Sign in to use this feature.

Years

Between: -

Subjects

remove_circle_outline
remove_circle_outline
remove_circle_outline
remove_circle_outline
remove_circle_outline
remove_circle_outline
remove_circle_outline

Journals

Article Types

Countries / Regions

Search Results (16)

Search Parameters:
Keywords = rigid straight elements

Order results
Result details
Results per page
Select all
Export citation of selected articles as:
30 pages, 7534 KB  
Article
Multi-Gait In-Pipe Locomotion via Programmable Friction Reorientation
by Jaehyun Lee and Jongwoo Kim
Biomimetics 2026, 11(4), 285; https://doi.org/10.3390/biomimetics11040285 - 20 Apr 2026
Abstract
In-pipe robots must navigate narrow, curved passages where rigid mechanisms often require bulky steering units. Soft crawlers offer better compliance but typically rely on multiple actuators or reconfigurable contacts to achieve multi-directional motion. Drawing inspiration from biological soft crawlers that exploit directional friction [...] Read more.
In-pipe robots must navigate narrow, curved passages where rigid mechanisms often require bulky steering units. Soft crawlers offer better compliance but typically rely on multiple actuators or reconfigurable contacts to achieve multi-directional motion. Drawing inspiration from biological soft crawlers that exploit directional friction and coordinated anchor–slip patterns, this study focuses on locomotion principles observed in caterpillars, water boatmen, and whirligig beetles. Based on these bioinspired concepts, we present a tendon-driven soft in-pipe robot that combines continuum bending–twisting deformation with modular anisotropic friction pads (AFPs), enabling three locomotion modes using only two motors. AFP inclination, curvature, and ridge geometry were optimized through friction tests, constant-curvature modeling, and finite element analysis to enhance directional adhesion on flat and curved surfaces. A deformation-based locomotion framework was developed to couple tendon actuation with friction orientation, achieving longitudinal crawling, transverse translation, in-place rotation, and smooth transitions via programmed twisting. Driving experiments demonstrated repeatable anchor–slip locomotion with average speeds of 28.6 mm/s, 15.7 mm/s, and 11.5°/s for the three modes. Pipe tests in straight, curved, and T-junction sections further validated stable contact and reliable gait transitions. These findings highlight the potential of friction-programmed continuum robots as compact, bioinspired platforms for advanced in-pipe inspection and diagnostic tasks. Full article
Show Figures

Graphical abstract

15 pages, 2455 KB  
Article
Should We Worry About the Inter-Implant Gap in the Tibia? A Finite Element Analysis of Revision TKA and Distal Plating
by Renato Caravellos Glória, Pedro José Labronici, Anderson Freitas and Vincenzo Giordano
Medicina 2026, 62(3), 450; https://doi.org/10.3390/medicina62030450 - 27 Feb 2026
Viewed by 362
Abstract
Background and Objectives: The management of periprosthetic tibial fractures distal to revision Total Knee Arthroplasty (TKA) presents a biomechanical challenge, often requiring extramedullary locking plates when long stems preclude nailing. While in femoral fractures the gap between the stem and plate is [...] Read more.
Background and Objectives: The management of periprosthetic tibial fractures distal to revision Total Knee Arthroplasty (TKA) presents a biomechanical challenge, often requiring extramedullary locking plates when long stems preclude nailing. While in femoral fractures the gap between the stem and plate is a well-documented stress riser, requiring implant overlap to prevent an inter-implant fracture, this specific biomechanical scenario has not been studied in the tibia, and it remains unclear if the femoral dogma of mandatory overlap applies to the straight, centrically loaded tibial anatomy. This study utilized Finite Element Analysis (FEA) to evaluate stress distribution in the tibial inter-implant gap. Materials and Methods: A comparative FEA was performed using a validated standardized tibia model simulating a healed distal fracture. Two cemented revision TKA constructs (50 mm and 80 mm stems) were modeled. These were paired with medial locking plates of varying lengths (10, 12, and 14 holes) to create different inter-implant distances. Eight distinct configurations, including non-plated controls, were subjected to physiological axial compression and three-point bending. Outcome measures included von Mises stress and total displacement. Results: The analysis revealed no significant stress concentration in the bone within the inter-implant zone across all plated models, regardless of the gap size. Instead, the addition of plates universally reduced bone stress compared to controls, effectively transferring load to the fixation hardware. Peak stresses were consistently observed in the proximal locking screws rather than the bone gap. The longest plates (14 holes) offered superior construct rigidity and stress distribution. Conclusions: Under the conditions evaluated in this preclinical finite element model, the tibia does not exhibit a biomechanical requirement for implant overlap to prevent stress risers. Our findings suggest that extramedullary fixation with the longest available anatomical locking plate represents a biomechanically plausible strategy for these fractures, even if an inter-implant gap remains. Full article
Show Figures

Figure 1

28 pages, 4996 KB  
Article
Generating Bit-Rock Interaction Forces for Drilling Vibration Simulation: An Artificial Neural Network-Based Approach
by Sampath Liyanarachchi and Geoff Rideout
Modelling 2026, 7(1), 11; https://doi.org/10.3390/modelling7010011 - 3 Jan 2026
Viewed by 756
Abstract
This paper presents a simulation-based artificial neural network (ANN) model to predict bit-rock interaction forces during drilling. Drill string vibration poses a significant challenge in the oil, gas, and geothermal industries, leading to non-productive time and substantial financial losses. This research addresses the [...] Read more.
This paper presents a simulation-based artificial neural network (ANN) model to predict bit-rock interaction forces during drilling. Drill string vibration poses a significant challenge in the oil, gas, and geothermal industries, leading to non-productive time and substantial financial losses. This research addresses the challenge of modelling bit-rock interaction excitation forces, which is crucial for predicting vibration and component fatigue life. For a PDC bit with multiple cutters, the cutter tangential velocities at various drilling speeds are calculated, and individual cutter forces are predicted with a two-dimensional discrete element method simulation in which a single cutter moves in a straight line through rock modelled as bonded particles. This data is then used to train an ANN model that characterizes the bit-rock force time series in terms of frequency, amplitude, and distribution of force peaks. Once inserted into a dynamic simulation of the drill string, the algorithm reconstructs the expected bit-rock force time series. A case study using a rigid segment axial and torsional drill string model was used to show that the bit-rock model outputs lead to the expected bit-bounce and stick-slip under certain drilling conditions. Next, the model was implemented in a 3D deviated well drill string simulation with non-linear friction and contact, generating complex stress states with good computational efficiency. Full article
Show Figures

Figure 1

20 pages, 7652 KB  
Article
Hybrid Numerical Analysis Models and Experiment Research for Wheel–Rail Noise of Urban Rail Vehicle
by Shangshuai Jia, Xinli Zhao, Wenmin Zhang, Leiming Song, Chen Hu, Hao Lin and Xiaojun Hu
Modelling 2025, 6(4), 133; https://doi.org/10.3390/modelling6040133 - 22 Oct 2025
Viewed by 883
Abstract
For urban rail vehicles operating at speeds ranging from 60 to 250 km/h, the dominant source of radiated noise is the wheel–rail interaction. Finite element modal analysis was conducted on the wheelset, rails, and track slab. A multibody dynamics model under straight-line condition [...] Read more.
For urban rail vehicles operating at speeds ranging from 60 to 250 km/h, the dominant source of radiated noise is the wheel–rail interaction. Finite element modal analysis was conducted on the wheelset, rails, and track slab. A multibody dynamics model under straight-line condition was established. It was a rigid–flexible coupling dynamics model, including the rigid vehicle body, flexible wheelsets, flexible rails, and flexible track slabs. Dynamic simulation calculations were carried out in this model to obtain the wheel–rail forces. The finite element and boundary element models of wheels and rails were established using simulation software to obtain the results of wheel–rail noise. The sound pressure levels on the surfaces of wheels and rails were calculated under the operating conditions of 120 km/h, 140 km/h, 160 km/h, and 200 km/h in the straight-line condition. The variation law of the frequency distribution of wheel–rail noise with the change in speed was obtained. The variation fitting function of wheel–rail noise SPL with speeds was obtained. Within the speed of 200 km/h, as the speed increased, the total value of wheel–rail SPL basically shows a linear growth. The simulation analysis results were compared with the experiment results. It indicated that the simulation results were reasonable. The simulation models are of great significance for the noise prediction in train design and manufacturing. Full article
Show Figures

Graphical abstract

23 pages, 2927 KB  
Article
Innovative Suspension Structures: The Role of Straight Elements Under Asymmetric Loads
by Algirdas Juozapaitis and Alfonsas Daniūnas
Appl. Sci. 2025, 15(13), 7009; https://doi.org/10.3390/app15137009 - 21 Jun 2025
Cited by 1 | Viewed by 1059
Abstract
Suspension structures, known for their excellent properties, have been widely used to cover medium and large spans. Their efficiency lies in their ability to primarily withstand permanent and variable loads through tension. Consequently, suspension roof structures typically adopt a parabolic shape, which remains [...] Read more.
Suspension structures, known for their excellent properties, have been widely used to cover medium and large spans. Their efficiency lies in their ability to primarily withstand permanent and variable loads through tension. Consequently, suspension roof structures typically adopt a parabolic shape, which remains in equilibrium under symmetric loads. However, when subjected to asymmetric loads, such structures experience significant kinematic displacements. To reduce these displacements, suspension systems with bending stiffness, commonly referred to as “rigid” cables, are employed. Such elements increase the sustainability of the suspension system compared with conventional spiral ropes. Although previous studies have analyzed the behavior of such systems under symmetric loads, this article examines the performance of an innovative cable–strut system composed of straight “rigid” elements under asymmetric loads. The behavior of three different types of suspension structures under asymmetric loads is analyzed. A non-linear analysis of forces and displacements is conducted in this system, assessing the impact of bending stiffness on the structural response. The results indicate that the proposed two-level suspension system performs more effectively under asymmetric loads than both conventional parabolic suspension structures and suspension systems comprising two straight “rigid” elements. It was found that the total forces and stresses in the “rigid” upper chord elements of the two-level system are the lowest among all the systems considered. Therefore, this system is particularly suitable for covering medium- and large-span roofs, especially when subjected to relatively large asymmetric loads. Full article
(This article belongs to the Special Issue Recent Advances in Sustainable Construction Materials and Structures)
Show Figures

Figure 1

15 pages, 7016 KB  
Article
Finite Element Analysis of the Effects of Different Shapes of Adult Cranial Sutures on Their Mechanical Behavior
by Han Yang, Shiguo Yuan, Yuan Yan, Li Zhou, Chao Zheng, Yikai Li and Junhua Li
Bioengineering 2025, 12(3), 318; https://doi.org/10.3390/bioengineering12030318 - 19 Mar 2025
Cited by 1 | Viewed by 2887
Abstract
Cranial sutures play critical roles in load distribution and neuroprotection, with their biomechanical performance intimately linked to morphological complexity. The purpose of this study was to investigate the effect of different morphologies of cranial sutures on their biomechanical behavior. Based on the different [...] Read more.
Cranial sutures play critical roles in load distribution and neuroprotection, with their biomechanical performance intimately linked to morphological complexity. The purpose of this study was to investigate the effect of different morphologies of cranial sutures on their biomechanical behavior. Based on the different morphologies of the cranial sutures, six groups of finite element models (closed, straight, sine wave, tight sinusoidal wave, layered sinusoidal wave, and layered sinusoidal wave + sutural bone) of the bone–suture–bone composite structures that ranged from simple to complex were constructed. Each model was subjected to 50 kPa impact and 98 N bilateral tensile loads to evaluate von Mises stress and total deformation variations across all groups under combined loading conditions. Key findings reveal that morphological complexity directly governs stress dynamics and mechanical adaptation; layered sinusoidal configurations delayed peak stress by 19–36% and generated elevated von Mises stresses compared to closed sutures, with stress concentrations correlating with interfacial roughness. Under impact, sutures exhibited localized energy dissipation (<0.2 μm deformation), while tensile loading induced uniform displacements (≤11 μm) across all morphologies (p > 0.05), underscoring their dual roles in localized energy absorption and global strain redistribution. Craniosacral therapy relevant forces produced sub-micron deformations far below pathological thresholds (≥1 mm), which implies the biomechanical safety of recommended therapeutic force. Staggered suture–bone in open sutures (31.93% closure rate) enhances shear resistance, whereas closed sutures prioritize rigidity. The findings provide mechanistic explanations for suture pathological vulnerability and clinical intervention limitations, offering a quantitative foundation for future research on cranial biomechanics and therapeutic innovation. Full article
Show Figures

Figure 1

25 pages, 13204 KB  
Article
Mechanical Properties of Asymmetric Woven Bamboo Structure from Bamboo Strips
by Ekkarin Phongphinittana, Navapon Klangtup and Petch Jearanaisilawong
Fibers 2025, 13(2), 18; https://doi.org/10.3390/fib13020018 - 9 Feb 2025
Viewed by 2840
Abstract
The study evaluates the mechanical properties of a woven bamboo structure made from bamboo strips using an analytical relation and finite element simulation. The bamboo studied is a recently discovered species, Bambusa Nghiana, characterized by long internodes. Bamboo strips have lower strength at [...] Read more.
The study evaluates the mechanical properties of a woven bamboo structure made from bamboo strips using an analytical relation and finite element simulation. The bamboo studied is a recently discovered species, Bambusa Nghiana, characterized by long internodes. Bamboo strips have lower strength at the node junctions, a feature that can be advantageous for this species due to its extended internode length. Plain weave bamboo structures were handwoven from thin, rectangular bamboo strips cut from the bamboo culm along the radial direction. The high bending rigidity of the bamboo strips resulted in an asymmetric woven structure with curved warp strips and straight weft strips. The stiffness of the woven structure was correlated with the stiffness of the bamboo strips and the weave geometry. The in-plane shear resistance of the woven structure was significantly lower than its axial stiffness due to the asymmetric weaving. These in-plane properties were validated using finite element simulation through a user subroutine incorporating the woven structure and the Hashin damage criteria. The prediction of the puncture simulation showed good agreement with the corresponding experiment. These results confirm the proposed analytical relation between the mechanical properties of individual bamboo strips and those of the woven structure. Full article
(This article belongs to the Special Issue Natural Fibers for Advanced Materials: Addressing Challenges)
Show Figures

Figure 1

24 pages, 8033 KB  
Article
A Failure Analysis of the Long-Term Overturning Stability of Concrete Continuous Single-Column Pier Bridges Considering Creep and Overloaded Vehicles
by Yelu Wang, Jun Tian, Dong Zheng, Dayang Jing, Benzhen Cai and Xiaofeng Liu
Buildings 2024, 14(7), 1987; https://doi.org/10.3390/buildings14071987 - 1 Jul 2024
Cited by 1 | Viewed by 2240
Abstract
Several single-column pier girder bridges have been involved in overturning accidents, resulting in significant economic losses and casualties, thus necessitating a risk assessment of the overturning stability. To date, the effect of structural degradation due to concrete creep on the long-term stability of [...] Read more.
Several single-column pier girder bridges have been involved in overturning accidents, resulting in significant economic losses and casualties, thus necessitating a risk assessment of the overturning stability. To date, the effect of structural degradation due to concrete creep on the long-term stability of bridges has not been demonstrated. In this study, a full-scale nonlinear analysis of the lateral overturning process of a collapsed concrete box girder based on the explicit dynamic finite element method (EFEM) was conducted to verify the reliability of the numerical method. An EFEM model incorporating concrete creep was developed to demonstrate the effect of structural degradation on the long-term stability of bridges. The synthesis overturning axis method (SOAM) was proposed to evaluate the long-term overturning stability of concrete continuous bridges, aiming to address the deficiencies in existing methods, particularly for curved bridges, and was compared with conventional methods. The results show that the variations in bearing reaction forces between curved and straight bridges under creep and self-weight are minimal, staying within 2%. An increase in the creep terminal coefficient results in the opposite trend in the ultimate vehicle weight of curved bridges and straight bridges, but fluctuations remain within 2%, indicating that long-term creep has a limited effect on the overall overturning stability. A failure analysis of 20 single-column pier bridges reveals significant differences in the ultimate vehicle weight between the rigid overturning axis method (ROAM) and folded overturning axis method (FOAM), with error ranges of −14.2% to 567.4% and −99.1% to −32.1%, respectively. The SOAM results have the smallest error range compared to those of the EFEM, with an error range of −38.8% to 33.9%. Despite these errors, the SOAM demonstrates a significant improvement in characterizing the trend and assessment accuracy of the overall overturning stability of single-column pier bridges. Full article
(This article belongs to the Topic Resilient Civil Infrastructure)
Show Figures

Figure 1

23 pages, 3420 KB  
Article
Non-Linear Behaviour and Analysis of Innovative Suspension Steel Roof Structures
by Algirdas Juozapaitis, Alfonsas Daniūnas and Leonas Ustinovichius
Buildings 2024, 14(3), 661; https://doi.org/10.3390/buildings14030661 - 1 Mar 2024
Cited by 2 | Viewed by 2419
Abstract
Suspension structures are one of the most effective roof load-bearing structures for medium to long spans. Their shape under symmetric loads is usually a square parabola or a curve close to it. The biggest drawback of such structures is their increased deformability under [...] Read more.
Suspension structures are one of the most effective roof load-bearing structures for medium to long spans. Their shape under symmetric loads is usually a square parabola or a curve close to it. The biggest drawback of such structures is their increased deformability under asymmetric loads. So-called rigid cables are used to solve this problem. However, the production of such rigid cables with a curvilinear shape is complicated, and their maintenance also has drawbacks due to the above-mentioned shape. To avoid these shortcomings, straight-line suspension structures have been used. This paper proposes a new form of combined suspension roof structures consisting of main load-bearing straight suspension elements supported by cable struts. For the main suspension elements, the bending stiffness is accepted, taking into account the operational requirements of the structure. This article analyses the behaviour of such a combined suspension structural system in symmetric conditions with an innovative approach. The arrangements of this system are discussed. The calculation of the forces and displacements of this structure and its elements is presented, taking into account the geometrical nonlinear behaviour. The distribution of the forces in the rigid elements and node displacements of the structure are discussed. The proposed new form of a combined cable-supported roof structure was shown to be more effective in terms of weight than the standard parabolic-shaped suspension structure. Full article
(This article belongs to the Special Issue Non-linear Behavior and Design of Steel Structures)
Show Figures

Figure 1

18 pages, 1396 KB  
Article
A Rigid-Flexible Coupling Dynamic Model for Robotic Manta with Flexible Pectoral Fins
by Yilin Qu, Xiao Xie, Shucheng Zhang, Cheng Xing, Yong Cao, Yonghui Cao, Guang Pan and Baowei Song
J. Mar. Sci. Eng. 2024, 12(2), 292; https://doi.org/10.3390/jmse12020292 - 6 Feb 2024
Cited by 14 | Viewed by 3188
Abstract
The manta ray, exemplifying an agile swimming mode identified as the median and paired fin (MPF) mode, inspired the development of underwater robots. Robotic manta typically comprises a central rigid body and flexible pectoral fins. Flexible fins provide excellent maneuverability. However, due to [...] Read more.
The manta ray, exemplifying an agile swimming mode identified as the median and paired fin (MPF) mode, inspired the development of underwater robots. Robotic manta typically comprises a central rigid body and flexible pectoral fins. Flexible fins provide excellent maneuverability. However, due to the complexity of material mechanics and hydrodynamics, its dynamics are rarely studied, which is crucial for the advanced control of robotic manta (such as trajectory tracking, obstacle avoidance, etc.). In this paper, we develop a multibody dynamic model for our novel manta robot by introducing a pseudo-rigid body (PRB) model to consider passive deformation in the spanwise direction of the pectoral fins while avoiding intricate modeling. In addressing the rigid-flexible coupling dynamics between flexible fins and the actuation mechanism, we employ a sequential coupling technique commonly used in fluid-structure interaction (FSI) problems. Numerical examples are provided to validate the MPF mode and demonstrate the effectiveness of the dynamic model. We show that our model performs well in the rigid-flexible coupling analysis of the manta robot. In addition to the straight-swimming scenario, we elucidate the viability of tailoring turning gaits through systematic variations in input parameters. Moreover, compared with finite element and CFD methods, the PRB method has high computational efficiency in rigid-flexible coupling problems. Its potential for real-time computation opens up possibilities for future model-based control. Full article
(This article belongs to the Special Issue Advances in Marine Vehicles, Automation and Robotics—2nd Edition)
Show Figures

Graphical abstract

11 pages, 9560 KB  
Article
Comparative Analysis of Consequent-Pole Flux-Switching Machines with Different Permanent Magnet Arrangements for Outer-Rotor In-Wheel Direct-Drive Applications
by Yanding Bi, Weinong Fu, Shuangxia Niu and Jiahui Huang
Energies 2023, 16(18), 6650; https://doi.org/10.3390/en16186650 - 15 Sep 2023
Cited by 10 | Viewed by 2021
Abstract
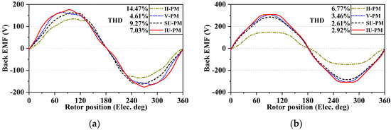
Recently, the interest in consequent-pole flux-switching permanent magnet (CP-FSPM) machines has been increasing because of the flux-focusing PM arrangements and the removal of the flux-barrier effect. A simple and rigid outer-rotor salient pole rotor structure can be adopted in CP-FSPM machines, making them [...] Read more.
Recently, the interest in consequent-pole flux-switching permanent magnet (CP-FSPM) machines has been increasing because of the flux-focusing PM arrangements and the removal of the flux-barrier effect. A simple and rigid outer-rotor salient pole rotor structure can be adopted in CP-FSPM machines, making them applicable for in-wheel direct-drive applications. In this study, three CP-FSPM machines with II-shaped (II-PM), V-shaped (V-PM), and straight U-shaped PM (SU-PM) arrays are analyzed and compared. Moreover, a CP-FSPM machine with inclined U-shaped PM (IU-PM) arrays is proposed to improve the flux-focusing effect and stator slot utilization. The working principles of CP-FSPM machines are analyzed by adopting a semi-analytical model. Combining the finite element analysis (FEA) results of air gap flux density and the analytical model of phase back electromotive force (EMF), the contributions of multiple working harmonics to the back EMF are quantitatively analyzed. Additionally, 6/16 and 6/17 CP-FSPM machines with different PM arrangements are globally optimized. Both the no-load and on-load performance of the optimized machines are included in the performance comparison. The results illustrate that the 6/16 and 6/17 machines exhibit their respective merits, and the IU-PM machine shows the best torque production ability in these CP-FSPM machines with the same design criteria. Full article
(This article belongs to the Section I: Energy Fundamentals and Conversion)
Show Figures

Figure 1

15 pages, 3339 KB  
Article
Study on Load–Slip Curve of a PBL Shear Key at a Steel–Concrete Composite Joint
by Haibo Wang, Wenxuan Wang and Shasha Wu
Appl. Sci. 2023, 13(10), 6165; https://doi.org/10.3390/app13106165 - 17 May 2023
Cited by 3 | Viewed by 2051
Abstract
The steel–concrete composite truss adopts a new type of steel-concrete composite joint with high rigidity and load-carrying capacity. In order to more conveniently and clearly grasp the working mechanism of Perfobond Leiste (PBL) shear keys in the core area of new composite structures [...] Read more.
The steel–concrete composite truss adopts a new type of steel-concrete composite joint with high rigidity and load-carrying capacity. In order to more conveniently and clearly grasp the working mechanism of Perfobond Leiste (PBL) shear keys in the core area of new composite structures such as steel–concrete composite trusses, the lack of strong theoretical support for the theoretical formula of load–slip relationships in the entire loading process of single PBL shear keys is solved. By proposing a straight–curved–straight three-stage simplified load–slip curve with respect to the PBL shear key, the stress process of the PBL shear key is divided into three stages—the elastic stage, plastic stage, and strengthening stage—based on the compressive yield and failure critical point of tenon concrete in the shear key. With reference to the calculation method of the bearing capacity of the order pile under horizontal loads and by calculating the shear stiffness of the shear key, a theoretical formula suitable for separating the load–slip relationship of a single PBL shear key in the entire loading process of the ear plate composite joint is proposed. The results show that, in the elastic section, the slope of the curve is related to the concrete reaction coefficient and the material parameters of the penetrating steel bar; moreover, in the strengthened section, the coefficient is related to the shear modulus of the penetrating steel bar, and a more uniform length distribution of the penetrating steel bar between the two joint plates will improve the initial stiffness of the PBL shear key to a certain extent. The results of the proposed method are in good agreement with the finite element results and experimental values. This research study’s results can provide a convenient design method for the design of the internal PBL shear keys of new composite structure joints, promoting the promotion and application of new composite structures and advancing the development of the engineering field. Full article
Show Figures

Figure 1

22 pages, 5609 KB  
Article
Dynamic Response Modeling of Mountain Transmission Tower-Line Coupling System under Wind–Ice Load
by Haoran Song and Yingna Li
Buildings 2023, 13(3), 828; https://doi.org/10.3390/buildings13030828 - 22 Mar 2023
Cited by 11 | Viewed by 4031
Abstract
Transmission lines have the characteristics of being tall tower structures with a large span distribution of transmission lines that are sensitive to external loads such as wind and ice, and belong to strong, nonlinear, complex, rigid-flexible coupling systems. The force process of the [...] Read more.
Transmission lines have the characteristics of being tall tower structures with a large span distribution of transmission lines that are sensitive to external loads such as wind and ice, and belong to strong, nonlinear, complex, rigid-flexible coupling systems. The force process of the tower-line structure is a combination of instantaneous and continuously stressed, so it is not accurate to judge the safety of the transmission line based only on the operation status of the transmission tower or the conductor. In this paper, a finite element model of three towers and two lines with large span and large elevation differences is established by taking into account the tower-line coupling system. From the static point of view, the static axial force of a single tower and the contribution rate of wind and ice load are analyzed, and the ultimate bearing capacity of a tension-type electric tower is obtained by considering the bending effect and critical initial defects. From the perspective of transient dynamic response, the displacement of the tower-line coupling system under wind–ice load is calculated, and the force characteristics and force transmission process of the straight tower under wind–ice load are observed. Multiple comparison models are set up to compare and analyze the sway and tension under large span and large elevation differences, and the maximum icing thickness of each group model is obtained by repeated trials. The experimental results show that under the tower-line coupling system, the contribution of wind load to the axial force of the main material is 72.92%, and the contribution of wind–ice load to the axial force of main material is 27.6%. The maximum increase tension under transient ice-off effect is 59.58%, the ultimate force of the tension tower is 545.5 kN, and the maximum icing thickness of the transmission line under large span and large elevation differences is 28.7 cm, which is slightly larger than the design icing thickness. In conclusion, this paper can provide reference for the construction of mountain transmission towers, power safety inspection, and line health status assessment. Full article
Show Figures

Figure 1

25 pages, 14207 KB  
Article
Vehicle Dynamics and Train-Induced Ground Vibration—Theoretical Analyses and Simultaneous Vehicle, Track, and Soil Measurements
by Lutz Auersch
Vehicles 2023, 5(1), 223-247; https://doi.org/10.3390/vehicles5010013 - 8 Feb 2023
Cited by 8 | Viewed by 3831
Abstract
Ground vibrations near railway lines are generated by the forces that are acting between wheel and rail. It seems to be a straight forward assumption that the vehicle dynamics are important for the level and the frequencies of the excitation forces. Different vehicle [...] Read more.
Ground vibrations near railway lines are generated by the forces that are acting between wheel and rail. It seems to be a straight forward assumption that the vehicle dynamics are important for the level and the frequencies of the excitation forces. Different vehicle dynamics phenomena are analysed for their role in the excitation of ground vibrations: rigid body modes of the bogies, elastic (bending) modes of the car body, and elastic modes of the wheelset. The theoretical analyses use rigid body models, simplified elastic models, and detailed elastic models. Some of these problems are vehicle–track interaction problems where 3D finite-element boundary-element models have been used for the track and soil. It is shown that the rigid or flexible vehicle modes are well in the frequency range of ground vibrations (4 to 100 Hz). They have an influence on the excitation force but the additional forces are rather small and can be neglected in ground vibration prediction. The theoretical results are checked by experimental results of a simultaneous measurement of vehicle, track, and ground vibrations. Full article
(This article belongs to the Special Issue Feature Papers in Vehicles)
Show Figures

Figure 1

17 pages, 4735 KB  
Article
Interaction of Irregular Distribution of Submerged Rigid Vegetation and Flow within a Straight Pool
by Kourosh Nosrati, Hossein Afzalimehr and Jueyi Sui
Water 2022, 14(13), 2036; https://doi.org/10.3390/w14132036 - 25 Jun 2022
Cited by 13 | Viewed by 2887
Abstract
The interaction of bedform and vegetation cover significantly affects the turbulent flow parameters. To investigate this interaction, experiments were carried out in both a gravel-bed river and a laboratory flume. The purpose of field investigations was to find the slopes for both the [...] Read more.
The interaction of bedform and vegetation cover significantly affects the turbulent flow parameters. To investigate this interaction, experiments were carried out in both a gravel-bed river and a laboratory flume. The purpose of field investigations was to find the slopes for both the entrance section and exit section of pools, the grain size of the bed material, and the flow condition. Based on field data, without considering any scaling analysis, a straight pool was constructed in a laboratory flume that was 0.9 m wide, 0.6 m deep, and 14 m long. The entry and exit slopes of the straight pool were 7.4° and 4°, respectively. The straight pool had vertical side walls and a gravel bed with a median grain size of d50 = 23.3 mm. Plastic cylinders planted in an irregular pattern in the channel beds were used to model rigid submerged vegetation. The velocity components were recorded by using an ADV at 200 Hz. In this study, the distributions of velocity, Reynolds stress, and TKE were investigated for flows in the presence of submerged rigid vegetation in channel beds with various area densities of vegetation. Results show that the shape of Reynolds stress distribution depends on the entrance and exit slopes of the pool, as well as the irregular distribution pattern of vegetated elements. Inside the pool with the presence of submerged vegetation in the channel bed, the maximum TKE appears above the bed surface with a larger distance depending on the area density of vegetation in the channel bed. However, the momentum exchange and turbulent energy are likely influenced by the secondary circulation of the flows associated with the irregular distribution of vegetated elements in the channel bed. Results of the quadrant analysis show that the momentum between the flow, bedform, and vegetated elements is mostly transferred by sweep and ejection events. The outward event tends to grow toward the water surface, reaching the highest amount near the water surface. At the pool entrance section where the flow is decelerating, the ejection event is dominant near the bed while the sweep event is strong near the water surface. With the decrease in the vegetation density in the pool bed, both the ejection and outward events become dominant. Full article
(This article belongs to the Special Issue Fluvial Hydraulics in the Presence of Vegetation in Channels)
Show Figures

Figure 1

Back to TopTop