Sign in to use this feature.

Years

Between: -

Subjects

remove_circle_outline
remove_circle_outline
remove_circle_outline
remove_circle_outline
remove_circle_outline
remove_circle_outline
remove_circle_outline
remove_circle_outline
remove_circle_outline

Journals

remove_circle_outline
remove_circle_outline
remove_circle_outline
remove_circle_outline
remove_circle_outline
remove_circle_outline
remove_circle_outline
remove_circle_outline
remove_circle_outline
remove_circle_outline
remove_circle_outline
remove_circle_outline
remove_circle_outline

Article Types

Countries / Regions

remove_circle_outline
remove_circle_outline
remove_circle_outline

Search Results (550)

Search Parameters:
Keywords = rigid–flexible system

Order results
Result details
Results per page
Select all
Export citation of selected articles as:
21 pages, 2645 KB  
Article
Nanomechanical and Thermodynamic Alterations of Red Blood Cells in Chronic Lymphocytic Leukemia: Implications for Disease and Treatment Monitoring
by Velichka Strijkova, Vesela Katrova, Miroslava Ivanova, Ariana Langari, Lidia Gartcheva, Margarita Guenova, Anika Alexandrova-Watanabe, Stefka G. Taneva, Sashka Krumova and Svetla Todinova
Int. J. Mol. Sci. 2026, 27(1), 353; https://doi.org/10.3390/ijms27010353 (registering DOI) - 29 Dec 2025
Abstract
Chronic lymphocytic leukemia (CLL) has systemic effects that extend beyond malignant lymphocytes, potentially altering the structure and function of circulating red blood cells (RBCs). In this study, atomic force microscopy (AFM) was combined with complementary calorimetric analysis to investigate the membrane ultrastructure, nanomechanical [...] Read more.
Chronic lymphocytic leukemia (CLL) has systemic effects that extend beyond malignant lymphocytes, potentially altering the structure and function of circulating red blood cells (RBCs). In this study, atomic force microscopy (AFM) was combined with complementary calorimetric analysis to investigate the membrane ultrastructure, nanomechanical characteristics, and thermodynamic behavior of RBCs from untreated CLL patients and those receiving targeted therapies (Obinutuzumab/Venetoclax or Ibrutinib). RBCs from untreated patients exhibited pronounced reduction in membrane roughness, increased stiffness and adhesion forces, and altered thermal unfolding of cytoskeletal and membrane proteins, indicative of impaired structural flexibility and stability. Treatment with Obinutuzumab/Venetoclax partially restored surface topography, but stiffness and adhesion forces remained elevated, suggesting persistent cytoskeletal rigidity. The obscured spectrin and Band 2–4 thermal transitions and the elevated total enthalpy change revealed by differential scanning calorimetry indicated a modified conformation or binding state of membrane proteins. In contrast, Ibrutinib therapy produced near-normal nanomechanical and thermal characteristics, reflecting a more comprehensive restoration of RBC integrity. These findings demonstrate that CLL and its therapies distinctly influence erythrocyte morphology and mechanics, underscoring the systemic impact of the disease. The strong correspondence between AFM and calorimetric data highlights the potential of integrated biophysical approaches to detect subtle RBC alterations and to serve as complementary indicators for therapeutic monitoring. Full article
(This article belongs to the Special Issue Drug-Induced Modulation and Immunotherapy of Leukemia)
Show Figures

Figure 1

11 pages, 609 KB  
Article
Transfer Accuracy and Chairside Efficiency of Two Digital Indirect Bonding Techniques: An In Vitro Analysis
by Maria Elena Grecolini, Alessandro Bruni, Cristiana Nocco, Mimmo Castellana, Andrea Abate, Enrico Spinas, Alessandro Ugolini and Valentina Lanteri
Appl. Sci. 2026, 16(1), 285; https://doi.org/10.3390/app16010285 - 27 Dec 2025
Viewed by 104
Abstract
Background: Digital indirect bonding (IB) has emerged as a reliable approach to improving the precision and efficiency of orthodontic bracket placement. Methods: This in vitro study evaluated and compared the positional accuracy and efficiency of two digitally driven indirect bonding (IB) techniques—a rigid [...] Read more.
Background: Digital indirect bonding (IB) has emerged as a reliable approach to improving the precision and efficiency of orthodontic bracket placement. Methods: This in vitro study evaluated and compared the positional accuracy and efficiency of two digitally driven indirect bonding (IB) techniques—a rigid single-tooth transfer jig (Leone Jig System) and a flexible three-part transfer tray (IBT Flex Resin)—as well as conventional direct bonding. Ten sets of 3D-printed resin dental models were randomly allocated to the three bonding protocols. Bracket positions were virtually planned and analyzed by superimposing pre- and post-bonding STL models using landmark- and surface-based registration. Linear discrepancies were measured along the axial, sagittal, and vertical planes, and data were analyzed using repeated-measures ANOVA and Friedman tests (α = 0.05). Results: Both indirect bonding techniques showed significantly smaller deviations from the ideal virtual setup compared with direct bonding across all spatial planes (p < 0.001). Mean discrepancies were consistently below 0.3 mm for the indirect protocols, compared with values exceeding 0.4 mm for direct bonding. The rigid jig demonstrated the highest precision, particularly in the sagittal (0.18 ± 0.06 mm) and vertical (0.21 ± 0.07 mm) planes, while the flexible tray showed slightly higher deviations (approximately 0.25–0.30 ± 0.08–0.09 mm across planes). Chairside bonding time per full arch was reduced by more than 50% with both IB techniques, with the jig-based system being the most time-efficient. No significant interaction between bonding method and spatial plane was observed. Conclusions: Within the limitations of this in vitro study, digital indirect bonding—especially rigid, patient-specific jigs—demonstrated superior bracket placement accuracy and procedural efficiency compared with direct bonding. Full article
Show Figures

Figure 1

24 pages, 22013 KB  
Article
Application of Supports Theory in Building Design: Multi-Dimensional Permeability and Spatial Structure in Versatile Community Centers
by Mingrui Zhang, Yang Yang, Chang Yi, Mingxuan Jia, Menglong Zhang and Qianru Yang
Buildings 2026, 16(1), 92; https://doi.org/10.3390/buildings16010092 - 25 Dec 2025
Viewed by 133
Abstract
With the evolution of social structure and the intensification of population aging, traditional community service centers struggle to meet residents’ complex needs due to their functional singularity and spatial rigidity. In response to the continuously evolving social structure and functional requirements, this research [...] Read more.
With the evolution of social structure and the intensification of population aging, traditional community service centers struggle to meet residents’ complex needs due to their functional singularity and spatial rigidity. In response to the continuously evolving social structure and functional requirements, this research proposes a strategy based on the “Separation of Support and Infill,” distinguishing between the building’s permanent Support Structure and its replaceable Infill Components. These two parts are combined with modularization to achieve long-term spatial adaptability and sustainability throughout the entire life cycle. In terms of functional space, through the combination of vertical stratification, horizontal staggering and spatial permeability, a three-dimensional composite space system is constructed, which not only enhances the functional flexibility but also improves the environmental performance. Taking a design case in Yicheng District, Zhumadian City as an example, through a comparative analysis with the traditional building model, the comparative analysis demonstrates that this framework increases the Floor Area Ratio (FAR) by approximately 0.15 compared to traditional models. Furthermore, the modular characteristics significantly enhance demountability and reusability, reducing construction and demolition waste while lowering life-cycle costs by an estimated 15% to 25%. These studies show that the support structure and the composite functional space system can not only promote social interaction and community cohesion but also reduce the life-cycle cost and carbon emissions. The framework proposed in this paper constructs a theoretical and practical system for sustainable community buildings from the perspectives of functional compounding and low-carbon community development. Its innovation lies in its flexible spatial organization mode and the enhancement of the sustainability of community buildings. Full article
Show Figures

Figure 1

15 pages, 4555 KB  
Article
Mechanistic and Kinetic Insights into the Interfacial Polymerization of Fluorine-Containing Polyarylate
by Lingli Li, Tiantian Li, Siyu Chen, Jintang Duan, Cailiang Zhang, Xueping Gu and Lianfang Feng
Polymers 2026, 18(1), 31; https://doi.org/10.3390/polym18010031 - 23 Dec 2025
Viewed by 159
Abstract
The interfacial polymerization of fluorine-containing polyarylates (F-PAR) represents an important synthetic route for advanced polymeric materials. This work presents a comprehensive mechanistic investigation through integrated kinetic analysis and macromolecular characterization. The polymerization for both F-PAR and its non-fluorinated analogue (M-PAR) follows a two-stage, [...] Read more.
The interfacial polymerization of fluorine-containing polyarylates (F-PAR) represents an important synthetic route for advanced polymeric materials. This work presents a comprehensive mechanistic investigation through integrated kinetic analysis and macromolecular characterization. The polymerization for both F-PAR and its non-fluorinated analogue (M-PAR) follows a two-stage, second-order kinetic profile, with the F-PAR system exhibiting a lower initial rate constant. Kinetic modeling revealed a dynamic reaction locus, transitioning from the bulk organic phase to an indistinguishable regime. The fluorinated system exhibits distinct stage-dependent behavior: initial retardation due to fluorine-induced “nucleophilicity penalty” on bisphenol monomer followed by a kinetic crossover where the growth rate of F-PAR surpasses M-PAR through enhanced oligomer electrophilicity. The terminal stage reveals fundamental divergence, while flexible M-PAR chains sustain accelerated growth via efficient chain-chain coupling, rigid F-PAR chains reach a molecular weight plateau. The incorporation of fluorine enhances thermal stability and optical transparency due to the low polarizability of C-F bonds. This study provides a complete mechanistic roadmap of fluorine’s dynamic role in polymer architecture control. Full article
(This article belongs to the Section Polymer Processing and Engineering)
Show Figures

Graphical abstract

75 pages, 6060 KB  
Review
Collaborative Mechanisms of Fixed and Mobile Resources: A Review on Enhancing the Full-Cycle Resilience of Integrated Energy Cyber-Physical Systems Against Cyber-Attacks
by Tianlei Zang, Kewei He, Chuangzhi Li, Lan Yu, Libo Ran, Siting Li, Rui Su and Buxiang Zhou
Energies 2026, 19(1), 38; https://doi.org/10.3390/en19010038 - 21 Dec 2025
Viewed by 139
Abstract
Integrated energy cyber-physical systems (IECPS) face escalating cyber-attack threats due to their deep cyber-physical coupling, while traditional resilience models relying solely on fixed resources exhibit rigidity and limited adaptability. This review investigates IECPS attack mechanisms through the lens of the confidentiality, integrity, and [...] Read more.
Integrated energy cyber-physical systems (IECPS) face escalating cyber-attack threats due to their deep cyber-physical coupling, while traditional resilience models relying solely on fixed resources exhibit rigidity and limited adaptability. This review investigates IECPS attack mechanisms through the lens of the confidentiality, integrity, and availability framework, revealing their cross-layer propagation characteristics. We explicitly distinguish between fixed and mobile resources. Fixed resources include energy sources, transmission and distribution network facilities, coupling and conversion devices, fixed energy storage systems, and communication and control infrastructure. Mobile resources are grouped into five categories: mobile electricity resources, mobile gas resources, mobile heat resources, mobile hydrogen resources, and mobile communication resources. Fixed resources provide geographically anchored capacity and structural redundancy, and they offer static operational flexibility. Mobile resources, in contrast, provide spatially reconfigurable and rapidly deployable support for sensing, temporary multi-energy supply, and emergency communications. Building on this distinction, this review proposes a full-cycle resilience enhancement framework that encompasses pre-event prevention, in-progress response, and post-event recovery, with a particular focus on collaborative mechanisms between fixed and mobile resources. Furthermore, this review examines the foundational theories and key supporting technologies for such coordination, including fixed-mobile resource scheduling, intelligent perception and data fusion, communication security, and collaborative scheduling optimization. Key technical gaps and challenges in fixed-mobile resource collaboration are identified. Ultimately, this review aims to provide theoretical insights and practical guidance for developing resilient, adaptive, and secure integrated energy systems in the face of evolving cyber-physical threats. Full article
(This article belongs to the Section F1: Electrical Power System)
Show Figures

Figure 1

17 pages, 323 KB  
Review
Complexity and Barriers to Vision Care: A Narrative Review Informed by a Mobile Eye Program
by Valeria Villabona-Martinez, Anne Schulman, Bharadwaj Chirravuri, Kerollos Kamel, Paula A. Sepulveda-Beltran, Zeila Hobson and Evan L. Waxman
Int. J. Environ. Res. Public Health 2025, 22(12), 1880; https://doi.org/10.3390/ijerph22121880 - 18 Dec 2025
Viewed by 195
Abstract
Purpose: To describe structural and systemic barriers to ophthalmic care experienced by underserved patients, particularly those facing language obstacles, immigration-related constraints, limited insurance coverage, financial hardship, and navigation challenges in an urban setting, and to examine these barriers through a complexity-informed lens. [...] Read more.
Purpose: To describe structural and systemic barriers to ophthalmic care experienced by underserved patients, particularly those facing language obstacles, immigration-related constraints, limited insurance coverage, financial hardship, and navigation challenges in an urban setting, and to examine these barriers through a complexity-informed lens. Methods: We conducted a narrative literature review focused on healthcare disparities, patient navigation, complexity in care delivery, and time-sensitive prioritization frameworks in ophthalmology. Findings were integrated with case vignettes drawn from Eyes on Wheels (EOW), a mobile eye care initiative that provides no-cost examinations at Federally Qualified Health Centers (FQHCs) and free clinics. Cases were identified through routine clinical documentation and used to illustrate how structural barriers described in the literature manifest in real-world care pathways. Results: Three recurring system-level issues were identified across EOW encounters: (A) misclassification of medically necessary, time-sensitive ophthalmic care as “non-urgent”; (B) patient disengagement driven by cumulative structural and logistical barriers; and (C) failures that arise when the healthcare system, functioning as a complex adaptive system (CAS), is unable to adapt to patients’ and systems’ changing circumstances. A review of the literature confirmed that these patterns reflect widely documented challenges faced by underserved urban populations. Three EOW case vignettes, selected from seven patients identified in 2024, are presented as illustrative examples of these systemic patterns. Conclusions: Addressing inequities in eye care requires an approach that recognizes how many parts of the healthcare system interact and affect a patient’s ability to receive timely treatment. Vision loss is often the preventable result of systems that are rigid, fragmented, or unable to adapt to a patient’s circumstances. Improving outcomes will require flexible care models, such as mobile clinics, paired with strong institutional support, patient-centered navigation, and consistent assessment of social needs and barriers to care. Sustained progress will depend on collaboration across organizations, adaptable leadership, and policies that respond to the real-world situations in which patients live. Full article
(This article belongs to the Special Issue Advances and Trends in Mobile Healthcare)
26 pages, 17141 KB  
Article
Design and Experiment of a Handheld Vibration Harvesting Device for Camellia oleifera Fruits
by Qiaoming Gao, Haoxiang Zeng, Qingqing Xin, Dongxue Wang, Jianyou Huang, Ya Cai, Yuejuan Li, Zepeng Jiang and Zhaofu Dun
Agriculture 2025, 15(24), 2585; https://doi.org/10.3390/agriculture15242585 - 14 Dec 2025
Viewed by 232
Abstract
To address the challenges of inefficient Camellia oleifera fruits harvesting in hilly and mountainous regions due to the difficulty of using large machinery, a handheld vibration harvesting device for Camellia oleifera fruits was designed. Based on the vibration-induced detachment process of Camellia oleifera [...] Read more.
To address the challenges of inefficient Camellia oleifera fruits harvesting in hilly and mountainous regions due to the difficulty of using large machinery, a handheld vibration harvesting device for Camellia oleifera fruits was designed. Based on the vibration-induced detachment process of Camellia oleifera fruits, a single-pendulum dynamic model of the “fruit-branch” system was established and solved to calculate the tangential acceleration required for fruit detachment. The key factors influencing harvesting efficiency were identified as vibration frequency, amplitude, height, and duration. Using ANSYS, modal response and harmonic response analyses were conducted on a 3D model of the Camellia oleifera tree to determine the operational parameters ensuring branch acceleration meets the fruit detachment. Furthermore, a rigid-flexible coupling simulation system integrating the harvesting device and Camellia oleifera tree was developed on the ADAMS. This analysis revealed the variation patterns of branch acceleration with respect to vibration frequency and clamping height, thereby validating the rationality of the dynamic model and the feasibility of the device. Finally, an orthogonal experiment was designed using Design-Expert 13, and multi-objective optimization analysis was performed on the device’s working parameters based on the experimental data. The aforementioned research identified the optimal working parameter combination and actual harvesting performance of the handheld vibration harvesting device: when the vibration frequency is 14 Hz, vibration height is 980 mm, and vibration duration is 13 s, the fruit picking rate reaches 95.22%. The harvesting efficiency of this device is significantly higher than manual picking methods, fully meeting the requirements for efficient Camellia oleifera fruit harvesting. Full article
(This article belongs to the Section Agricultural Technology)
Show Figures

Figure 1

17 pages, 5934 KB  
Article
Dynamic Response of an Over-Track Building to Metro Train Loads: A Scale Model Test
by Bin Zhang, Fengming Qin, Sinan Liu, Zipeng Huang and Yadong Li
Buildings 2025, 15(24), 4468; https://doi.org/10.3390/buildings15244468 - 10 Dec 2025
Viewed by 232
Abstract
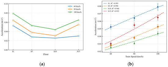
Vibration control for over-track structures is a key challenge in urban rail transit. To systematically investigate the determining effects of building height and train speed on dynamic response, this study developed a novel moving excitation system. Unlike conventional fixed-point or shaking table methods, [...] Read more.
Vibration control for over-track structures is a key challenge in urban rail transit. To systematically investigate the determining effects of building height and train speed on dynamic response, this study developed a novel moving excitation system. Unlike conventional fixed-point or shaking table methods, this system faithfully reproduces the spatio-temporal “scanning effect” of train loads. In conjunction with a 1:20 modular scaled physical model, a systematic experimental investigation was conducted on structures of different heights (2, 5, 8, 11, and 15 stories) under various train speeds (60, 80, and 100 km/h), with an experimental uncertainty controlled within ±6%. The results revealed two distinct patterns: low-rise rigid structures (≤5 stories) exhibited a monotonic amplification of vibration (top-floor response amplified by 13–28%), whereas mid-to-high-rise flexible structures (≥8 stories) displayed an “attenuation-followed-by-amplification” pattern, with mid-height vibration levels reduced by over 50%. This transition is attributed to a shift in structural dynamics, as the fundamental frequency decreases from approximately 230 Hz (2-story) to approximately 100 Hz (15-story). Furthermore, linear regression analysis (R2 > 0.93) confirmed that while train speed linearly scales the response amplitude, the distribution pattern is strictly dictated by the structure’s intrinsic low-order modes. These findings provide a quantified theoretical basis for vibration mitigation in over-track developments. Full article
Show Figures

Figure 1

23 pages, 6087 KB  
Article
A Machine Learning-Optimized Robot-Assisted Driving System for Efficient Flexible Forming of Composite Curved Components
by Wenliang Wang, Hexuan Shi, Xianhe Cheng, Rundong Ding, Junwei Sun, Yuan Li, Xingjian Wang, Shouzhi Hao, Jing Yan and Qigang Han
Eng 2025, 6(12), 356; https://doi.org/10.3390/eng6120356 - 7 Dec 2025
Cited by 1 | Viewed by 234
Abstract
Flexible forming technology breaks through the traditional reliance on rigid molds in the hot-pressing process and demonstrates great potential for fabricating large, lightweight composite components with curved geometries. However, the precise actuation and error control of discrete units in flexible molds remain key [...] Read more.
Flexible forming technology breaks through the traditional reliance on rigid molds in the hot-pressing process and demonstrates great potential for fabricating large, lightweight composite components with curved geometries. However, the precise actuation and error control of discrete units in flexible molds remain key technical challenges in the flexible forming of composites. This study proposes a high-precision and efficient method for the shape adjustment and error compensation of flexible multi-point molds. The proposed approach integrates the tangential offset unit configuration (TOUC) algorithm with an industrial robot to establish a robot-assisted precision driving system (RAPDS) for flexible molds. Furthermore, the main error-influencing factors of RAPDS are identified through correlation analysis and response surface modeling (RSM). Based on these findings, a backpropagation neural network (BPNN) is employed to predict adjustment errors, and heuristic algorithms guided by the structural characteristics of the BPNN are embedded into the framework to construct a bi-level optimization strategy that enhances model performance. The experimental results show that, compared with traditional methods, the robot-assisted flexible mold driving system improves the accuracy of shape adjustment by 31.0% and increases the production efficiency of composite components by 66.7%. Overall, this study develops a rapid, efficient, and highly precise flexible multi-point forming method for composite components, demonstrating strong potential for industrial applications. Full article
Show Figures

Figure 1

25 pages, 4969 KB  
Article
Dynamic Dual-Antenna Time-Slot Allocation Protocol for UAV-Aided Relaying System Under Probabilistic LoS-Channel
by Ping Huang, Jie Lin, Tong Liu, Jin Ning, Junsong Luo and Bin Duo
Sensors 2025, 25(24), 7443; https://doi.org/10.3390/s25247443 - 7 Dec 2025
Viewed by 249
Abstract
Unmanned Aerial Vehicle (UAV)-aided two-way relaying systems have attracted widespread attention due to their ability to improve communication efficiency, reduce deployment costs, and enhance reliability. However, most existing systems employ the Time-Division Multiple Access (TDMA) protocol, which suffers from rigid resource allocation and [...] Read more.
Unmanned Aerial Vehicle (UAV)-aided two-way relaying systems have attracted widespread attention due to their ability to improve communication efficiency, reduce deployment costs, and enhance reliability. However, most existing systems employ the Time-Division Multiple Access (TDMA) protocol, which suffers from rigid resource allocation and fails to efficiently manage antenna resources within a time slot for multiple users. Furthermore, the reliance on simple Line-of-Sight (LoS) channel models in many studies is often inaccurate, leading to significant performance degradation. To address these issues, this paper investigates a UAV-assisted two-way relaying system based on the Probabilistic Line-of-Sight (PrLoS) model. We propose a novel two-way transmission protocol, termed the Dynamic Dual-Antenna Time-Slot Allocation Protocol (DDATSAP), to facilitate flexible antenna resource allocation for multiple user pairs. To maximize the minimum average message rate for ground users, we jointly optimize the Resource Scheduling Factor (RSF), transmit power, and UAV trajectory. Since the formulated problem is non-convex and challenging to solve directly, we propose an efficient iterative algorithm based on Successive Convex Approximation (SCA) and Block Coordinate Descent (BCD) techniques. Numerical simulation results demonstrate that the proposed scheme exhibits superior performance compared to benchmark systems. Full article
Show Figures

Figure 1

8 pages, 425 KB  
Proceeding Paper
Electrified Pressure Swing Distillation: A Systems-Based Sustainability Assessment
by Jonathan Wavomba Mtogo, Gladys Wanyaga Mugo, Emmanuel Karimere Kariuki, Martin Murimi Gichungu and Bevin Nabai Kundu
Eng. Proc. 2025, 117(1), 6; https://doi.org/10.3390/engproc2025117006 - 3 Dec 2025
Viewed by 400
Abstract
The decarbonisation of energy-intensive separation processes is critical for achieving net-zero goals in the chemical industry. While widely used for separating azeotropic mixtures, pressure swing distillation (PSD) remains highly energy-intensive due to significant thermal demands. This work presents a comprehensive systems-based assessment of [...] Read more.
The decarbonisation of energy-intensive separation processes is critical for achieving net-zero goals in the chemical industry. While widely used for separating azeotropic mixtures, pressure swing distillation (PSD) remains highly energy-intensive due to significant thermal demands. This work presents a comprehensive systems-based assessment of electrified distillation designs, with a specific focus on tetrahydrofuran–water separation as a case study. Using Aspen Plus and Aspen Plus Dynamics, key performance indicators, including controllability, thermal and exergy efficiencies, and CO2 emissions reduction potential, are evaluated. The electrified configurations employed heat pumps as substitutes for conventional steam heating. Disturbance rejection was applied to compare the input–output pairings and select pairings with the best controllability and disturbance rejection indices. Results showed that the conventional PSD (CPSD) exhibited higher Morari Resiliency Index (MRI) and acceptable Condition Number (CN) values, indicating better robustness and disturbance rejection than the heat pump-assisted PSD (HPAPSD). Despite this, HPAPSD achieved a 59% reduction in primary energy demand, a 23% increase in exergy efficiency, and an 82% reduction in CO2 emissions. This study demonstrates the potential of electrification to transform PSD systems from rigid, energy-intensive operations into flexible and sustainable processes. The findings support a shift towards integrated, systems-driven design strategies in chemical separation, aligning with broader goals in process electrification, circularity, and net-zero manufacturing. Full article
Show Figures

Figure 1

20 pages, 1036 KB  
Article
Auxiliary Down-Slope Effects of Anti-Rollback Mechanisms in Manual Wheelchair Systems
by Bartosz Wieczorek, Łukasz Warguła and Marcin Giedrowicz
Appl. Sci. 2025, 15(23), 12768; https://doi.org/10.3390/app152312768 - 2 Dec 2025
Viewed by 269
Abstract
The aim of this study was to experimentally assess the effect of increased rolling resistance, generated by the Anti-Rollback System, on the muscular load of a manual wheelchair user during downhill movement. Three descent conditions were compared: without the module (NAR), with a [...] Read more.
The aim of this study was to experimentally assess the effect of increased rolling resistance, generated by the Anti-Rollback System, on the muscular load of a manual wheelchair user during downhill movement. Three descent conditions were compared: without the module (NAR), with a flexible roller (EAR), and with a rigid roller (SAR). The experiment was conducted on a 6.3 m ramp inclined at 5°, involving eight adult male participants. Muscle effort was evaluated using three indicators: normalized cumulative muscle load per second (CML/s), normalized muscle activity (EMGnorm), and the peak-to-mean ratio of the EMG signal (PMR). Statistical analysis revealed significant differences between configurations (p < 0.05). Use of the module significantly reduced muscular load compared with the reference condition: CML/s decreased by 29.41% in both EAR and SAR, while EMGnorm was reduced by 44.44% in EAR and 50.00% in SAR. PMR reached its lowest value in EAR (4.78), suggesting smoother muscle activation and lower local peak tension. The results indicate that the resistive torque generated by the frictional coupling between the wheelchair tire and the anti-rollback roller, although disadvantageous during propulsion, contributes to improved control and stability during downhill descent, highlighting the system’s dual functional potential. Full article
Show Figures

Figure 1

46 pages, 10017 KB  
Review
The 3D Printing of Flexible Materials: Technologies, Materials, and Challenges
by Suyun Li, Zengqin Shi, Yixuan Wang, Wenqing Wang and Rujie He
Materials 2025, 18(23), 5428; https://doi.org/10.3390/ma18235428 - 2 Dec 2025
Viewed by 1170
Abstract
Due to their unique functional properties, such as deformability, bendability, stretchability, and even biocompatibility, sensing, or actuation, flexible materials have become an indispensable and crucial component in electronic systems such as wearable electronic devices and soft robots. Facing the complex demands of various [...] Read more.
Due to their unique functional properties, such as deformability, bendability, stretchability, and even biocompatibility, sensing, or actuation, flexible materials have become an indispensable and crucial component in electronic systems such as wearable electronic devices and soft robots. Facing the complex demands of various application scenarios, 3D printing technology can be utilized to customize the preparation of various flexible materials into desired shapes. However, compared to rigid materials, flexible materials still face printing issues such as pore defects and weak interlayer bonding during the 3D printing process. Therefore, this paper focuses on analyzing the key bottleneck issues and technical challenges currently existing in flexible material 3D printing technology, and provides an overview of the progress in preparing flexible materials using 3D printing technologies, such as Material Extrusion and Vat Polymerization. Finally, it looks forward to the technical challenges and future development of 3D printing with flexible materials. Full article
(This article belongs to the Special Issue Advances and Applications of 3D Printing and Additive Manufacturing)
Show Figures

Figure 1

42 pages, 3367 KB  
Systematic Review
Automated and Intelligent Inspection of Airport Pavements: A Systematic Review of Methods, Accuracy and Validation Challenges
by Ianca Feitosa, Bertha Santos and Pedro G. Almeida
Future Transp. 2025, 5(4), 183; https://doi.org/10.3390/futuretransp5040183 - 1 Dec 2025
Viewed by 369
Abstract
Airport pavement condition assessment plays a critical role in ensuring operational safety, surface functionality, and long-term infrastructure sustainability. Traditional visual inspection methods, although widely used, are increasingly challenged by limitations in accuracy, subjectivity, and scalability. In response, the field has seen a growing [...] Read more.
Airport pavement condition assessment plays a critical role in ensuring operational safety, surface functionality, and long-term infrastructure sustainability. Traditional visual inspection methods, although widely used, are increasingly challenged by limitations in accuracy, subjectivity, and scalability. In response, the field has seen a growing adoption of automated and intelligent inspection technologies, incorporating tools such as unmanned aerial vehicles (UAVs), Laser Crack Measurement Systems (LCMS), and machine learning algorithms. This systematic review aims to identify, categorize, and analyze the main technological approaches applied to functional pavement inspections, with a particular focus on surface distress detection. The study examines data collection techniques, processing methods, and validation procedures used in assessing both flexible and rigid airport pavements. Special emphasis is placed on the precision, applicability, and robustness of automated systems in comparison to traditional approaches. The reviewed literature reveals a consistent trend toward greater accuracy and efficiency in systems that integrate deep learning, photogrammetry, and predictive modeling. However, the absence of standardized validation protocols and statistically robust datasets continues to hinder comparability and broader implementation. By mapping existing technologies, identifying methodological gaps, and proposing strategic research directions, this review provides a comprehensive foundation for the development of scalable, data-driven airport pavement management systems. Full article
Show Figures

Figure 1

23 pages, 10702 KB  
Article
A Versatile SPH Approach for Modelling Very Flexible and Modularized Floating Structures in Moored Configurations
by Rafail Ioannou, Vasiliki Stratigaki, Eva Loukogeorgaki and Peter Troch
J. Mar. Sci. Eng. 2025, 13(12), 2283; https://doi.org/10.3390/jmse13122283 - 30 Nov 2025
Cited by 1 | Viewed by 354
Abstract
A variety of Offshore Floating Photovoltaics (OFPVs) applications rely on the capacity of their floating support structures displacing in the shape of surface waves to reduce extreme wave-induced loads exerted on their floating-mooring system. This wave-adaptive displacement behaviour is typically realized through two [...] Read more.
A variety of Offshore Floating Photovoltaics (OFPVs) applications rely on the capacity of their floating support structures displacing in the shape of surface waves to reduce extreme wave-induced loads exerted on their floating-mooring system. This wave-adaptive displacement behaviour is typically realized through two principal design approaches, either by employing slender and continuously deformable structures composed of highly elastic materials or by decomposing the structure into multiple floating rigid pontoons interconnected via flexible connectors. The hydrodynamic behaviour of these structures is commonly analyzed in the literature using potential flow theory, to characterize wave loading, whereas in order to deploy such OFPV prototypes in realistic marine environments, a high-fidelity numerical fluid–structure interaction model is required. Thus, a versatile three-dimensional numerical scheme is herein presented that is capable of handling non-linear fluid-flexible structure interactions for Very Flexible Floating Structures (VFFSs): Multibody Dynamics (MBD) for modularized floating structures and floating-mooring line interactions. In the present study, this is achieved by employing the Smoothed Particles Hydrodynamics (SPH) fluid model of DualSPHysics, coupled both with the MBD module of Project Chrono and the MoorDyn+ lumped-mass mooring model. The SPH-MBD coupling enables modelling of large and geometrically non-linear displacements of VFFS within an Applied Element Method (AEM) plate formulation, as well as rigid body dynamics of modularized configurations. Meanwhile, the SPH-MoorDyn+ captures the fully coupled three-dimensional response of floating-mooring and floating-floating dynamics, as it is employed to model both moorings and flexible interconnectors between bodies. The coupled SPH-based numerical scheme is herein validated against physical experiments, capturing the hydroelastic response of VFFS, rigid body hydrodynamics, mooring line dynamics, and flexible connector behaviour under wave loading. The demonstrated numerical methodology represents the first validated Computational Fluid Dynamics (CFD) application of moored VFFS in three-dimensional domains, while its robustness is further confirmed using modular floating systems, enabling OFPV engineers to comparatively assess these two types of wave-adaptive designs in a unified numerical framework. Full article
(This article belongs to the Section Ocean Engineering)
Show Figures

Figure 1

Back to TopTop