Sign in to use this feature.

Years

Between: -

Subjects

remove_circle_outline
remove_circle_outline
remove_circle_outline
remove_circle_outline
remove_circle_outline
remove_circle_outline
remove_circle_outline
remove_circle_outline
remove_circle_outline

Journals

remove_circle_outline
remove_circle_outline
remove_circle_outline
remove_circle_outline
remove_circle_outline
remove_circle_outline
remove_circle_outline
remove_circle_outline
remove_circle_outline

Article Types

Countries / Regions

remove_circle_outline
remove_circle_outline
remove_circle_outline
remove_circle_outline
remove_circle_outline

Search Results (1,137)

Search Parameters:
Keywords = region-level segmentation

Order results
Result details
Results per page
Select all
Export citation of selected articles as:
16 pages, 3983 KB  
Article
Wind Regime Variability and Spatiotemporal Distribution of Aeolian Sand Hazards Along a Gobi Desert Highway in the Ejin Banner, Northern China
by Xixi Ma, Jianhua Xiao, Zhengyi Yao, Xuefeng Hong and Xinglu Gao
Sustainability 2026, 18(3), 1645; https://doi.org/10.3390/su18031645 - 5 Feb 2026
Abstract
Aeolian sand hazards severely constrain highway safety and operation in arid regions. To support targeted mitigation along Highway S315 in the Gobi Desert of northern China, this study integrates meteorological observations with sand removal records to quantify wind regimes and classify sand hazard [...] Read more.
Aeolian sand hazards severely constrain highway safety and operation in arid regions. To support targeted mitigation along Highway S315 in the Gobi Desert of northern China, this study integrates meteorological observations with sand removal records to quantify wind regimes and classify sand hazard intensity. Event thresholds were objectively identified using change points in semi-logarithmic distributions of daily sand removal volumes, and spatial hazard severity was graded based on annual sand removal per unit road length. The results showed that (1) the study area was subject to intense aeolian activity, with a mean annual sand-driving wind frequency of 23.98%, an annual drift potential of 344.91 vector units (VU), and a resultant sand transport direction of 129.88° (east–southeast). (2) Based on inflection point characteristics, sand hazard events were classified into three intensity levels, namely, slight (<800 m3), moderate (800–3000 m3), and severe (>3000 m3), accounting for 13.0%, 76.1%, and 10.9% of all events along Highway S315, respectively. (3) Spatial grading criteria for sand hazard severity were defined as slight (<3 × 103 m3 km−1 yr−1), moderate (3 × 103–1.0 × 104 m3 km−1 yr−1), and severe (>1.0 × 104 m3 km−1 yr−1). Application of these criteria to a representative road section (K9+000–K30+600; 21.6 km) indicated that severe, moderate, and slight sand hazard segments extend over 6.0 km, 9.1 km, and 6.5 km, respectively, thereby delineating priority zones for targeted mitigation measures. This study proposes a quantitative framework that couples regional wind-driven sand dynamics with highway hazard severity, enabling targeted mitigation and offering a transferable reference for sand risk management in arid and desert regions. Full article
Show Figures

Figure 1

29 pages, 25337 KB  
Article
PTU-Net: A Polarization-Temporal U-Net for Multi-Temporal Sentinel-1 SAR Crop Classification
by Feng Tan, Xikai Fu, Huiming Chai and Xiaolei Lv
Remote Sens. 2026, 18(3), 514; https://doi.org/10.3390/rs18030514 - 5 Feb 2026
Abstract
Accurate crop type mapping remains challenging in regions where persistent cloud cover limits the availability of optical imagery. Multi-temporal dual-polarization Sentinel-1 SAR data offer an all-weather alternative, yet existing approaches often underutilize polarization information and rely on single-scale temporal aggregation. This study proposes [...] Read more.
Accurate crop type mapping remains challenging in regions where persistent cloud cover limits the availability of optical imagery. Multi-temporal dual-polarization Sentinel-1 SAR data offer an all-weather alternative, yet existing approaches often underutilize polarization information and rely on single-scale temporal aggregation. This study proposes PTU-Net, a polarization–temporal U-Net designed specifically for pixel-wise crop segmentation from SAR time series. The model introduces a Polarization Channel Attention module to construct physically meaningful VV/VH combinations and adaptively enhance their contributions. It also incorporates a Multi-Scale Temporal Self-Attention mechanism to model pixel-level backscatter trajectories across multiple spatial resolutions. Using a 12-date Sentinel-1 stack over Kings County, California, and high-quality crop-type reference labels, the model was trained and evaluated under a spatially independent split. Results show that PTU-Net outperforms GRU, ConvLSTM, 3D U-Net, and U-Net–ConvLSTM baselines, achieving the highest overall accuracy and mean IoU among all tested models. Ablation studies confirm that both polarization enhancement and multi-scale temporal modeling contribute substantially to performance gains. These findings demonstrate that integrating polarization-aware feature construction with scale-adaptive temporal reasoning can substantially improve the effectiveness of SAR-based crop mapping, offering a promising direction for operational agricultural monitoring. Full article
22 pages, 1982 KB  
Article
Enhanced 3D DenseNet with CDC for Multimodal Brain Tumor Segmentation
by Bekir Berkcan and Temel Kayıkçıoğlu
Appl. Sci. 2026, 16(3), 1572; https://doi.org/10.3390/app16031572 - 4 Feb 2026
Abstract
Precise tumor segmentation in multimodal MRI is crucial for glioma diagnosis and treatment planning; yet, deep learning models still struggle with irregular boundaries and severe class imbalance under computational constraints. An Enhanced 3D DenseNet with CDC architecture was proposed, integrating Central Difference Convolution, [...] Read more.
Precise tumor segmentation in multimodal MRI is crucial for glioma diagnosis and treatment planning; yet, deep learning models still struggle with irregular boundaries and severe class imbalance under computational constraints. An Enhanced 3D DenseNet with CDC architecture was proposed, integrating Central Difference Convolution, attention gates, and Atrous Spatial Pyramid Pooling for brain tumor segmentation on the BraTS 2023-GLI dataset. CDC layers enhance boundary sensitivity by combining intensity-level semantics and gradient-level features. Attention gates selectively emphasize relevant encoder features during skip connections, whereas the ASPP captures the multi-scale context with dilation rates. A hybrid loss function spanning three levels was introduced, consisting of a region-based Dice loss for volumetric overlap, a GPU-native 3D Sobel boundary loss for edge precision, and a class-weighted focal loss for handling class imbalance. The proposed model achieved a mean Dice score of 91.30% (ET: 87.84%, TC: 92.73%, WT: 93.34%) on the test set. Notably, these results were achieved with approximately 3.7 million parameters, representing a 17–76x reduction compared to the 50–200 million parameters required by transformer-based approaches. Enhanced 3D DenseNet with CDC architecture demonstrates that the integration of gradient-sensitive convolutions, attention mechanisms, multi-scale feature extraction, and multi-level loss optimization achieves competitive segmentation performance with significantly reduced computational requirements. Full article
Show Figures

Figure 1

17 pages, 4768 KB  
Article
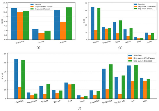
On Segment-Aware Monocular Depth Estimation Using Vision Transformers
by Vasileios Arampatzakis, George Pavlidis, Nikolaos Mitianoudis and Nikos Papamarkos
Information 2026, 17(2), 145; https://doi.org/10.3390/info17020145 - 2 Feb 2026
Viewed by 147
Abstract
Monocular Depth Estimation (MDE) infers per-pixel scene geometry from a single RGB image. Despite recent progress, global MDE models often blur depth discontinuities at object boundaries and fail to capture object-level structure. Segment-aware depth estimation addresses this limitation by exploiting semantic segmentation to [...] Read more.
Monocular Depth Estimation (MDE) infers per-pixel scene geometry from a single RGB image. Despite recent progress, global MDE models often blur depth discontinuities at object boundaries and fail to capture object-level structure. Segment-aware depth estimation addresses this limitation by exploiting semantic segmentation to decompose depth prediction into simpler, class-specific subproblems. In this work, we study semantic-aware MDE in a multi-branch design where each semantic class is handled by a lightweight Vision Transformer (ViT) branch that predicts dense depth for its class while suppressing interference from other regions. We further examine fusion strategies that merge the branch outputs into a single prediction: (i) a learnable cross-attention fusion module that predicts depth from the stack of per-class proposals and masks, and (ii) a parameter-free stitched summation that sums mask-gated outputs. The proposed architecture is simple, scalable, end-to-end trainable, and compatible with arbitrary transformer backbones. Experiments on Virtual KITTI 2, where ground-truth depth and semantic labels are available, show that segment-aware modeling produces sharper depth boundaries and improves standard error metrics compared to a single-branch baseline (AbsRel 0.243→0.152; RMSE 11.952→9.101). Finally, we find that the parameter-free summation matches, and in most cases improves upon, the accuracy of learned fusion while adding no computational overhead. Full article
Show Figures

Figure 1

11 pages, 1038 KB  
Data Descriptor
Refined IDRiD: An Enhanced Dataset for Diabetic Retinopathy Segmentation with Expert-Validated Annotations and Comprehensive Anatomical Context
by Sakon Chankhachon, Supaporn Kansomkeat, Patama Bhurayanontachai and Sathit Intajag
Data 2026, 11(2), 30; https://doi.org/10.3390/data11020030 - 1 Feb 2026
Viewed by 180
Abstract
The Indian Diabetic Retinopathy Image Dataset (IDRiD) has been widely adopted for DR lesion segmentation research. However, it contains annotation gaps for proliferative DR lesions and labeling errors that limit its utility for comprehensive automated screening systems. We present Refined IDRiD, an enhanced [...] Read more.
The Indian Diabetic Retinopathy Image Dataset (IDRiD) has been widely adopted for DR lesion segmentation research. However, it contains annotation gaps for proliferative DR lesions and labeling errors that limit its utility for comprehensive automated screening systems. We present Refined IDRiD, an enhanced version that addresses these limitations through (1) expert ophthalmologist validation and correction of labeling errors in original annotations for four non-proliferative lesions (microaneurysms, hemorrhages, hard exudates, cotton-wool spots), (2) the addition of three critical proliferative DR lesion annotations (neovascularization, vitreous hemorrhage, intraretinal microvascular abnormalities), and (3) the integration of comprehensive anatomical context (optic disc, fovea, blood vessels, retinal region). A team of three ophthalmologists (one senior specialist with >10 years’ experience, two expert fundus image annotators) conducted systematic annotation refinement, achieving an inter-rater agreement F1-score of 0.9012. The enhanced dataset comprises 81 high-resolution fundus images with pixel-level annotations for seven DR lesion types and four anatomical structures. All images were cropped to the retinal region of interest and resized to 1024 × 1024 pixels, with annotations stored as unified grayscale masks containing 12 classes enabling efficient multi-task learning. Refined IDRiD enables training of comprehensive DR screening systems capable of detecting both non-proliferative and proliferative stages while reducing false positives through anatomical context awareness. Full article
Show Figures

Figure 1

24 pages, 30825 KB  
Article
MA-Net: Multi-Granularity Attention Network for Fine-Grained Classification of Ship Targets in Remote Sensing Images
by Jiamin Qi, Peifeng Li, Guangyao Zhou, Ben Niu, Feng Wang, Qiantong Wang, Yuxin Hu and Xiantai Xiang
Remote Sens. 2026, 18(3), 462; https://doi.org/10.3390/rs18030462 - 1 Feb 2026
Viewed by 171
Abstract
The classification of ship targets in remote sensing images holds significant application value in fields such as marine monitoring and national defence. Although existing research has yielded considerable achievements in ship classification, current methods struggle to distinguish highly similar ship categories for fine-grained [...] Read more.
The classification of ship targets in remote sensing images holds significant application value in fields such as marine monitoring and national defence. Although existing research has yielded considerable achievements in ship classification, current methods struggle to distinguish highly similar ship categories for fine-grained classification tasks due to a lack of targeted design. Specifically, they exhibit the following shortcomings: limited ability to extract locally discriminative features; inadequate fusion of features at high and low levels of representation granularity; and sensitivity of model performance to background noise. To address this issue, this paper proposes a fine-grained classification framework for ship targets in remote sensing images based on Multi-Granularity Attention Network (MA-Net), specifically designed to tackle the aforementioned three major challenges encountered in fine-grained classification tasks for ship targets in remote sensing. This framework first performs multi-level feature extraction through a backbone network, subsequently introducing an Adaptive Local Feature Attention (ALFA) module. This module employs dynamic overlapping region segmentation techniques to assist the network in learning spatial structural combinations, thereby optimising the representation of local features. Secondly, a Dynamic Multi-Granularity Feature Fusion (DMGFF) module is designed to dynamically fuse feature maps of varying representational granularities and select key attribute features. Finally, a Feature-Based Data Augmentation (FBDA) method is developed to effectively highlight target detail features, thereby enhancing feature expression capabilities. On the public FGSC-23 and FGSCR-42 datasets, MA-Net attains top-performing accuracies of 93.12% and 98.40%, surpassing the previous best methods and establishing a new state of the art for fine-grained classification of ship targets in remote sensing images. Full article
Show Figures

Figure 1

13 pages, 2194 KB  
Article
Evolution of rDNA-Linked Segmental Duplications as Lineage-Specific Mosaics in Great Apes
by Luciana de Gennaro, Rosaria Magrone, Claudia Rita Catacchio and Mario Ventura
Genes 2026, 17(2), 185; https://doi.org/10.3390/genes17020185 - 31 Jan 2026
Viewed by 110
Abstract
Background/Objectives: Segmental duplications (SDs) are major drivers of genome evolution and structural variation in primates, particularly within acrocentric chromosomes, where rDNA arrays and duplicated sequences are densely clustered. However, the evolutionary dynamics of rDNA-linked SDs across great ape lineages have remained poorly [...] Read more.
Background/Objectives: Segmental duplications (SDs) are major drivers of genome evolution and structural variation in primates, particularly within acrocentric chromosomes, where rDNA arrays and duplicated sequences are densely clustered. However, the evolutionary dynamics of rDNA-linked SDs across great ape lineages have remained poorly characterized due to longstanding technical limitations in genome assembly. Here, we investigate the organization, copy number variation, and evolutionary conservation of acrocentric SDs in great apes by integrating fluorescence in situ hybridization (FISH) with comparative analyses of telomere-to-telomere (T2T) genome assemblies. Methods: Using eight human-derived fosmid probes targeting SD-enriched regions flanking rDNA arrays, we analyzed multiple individuals from chimpanzee, bonobo, gorilla, and both Bornean and Sumatran orangutans. Results: Our FISH analyses revealed extensive lineage-specific variation in SD copy number and chromosomal distribution, with pronounced heteromorphism in African great apes, particularly gorillas, and more conserved patterns in orangutans. Several SDs showed fixed duplications across species, while others exhibited high levels of polymorphism and individual-specific organization. Conclusions: Comparison with T2T assemblies confirmed consistent genomic localization for a subset of probes, whereas others displayed partial discordance, highlighting the persistent challenges in resolving highly repetitive and structurally dynamic regions even with state-of-the-art assemblies. Genome-wide analyses further revealed species-specific enrichment of SDs on rDNA-bearing chromosomes, with chimpanzees and bonobos showing higher proportions than gorillas, and contrasting patterns between the two orangutan species. Overall, our results demonstrate that rDNA-linked SDs represent highly dynamic genomic compartments that have undergone differential expansion and remodeling during great ape evolution. These regions contribute substantially to inter- and intra-species structural variation and provide a mechanistic substrate for lineage-specific genome evolution, underscoring the importance of integrating cytogenetic and T2T-based approaches to fully capture the complexity of duplicated genomic landscapes. Full article
Show Figures

Figure 1

38 pages, 1612 KB  
Article
The Mechanism and Spatiotemporal Variations in Digital Economy in Enhancing Resilience of the Cotton Industry Chain
by Muhabaiti Pareti, Sixue Qin, Yang Su, Jiao Zhang and Jiangtao Zhang
Systems 2026, 14(2), 152; https://doi.org/10.3390/systems14020152 - 31 Jan 2026
Viewed by 75
Abstract
In the era of the digital economy, enhancing the resilience of industrial chains is a core task in building a modern industrial system. This paper views the cotton industrial chain as a system composed of multiple segments and entities, aiming to explore how [...] Read more.
In the era of the digital economy, enhancing the resilience of industrial chains is a core task in building a modern industrial system. This paper views the cotton industrial chain as a system composed of multiple segments and entities, aiming to explore how the digital economy drives the collaborative evolution of the chain’s constituent elements, organizational structure, and overall functions, ultimately enhancing its resilience to respond to shocks and adapt to changes. The study focuses on the cotton industrial chain, systematically analyzing the mechanisms and spatiotemporal characteristics of the digital economy’s impact on its resilience, aiming to provide theoretical support and practical pathways for constructing a secure, efficient, and sustainable cotton industrial chain. Based on panel data from nine provinces in China’s three major cotton-producing regions from 2013 to 2022, the study uses the entropy method to measure the technological innovation vitality and the resilience of the cotton industrial chain, employing a semi-parametric panel model to empirically test the systemic association between them, and utilizing a mediation effect model to identify the roles of market information utilization and the scale of planting in this relationship. The findings indicate the following: (1) The development of the digital economy significantly enhances the resilience of the cotton industrial chain and exhibits an inverted U-shaped nonlinear relationship. (2) The digital economy enhances the overall resilience and synergy of the cotton industrial chain through two key pathways: improving the technological innovation vitality and increasing the level of planting scale. (3) The influence of the digital economy on the resilience of the cotton industrial chain shows geographical heterogeneity, with the order being “Yangtze River Basin cotton areas > Northwest Inland cotton areas > Yellow River Basin cotton areas.” The impact of the digital economy on the resilience of the cotton industrial chain also exhibits temporal heterogeneity, with “2013–2017 > 2018–2022.” From the perspective of system optimization, future efforts should focus on constructing regionally differentiated collaborative mechanisms, improving the integrated platform for market information services, strengthening incentives for large-scale planting policies, enhancing the digital literacy of practitioners, and conducting skills training, in order to strengthen the overall resilience and sustainable evolution of China’s cotton industrial chain. Full article
(This article belongs to the Section Supply Chain Management)
20 pages, 30275 KB  
Article
Manifold Integration of Lung Emphysema Signatures (MILES): A Radiomic-Based Study
by Marek Socha, Agata Durawa, Małgorzata Jelito, Katarzyna Dziadziuszko, Witold Rzyman, Edyta Szurowska and Joanna Polanska
Mach. Learn. Knowl. Extr. 2026, 8(2), 32; https://doi.org/10.3390/make8020032 - 30 Jan 2026
Viewed by 236
Abstract
Chronic obstructive pulmonary disease (COPD) is the third leading cause of death worldwide, and emphysema is present in the majority of affected patients and can be identified on computed tomography (CT). This study investigated whether radiomic features derived from automatically and adaptively segmented [...] Read more.
Chronic obstructive pulmonary disease (COPD) is the third leading cause of death worldwide, and emphysema is present in the majority of affected patients and can be identified on computed tomography (CT). This study investigated whether radiomic features derived from automatically and adaptively segmented low-attenuation lung regions can capture distinct imaging characteristics of COPD beyond conventional emphysema measures. Radiomic features were extracted from 6078 chest CT scans of 2243 participants from the COPDGene cohort. Emphysematous regions were segmented using the MimSeg method based on Gaussian mixture modelling with patient-adjusted thresholding, and radiomic features were computed for individual lesion clusters and aggregated per patient using summary statistics, yielding 780 features per subject. Uniform Manifold Approximation and Projection (UMAP) was used to generate a low-dimensional embedding, and feature contributions were evaluated using SHAP analysis and statistical testing. The resulting embedding demonstrated structured patterns broadly aligned with Global Initiative for Chronic Obstructive Lung Disease (GOLD) stages, with greater overlap among GOLD 0–2 and more consolidated groupings for GOLD 3 and 4, reflecting differences in disease severity. The most influential features were predominantly derived from Grey Level Run Length Matrix measures, capturing textural heterogeneity and spatial organisation of emphysematous changes that are not directly described by standard density-based metrics. These findings suggest that radiomic analysis of adaptively segmented CT data may provide complementary and structurally distinct information relative to conventional emphysema measures, supporting a more nuanced characterisation of emphysema patterns in COPD. Full article
(This article belongs to the Section Learning)
Show Figures

Figure 1

20 pages, 4691 KB  
Article
Two-Stage Extraction of Large-Area Water Bodies Based on Multi-Modal Remote Sensing Data
by Lisheng Li, Weitao Han and Qinghua Qiao
Sustainability 2026, 18(3), 1362; https://doi.org/10.3390/su18031362 - 29 Jan 2026
Viewed by 112
Abstract
In view of the current remote sensing-based water body extraction research mostly relying on single data sources, being limited to specific water body types or regions, failing to leverage the advantages of multi-source data, and having difficulty in achieving large-scale, high-precision and rapid [...] Read more.
In view of the current remote sensing-based water body extraction research mostly relying on single data sources, being limited to specific water body types or regions, failing to leverage the advantages of multi-source data, and having difficulty in achieving large-scale, high-precision and rapid extraction, this paper integrates optical images and Synthetic Aperture Radar (SAR) data, and adopts an adaptive threshold segmentation method to propose a technical approach suitable for high-precision water body extraction on a monthly scale in large regions, which can efficiently extract water body information in large regions. Taking Beijing as the study area, the monthly spatial distribution of water bodies from 2019 to 2020 was extracted, and the pixel-level accuracy verification was carried out using the JRC Global Surface Water Dataset from the European Commission’s Joint Research Centre. The experimental results show that the water body extraction results are good, the extraction precision is generally higher than 0.8, and most of them can reach over 0.95. Finally, the method was applied to extract and analyze water body changes caused by heavy rainfall in Beijing in July 2025. This analysis further confirmed the effectiveness, accuracy, and practical utility of the proposed method. Full article
Show Figures

Figure 1

29 pages, 644 KB  
Article
The Impact of Supply Chain Innovation on Corporate Sustainable Development: Evidence from the Supply Chain Innovation and Application Pilot Policy
by Hui Peng, Zhao Zhang and Zhibin Tao
Sustainability 2026, 18(3), 1358; https://doi.org/10.3390/su18031358 - 29 Jan 2026
Viewed by 146
Abstract
Amid profound transformations in the global political and economic landscape and increasingly stringent resource and environmental constraints, enhancing corporate competitiveness under high uncertainty and achieving sustainable development have become core challenges for firms. Based on data from Chinese A-share listed companies during 2013–2024, [...] Read more.
Amid profound transformations in the global political and economic landscape and increasingly stringent resource and environmental constraints, enhancing corporate competitiveness under high uncertainty and achieving sustainable development have become core challenges for firms. Based on data from Chinese A-share listed companies during 2013–2024, this study constructs a corporate sustainable development indicator system under the triple bottom line framework and measures it using the entropy method. Meanwhile, the Supply Chain Innovation and Application Pilot policy is treated as a quasi-natural experiment, and a Staggered Difference-in-Differences (DID) model is employed to systematically examine the impact of supply chain innovation on corporate sustainable development. The results indicate that supply chain innovation significantly enhances firms’ sustainable development performance, and this finding remains robust across a series of robustness checks. Mechanism analysis shows that the policy effect primarily operates through two channels: relational effects and informational effects. On the one hand, supply chain innovation strengthens collaboration and trust between firms and their upstream and downstream partners, improving supply chain stability and overall operational efficiency. On the other hand, it promotes information sharing and digital coordination, alleviates information asymmetry, and optimizes resource allocation, thereby boosting corporate sustainability. Further heterogeneity analysis reveals that the policy effect is more pronounced in firms with higher levels of digitalization and weaker market pricing power, in upstream segments of the value chain, in industries with higher warehousing and transportation costs and lower market competition, and in regions with more advanced digital infrastructure and relatively richer resource endowments. Full article
Show Figures

Figure 1

23 pages, 5325 KB  
Article
Localization and Expression of Aquaporin 0 (AQP0/MIP) in the Tissues of the Spiny Dogfish (Squalus acanthias)
by Christopher P. Cutler, Casi R. Curry, Fallon S. Hall and Tolulope Ojo
Int. J. Mol. Sci. 2026, 27(3), 1317; https://doi.org/10.3390/ijms27031317 - 28 Jan 2026
Viewed by 139
Abstract
The aquaporin 0 (AQP0)/major intrinsic protein of eye lens (MIP) cDNA was cloned and sequenced. Initial studies of the tissue distribution of mRNA expression proved to be incorrect. Subsequent experiments showed that AQP0 mRNA is expressed strongly in the eye with [...] Read more.
The aquaporin 0 (AQP0)/major intrinsic protein of eye lens (MIP) cDNA was cloned and sequenced. Initial studies of the tissue distribution of mRNA expression proved to be incorrect. Subsequent experiments showed that AQP0 mRNA is expressed strongly in the eye with moderately strong expression in the kidneys and some expression was seen in the brain and muscle tissue, and very low expression in the esophagus/fundic stomach. Another set of PCR reactions with five times the amount of cDNA additionally showed mRNA/cDNA expression in the liver, rectal gland, and a very low level in the intestine. Sporadic expression of different pieces of AQP0 cDNA was seen in various experiments in gill and pyloric stomach. A custom polyclonal antibody was produced against a region near the C-terminal end of the AQP0 protein sequence. The antibody gave a band of around the correct size (for the AQP0 protein) on the Western blot, which also showed a few other higher-molecular-weight bands. The antibody was also used in immunohistochemistry, and in the kidney, it showed staining in the proximal II (PII), intermediate segment I (IS I), and late distal tubule (LDT) parts of the sinus zone region of nephrons as well as some staining in the bundle zone tubule segments, suggesting a role for AQP0 as a water channel. In the rectal gland, the antibody showed weak apical membrane staining in a few secretory tubules near the duct, but also somewhat stronger staining in cells appearing to connect various secretory tubules, suggesting a role in cell–cell adhesion. In the spiral valve intestine side wall and valve flap, after signal amplification, weak antibody staining was seen in the apical and lateral membranes of epithelial cells adjacent to the luminal surface. There was also some staining in the intestinal muscle. In the rectum/colon, staining was seen in a layer of cells underlying the epithelium and in some muscle layers. In the gill, there was very weak staining in secondary lamellae epithelial cells and in connective tissue surrounding blood vessels and blood sinuses. The low level of transcript expression in the rectal gland, gill, and intestinal tissues suggests caution in the interpretation of the immunohistochemical staining in these tissues. Full article
(This article belongs to the Special Issue New Insights into Aquaporins: 2nd Edition)
Show Figures

Figure 1

19 pages, 3220 KB  
Article
Integrating Inverse Kinematics and the Facial Action Coding System for Physically Grounded Facial Expression Synthesis
by Binghao Wang, Lei Jing, Jungpil Shin and Xiang Li
Electronics 2026, 15(3), 558; https://doi.org/10.3390/electronics15030558 - 28 Jan 2026
Viewed by 232
Abstract
Synthesizing anatomically plausible facial expressions for embodied avatars requires bridging the gap between high-level semantic intent and low-level physical constraints. This study presents a unified architecture that establishes a “Semantic-Kinematic Loop,” explicitly coupling FACS-based control with biomechanical regularization. Unlike black-box neural renderers or [...] Read more.
Synthesizing anatomically plausible facial expressions for embodied avatars requires bridging the gap between high-level semantic intent and low-level physical constraints. This study presents a unified architecture that establishes a “Semantic-Kinematic Loop,” explicitly coupling FACS-based control with biomechanical regularization. Unlike black-box neural renderers or purely geometric BlendShape systems, our framework employs a multi-stage pipeline: semantic intent is first mapped to Action Units (AUs), which then drive a coarse linear deformation, followed by a fine grained refinement stage using a topology-aware Inverse Kinematics (IK) solver. This solver enforces segment length constraints and inter-region coupling, effectively translating abstract affective signals into physically grounded surface deformations. Furthermore, the framework exploits this kinematic structure to enable controlled perturbation strategies, facilitating the generation of diverse, anatomically valid synthetic training data. The experimental results indicate that this hybrid approach effectively eliminates surface tearing artifacts and achieves superior anatomical fidelity in reproducing complex emotional states. Full article
(This article belongs to the Special Issue Wearable Sensors for Human Position, Attitude and Motion Tracking)
Show Figures

Figure 1

11 pages, 580 KB  
Article
Molecular Epidemiology and Genotype Diversity of Severe Fever with Thrombocytopenia Syndrome Virus in Goats in South Korea
by In-Ohk Ouh
Int. J. Mol. Sci. 2026, 27(3), 1264; https://doi.org/10.3390/ijms27031264 - 27 Jan 2026
Viewed by 112
Abstract
Severe fever with thrombocytopenia syndrome virus (SFTSV) is a tick-borne zoonotic pathogen of significant public health concern in South Korea, where human cases continue to occur at high levels; however, information on the molecular epidemiology and genotype diversity of SFTSV in goats—an increasingly [...] Read more.
Severe fever with thrombocytopenia syndrome virus (SFTSV) is a tick-borne zoonotic pathogen of significant public health concern in South Korea, where human cases continue to occur at high levels; however, information on the molecular epidemiology and genotype diversity of SFTSV in goats—an increasingly important livestock species—remains limited. In this study, blood samples were collected from 750 clinically healthy goats during nationwide surveillance in 2024. Viral RNA was detected by RT-PCR targeting the S and M genomic segments. Epidemiological characteristics were analyzed according to season, region, farm size, breed, and sex. Positive samples were subjected to sequencing and phylogenetic analysis to determine SFTSV genotypes. SFTSV RNA was detected in 10 of 750 goats (1.3%), with significantly higher detection rates in autumn compared with summer, in southern regions compared with northern regions, and in female goats compared with males, while no significant association was observed with farm size or breed. Phylogenetic analysis showed that goat-derived SFTSV strains belonged to genotypes B2, D, and F; notably, genotypes D and F were identified in goats for the first time in South Korea. These findings indicate that goats are exposed to genetically diverse SFTSV strains circulating in tick populations and exhibit epidemiological patterns consistent with tick ecology and human SFTS incidence, supporting the role of goats as incidental or sentinel hosts. Continuous molecular surveillance of goats, integrated with vector monitoring programs, may enhance understanding of regional SFTSV transmission dynamics and facilitate early detection of emerging genotypes with public health implication. Full article
(This article belongs to the Special Issue Molecular and Genomic Basis of Viral Variation and Host Adaptation)
Show Figures

Figure 1

27 pages, 3922 KB  
Article
Hierarchical Multiscale Fusion with Coordinate Attention for Lithologic Mapping from Remote Sensing
by Fuyuan Xie and Yongguo Yang
Remote Sens. 2026, 18(3), 413; https://doi.org/10.3390/rs18030413 - 26 Jan 2026
Viewed by 194
Abstract
Accurate lithologic maps derived from satellite imagery underpin structural interpretation, mineral exploration, and geohazard assessment. However, automated mapping in complex terranes remains challenging because spectrally similar units, narrow anisotropic bodies, and ambiguous contacts can degrade boundary fidelity. In this study, we propose SegNeXt-HFCA, [...] Read more.
Accurate lithologic maps derived from satellite imagery underpin structural interpretation, mineral exploration, and geohazard assessment. However, automated mapping in complex terranes remains challenging because spectrally similar units, narrow anisotropic bodies, and ambiguous contacts can degrade boundary fidelity. In this study, we propose SegNeXt-HFCA, a hierarchical multiscale fusion network with coordinate attention for lithologic segmentation from a Sentinel-2/DEM feature stack. The model builds on SegNeXt and introduces a hierarchical multiscale encoder with coordinate attention to jointly capture fine textures and scene-level structure. It further adopts a class-frequency-aware hybrid loss that combines boundary-weighted online hard-example mining cross-entropy with Lovász-Softmax to better handle long-tailed classes and ambiguous contacts. In addition, we employ a robust training and inference scheme, including entropy-guided patch sampling, exponential moving average of parameters, test-time augmentation, and a DenseCRF-based post-refinement. Two study areas in the Beishan orogen, northwestern China (Huitongshan and Xingxingxia), are used to evaluate the method with a unified 10-channel Sentinel-2/DEM feature stack. Compared with U-NetFormer, PSPNet, DeepLabV3+, DANet, LGMSFNet, SegFormer, BiSeNetV2, and the SegNeXt backbone, SegNeXt-HFCA improves mean intersection-over-union (mIoU) by about 3.8% in Huitongshan and 2.6% in Xingxingxia, respectively, and increases mean pixel accuracy by approximately 3–4%. Qualitative analyses show that the proposed framework better preserves thin-unit continuity, clarifies lithologic contacts, and reduces salt-and-pepper noise, yielding geologically more plausible maps. These results demonstrate that hierarchical multiscale fusion with coordinate attention, together with class- and boundary-aware optimization, provides a practical route to robust lithologic mapping in structurally complex regions. Full article
(This article belongs to the Section Remote Sensing for Geospatial Science)
Show Figures

Graphical abstract

Back to TopTop