Sign in to use this feature.

Years

Between: -

Subjects

remove_circle_outline
remove_circle_outline
remove_circle_outline
remove_circle_outline
remove_circle_outline
remove_circle_outline
remove_circle_outline
remove_circle_outline
remove_circle_outline

Journals

Article Types

Countries / Regions

Search Results (36)

Search Parameters:
Keywords = roadbase

Order results
Result details
Results per page
Select all
Export citation of selected articles as:
24 pages, 4066 KB  
Article
Analysing the Market Value of Land Accommodating Logistics Facilities in the City of Cape Town Municipality, South Africa
by Masilonyane Mokhele
Sustainability 2025, 17(13), 5776; https://doi.org/10.3390/su17135776 - 23 Jun 2025
Viewed by 622
Abstract
The world is characterised by the growing volumes and flow of goods, which, amid benefits to economic development, result in negative externalities affecting the sustainability of cities. Although numerous studies have analysed the locational patterns of logistics facilities in cities, further research is [...] Read more.
The world is characterised by the growing volumes and flow of goods, which, amid benefits to economic development, result in negative externalities affecting the sustainability of cities. Although numerous studies have analysed the locational patterns of logistics facilities in cities, further research is required to examine their real estate patterns and trends. The aim of the paper is, therefore, to analyse the value of land accommodating logistics facilities in the City of Cape Town municipality, South Africa. Given the lack of dedicated geo-spatial data, logistics firms were searched on Google Maps, utilising a combination of aerial photography and street view imagery. Three main attributes of land parcels hosting logistics facilities were thereafter captured from the municipal cadastral information: property extent, street address, and property number. The latter two were used to extract the 2018 and 2022 property market values from the valuation rolls on the municipal website, followed by statistical, spatial, and geographically weighted regression (GWR) analyses. Zones near the central business district and seaport, as well as areas with prime road-based accessibility, had high market values, while those near the railway stations did not stand out. However, GWR yielded weak relationships between market values and the locational variables analysed, arguably showing a disconnect between spatial planning and logistics planning. Towards augmenting sustainable logistics, it is recommended that relevant stakeholders strategically integrate logistics into spatial planning, and particularly revitalise freight rail to attract investment to logistics hubs with direct railway access. Full article
(This article belongs to the Special Issue Sustainable Transport and Land Use for a Sustainable Future)
Show Figures

Figure 1

21 pages, 4833 KB  
Article
Evaluation of Turkey’s Road-Based Greenhouse Gas Inventory and Future Projections
by Şenay Çetin Doğruparmak, Kazım Onur Demirarslan and Samet Volkan Çavuşoğlu
Appl. Sci. 2025, 15(13), 7007; https://doi.org/10.3390/app15137007 - 21 Jun 2025
Viewed by 1509
Abstract
As road traffic in Turkey is a significant source of emissions due to the increasing number of vehicles on the road, the goal of this study is to calculate greenhouse gas emissions from Turkey’s roads between 2010 and 2020, create an inventory, and [...] Read more.
As road traffic in Turkey is a significant source of emissions due to the increasing number of vehicles on the road, the goal of this study is to calculate greenhouse gas emissions from Turkey’s roads between 2010 and 2020, create an inventory, and estimate possible emissions until 2050. In the study, both greenhouse gases (carbon dioxide (CO2) and nitrous oxide (N2O) and co-emitting air pollutants that indirectly contribute to climate change (ammonia—NH3, nitrogen oxide—NOX, sulfur dioxide—SO2, carbon monoxide—CO, non-methane volatile organic compounds—NMVOC, and particulate matter—PM) were investigated. The study revealed that the total number of vehicles using state roads in Turkey increased by 60% between 2010 and 2020. As a result, emissions of CO2, N2O, NH3, NOX, SO2, CO, NMVOC, and PM increased by 29.6%, 24.2%, 0.5%, 19.9%, 9.9%, 18.2%, 21.5%, and 39.7%, respectively. When emissions were analyzed on a provincial basis, particular attention was drawn to provinces with high levels of urbanization. Based on forecast studies, the total number of vehicles registered for traffic will increase by 105% by 2050. Due to this increase, CO2, N2O, NH3, NOX, SO2, CO, NMVOC, and PM emissions are estimated to increase by 149.17%, 151.78%, 154.39%, 138.95%, 150.97%, 153.09%, 152.09%, and 151.47%, respectively. Full article
(This article belongs to the Section Environmental Sciences)
Show Figures

Figure 1

37 pages, 4962 KB  
Review
Towards a Smart and Transparent Road-Based Vehicle Speed Detection System in Tanzanian Highways: A Review of Methods, Technologies, and Systems
by Kevin T. Njuu, Angela-Aida K. Runyoro and Mussa A. Dida
Future Transp. 2025, 5(2), 45; https://doi.org/10.3390/futuretransp5020045 - 14 Apr 2025
Cited by 1 | Viewed by 1660
Abstract
Accurate and transparent vehicle speed data are crucial for enforcing speed limits and other important applications. However, attaining the required levels of accuracy and transparency remains a challenge that needs to be addressed. The potential for further improvement is brought by technological advancements. [...] Read more.
Accurate and transparent vehicle speed data are crucial for enforcing speed limits and other important applications. However, attaining the required levels of accuracy and transparency remains a challenge that needs to be addressed. The potential for further improvement is brought by technological advancements. To address this, it is necessary to understand the current developments in speed detection methods, technologies used in speed detection systems, and challenges of existing systems. This work reviews vehicle speed detection methods and provides a guideline for selecting an appropriate method. This work also reviews technologies for implementing smart systems and proposes an integrated approach for enhancing intelligence, interconnection, and transparency. Not only this, but this work also evaluates existing vehicle speed detection systems and highlights the need for further research. Furthermore, this work proposes a conceptual framework that integrates the Internet of Things, Artificial Intelligence, cloud computing, and blockchain technologies to enhance vehicle speed detection systems, particularly for developing countries. The Internet of Things facilitates data collection and transmission, ensuring system interconnectivity, while Artificial Intelligence is used for data pre-processing in cloud computing to improve system intelligence and scalability. Meanwhile, blockchain guarantees data security and transparency. A proof-of-concept demonstrator was implemented to validate the proposed conceptual framework. Evaluation results demonstrate an auspicious performance regarding end-to-end data delivery and transmission latency. This work provides both theoretical and practical insights regarding smart and transparent vehicle speed detection systems. Full article
Show Figures

Figure 1

15 pages, 7546 KB  
Article
Deterministic Light Detection and Ranging (LiDAR)-Based Obstacle Detection in Railways Using Data Fusion
by Susana Dias, Pedro J. S. C. P. Sousa, João Nunes, Francisco Afonso, Nuno Viriato, Paulo J. Tavares and Pedro M. G. P. Moreira
Appl. Sci. 2025, 15(6), 3118; https://doi.org/10.3390/app15063118 - 13 Mar 2025
Viewed by 1664
Abstract
Rail travel is one of the safest means of transportation, with increasing usage in recent years. One of the major safety concerns in the railway relates to intrusions. Therefore, the timely detection of obstacles is crucial for ensuring operational safety. This is a [...] Read more.
Rail travel is one of the safest means of transportation, with increasing usage in recent years. One of the major safety concerns in the railway relates to intrusions. Therefore, the timely detection of obstacles is crucial for ensuring operational safety. This is a complex problem with multiple contributing factors, from environmental to psychological. While machine learning (ML) has proven effective in related applications, such as autonomous road-based driving, the railway sector faces unique challenges due to limited image data availability and difficult data acquisition, hindering the applicability of conventional ML methods. To mitigate this, the present study proposes a novel framework leveraging LiDAR technology (Light Detection and Ranging) and previous knowledge to address these data scarcity limitations and enhance obstacle detection capabilities on railways. The proposed framework combines the strengths of long-range LiDAR (capable of detecting obstacles up to 500 m away) and GNSS data, which results in precise coordinates that accurately describe the train’s position relative to any obstacles. Using a data fusion approach, pre-existing knowledge about the track topography is incorporated into the LiDAR data processing pipeline in conjunction with the DBSCAN clustering algorithm to identify and classify potential obstacles based on point cloud density patterns. This step effectively segregates potential obstacles from background noise and track structures. The proposed framework was tested within the operational environment of a CP 2600-2620 series locomotive in a short section of the Contumil-Leixões line. This real-world testing scenario allowed the evaluation of the framework’s effectiveness under realistic operating conditions. The unique advantages of this approach relate to its effectiveness in tackling data scarcity, which is often an issue for other methods, in a way that enhances obstacle detection in railway operations and may lead to significant improvements in safety and operational efficiency within railway networks. Full article
(This article belongs to the Special Issue Interdisciplinary Approaches and Applications of Optics & Photonics)
Show Figures

Graphical abstract

28 pages, 4963 KB  
Review
Recent Advances in Properties and Application Progress of Cement-Based Materials with Iron Tailing
by Xianlei Chao, Chang Han, Cheng Shao, Chenxu Wang, Penghui Wen and Chaohui Wang
Sustainability 2024, 16(23), 10631; https://doi.org/10.3390/su162310631 - 4 Dec 2024
Cited by 2 | Viewed by 1377
Abstract
In the context of the comprehensive green transformation of infrastructure construction, utilizing bulk waste tailings materials, such as iron tailing, in cement-based materials commonly used in the infrastructure sector holds significant practical importance. However, there are differences in the range of iron tailings [...] Read more.
In the context of the comprehensive green transformation of infrastructure construction, utilizing bulk waste tailings materials, such as iron tailing, in cement-based materials commonly used in the infrastructure sector holds significant practical importance. However, there are differences in the range of iron tailings content used in previous studies, and the research results are quite scattered. There has not yet been a recommendation for a reasonable material ratio, which severely restricts the resource utilization of iron tailings in cement-based materials. To effectively guide the design and performance optimization of cement-based materials using iron tailing, recent advances related to iron tailing cement-based materials have been reviewed systematically. The previous studies on the composition design of iron tailing in cement-based materials were summarized, and the effect of iron tailing and cement on the mechanical properties and durability of various cement-based materials were highlighted. The results show that the recommended content of iron tailing sand in concrete is 25–50%. Under this content, the mechanical properties of iron tailing sand concrete increase the most, and it has better drying shrinkage performance and carbonation resistance. For cement stabilized base materials, the recommended content of iron tailing sand is 11–20%. Under this content, its mechanical properties increase significantly, and it also has excellent drying shrinkage and temperature shrinkage performance. The increase in the content of iron tailing stones reduces the mechanical properties of cement stabilized materials. Cement stabilized iron tailing stones can be applied to the roadbase by adjusting the cement content and the content of iron tailing stones. Full article
(This article belongs to the Special Issue Sustainability of Pavement Engineering and Road Materials)
Show Figures

Figure 1

14 pages, 2655 KB  
Article
Study on Mechanical Properties of Road Cement-Stabilized Macadam Base Material Prepared with Construction Waste Recycled Aggregate
by Yingjie Yuan, Xianhu Hu, Kai Wang, Zhi Liu, Mingchen Zhong and Kun Meng
Buildings 2024, 14(9), 2605; https://doi.org/10.3390/buildings14092605 - 23 Aug 2024
Cited by 5 | Viewed by 1306
Abstract
At present, construction waste recycled aggregates only partially replace natural aggregates to prepare road-based materials. This study addressed this limitation and experimentally investigated the mechanical properties of cement-stabilized macadam base materials utilizing a construction waste recycled aggregate. The feasibility of using these raw [...] Read more.
At present, construction waste recycled aggregates only partially replace natural aggregates to prepare road-based materials. This study addressed this limitation and experimentally investigated the mechanical properties of cement-stabilized macadam base materials utilizing a construction waste recycled aggregate. The feasibility of using these raw materials to prepare cement-stabilized macadam bases was established via experimental validation. Subsequently, compaction tests were conducted to ascertain the maximum dry density and optimum moisture content in the mixture. The mechanical characteristics were further examined using unconfined compressive strength tests, analyzing and discussing the influences of varying cement dosages and curing periods on the material strength. The results indicate that the properties of the recycled aggregates satisfied specification requirements, demonstrating satisfactory mechanical properties. The unconfined compressive strength with a 7-day curing period and a 5% cement content fulfilled the technical standards for expressway-grade heavy and extremely heavy traffic, while that with a 6% cement content (with an added curing agent) met these requirements after just 1 day. Additionally, the curing agent enhanced the early strength of the recycled aggregate base material. This study has broken through the technical bottleneck of low content of recycled aggregate, achieved 100% replacement of natural aggregate, and promoted the sustainable development of the industry. Full article
(This article belongs to the Special Issue Carbon-Neutral Infrastructure)
Show Figures

Figure 1

18 pages, 1824 KB  
Article
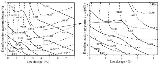
Projection-Pursuit Regression-Based Optimization of Frost Resistance and Mechanical Performance in Alkali-Activated Slag Cement Pavements
by Qi Liu, Di Hu, Qiang Jin, Lin Zhu, Kai Xu, Zhenhao Zhou and Wanzhong Su
Buildings 2024, 14(7), 2034; https://doi.org/10.3390/buildings14072034 - 3 Jul 2024
Cited by 1 | Viewed by 1537
Abstract
In recent years, applying slag micro-powder as a substitute for cement in preparing alkali-activated slag cement stabilized sand (AASCSS) mixtures has become increasingly widespread. In the severe cold regions of Xinjiang, multi-objective optimization of the mechanical and frost resistance properties of AASCSS is [...] Read more.
In recent years, applying slag micro-powder as a substitute for cement in preparing alkali-activated slag cement stabilized sand (AASCSS) mixtures has become increasingly widespread. In the severe cold regions of Xinjiang, multi-objective optimization of the mechanical and frost resistance properties of AASCSS is particularly crucial. This paper adopts slag micro-powder to replace Portland cement, together with lime and desulfurization gypsum as activators, to explore the effects of activator type and dosage on the mechanical and frost-resistance properties of AASCSS. A prediction model for the mechanical and frost-resistance properties of AASCSS based on projection-pursuit regression (PPR) was proposed and established. Using the developed PPR model, contour plots of the comprehensive performance were calculated, simplifying the multi-objective problem into two single-objective problems focusing on mechanical and frost resistance properties for analysis. This method avoids subjective weighting and hypothesis-based modeling. By analyzing the contour plots of comprehensive performance, the optimal performance indices for mechanical and frost–thaw properties and the corresponding types and dosages of activators can be directly determined. When the required 7-day unconfined compressive strength in road engineering is 5.6 MPa, the optimal value of the freeze–thaw performance index (BDR) is 94.08%. At this point, the corresponding lime content is 2.1%, and the desulfurization gypsum content is 3.3%. The research results provide a reference for applying slag to road-based materials. Full article
(This article belongs to the Section Building Materials, and Repair & Renovation)
Show Figures

Figure 1

14 pages, 7165 KB  
Article
A New CPX Drum Test to Obtain Sound Pressure Levels of Tyre Noise for Type Approval
by David Clar-Garcia, Hector Campello-Vicente, Nuria Campillo-Davo, Miguel Sanchez-Lozano and Emilio Velasco-Sanchez
Acoustics 2024, 6(3), 579-592; https://doi.org/10.3390/acoustics6030031 - 28 Jun 2024
Viewed by 1962
Abstract
The primary cause of noise from vehicular traffic while travelling at speeds over 30 km/h is tyre/road interaction. To reduce this noise source, tyre/road sound emissions research has been carried out using different approaches. Most of this research has been centred around track [...] Read more.
The primary cause of noise from vehicular traffic while travelling at speeds over 30 km/h is tyre/road interaction. To reduce this noise source, tyre/road sound emissions research has been carried out using different approaches. Most of this research has been centred around track tests, leading to the development of various track and road-based methods for evaluating tyre/road noise emissions. The CPX (Close-Proximity), along with the CPB (Controlled Pass-By), the CB (Coast-By) and the SPB (Statistical Pass-By), methods are the most common ones. Nevertheless, since Reg. (EC) 1222/2009 came into force, only the CB method, defined in Reg. (EC) 117/2007, can be used to obtain tyre/road noise emission type approval values in Europe. However, current track test methods have important limitations, such as the variability of the results depending on the test track or the test vehicle, the repeatability, the influence of environmental variables or, the main aspect, the limitation of the registered magnitude in these tests, which is the sound pressure level. The Alternative Drum test method (A-DR) was developed in 2015 in order to avoid these disadvantages. However, it involves a complex and time-consuming microphone array for each test. With the purpose of improving the A-DR test method, a new methodology based on drum tests, the ISO 11819-2 and the ISO 3744 standards, was developed. This paper describes the new Alternative CPX Drum test method (A-CPX-DR) and validates it by testing several tyres according to the CB, the A-DR and the A-CPX-DR test methods and comparing their results. This research has demonstrated that all three methods have equivalent sound spectra and obtain close equivalent sound pressure levels for type approval of tyres in the EU, while drum tests have shown greater accuracy. For both reasons, the new A-CPX-DR methodology could be used for tyre/road noise emission type approval in a more precise and cheaper way. Full article
(This article belongs to the Special Issue Vibration and Noise (2nd Edition))
Show Figures

Figure 1

22 pages, 7330 KB  
Article
Design and Optimization of UAV Aerial Recovery System Based on Cable-Driven Parallel Robot
by Jun Wu, Yizhang Sun, Honghao Yue, Junyi Yang, Fei Yang and Yong Zhao
Biomimetics 2024, 9(2), 111; https://doi.org/10.3390/biomimetics9020111 - 14 Feb 2024
Cited by 5 | Viewed by 2850
Abstract
Aerial recovery and redeployment can effectively increase the operating radius and the endurance of unmanned aerial vehicles (UAVs). However, the challenge lies in the effect of the aerodynamic force on the recovery system, and the existing road-based and sea-based UAV recovery methods are [...] Read more.
Aerial recovery and redeployment can effectively increase the operating radius and the endurance of unmanned aerial vehicles (UAVs). However, the challenge lies in the effect of the aerodynamic force on the recovery system, and the existing road-based and sea-based UAV recovery methods are no longer applicable. Inspired by the predatory behavior of net-casting spiders, this study introduces a cable-driven parallel robot (CDPR) for UAV aerial recovery, which utilizes an end-effector camera to detect the UAV’s flight trajectory, and the CDPR dynamically adjusts its spatial position to intercept and recover the UAV. This paper establishes a comprehensive cable model, simultaneously considering the elasticity, mass, and aerodynamic force, and the static equilibrium equation for the CDPR is derived. The effects of the aerodynamic force and cable tension on the spatial configuration of the cable are analyzed. Numerical computations yield the CDPR’s end-effector position error and cable-driven power consumption at discrete spatial points, and the results show that the position error decreases but the power consumption increases with the increase in the cable tension lower limit (CTLL). To improve the comprehensive performance of the recovery system, a multi-objective optimization method is proposed, considering the error distribution, power consumption distribution, and safety distance. The optimized CTLL and interception space position coordinates are determined through simulation, and comparative analysis with the initial condition indicates an 83% reduction in error, a 62.3% decrease in power consumption, and a 1.2 m increase in safety distance. This paper proposes a new design for a UAV aerial recovery system, and the analysis lays the groundwork for future research. Full article
(This article belongs to the Special Issue Bio-Inspired Flight Systems and Bionic Aerodynamics 2.0)
Show Figures

Figure 1

23 pages, 8496 KB  
Article
Multi-Scale Road Matching Based on the Summation Product of Orientation and Distance and Shape Descriptors
by Ying Sun, Yuefeng Lu, Ziqi Ding, Qiao Wen, Jing Li, Yanru Liu and Kaizhong Yao
ISPRS Int. J. Geo-Inf. 2023, 12(11), 457; https://doi.org/10.3390/ijgi12110457 - 8 Nov 2023
Cited by 5 | Viewed by 2309
Abstract
Most commonly used road-based homonymous entity matching algorithms are only applicable to the same scale, and are weak in recognizing the one-to-many and many-to-many types that are common in matching at different scales. This paper explores model matching for multi-scale road data. By [...] Read more.
Most commonly used road-based homonymous entity matching algorithms are only applicable to the same scale, and are weak in recognizing the one-to-many and many-to-many types that are common in matching at different scales. This paper explores model matching for multi-scale road data. By considering the sources of various scales and landmark datasets, as well as the spatial relationships between the selected objects and the detailed features of the entities, we propose an improved matching metric, the summation product of orientation and distance (SOD), combined with the shape descriptor based on feature point vectors, the shape area descriptor based on the minimum convex hull, and three other indicators, to establish multiple multi-scale road matching models. Through experiments, the comprehensive road matching model that combines SOD, orientation, distance and length is selected in this paper. When matching the road dataset with a scale of 1:50,000 and 1:10,000, the precision, recall, and F-score of the matching result of this model reached 97.31%, 94.33%, and 95.8%, respectively. In the case that the scale of the two datasets did not differ much, we concluded that the model can be used for matching between large-scale road datasets. Full article
Show Figures

Figure 1

20 pages, 6072 KB  
Article
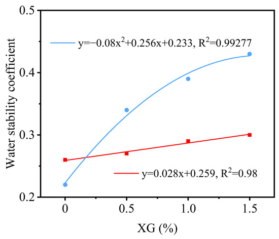
Study on Synergistic Effect of Xanthan Gum and Sodium Methylsiliconate on Mechanical Strength and Water Stability of Phosphogypsum Road-Based Materials
by Jianhui Wu, Tong Xu, Hongqiang Chu, Xiang Xi, Fengchen Zhang and Weizhun Jin
Materials 2023, 16(20), 6766; https://doi.org/10.3390/ma16206766 - 19 Oct 2023
Cited by 3 | Viewed by 1667
Abstract
To address the issues of low strength, poor water stability, and hazardous substance leaching associated with using phosphogypsum (PG) as a direct road-based material, the traditional approach involves employing inorganic cementing materials to stabilize PG, effectively addressing the problems. This study innovatively utilizes [...] Read more.
To address the issues of low strength, poor water stability, and hazardous substance leaching associated with using phosphogypsum (PG) as a direct road-based material, the traditional approach involves employing inorganic cementing materials to stabilize PG, effectively addressing the problems. This study innovatively utilizes the xanthan gum (XG) and sodium methylsiliconate (SM) as curing agents for PG to solve the above problems. An organic curing agent stabilized PG was prepared by dry mixing XG and PG. The unconfined compressive strength, water stability, and leaching behavior of stabilized PG were investigated, the leaching behavior was characterized by ion leaching concentration, and the mechanisms behind the strength development of stabilized PG were explored by SEM and FTIR. The experimental results indicate that the single incorporation of XG reduced the strength and water stability of stabilized PG, while the single incorporation of SM had a limited effect on strength and water stability. In addition, the dual incorporation of XG and SM significantly improved the strength and water stability of stabilized PG. At the same time, the dual incorporation of XG and SM greatly reduced the leaching of hazardous substances from stabilized PG. These results demonstrate the feasibility of using stabilized PG for road base materials. Full article
(This article belongs to the Section Construction and Building Materials)
Show Figures

Figure 1

16 pages, 1623 KB  
Article
Prediction of Gasoline Orders at Gas Stations in South Korea Using VAE-Based Machine Learning Model to Address Data Asymmetry
by Sungyeon Yoon and Minseo Park
Appl. Sci. 2023, 13(20), 11124; https://doi.org/10.3390/app132011124 - 10 Oct 2023
Cited by 4 | Viewed by 3256
Abstract
South Korea has developed road-based transportation and uses a lot of gasoline. South Korea imports gasoline since it is not produced domestically. So, fluctuations in gasoline prices have a significant impact on the national economy. Currently, gasoline orders, which are based on gasoline [...] Read more.
South Korea has developed road-based transportation and uses a lot of gasoline. South Korea imports gasoline since it is not produced domestically. So, fluctuations in gasoline prices have a significant impact on the national economy. Currently, gasoline orders, which are based on gasoline consumption, are analyzed in relation to fluctuations in gasoline prices. However, gasoline orders can also change due to various non-price factors. Therefore, to understand the trend of gasoline orders, it is important to identify additional factors that gas stations consider when determining orders. We collected 180 monthly samples of data on 167 variables. Sudden international issues lead to rapid fluctuations in gasoline orders, which can lead to outliers. A class imbalance occurs because outliers are generally fewer in number than the normal data points. Therefore, to address the class imbalance, we proposed a method that grouped the data samples into 11 clusters using the K-means clustering algorithm and then augmented the data into 85 datasets in each cluster through the Variational Auto-Encoder. We evaluated the augmented datasets through the R-Squared, Root Mean Squared Errors, and accuracy of various regression models. Based on the experimental results, when predicting gasoline orders at gas stations in South Korea using augmented datasets, linear regression showed the best performance. Full article
(This article belongs to the Special Issue Advances and Challenges in Big Data Analytics and Applications)
Show Figures

Figure 1

13 pages, 3891 KB  
Article
Performance Improvement and Microstructure Characterization of Cement-Stabilized Roadbase Materials Containing Phosphogypsum/Recycled Concrete Aggregate
by Yang Wu, Xiaoya Bian, Jie Liu, Ruan Chi and Xuyong Chen
Materials 2023, 16(19), 6607; https://doi.org/10.3390/ma16196607 - 9 Oct 2023
Cited by 10 | Viewed by 1718
Abstract
The proper reutilization of the phosphogypsum (PG) by-product derived from the production of phosphoric acid and recycled concrete aggregate (RCA) from waste concrete in roadbase materials is of great necessity and importance. This investigation tried seeking a new approach to reuse them to [...] Read more.
The proper reutilization of the phosphogypsum (PG) by-product derived from the production of phosphoric acid and recycled concrete aggregate (RCA) from waste concrete in roadbase materials is of great necessity and importance. This investigation tried seeking a new approach to reuse them to high quality, including turning PG into calcinated PG (CPG) via washing and calcination, as well as adopting sodium metasilicate nonahydrate (SMN) to strengthen the roadbase materials of cement-stabilized CPG and RCA. Upon the mix design, with a series of experiments including unconfined compressive strength, the wet–dry cycle, freeze–thaw cycle, and scanning electron microscopy, the comprehensive effects of PG treatment, the CPG to RCA mix ratio, SMN dosage, wet–dry cycle and freeze–thaw cycle on the road performance of roadbase materials were well evaluated, and the traffic bearing capacity and microstructure characteristics were also analyzed. The results demonstrate that the 7 d unconfined compressive strength of CPG/RCA roadbase materials can reach 5.34 MPa as the CPG and SMN dosage are 20% and 11%, respectively, which meets the requirements of an extremely and very heavy traffic grade. After five wet–dry cycles and freeze–thaw cycles, the resistance of the CPG/RCA roadbase materials to moisture and frost was significantly improved as 11% SMN was added. Meanwhile, SMN contributes to the reduction in crack width and densifies the microstructure of CPG/RCA roadbase materials. The research results can be used to provide new guidance for building more durable roadbase materials. Full article
Show Figures

Figure 1

18 pages, 7122 KB  
Article
Satellite Video Moving Vehicle Detection and Tracking Based on Spatiotemporal Characteristics
by Ming Li, Dazhao Fan, Yang Dong and Dongzi Li
Sensors 2023, 23(12), 5771; https://doi.org/10.3390/s23125771 - 20 Jun 2023
Cited by 8 | Viewed by 3103
Abstract
The complex backgrounds of satellite videos and serious interference from noise and pseudo-motion targets make it difficult to detect and track moving vehicles. Recently, researchers have proposed road-based constraints to remove background interference and achieve highly accurate detection and tracking. However, existing methods [...] Read more.
The complex backgrounds of satellite videos and serious interference from noise and pseudo-motion targets make it difficult to detect and track moving vehicles. Recently, researchers have proposed road-based constraints to remove background interference and achieve highly accurate detection and tracking. However, existing methods for constructing road constraints suffer from poor stability, low arithmetic performance, leakage, and error detection. In response, this study proposes a method for detecting and tracking moving vehicles in satellite videos based on the constraints from spatiotemporal characteristics (DTSTC), fusing road masks from the spatial domain with motion heat maps from the temporal domain. The detection precision is enhanced by increasing the contrast in the constrained area to accurately detect moving vehicles. Vehicle tracking is achieved by completing an inter-frame vehicle association using position and historical movement information. The method was tested at various stages, and the results show that the proposed method outperformed the traditional method in constructing constraints, correct detection rate, false detection rate, and missed detection rate. The tracking phase performed well in identity retention capability and tracking accuracy. Therefore, DTSTC is robust for detecting moving vehicles in satellite videos. Full article
(This article belongs to the Section Sensing and Imaging)
Show Figures

Figure 1

8 pages, 224 KB  
Communication
The Energy Situation in the Federal Republic of Germany: Analysis of the Current Situation and Perspectives for a Non-Fossil Energy Supply
by Frank Atzler, Julian Türck, Ralf Türck and Jürgen Krahl
Energies 2023, 16(12), 4569; https://doi.org/10.3390/en16124569 - 7 Jun 2023
Cited by 3 | Viewed by 2689
Abstract
Formulating energy policies at national, European, and global levels is extremely challenging. The move away from fossil fuels is associated with a variety of technological, economic, and social implications, each of which is subject to dynamic changes and societal scrutiny and can hardly [...] Read more.
Formulating energy policies at national, European, and global levels is extremely challenging. The move away from fossil fuels is associated with a variety of technological, economic, and social implications, each of which is subject to dynamic changes and societal scrutiny and can hardly be predicted with certainty. Therefore, a fact-based assessment for the path to a sustainable green energy future is sought out in this paper, using the road-based mobility sector of the Federal Republic of Germany as an example. The analysis performed in this paper is built on publicly accessible, reputable sources like DESTATIS and EUROSTAT. In addition, some very simple calculations were made, e.g., on the potential for wind and photovoltaic energy within Germany. Such an analysis needs to start with the overall energy consumption of any one country. A basic assumption of the paper is that the energy system of the future will be based to a large extent on electricity and its storage in chemical energy. It is assumed that, in addition to hydrogen, liquid energy sources will play a significant role due to the simplicity of their logistics and the subsequent implications on cost. Examples of green, electricity-based fuels with great potential are methanol, methane, and ammonia. Additionally, biomass plays an important role, either for direct use as a fuel or as a source of non-fossil carbon. Today, biofuels, i.e., biodiesel and bioethanol, deliver the largest contribution to climate protection in the EU transport sector. The main goal—the reduction of greenhouse gas emissions—often collides with geopolitical circumstances or national political necessities. This includes, for example, the current world market situation and its national impacts caused by the Russian attack on Ukraine. The prospect for a green, sustainable, and defossilized energy supply are discussed in this context. The paper concludes that a defossilized world energy supply and trade based on renewable electricity and its derivatives, eHydrogen and refuels, and on biomass, is feasible. Full article
(This article belongs to the Special Issue Energy Management: Economic, Social, and Ecological Aspects)
Back to TopTop