpose Flow Direction Algorithm (MOFDA) with One-Hot Encoding to optimize external wall insulation. This bio-inspired algorithm mimics how water seeks optimal paths across terrain, enabling effective navigation of complex design spaces with both categorical and continuous variables. The model aims to minimize total lifecycle costs and CO2 emissions across Türkiye’s six updated climatic regions. Pareto-optimal solutions are created using MOFDA, after which the Complex Proportional Assessment (COPRAS) method, weighted by Shannon Entropy, selects the most balanced designs. The results reveal significant climate-dependent variations: in the warmest region, the cost-optimal thickness is 3.3 cm (Rock Wool), while the emission-optimal reaches 17.3 cm (Glass Wool). In colder regions, emission-driven scenarios consistently require up to 40 cm insulation, indicating a practical limit of current materials. Under balanced weighting, fuel preferences shift from LPG in milder climates to Fuel Oil in harsher climates. Notably, Shannon Entropy assigned a weight of 88–92% to emissions due to their wider variability across the Pareto front, underscoring the environmental priority in data-driven decisions. This study demonstrates that the bio-inspired MOFDA framework, enhanced with One-Hot Encoding, effectively handles mixed discrete-continuous optimization and provides a robust, climate-aware decision tool for sustainable building design, reinforcing the value of translating natural flow processes into engineering solutions. Full article
Show Figures

Graphical abstract

21 pages, 11034 KB  
Article
Refinement Assessment of Soil Conservation Service and Analysis of Its Trade-Off/Synergy with Other Key Services in the Guizhou Plateau Based on Satellite-UAV-Ground Systems
by Linan Niu, Quanqin Shao and Meiqi Chen
Remote Sens. 2026, 18(1), 93; https://doi.org/10.3390/rs18010093 - 26 Dec 2025
Viewed by 272
Abstract
The Guizhou Plateau, with the most extensive and representative karst landforms worldwide, is characterized by severe soil erosion and a highly fragile ecological environment. However, large-scale assessments of soil conservation services in this region remain limited. A key challenge lies in identifying appropriate [...] Read more.
The Guizhou Plateau, with the most extensive and representative karst landforms worldwide, is characterized by severe soil erosion and a highly fragile ecological environment. However, large-scale assessments of soil conservation services in this region remain limited. A key challenge lies in identifying appropriate datasets and methodologies for regional-scale soil conservation service evaluations, particularly under conditions of data scarcity or limited data accuracy. In this study, Unmanned Aerial Vehicle imagery, runoff plot observations, ground survey data, and multi-source satellite remote sensing data were integrated to refine LS and C in the Revised Universal Soil Loss Equation (RUSLE), thereby establishing a parameterized and localized soil erosion model. This improvement provided a methodological foundation for soil conservation service research in the region. Subsequently, the spatiotemporal variations in soil conservation services in the Guizhou Plateau over the past two decades were assessed. Furthermore, the relationships between soil conservation services and other key ecosystem services, including water conservation and carbon sequestration, were quantitatively examined, and the driving factors were analyzed. Soil conservation on the Guizhou Plateau exhibited an improving trend from 2000 to 2020. In karst areas, the relationship between soil conservation and water conservation was primarily influenced by temperature, altitude, and vegetation coverage, whereas in non-karst areas, it was regulated by rainfall and slope. Ecological restoration projects have enhanced the synergy between soil conservation and carbon sequestration by promoting vegetation cover. These findings could contribute to the next stage of ecological engineering initiatives and ecological policy implementation in Guizhou. Full article
(This article belongs to the Section Ecological Remote Sensing)
Show Figures

Graphical abstract

21 pages, 2107 KB  
Article
A High-Precision Daily Runoff Prediction Model for Cross-Border Basins: RPSEMD-IMVO-CSAT Based on Multi-Scale Decomposition and Parameter Optimization
by Tianming He, Yilin Yang, Zheng Wang, Zongzheng Mo and Chu Zhang
Water 2026, 18(1), 48; https://doi.org/10.3390/w18010048 - 23 Dec 2025
Viewed by 450
Abstract
As the last critical hydrological control station on the Lancang River before it flows out of China, the daily runoff variations at the Yunjinghong Hydrological Station are directly linked to agricultural irrigation, hydropower development, and ecological security in downstream Mekong River riparian countries [...] Read more.
As the last critical hydrological control station on the Lancang River before it flows out of China, the daily runoff variations at the Yunjinghong Hydrological Station are directly linked to agricultural irrigation, hydropower development, and ecological security in downstream Mekong River riparian countries such as Laos, Myanmar, and Thailand. Aiming at the core issues of the runoff sequence in the Lancang–Mekong Basin, which is characterized by prominent nonlinearity, non-stationarity, and coupling of multi-scale features, this study proposes a synergistic prediction framework of “multi-scale decomposition-model improvement-parameter optimization”. Firstly, Regenerated Phase-Shifted Sine-Assisted Empirical Mode Decomposition (RPSEMD) is adopted to adaptively decompose the daily runoff data. On this basis, a Convolutional Sparse Attention Transformer (CSAT) model is constructed. A one-dimensional convolutional neural network (1D-CNN) module is embedded in the input layer to enhance local feature perception, making up for the deficiency of traditional Transformers in capturing detailed information. Meanwhile, the sparse attention mechanism replaces the multi-head attention, realizing efficient focusing on key time-step correlations and reducing computational costs. Additionally, an Improved Multi-Verse Optimizer (IMVO) is introduced, which optimizes the hyperparameters of CSAT through a spiral update mechanism, exponential Travel Distance Rate (T_DR), and adaptive compression factor, thereby improving the model’s accuracy in capturing short-term abrupt patterns such as flood peaks and drought transition points. Experiments are conducted using measured daily runoff data from 2010 to 2022, and the proposed model is compared with mainstream models such as LSTM, GRU, and standard Transformer. The results show that the RPSEMD-IMVO-CSAT model reduces the Mean Absolute Error (MAE) and Root Mean Square Error (RMSE) by 15.3–28.7% and 18.6–32.4%, respectively, compared with the comparative models. Full article
Show Figures

Figure 1

22 pages, 1518 KB  
Article
Trends in Surface Water Quality and Trophic State in the Yucatán Peninsula over the Last Decade
by Plutarco Hernández-Hernández, Laura Macario-González, Noel O. Cohuo-Zaragoza, Sergio Cohuo, Juan R. Beltrán-Castro, Lucía Montes-Ortiz, Leopoldo Q. Cutz-Pool and Christian M. Huix
Hydrology 2026, 13(1), 6; https://doi.org/10.3390/hydrology13010006 - 23 Dec 2025
Viewed by 2211
Abstract
Urbanization, expanding tourism, and infrastructure development are altering water quality in the Yucatán Peninsula (YP). This study evaluated temporal variations in water quality and trophic status using the Water Quality Index (WQI) and Trophic State Index (TSI) across ten inland water systems (IWS) [...] Read more.
Urbanization, expanding tourism, and infrastructure development are altering water quality in the Yucatán Peninsula (YP). This study evaluated temporal variations in water quality and trophic status using the Water Quality Index (WQI) and Trophic State Index (TSI) across ten inland water systems (IWS) monitored from 2012 to 2024. Spatial patterns from an additional 29 IWS sampled in 2024 were also analyzed. The Mann–Kendall test and Theil–Sen estimator revealed a significant decline in water quality (Z = −9.07, β = −2.62) and a sustained increase in eutrophication (Z = 4.00, β = 1.15). The NMDS separated two lake groups: one with high nutrients and total coliforms, and another with elevated TDS and conductivity. The PCA identified turbidity, nitrogen, chlorophyll-a, and total coliforms as variables exerting the strongest influence on water variability. The WQI indicated generally poor conditions except in Bacalar Centro and Xul-Ha, which showed fair quality. The highest TSI values occurred in inland systems, except for La Sabana, which exhibited hypereutrophic conditions linked to wastewater inputs. NT–PT ratio indicated nitrogen limitation in most lakes, likely driven by groundwater recharge and low surface runoff. Overall, results demonstrate a progressive decline in water quality and widespread eutrophication across the YP. Full article
Show Figures

Figure 1

Back to TopTop