Sign in to use this feature.

Years

Between: -

Subjects

remove_circle_outline
remove_circle_outline
remove_circle_outline
remove_circle_outline
remove_circle_outline
remove_circle_outline
remove_circle_outline
remove_circle_outline
remove_circle_outline

Journals

remove_circle_outline
remove_circle_outline
remove_circle_outline
remove_circle_outline
remove_circle_outline
remove_circle_outline
remove_circle_outline
remove_circle_outline
remove_circle_outline
remove_circle_outline

Article Types

Countries / Regions

remove_circle_outline
remove_circle_outline
remove_circle_outline
remove_circle_outline
remove_circle_outline

Search Results (1,771)

Search Parameters:
Keywords = robot dynamic performance

Order results
Result details
Results per page
Select all
Export citation of selected articles as:
61 pages, 7462 KB  
Article
An Integrated Cyber-Physical Digital Twin Architecture with Quantitative Feedback Theory Robust Control for NIS2-Aligned Industrial Robotics
by Vesela Karlova-Sergieva, Boris Grasiani and Nina Nikolova
Sensors 2026, 26(2), 613; https://doi.org/10.3390/s26020613 - 16 Jan 2026
Abstract
This article presents an integrated framework for robust control and cybersecurity of an industrial robot, combining Quantitative Feedback Theory (QFT), digital twin (DT) technology, and a programmable logic controller–based architecture aligned with the requirements of the NIS2 Directive. The study considers a five-axis [...] Read more.
This article presents an integrated framework for robust control and cybersecurity of an industrial robot, combining Quantitative Feedback Theory (QFT), digital twin (DT) technology, and a programmable logic controller–based architecture aligned with the requirements of the NIS2 Directive. The study considers a five-axis industrial manipulator modeled as a set of decoupled linear single-input single-output systems subject to parametric uncertainty and external disturbances. For position control of each axis, closed-loop robust systems with QFT-based controllers and prefilters are designed, and the dynamic behavior of the system is evaluated using predefined key performance indicators (KPIs), including tracking errors in joint space and tool space, maximum error, root-mean-square error, and three-dimensional positional deviation. The proposed architecture executes robust control algorithms in the MATLAB/Simulink environment, while a programmable logic controller provides deterministic communication, time synchronization, and secure data exchange. The synchronized digital twin, implemented in the FANUC ROBOGUIDE environment, reproduces the robot’s kinematics and dynamics in real time, enabling realistic hardware-in-the-loop validation with a real programmable logic controller. This work represents one of the first architectures that simultaneously integrates robust control, real programmable logic controller-based execution, a synchronized digital twin, and NIS2-oriented mechanisms for observability and traceability. The conducted simulation and digital twin-based experimental studies under nominal and worst-case dynamic models, as well as scenarios with externally applied single-axis disturbances, demonstrate that the system maintains robustness and tracking accuracy within the prescribed performance criteria. In addition, the study analyzes how the proposed architecture supports the implementation of key NIS2 principles, including command traceability, disturbance resilience, access control, and capabilities for incident analysis and event traceability in robotic manufacturing systems. Full article
(This article belongs to the Section Sensors and Robotics)
18 pages, 5623 KB  
Article
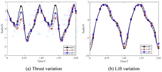
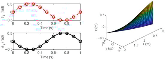
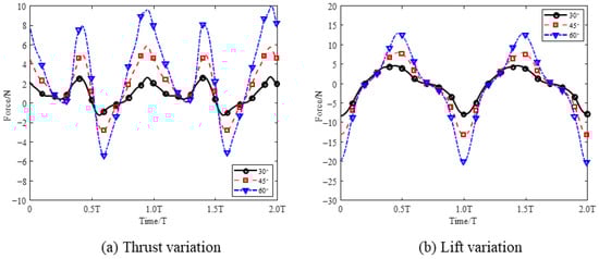
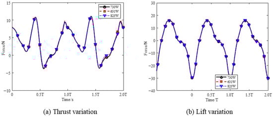
Numerical and Experimental Study of a Bio-Inspired Flapping Wing with Increasing Twist Angle Along the Wingspan
by Mingguang Gong, Jialei Li, Xuanning Zhang, Donghong Ning and Penglei Ma
Machines 2026, 14(1), 102; https://doi.org/10.3390/machines14010102 - 16 Jan 2026
Abstract
Inspired by the movements of sea turtle forelimbs, this study presents a bio-inspired underwater flapping wing with three degrees of freedom. This flapping wing mechanism can more accurately simulate the rotational motion of a sea turtle’s forelimbs to generate greater propulsive force. The [...] Read more.
Inspired by the movements of sea turtle forelimbs, this study presents a bio-inspired underwater flapping wing with three degrees of freedom. This flapping wing mechanism can more accurately simulate the rotational motion of a sea turtle’s forelimbs to generate greater propulsive force. The highlight is the gear transmission mechanism arranged along the wingspan, enabling a preset increasing twist angle along the wingspan. Computational fluid dynamics simulations are conducted to evaluate the hydrodynamic performance of the proposed flapping wing system. The effects of different spanwise twist angles along the wingspan on thrust generation are quantitatively analyzed, as well as the influence of key kinematic parameters, including the longitudinal flapping angle, spanwise increasing twist angle, and elevation angle. The results indicate that, compared with a uniform twist angle, the spanwise increasing twist significantly increases the peak thrust during specific phases of the flapping cycle. It is further revealed by flow field analyses that the formation of vortices near the trailing edge enhances the propulsive force in the streamwise direction. To further validate the proposed concept, a prototype of the mechanism is fabricated and experimentally tested under low-frequency actuation, confirming the feasibility of the mechanical design. Overall, these results demonstrate the potential of the proposed approach for bio-inspired underwater propulsion and provide useful guidance for future flapping wing mechanisms and kinematic design. Full article
(This article belongs to the Section Robotics, Mechatronics and Intelligent Machines)
Show Figures

Figure 1

20 pages, 4891 KB  
Article
Active Inference Modeling of Socially Shared Cognition in Virtual Reality
by Yoshiko Arima and Mahiro Okada
Sensors 2026, 26(2), 604; https://doi.org/10.3390/s26020604 - 16 Jan 2026
Abstract
This study proposes a process model for sharing ambiguous category concepts in virtual reality (VR) using an active inference framework. The model executes a dual-layer Bayesian update after observing both self and partner actions and predicts actions that minimize free energy. To incorporate [...] Read more.
This study proposes a process model for sharing ambiguous category concepts in virtual reality (VR) using an active inference framework. The model executes a dual-layer Bayesian update after observing both self and partner actions and predicts actions that minimize free energy. To incorporate agreement-seeking with others into active inference, we added disagreement in category judgments as a risk term in the free energy, weighted by gaze synchrony measured using Dynamic Time Warping (DTW), which is assumed to reflect joint attention. To validate the model, an object classification task in VR including ambiguous items was created. The experiment was conducted first under a bot avatar condition, in which ambiguous category judgments were always incorrect, and then under a human–human pair condition. This design allowed verification of the collaborative learning process by which human pairs reached agreement from the same degree of ambiguity. Analysis of experimental data from 14 participants showed that the model achieved high prediction accuracy for observed values as learning progressed. Introducing gaze synchrony weighting (γ00.5) further improved prediction accuracy, yielding optimal performance. This approach provides a new framework for modeling socially shared cognition using active inference in human–robot interaction contexts. Full article
Show Figures

Figure 1

24 pages, 39327 KB  
Article
Forest Surveying with Robotics and AI: SLAM-Based Mapping, Terrain-Aware Navigation, and Tree Parameter Estimation
by Lorenzo Scalera, Eleonora Maset, Diego Tiozzo Fasiolo, Khalid Bourr, Simone Cottiga, Andrea De Lorenzo, Giovanni Carabin, Giorgio Alberti, Alessandro Gasparetto, Fabrizio Mazzetto and Stefano Seriani
Machines 2026, 14(1), 99; https://doi.org/10.3390/machines14010099 - 14 Jan 2026
Viewed by 90
Abstract
Forest surveying and inspection face significant challenges due to unstructured environments, variable terrain conditions, and the high costs of manual data collection. Although mobile robotics and artificial intelligence offer promising solutions, reliable autonomous navigation in forest, terrain-aware path planning, and tree parameter estimation [...] Read more.
Forest surveying and inspection face significant challenges due to unstructured environments, variable terrain conditions, and the high costs of manual data collection. Although mobile robotics and artificial intelligence offer promising solutions, reliable autonomous navigation in forest, terrain-aware path planning, and tree parameter estimation remain open challenges. In this paper, we present the results of the AI4FOREST project, which addresses these issues through three main contributions. First, we develop an autonomous mobile robot, integrating SLAM-based navigation, 3D point cloud reconstruction, and a vision-based deep learning architecture to enable tree detection and diameter estimation. This system demonstrates the feasibility of generating a digital twin of forest while operating autonomously. Second, to overcome the limitations of classical navigation approaches in heterogeneous natural terrains, we introduce a machine learning-based surrogate model of wheel–soil interaction, trained on a large synthetic dataset derived from classical terramechanics. Compared to purely geometric planners, the proposed model enables realistic dynamics simulation and improves navigation robustness by accounting for terrain–vehicle interactions. Finally, we investigate the impact of point cloud density on the accuracy of forest parameter estimation, identifying the minimum sampling requirements needed to extract tree diameters and heights. This analysis provides support to balance sensor performance, robot speed, and operational costs. Overall, the AI4FOREST project advances the state of the art in autonomous forest monitoring by jointly addressing SLAM-based mapping, terrain-aware navigation, and tree parameter estimation. Full article
Show Figures

Figure 1

28 pages, 30101 KB  
Article
Machine Learning-Driven Soil Fungi Identification Using Automated Imaging Techniques
by Karol Struniawski, Ryszard Kozera, Aleksandra Konopka, Lidia Sas-Paszt and Agnieszka Marasek-Ciolakowska
Appl. Sci. 2026, 16(2), 855; https://doi.org/10.3390/app16020855 - 14 Jan 2026
Viewed by 43
Abstract
Soilborne fungi (Fusarium, Trichoderma, Verticillium, Purpureocillium) critically impact agricultural productivity, disease dynamics, and soil health, requiring rapid identification for precision agriculture. Current diagnostics require labor-intensive microscopy or expensive molecular assays (up to 10 days), while existing ML studies [...] Read more.
Soilborne fungi (Fusarium, Trichoderma, Verticillium, Purpureocillium) critically impact agricultural productivity, disease dynamics, and soil health, requiring rapid identification for precision agriculture. Current diagnostics require labor-intensive microscopy or expensive molecular assays (up to 10 days), while existing ML studies suffer from small datasets (<500 images), expert selection bias, and lack of public availability. A fully automated identification system integrating robotic microscopy (Keyence VHX-700) with deep learning was developed. The Soil Fungi Microscopic Images Dataset (SFMID) comprises 20,151 images (11,511 no-water, 8640 water-based)—the largest publicly available soil fungi dataset. Four CNN architectures (InceptionResNetV2, ResNet152V2, DenseNet121, DenseNet201) were evaluated with transfer learning and three-shot majority voting. Grad-CAM analysis validated biological relevance. ResNet152V2 conv2 achieved optimal SFMID-NW performance (precision: 0.6711; AUC: 0.8031), with real-time inference (20 ms, 48–49 images/second). Statistical validation (McNemar’s test: χ2=27.34,p<0.001) confirmed that three-shot classification significantly outperforms single-image prediction. Confusion analysis identified Fusarium–Trichoderma (no-water) and Fusarium–Verticillium (water-based) challenges, indicating morphological ambiguities. The publicly available SFMID provides a scalable foundation for AI-enhanced agricultural diagnostics. Full article
(This article belongs to the Special Issue Latest Research on Computer Vision and Image Processing)
Show Figures

Figure 1

21 pages, 2324 KB  
Article
A Seamless Mode Switching Control Method for Independent Metering Controlled Hydraulic Actuator
by Yixin Liu, Jiaqi Li and Dacheng Cong
Technologies 2026, 14(1), 63; https://doi.org/10.3390/technologies14010063 - 14 Jan 2026
Viewed by 120
Abstract
Hydraulic manipulators are vital for heavy-duty applications such as rescue robotics due to their high power density, yet these scenarios increasingly demand safe and compliant physical interaction. Impedance control is a key enabling technology for such capabilities. However, a significant challenge arises when [...] Read more.
Hydraulic manipulators are vital for heavy-duty applications such as rescue robotics due to their high power density, yet these scenarios increasingly demand safe and compliant physical interaction. Impedance control is a key enabling technology for such capabilities. However, a significant challenge arises when implementing impedance control on Independent Metering Systems (IMS), which are widely adopted for their energy efficiency. The inherent multi-mode operation of IMS relies on discrete switching logic. Crucially, when mode switching occurs during physical interaction with the environment, the unpredictable external forces can trigger frequent and abrupt switching between operating modes (e.g., resistive and overrunning), leading to severe chattering. This phenomenon not only undermines the smooth interaction that impedance control aims to achieve but also jeopardizes overall system stability. To address this critical issue, this paper proposes a seamless control framework based on a Takagi–Sugeno (T-S) fuzzy model. Two premise variables based on the physical characteristics of the system are innovatively designed to make the rule division highly consistent with the dynamic nature of the system. Asymmetric membership functions are introduced to handle direction-dependent switching, with orthogonal functions ensuring logical exclusivity between extension and retraction, and smooth complementary functions enabling seamless transitions between resistance and overrunning modes. Experimental validation on a small hydraulic manipulator validates the effectiveness of the proposed method. The controller eliminates switching-induced instability and smooths velocity transitions, even under dynamic external force disturbances. This work provides a crucial solution for high-performance, stable hydraulic interaction control, paving the way for the application of hydraulic robots in complex and dynamic environments. Full article
Show Figures

Figure 1

18 pages, 11774 KB  
Article
Retrieval Augment: Robust Path Planning for Fruit-Picking Robot Based on Real-Time Policy Reconstruction
by Binhao Chen, Shuo Zhang, Zichuan He and Liang Gong
Sustainability 2026, 18(2), 829; https://doi.org/10.3390/su18020829 - 14 Jan 2026
Viewed by 61
Abstract
The working environment of fruit-picking robots is highly complex, involving numerous obstacles such as branches. Sampling-based algorithms like Rapidly Exploring Random Trees (RRTs) are faster but suffer from low success rates and poor path quality. Deep reinforcement learning (DRL) has excelled in high-degree-of-freedom [...] Read more.
The working environment of fruit-picking robots is highly complex, involving numerous obstacles such as branches. Sampling-based algorithms like Rapidly Exploring Random Trees (RRTs) are faster but suffer from low success rates and poor path quality. Deep reinforcement learning (DRL) has excelled in high-degree-of-freedom (DOF) robot path planning, but typically requires substantial computational resources and long training cycles, which limits its applicability in resource-constrained and large-scale agricultural deployments. However, picking robot agents trained by DRL underperform because of the complexity and dynamics of the picking scenes. We propose a real-time policy reconstruction method based on experience retrieval to augment an agent trained by DRL. The key idea is to optimize the agent’s policy during inference rather than retraining, thereby reducing training cost, energy consumption, and data requirements, which are critical factors for sustainable agricultural robotics. We first use Soft Actor–Critic (SAC) to train the agent with simple picking tasks and less episodes. When faced with complex picking tasks, instead of retraining the agent, we reconstruct its policy by retrieving experience from similar tasks and revising action in real time, which is implemented specifically by real-time action evaluation and rejection sampling. Overall, the agent evolves into an augment agent through policy reconstruction, enabling it to perform much better in complex tasks with narrow passages and dense obstacles than the original agent. We test our method both in simulation and in the real world. Results show that the augment agent outperforms the original agent and sampling-based algorithms such as BIT* and AIT* in terms of success rate (+133.3%) and path quality (+60.4%), demonstrating its potential to support reliable, scalable, and sustainable fruit-picking automation. Full article
(This article belongs to the Section Sustainable Agriculture)
Show Figures

Figure 1

18 pages, 5990 KB  
Article
Research on Gait Planning for Wind Turbine Blade Climbing Robots Based on Variable-Cell Mechanisms
by Hao Lu, Guanyu Wang, Wei Zhang, Mingyang Shao and Xiaohua Shi
Sensors 2026, 26(2), 547; https://doi.org/10.3390/s26020547 - 13 Jan 2026
Viewed by 163
Abstract
To address the complex surface curvature, massive dimensions, and variable pitch angles of wind turbine blades, this paper proposes a climbing robot design based on a variable-cell mechanism. By dynamically adjusting the support span and body posture, the robot adapts to the geometric [...] Read more.
To address the complex surface curvature, massive dimensions, and variable pitch angles of wind turbine blades, this paper proposes a climbing robot design based on a variable-cell mechanism. By dynamically adjusting the support span and body posture, the robot adapts to the geometric features of different blade regions, enabling stable and efficient non-destructive inspection operations. Two reconfigurable configurations—a planar quadrilateral and a regular hexagon—are proposed based on the geometric characteristics of different blade regions. The configuration switching conditions and multi-leg cooperative control mechanisms are investigated. Through static stability margin analysis, the stable gait space and maximum stride length for each configuration are determined, optimizing the robot’s motion performance on surfaces with varying curvature. Simulation and experimental results demonstrate that the proposed multi-configuration gait planning strategy exhibits excellent adaptability and climbing stability across segments of varying curvature. This provides a theoretical foundation and methodological support for the engineering application of robots in wind turbine blade maintenance. Full article
Show Figures

Figure 1

19 pages, 2822 KB  
Article
A New Framework for Job Shop Integrated Scheduling and Vehicle Path Planning Problem
by Ruiqi Li, Jianlin Mao, Xing Wu, Wenna Zhou, Chengze Qian and Haoshuang Du
Sensors 2026, 26(2), 543; https://doi.org/10.3390/s26020543 - 13 Jan 2026
Viewed by 98
Abstract
With the development of manufacturing industry, traditional fixed process processing methods cannot adapt to the changes in workshop operations and the demand for small batches and multiple orders. Therefore, it is necessary to introduce multiple robots to provide a more flexible production mode. [...] Read more.
With the development of manufacturing industry, traditional fixed process processing methods cannot adapt to the changes in workshop operations and the demand for small batches and multiple orders. Therefore, it is necessary to introduce multiple robots to provide a more flexible production mode. Currently, some Job Shop Scheduling Problems with Transportation (JSP-T) only consider job scheduling and vehicle task allocation, and does not focus on the problem of collision free paths between vehicles. This article proposes a novel solution framework that integrates workshop scheduling, material handling robot task allocation, and conflict free path planning between robots. With the goal of minimizing the maximum completion time (Makespan) that includes handling, this paper first establishes an extended JSP-T problem model that integrates handling time and robot paths, and provides the corresponding workshop layout map. Secondly, in the scheduling layer, an improved Deep Q-Network (DQN) method is used for dynamic scheduling to generate a feasible and optimal machining scheduling scheme. Subsequently, considering the robot’s position information, the task sequence is assigned to the robot path execution layer. Finally, at the path execution layer, the Priority Based Search (PBS) algorithm is applied to solve conflict free paths for the handling robot. The optimized solution for obtaining the maximum completion time of all jobs under the condition of conflict free path handling. The experimental results show that compared with algorithms such as PPO, the scheduling algorithm proposed in this paper has improved performance by 9.7% in Makespan, and the PBS algorithm can obtain optimized paths for multiple handling robots under conflict free conditions. The framework can handle scheduling, task allocation, and conflict-free path planning in a unified optimization process, which can adapt well to job changes and then flexible manufacturing. Full article
Show Figures

Figure 1

16 pages, 2197 KB  
Article
Machine Learning and Operator-Based Nonlinear Internal Model Control Design for Soft Robotic Finger Using Robust Right Coprime Factorization
by Zizhen An and Mingcong Deng
Appl. Sci. 2026, 16(2), 808; https://doi.org/10.3390/app16020808 - 13 Jan 2026
Viewed by 70
Abstract
Currently, machine learning (ML) methods provide a practical approach to model complex systems. Unlike purely analytical models, ML methods can describe the uncertainties (e.g., hysteresis, temperature effects) that are difficult to deal with, potentially yielding higher-precision dynamics by a learning plant given a [...] Read more.
Currently, machine learning (ML) methods provide a practical approach to model complex systems. Unlike purely analytical models, ML methods can describe the uncertainties (e.g., hysteresis, temperature effects) that are difficult to deal with, potentially yielding higher-precision dynamics by a learning plant given a high-volume dataset. However, employing learning plants that lack explicit mathematical representations in real-time control remains challenging, namely, the model can be conversely looked at as a mapping from input data to output, and it is difficult to represent the corresponding time relationships in real applications. Hence, an ML and operator-based nonlinear control design is proposed in this paper. In this new framework, the bounded input/output spaces of the learning plant are addressed rather than mathematical dynamic formulation, which is realized by robust right coprime factorization (RRCF). While the stabilized learning plant is explored by RRCF, the desired tracking performance is also considered by an operator-based nonlinear internal model control (IMC) design. Eventually, practical application on a soft robotic finger system is conducted, which indicates the better performance of using the controlled learning plant and the feasibility of the proposed framework. Full article
(This article belongs to the Special Issue New Topics on System Learning and Control and Its Applications)
Show Figures

Figure 1

21 pages, 2930 KB  
Article
Robust Model Predictive Control with a Dynamic Look-Ahead Re-Entry Strategy for Trajectory Tracking of Differential-Drive Robots
by Diego Guffanti, Moisés Filiberto Mora Murillo, Santiago Bustamante Sanchez, Javier Oswaldo Obregón Gutiérrez, Marco Alejandro Hinojosa, Alberto Brunete, Miguel Hernando and David Álvarez
Sensors 2026, 26(2), 520; https://doi.org/10.3390/s26020520 - 13 Jan 2026
Viewed by 65
Abstract
Accurate trajectory tracking remains a central challenge in differential-drive mobile robots (DDMRs), particularly when operating under real-world conditions. Model Predictive Control (MPC) provides a powerful framework for this task, but its performance degrades when the robot deviates significantly from the nominal path. To [...] Read more.
Accurate trajectory tracking remains a central challenge in differential-drive mobile robots (DDMRs), particularly when operating under real-world conditions. Model Predictive Control (MPC) provides a powerful framework for this task, but its performance degrades when the robot deviates significantly from the nominal path. To address this limitation, robust recovery mechanisms are required to ensure stable and precise tracking. This work presents an experimental validation of an MPC controller applied to a four-wheel DDMR, whose odometry is corrected by a SLAM algorithm running in ROS 2. The MPC is formulated as a quadratic program with state and input constraints on linear (v) and angular (ω) velocities, using a prediction horizon of Np=15 future states, adjusted to the computational resources of the onboard computer. A novel dynamic look-ahead re-entry strategy is proposed, which activates when the robot exits a predefined lateral error band (δ=0.05 m) and interpolates a smooth reconnection trajectory based on a forward look-ahead point, ensuring gradual convergence and avoiding abrupt re-entry actions. Accuracy was evaluated through lateral and heading errors measured via geometric projection onto the nominal path, ensuring fair comparison. From these errors, RMSE, MAE, P95, and in-band percentage were computed as quantitative metrics. The framework was tested on real hardware at 50 Hz through 5 nominal experiments and 3 perturbed experiments. Perturbations consisted of externally imposed velocity commands at specific points along the path, while configuration parameters were systematically varied across trials, including the weight R, smoothing distance Lsmooth, and activation of the re-entry strategy. In nominal conditions, the best configuration (ID 2) achieved a lateral RMSE of 0.05 m, a heading RMSE of 0.06 rad, and maintained 68.8% of the trajectory within the validation band. Under perturbations, the proposed strategy substantially improved robustness. For instance, in experiment ID 6 the robot sustained a lateral RMSE of 0.12 m and preserved 51.4% in-band, outperforming MPC without re-entry, which suffered from larger deviations and slower recoveries. The results confirm that integrating MPC with the proposed re-entry strategy enhances both accuracy and robustness in DDMR trajectory tracking. By combining predictive control with a spatially grounded recovery mechanism, the approach ensures consistent performance in challenging scenarios, underscoring its relevance for reliable mobile robot navigation in uncertain environments. Full article
(This article belongs to the Section Sensors and Robotics)
Show Figures

Figure 1

23 pages, 5112 KB  
Article
Trajectory Tracking of a Mobile Robot in Underground Roadways Based on Hierarchical Model Predictive Control
by Chuanwei Wang, Zhihao Liu, Siya Sun, Zhenwu Wang, Kexiang Ma, Qinghua Mao, Xusheng Xue, Xi Chen, Kai Zhao and Tao Hu
Actuators 2026, 15(1), 47; https://doi.org/10.3390/act15010047 - 12 Jan 2026
Viewed by 96
Abstract
Mobile robots conducting inspection tasks in coal-mine roadways and operating in complex underground environments are often subjected to demanding conditions such as low adhesion, uneven friction distribution, and localized slippery surfaces. These challenges are significant, predisposing the robots to trajectory deviation and posture [...] Read more.
Mobile robots conducting inspection tasks in coal-mine roadways and operating in complex underground environments are often subjected to demanding conditions such as low adhesion, uneven friction distribution, and localized slippery surfaces. These challenges are significant, predisposing the robots to trajectory deviation and posture instability, thereby presenting substantial obstacles to high-precision tracking control. The primary innovation of this study lies in proposing a hierarchical model predictive control (HMPC) strategy, which addresses the challenges through synergistic, kinematic and dynamic optimization. The core contribution is the construction of dual-layer optimization architecture. The upper-layer kinematic MPC generates the desired linear and angular velocities as reference commands. The lower-layer MPC is designed based on a dynamic model that incorporates ground adhesion characteristics, enabling the online computation of optimal driving forces (FL, FR) for the left and right tracks that simultaneously satisfy tracking performance requirements and practical actuation constraints. Simulation results demonstrate that the proposed hierarchical framework significantly outperforms conventional kinematic MPC in terms of steady-state accuracy, response speed, and trajectory smoothness. Experimental validation further confirms that, in environments with low adhesion and localized slippery conditions representative of actual roadways, the proposed method effectively coordinates geometric accuracy with dynamic feasibility. It not only markedly reduces longitudinal and lateral tracking errors but also ensures excellent dynamic stability and reasonable driving force distribution, providing key technical support for reliable operation in complex underground environments. Full article
(This article belongs to the Special Issue Motion Planning, Trajectory Prediction, and Control for Robotics)
Show Figures

Figure 1

28 pages, 9738 KB  
Article
Design and Evaluation of an Underactuated Rigid–Flexible Coupled End-Effector for Non-Destructive Apple Harvesting
by Zeyi Li, Zhiyuan Zhang, Jingbin Li, Gang Hou, Xianfei Wang, Yingjie Li, Huizhe Ding and Yufeng Li
Agriculture 2026, 16(2), 178; https://doi.org/10.3390/agriculture16020178 - 10 Jan 2026
Viewed by 221
Abstract
In response to the growing need for efficient, stable, and non-destructive gripping in apple harvesting robots, this study proposes a novel rigid–flexible coupled end-effector. The design integrates an underactuated mechanism with a real-time force feedback control system. First, compression tests on ‘Red Fuji’ [...] Read more.
In response to the growing need for efficient, stable, and non-destructive gripping in apple harvesting robots, this study proposes a novel rigid–flexible coupled end-effector. The design integrates an underactuated mechanism with a real-time force feedback control system. First, compression tests on ‘Red Fuji’ apples determined the minimum damage threshold to be 24.33 N. A genetic algorithm (GA) was employed to optimize the geometric parameters of the finger mechanism for uniform force distribution. Subsequently, a rigid–flexible coupled multibody dynamics model was established to simulate the grasping of small (70 mm), medium (80 mm), and large (90 mm) apples. Additionally, a harvesting experimental platform was constructed to verify the performance. Results demonstrated that by limiting the contact force of the distal phalange region silicone (DPRS) to 24 N via active feedback, the peak contact forces on the proximal phalange region silicone (PPRS) and middle phalange region silicone (MPRS) were effectively maintained below the damage threshold across all three sizes. The maximum equivalent stress remained significantly below the fruit’s yield limit, ensuring no mechanical damage occurred, with an average enveloping time of approximately 1.30 s. The experimental data showed strong agreement with the simulation, with a mean absolute percentage error (MAPE) of 5.98% for contact force and 5.40% for enveloping time. These results confirm that the proposed end-effector successfully achieves high adaptability and reliability in non-destructive harvesting, offering a valuable reference for agricultural robotics. Full article
(This article belongs to the Section Agricultural Technology)
Show Figures

Figure 1

23 pages, 2766 KB  
Article
Design and Experimental Validation of an Adaptive Robust Control Algorithm for a PAM-Driven Biomimetic Leg Joint System
by Feifei Qin, Zexuan Liu, Yuanjie Xian, Binrui Wang, Qiaoye Zhang and Ye-Hwa Chen
Machines 2026, 14(1), 84; https://doi.org/10.3390/machines14010084 - 9 Jan 2026
Viewed by 182
Abstract
Biomimetic quadruped robots, inspired by the musculoskeletal systems of animals, employ pneumatic artificial muscles (PAMs) as compliant actuators to achieve flexible, efficient, and adaptive locomotion. This study focuses on a pneumatic artificial muscle (PAM)-driven biomimetic leg joints system. First, its kinematic and dynamic [...] Read more.
Biomimetic quadruped robots, inspired by the musculoskeletal systems of animals, employ pneumatic artificial muscles (PAMs) as compliant actuators to achieve flexible, efficient, and adaptive locomotion. This study focuses on a pneumatic artificial muscle (PAM)-driven biomimetic leg joints system. First, its kinematic and dynamic models are established. Next, to address the challenges posed by the strong nonlinearities and complex time-varying uncertainties inherent in PAMs, an adaptive robust control algorithm is proposed by employing the Udwadia controller. Rigorous theoretical analysis of the adaptive robust control algorithm is verified via the Lyapunov stability method. Finally, numerical simulations and hardware experiments are conducted on the PAM-driven biomimetic leg joints system under desired trajectories, where the adaptive robust control algorithm is systematically compared with three conventional control algorithm to evaluate its control performance. The experimental results show that the proposed controller achieves a maximum tracking error of within 0.05 rad for the hip joint and within 0.1 rad, highlighting its strong potential for practical deployment in real-world environments. Full article
Show Figures

Figure 1

22 pages, 416 KB  
Review
A Roadmap of Mathematical Optimization for Visual SLAM in Dynamic Environments
by Hui Zhang, Xuerong Zhao, Ruixue Luo, Ziyu Wang, Gang Wang and Kang An
Mathematics 2026, 14(2), 264; https://doi.org/10.3390/math14020264 - 9 Jan 2026
Viewed by 203
Abstract
The widespread application of robots in complex and dynamic environments demands that Visual SLAM is both robust and accurate. However, dynamic objects, varying illumination, and environmental complexity fundamentally challenge the static world assumptions underlying traditional SLAM methods. This review provides a comprehensive investigation [...] Read more.
The widespread application of robots in complex and dynamic environments demands that Visual SLAM is both robust and accurate. However, dynamic objects, varying illumination, and environmental complexity fundamentally challenge the static world assumptions underlying traditional SLAM methods. This review provides a comprehensive investigation into the mathematical foundations of V-SLAM and systematically analyzes the key optimization techniques developed for dynamic environments, with particular emphasis on advances since 2020. We begin by rigorously deriving the probabilistic formulation of V-SLAM and its basis in nonlinear optimization, unifying it under a Maximum a Posteriori (MAP) estimation framework. We then propose a taxonomy based on how dynamic elements are handled mathematically, which reflects the historical evolution from robust estimation to semantic modeling and then to deep learning. This framework provides detailed analysis of three main categories: (1) robust estimation theory-based methods for outlier rejection, elaborating on the mathematical models of M-estimators and switch variables; (2) semantic information and factor graph-based methods for explicit dynamic object modeling, deriving the joint optimization formulation for multi-object tracking and SLAM; and (3) deep learning-based end-to-end optimization methods, discussing their mathematical foundations and interpretability challenges. This paper delves into the mathematical principles, performance boundaries, and theoretical controversies underlying these approaches, concluding with a summary of future research directions informed by the latest developments in the field. The review aims to provide both a solid mathematical foundation for understanding current dynamic V-SLAM techniques and inspiration for future algorithmic innovations. By adopting a math-first perspective and organizing the field through its core optimization paradigms, this work offers a clarifying framework for both understanding and advancing dynamic V-SLAM. Full article
(This article belongs to the Section E2: Control Theory and Mechanics)
Show Figures

Figure 1

Back to TopTop