Sign in to use this feature.

Years

Between: -

Subjects

remove_circle_outline
remove_circle_outline
remove_circle_outline
remove_circle_outline
remove_circle_outline
remove_circle_outline
remove_circle_outline

Journals

Article Types

Countries / Regions

Search Results (38)

Search Parameters:
Keywords = red mulch

Order results
Result details
Results per page
Select all
Export citation of selected articles as:
18 pages, 3729 KB  
Article
Influence of Soil Hydrological Processes on Different Forms of Nitrogen Output in Red Soil Slope Farmland
by Fanpeng Zeng, Zhao Liu, Minghao Mo, Anguo Tu and Jia Wang
Sustainability 2025, 17(24), 10976; https://doi.org/10.3390/su172410976 - 8 Dec 2025
Viewed by 241
Abstract
The hydrological processes of red soil slope farmland are complex, and the vertical migration of nitrogen (N) is influenced by these processes, which present different layering characteristics of water flow. Previous studies on the vertically stratified transport of N on slope soils have [...] Read more.
The hydrological processes of red soil slope farmland are complex, and the vertical migration of nitrogen (N) is influenced by these processes, which present different layering characteristics of water flow. Previous studies on the vertically stratified transport of N on slope soils have mainly relied on rainfall simulation, lacking a comprehensive study of the overall process of N leaching from surface soil to underground under natural conditions. To investigate the impact of these hydrological processes on the transport of N at different layers under natural rainfall events, large-scale field runoff plots were constructed as draining lysimeters to conduct a consecutive 2-year observation experiment at Jiangxi Soil and Water Conservation Ecological Science and Technology Experimental Station, China. The runoff (the water of 0 cm), interflow, deep percolation, soil moisture content (SMC), total nitrogen (TN), nitrate nitrogen (NO3-N) and ammonium nitrogen (NH4+-N) concentrations were monitored and determined. The N loss of red soil farmland under two treatments, namely grass mulching (FC, a coverage of 100% with Bahia grass) and exposed treatment (BL, without anything covered), were measured. The relationships between hydrological factors and different forms of N losses were analyzed. The results indicate the following: (1) Deep percolation is the main pathway of water loss and N loss for red soil slope farmland, accounting for over 85% of the total water loss and N Loss. Grass mulching can significantly reduce surface runoff and N loss. (2) Vertically stratified N is mainly NO3-N, and the concentrations of each form of N show the same trend: deep percolation > interflow > runoff. (3) Water loss, rainfall, and SMC are closely related to the stratified loss of N, with correlation coefficients ranging from 0.74 to 0.98. The correlation analysis and redundancy analysis (RDA) on the relationships between different forms of N losses and hydrological factors indicate that rainfall was the primary factor driving the stratified loss of N in red soil slope farmland. Full article
Show Figures

Figure 1

20 pages, 3049 KB  
Article
Differences in Weed Taxa Community in a Young Apple Orchard (‘King Roat Red Delicious’ Cultivar) Depending on the Presence of Living Mulch and the Application of Two Nitrogen Fertilization Rates
by Urszula Barbara Bałuszyńska and Maria Licznar-Małańczuk
Agronomy 2025, 15(9), 2106; https://doi.org/10.3390/agronomy15092106 - 31 Aug 2025
Viewed by 1165
Abstract
The objective of this study was to evaluate the impact of two nitrogen doses in combination with strong creeping fescue (Festuca rubra L. ssp. rubra Gaudin) and Chewing’s red fescue (Festuca rubra L. ssp. commutata Gaudin) used as living mulches on [...] Read more.
The objective of this study was to evaluate the impact of two nitrogen doses in combination with strong creeping fescue (Festuca rubra L. ssp. rubra Gaudin) and Chewing’s red fescue (Festuca rubra L. ssp. commutata Gaudin) used as living mulches on the weed community in an apple tree (Malus domestica Borkh.) orchard. The cover grasses were sown in the tree rows, and herbicide fallow served as the control. Grass living mulches effectively reduced the number and share of annual weed cover and limited the spread of perennial plants compared with herbicide fallow. Use of F. rubra L. subspecies did not favor the biodiversity of the orchard agroecosystem flora, due to the effective soil surface coverage by sod in the tree rows. Living mulch sod was characterized by lower variability in weed taxa compared with the abundant weed composition in the herbicide fallow, which also exhibited the highest number of weed taxa each year. Dominant species in the orchard across all treatments included Trifolium repens L. and Taraxacum spp. Doubling the nitrogen fertilization rate, while limiting the application area to the tree canopy, did not increase the perennial weed population in the living mulch sod. Both subspecies are useful as living mulch in a young apple orchard, but from the perspective of sod durability and weed control, strong creeping red fescue offers better prospects. Full article
(This article belongs to the Special Issue Weed Biology and Ecology: Importance to Integrated Weed Management)
Show Figures

Figure 1

13 pages, 2347 KB  
Article
Genetic Dissection of Hypocotyl Elongation Responses to Light Quality in Brassica napus
by Yichen Zhou, Qi Wan, Tonghao Huang, Zengjie Hu, Xin Zhang, Shengguan Cai and Huifang Zhao
Agronomy 2025, 15(9), 2047; https://doi.org/10.3390/agronomy15092047 - 26 Aug 2025
Viewed by 918
Abstract
In Brassica napus, hypocotyl elongation under shade conditions poses a significant challenge in intensive agricultural systems, particularly in rice-rapeseed rotation regimes where straw mulching reduces light quality. However, the genetic basis of light-mediated hypocotyl growth responses in B. napus remains poorly understood. [...] Read more.
In Brassica napus, hypocotyl elongation under shade conditions poses a significant challenge in intensive agricultural systems, particularly in rice-rapeseed rotation regimes where straw mulching reduces light quality. However, the genetic basis of light-mediated hypocotyl growth responses in B. napus remains poorly understood. In this study, hypocotyl lengths were measured in a panel of 267 diverse rapeseed accessions under five light conditions including white, red, far-red, blue light, and complete darkness. Substantial phenotypic variation was observed among accessions and treatments, with red light exhibiting the weakest inhibitory effect on elongation, and white light showing the strongest suppression. Genome-wide association studies (GWAS) (−log10 (p) > 4.5) identified numerous significant SNPs associated with light response, highlighting candidate genes such as KAN1, ILL2, VQ18, HDA15, and HAT3 involved in photomorphogenesis and hormonal signaling pathways. These findings elucidate the polygenic control of light responsiveness in B. napus and provide molecular targets for breeding shade-tolerant varieties to enhance crop resilience under dense planting and straw mulching systems. Full article
(This article belongs to the Section Crop Breeding and Genetics)
Show Figures

Figure 1

17 pages, 715 KB  
Article
Impact of High Nitrogen Doses and Living Mulch on Growth, Yield and Fruit Quality of Young Apple Trees (cv. ‘Sampion’)
by Maria Licznar-Małańczuk
Agriculture 2025, 15(7), 724; https://doi.org/10.3390/agriculture15070724 - 27 Mar 2025
Cited by 2 | Viewed by 819
Abstract
The experiment aimed to evaluate the effectiveness of using high doses of nitrogen (N) and delaying the sowing of living mulch in the apple tree (Malus domestica Borkh.) orchard as factors stimulating tree growth and influencing fruit quality. Blue fescue (Festuca [...] Read more.
The experiment aimed to evaluate the effectiveness of using high doses of nitrogen (N) and delaying the sowing of living mulch in the apple tree (Malus domestica Borkh.) orchard as factors stimulating tree growth and influencing fruit quality. Blue fescue (Festuca ovina L.), as a cover crop, was sown in the tree rows in the second and fourth year after tree planting. It was compared to herbicide fallow control treatment. In each floor management, four N doses (50, 80, 110, and 140 kg ha−1) were used every year. The study indicated the dominance of living mulch, especially sowing in the second year after tree planting as a factor influencing the reduction in growth and yield but improving the red blush surface on the fruit skin. The growth of trees was also strongly influenced by biotic and abiotic stress factors, which did not allow for a clear assessment of N fertilization. With objectively low cropping levels and poor growth of all trees tested in the experiment, their N needs were satisfied by a dose of 50 kg ha−1. The application of the highest dose of 140 kg N ha−1 had a significant and negative impact on the red color of the fruit skin. Full article
Show Figures

Figure 1

18 pages, 1919 KB  
Article
Effect of Biodegradable Mulch and Different Synthetic Mulches on Growth and Yield of Field-Grown Small-Fruited Tomato (Lycopersicon esculentum Mill.)
by Katarzyna Adamczewska-Sowińska, Joanna Bykowy and Janina Jaworska
Agriculture 2025, 15(2), 212; https://doi.org/10.3390/agriculture15020212 - 19 Jan 2025
Cited by 6 | Viewed by 3106
Abstract
Mulching is a widely adopted practice in vegetable cultivation globally. This technique employs various plastic materials, such as polyethylene (PE) film or polypropylene (PP) nonwoven fabric, with an increasing trend toward the use of biodegradable materials. Between 2014 and 2016, field experiments were [...] Read more.
Mulching is a widely adopted practice in vegetable cultivation globally. This technique employs various plastic materials, such as polyethylene (PE) film or polypropylene (PP) nonwoven fabric, with an increasing trend toward the use of biodegradable materials. Between 2014 and 2016, field experiments were conducted to evaluate the performance of the small-fruited tomato Intrigo F1 cultivated using synthetic mulches. The trials, designed as single-factor experiments employing a randomized block layout with three replicates, assessed plant morphological traits, yield, and the biological value of the tomato fruits. Weather conditions and the type of mulch applied had a pronounced influence on the quality of tomato plants and yield. Compared to the control, the use of black, red, and aluminum PE films and brown PP resulted in a 7.2% increase in plant height. All mulching treatments, except white film, increased the lateral spread of the plants by an average of 24.2%. Plants cultivated on red PE film exhibited a 26.4% increase in leaf count with respect to the control. Mulched treatments achieved an average increase of 19.6% in marketable yield. The highest marketable fruit yield was recorded with black nonwoven fabric mulch. Mulching had a significant effect on the chemical composition of tomato fruits. Fruits on biodegradable foil had the most potassium, lycopene, and polyphenols. Full article
Show Figures

Figure 1

11 pages, 934 KB  
Article
Preemergent Liverwort Control by Organic Mulching in Containerized Ornamental Production
by Manjot Kaur Sidhu, Sushila Chaudhari, Roberto G. Lopez, Eric L. Patterson and Debalina Saha
Horticulturae 2024, 10(12), 1282; https://doi.org/10.3390/horticulturae10121282 - 2 Dec 2024
Viewed by 1348
Abstract
Liverwort (Marchantia polymorpha) competes for resources within containers, resulting in a reduction in the quality and market value of ornamentals. Therefore, the objective of this study was (1) to assess the impact of different mulch types, depths, and their moisture-holding-capacity on [...] Read more.
Liverwort (Marchantia polymorpha) competes for resources within containers, resulting in a reduction in the quality and market value of ornamentals. Therefore, the objective of this study was (1) to assess the impact of different mulch types, depths, and their moisture-holding-capacity on liverwort control and (2) to quantify if phytotoxicities develop on ornamental plants due to the mulches. The percent water retention of four different organic mulches [rice hull (RH), cocoa hull (CH), pine bark (PB), or red hardwood (HW)] was determined in a laboratory experiment. In a greenhouse experiment, the Hosta plantaginea (Plantain Lily) varieties ‘Curly Fries’ and ‘Pandora’s Box’ were mulched with either RH, HW, CH, or PB at a depth of 0.63, 1.27, 2.54, or 5.08 cm. Liverwort thalli coverage on the container surface was visually estimated bi-weekly, and the fresh weight of the thalli was recorded at the end of the experiment. The results indicated that CH mulch retained the highest amount of moisture (86%). The RH and HW mulches, at depths of 1.27 cm or more, provided excellent (>80%) liverwort control in ‘Curly Fries’. All mulches at depths of 1.27 cm or more showed excellent (100%) liverwort control for ‘Pandora’s Box’. Overall, RH and PB mulches at all depths provided excellent liverwort control and no reduction in the growth of ‘Curly Fries’ and ‘Pandora’s Box’. Full article
(This article belongs to the Section Floriculture, Nursery and Landscape, and Turf)
Show Figures

Graphical abstract

17 pages, 6062 KB  
Article
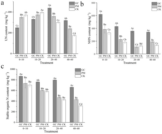
Effects of Cover Measures on Soil Organic Nitrogen Fractions and Total Soluble Nitrogen Pools in Citrus Orchards of the Red Soil Hilly Region of Southern China
by Heming Li, Bangning Zhou, Zuopin Zhuo, Lei Wang, Zumei Wang, Chuanjin Xie, Fangshi Jiang, Jinshi Lin, Yanhe Huang and Yue Zhang
Agriculture 2024, 14(11), 1879; https://doi.org/10.3390/agriculture14111879 - 24 Oct 2024
Cited by 3 | Viewed by 1691
Abstract
Soil organic nitrogen fractions and total soluble nitrogen (TSN) pools are crucial for assessing orchard soil fertility and tree nutrient requirements. Here, we studied the effects of grass cover (GC), plastic mulch (PM), and clean tillage (CK) on the physicochemical properties, organic nitrogen [...] Read more.
Soil organic nitrogen fractions and total soluble nitrogen (TSN) pools are crucial for assessing orchard soil fertility and tree nutrient requirements. Here, we studied the effects of grass cover (GC), plastic mulch (PM), and clean tillage (CK) on the physicochemical properties, organic nitrogen fractions, and TSN content of soil from a 0–60 cm depth in a 7-year-old orchard in the red soil hilly region of southern China. The results showed that GC and PM significantly increased the content of soil organic carbon (SOC), total nitrogen (TN), total phosphorus (TP), and total potassium (TK), as well as the C/N and N/P ratios. The mean total organic nitrogen (TON) content in the 0–60 cm soil profile was 1219.21 and 895.15 mg·kg−1 in the GC and PM treatments, and it was 67.36% and 22.88% higher in the GC and PM treatments than in the CK, respectively. In the 0–20 cm soil horizon, the active organic nitrogen (AN, AAN, ASN) content was 52.67% and 17.15% higher in the GC and PM treatments than in the CK, respectively. In the 20–60 cm soil horizon, the stable organic nitrogen (UN, NHN) content was 97.13% and 21.69% greater under the GC and PM treatments compared to the CK, respectively. Different ground cover methods increased the total soluble nitrogen (TSN) concentration in the 0–20 cm soil horizon while reducing it in the deeper 20–60 cm layer. Correlation analysis revealed significant positive correlations of SOC, TN, TP, TSN, and TON with acid-hydrolyzable nitrogen fractions (AN, AAN, ASN, UN) and significant negative correlations with bulk density (BD). Stepwise linear regression analysis, using the regression equation TSN = 0.372AN − 0.053NHN + 18.473 (p < 0.01, R2 = 0.925), identified AN as a critical indicator for TSN among the active organic nitrogen fractions. Full article
(This article belongs to the Section Agricultural Soils)
Show Figures

Figure 1

18 pages, 11083 KB  
Article
Influence of Spatial Scale Effect on UAV Remote Sensing Accuracy in Identifying Chinese Cabbage (Brassica rapa subsp. Pekinensis) Plants
by Xiandan Du, Zhongfa Zhou and Denghong Huang
Agriculture 2024, 14(11), 1871; https://doi.org/10.3390/agriculture14111871 - 23 Oct 2024
Cited by 6 | Viewed by 1684
Abstract
The exploration of the impact of different spatial scales on the low-altitude remote sensing identification of Chinese cabbage (Brassica rapa subsp. Pekinensis) plants offers important theoretical reference value in balancing the accuracy of plant identification with work efficiency. This study focuses [...] Read more.
The exploration of the impact of different spatial scales on the low-altitude remote sensing identification of Chinese cabbage (Brassica rapa subsp. Pekinensis) plants offers important theoretical reference value in balancing the accuracy of plant identification with work efficiency. This study focuses on Chinese cabbage plants during the rosette stage; RGB images were obtained by drones at different flight heights (20 m, 30 m, 40 m, 50 m, 60 m, and 70 m). Spectral sampling analysis was conducted on different ground backgrounds to assess their separability. Based on the four commonly used vegetation indices for crop recognition, the Excess Green Index (ExG), Red Green Ratio Index (RGRI), Green Leaf Index (GLI), and Excess Green Minus Excess Red Index (ExG-ExR), the optimal index was selected for extraction. Image processing methods such as frequency domain filtering, threshold segmentation, and morphological filtering were used to reduce the impact of weed and mulch noise on recognition accuracy. The recognition results were vectorized and combined with field data for the statistical verification of accuracy. The research results show that (1) the ExG can effectively distinguish between soil, mulch, and Chinese cabbage plants; (2) images of different spatial resolutions differ in the optimal type of frequency domain filtering and convolution kernel size, and the threshold segmentation effect also varies; (3) as the spatial resolution of the imagery decreases, the optimal window size for morphological filtering also decreases, accordingly; and (4) at a flight height of 30 m to 50 m, the recognition effect is the best, achieving a balance between recognition accuracy and coverage efficiency. The method proposed in this paper is beneficial for agricultural growers and managers in carrying out precision planting management and planting structure optimization analysis and can aid in the timely adjustment of planting density or layout to improve land use efficiency and optimize resource utilization. Full article
(This article belongs to the Special Issue Application of UAVs in Precision Agriculture—2nd Edition)
Show Figures

Figure 1

17 pages, 2905 KB  
Article
Raspberry Production Opportunity to Develop an Agricultural Business in the Context of the Circular Economy: Case Study in South-West Romania
by Roxana-Gabriela Popa, Emil Cătălin Șchiopu, Aurelia Pătrașcu, Aniela Bălăcescu and Florentina Alina Toader
Agriculture 2024, 14(10), 1822; https://doi.org/10.3390/agriculture14101822 - 16 Oct 2024
Cited by 4 | Viewed by 5802
Abstract
This paper presents a study on the establishment and the capitalization of a remontant red raspberry crop, the Polka variety, on a privately agricultural land area of 0.2 ha in a crop with a support system in V using a geotextile membrane for [...] Read more.
This paper presents a study on the establishment and the capitalization of a remontant red raspberry crop, the Polka variety, on a privately agricultural land area of 0.2 ha in a crop with a support system in V using a geotextile membrane for soil mulching and the method of micro-irrigation by drip. It has been shown that the annual gross profit is advantageous for diversifying the population incomes of rural areas, and the red raspberry is economically profitable regarding cultivation because the recovery of the invested sum is achieved in a maximum of 5 years after the establishment of the culture. The aim of this paper is to explore the growth and commercialization of red raspberry cultivation on privately owned arable land in rural Romania, emphasizing its potential for productivity and sustainability in the context of the circular economy. This initiative not only delivers substantial profits for investors but also fosters rural development and boosts local income levels. The study demonstrates that this cultivation method of red raspberry, aligned with the principles of the circular economy, enhances sustainability by reducing waste, optimizing resource use, and involving local communities in production cycles. Full article
(This article belongs to the Section Agricultural Economics, Policies and Rural Management)
Show Figures

Figure 1

18 pages, 2813 KB  
Article
Effects of Varied Tillage Practices on Soil Quality in the Experimental Field of Red-Soil Sloping Farmland in Southern China
by Keyu Yan, Jing Li, Jianxing Li, Zhengfa Chen, Chuan Zhang, Daoxiang Wang, Yanmei Hu and Zhongliang Wang
Sustainability 2024, 16(17), 7843; https://doi.org/10.3390/su16177843 - 9 Sep 2024
Cited by 2 | Viewed by 1967
Abstract
Red-soil sloping farmland in southern China plays a crucial role in the local economy and food production. However, improper tillage practices have resulted in topsoil degradation and deteriorating soil quality. This study investigated changes in soil physico-chemical properties under four tillage methods—cross-slope ridge [...] Read more.
Red-soil sloping farmland in southern China plays a crucial role in the local economy and food production. However, improper tillage practices have resulted in topsoil degradation and deteriorating soil quality. This study investigated changes in soil physico-chemical properties under four tillage methods—cross-slope ridge tillage (RT), down-slope ridge tillage (DT), plastic mulching (PM), and conventional tillage (CT)—on red-soil sloping farmland. The study applied the Soil Management Assessment Framework (SMAF) to assess the influence of these tillage practices on soil quality. Results indicated that PM can increase the total porosity of the soil, reduce soil bulk density, and simultaneously decrease soil surface-water evaporation, significantly improving the soil’s water-retention capacity. RT improved soil aggregate formation and stability, leading to increased macro-aggregate content, mean weight diameter, and soil water-stable aggregate stability rates. PM and RT effectively preserved soil nutrients like total nitrogen and organic matter, although PM lowered soil pH, potentially causing acidification. RT demonstrated the highest soil quality, with PM following. Crop growth positively impacted soil macro-aggregate content and stability, showing continuous improvement in soil structure and quality (p < 0.05). Priority should be given to RT in red-soil sloping farmland, followed by PM and CT, while avoiding DT if possible. This research furnishes valuable scientific substantiation for the selection of optimal tillage practices in the preservation of soil quality on red-soil slopes. Full article
(This article belongs to the Special Issue Sustainable Soil Management and Crop Production Research)
Show Figures

Figure 1

18 pages, 2549 KB  
Article
The Use of a Composition of Bacterial Consortia and Living Mulch to Reduce Weeds in Organic Spring Barley Cultivation as an Element of Sustainable Plant Production
by Rafał Górski, Robert Rosa, Alicja Niewiadomska, Agnieszka Wolna-Maruwka, Katarzyna Głuchowska and Anna Płaza
Sustainability 2024, 16(12), 5268; https://doi.org/10.3390/su16125268 - 20 Jun 2024
Cited by 2 | Viewed by 2942
Abstract
Weed infestation of cereal crops in organic farming is becoming a serious problem in agriculture. Sustainable agriculture requires the search for and implementation of crop management techniques that will reduce weeds without negatively impacting the environment. This research refers to the principles of [...] Read more.
Weed infestation of cereal crops in organic farming is becoming a serious problem in agriculture. Sustainable agriculture requires the search for and implementation of crop management techniques that will reduce weeds without negatively impacting the environment. This research refers to the principles of integrated plant protection in sustainable agriculture, allowing the use of chemical plant protection products to be limited to the absolute minimum. Technology for growing spring barley based on the use of bacterial consortia in combination with living mulch (LM) can be an interesting approach to this problem. The aim of this three-year field research was to determine the effects of bacterial consortia and LM on the level of weed infestation in the organic spring barley crop. Two factors were tested in the experiment: bacterial consortia factors: control (without bacterial consortia); 1—Bacillus megaterium var. phosphaticum and Arthrobacter agilis; 2—Bacillus subtilis, Bacillus amyloliquefaciens, and Pseudomonas fluorescens; and LM: control (without LM); red clover; red clover + Italian ryegrass; and Italian ryegrass. This research demonstrated that the bacterial consortia tested significantly reduced both the biomass and number of weeds, including the following dominant weeds: Chenopodium album, Sinapis arvensis, Elymus repens, and Tripleurospermum inodorum. The use of LM also significantly reduced the weed infestation of spring barley stands. The lowest biomass and number of weeds, with the exception of Elymus repens, were recorded on objects with LM Italian ryegrass in spring barley in combination with bacterial consortium 2. The introduction of cultivation with LM Italian ryegrass or its mixture with red clover and the use of bacteria should be recommended for the practice of sustainable agriculture, which will reduce weeds through an ecological method. Full article
(This article belongs to the Special Issue Weeds Management in Sustainable Agriculture System)
Show Figures

Figure 1

15 pages, 6132 KB  
Article
Evaluation of Soil Quality of Pingliang City Based on Fuzzy Mathematics and Cluster Analysis
by Zhenhua Zhao, Yifei Yang, Bo Dong, Rui Zhang, Guangrong Chen, Zhandong Pan and Dandan Du
Agronomy 2024, 14(6), 1205; https://doi.org/10.3390/agronomy14061205 - 2 Jun 2024
Cited by 6 | Viewed by 1795
Abstract
Pingliang City has a complex topography and diverse soil types. To realize the improvement of soil according to local conditions and the reasonable and sustainable use of soil resources, an evaluation of soil quality in Pingliang City was carried out, based on the [...] Read more.
Pingliang City has a complex topography and diverse soil types. To realize the improvement of soil according to local conditions and the reasonable and sustainable use of soil resources, an evaluation of soil quality in Pingliang City was carried out, based on the soil distribution situation in Pingliang City, adopting a method combining fuzzy mathematics and cluster analysis of the main evaluation factors, such as soil organic matter, topsoil depth, soil erosion intensity, soil moisture regime, effective soil thickness, soil texture, soil profile structure, soil nutrient status and topographical parts, to carry out a comprehensive evaluation. A comprehensive evaluation of soil quality was conducted in seven counties under the jurisdiction of Pingliang City, and the evaluation results were compared and analyzed against the national standard, “Cultivated land quality grade”, to provide a basis for the selection of scientific soil improvement methods. The results of the arable land quality grades indicate that the quality of farmland in Pingliang City is divided into three to ten grades, and the average quality grade of farmland is 6.83, which is in the middle–lower level, and the overall grade distribution shows the characteristics of low in the middle and high in the east and west. The results of fuzzy mathematics combined with cluster analysis indicated the following trends in soil quality for the 12 soil genera: Chuan black gunny soil > yellow moist soil > sandy soil > silt soil > mulching helilu soil> loessal soil> loamy soil > slope loessal soil > arenosol > tillage leaching gray cinnamon soil > calcareous gray cinnamon soil > red clay soil. The results of the combination of fuzzy mathematics and clustering were significantly correlated with the results of the evaluation of the soil quality of arable land; the correlation coefficient was 0.884. This indicates that the method can accurately and objectively review the advantages and disadvantages of arable land soil and can be effectively applied to the evaluation of the soil quality of agricultural soils in other regions. It is a complement to the existing evaluation of the soil quality of arable land and at the same time provides a reference for the improvement of soil quality in agricultural regions. Full article
(This article belongs to the Special Issue Soil Evolution, Management, and Sustainable Utilization)
Show Figures

Figure 1

17 pages, 3536 KB  
Article
Effects of Different Drip Irrigation Rates on Root Distribution Characteristics and Yield of Cotton under Mulch-Free Cultivation in Southern Xinjiang
by Yanan Wan, Wenjun Li, Jichuan Wang, Bingrong Wu and Feiyan Su
Water 2024, 16(8), 1148; https://doi.org/10.3390/w16081148 - 18 Apr 2024
Cited by 2 | Viewed by 1953
Abstract
In order to study the effects of different irrigation amounts on the root characteristics and yield of cotton without film mulching (abbreviated as filmless cotton) under drip irrigation in Southern Xinjiang, five irrigation amounts of filmless cotton (300, 375, 450, 525 and 600 [...] Read more.
In order to study the effects of different irrigation amounts on the root characteristics and yield of cotton without film mulching (abbreviated as filmless cotton) under drip irrigation in Southern Xinjiang, five irrigation amounts of filmless cotton (300, 375, 450, 525 and 600 mm, represented by W1, W2, W3, W4 and W5) and one irrigation amount of cotton with film mulching (abbreviated as filmed cotton) (450 mm, represented by WCK) were set. The effects of irrigation amount on root length density (RLD), root surface area (RSA), root average diameter (RAD), root volume (RV), root weight density (RED) and yield of filmless cotton were analyzed. The results of the two-year experiment showed the following: (1) The indexes of cotton root growth reached the maximum at the flowering and bolling stage, and the growth of soil root in the periphery (30 cm from the main root) and the lower layer (40–60 cm soil layer) reached the peak at the flowering and bolling stages, respectively; (2) The average value of root growth index of film-free cotton in each treatment was W2 > W3 > W4 > W5 and W1. The RLD of W2 and W3 increased by 19.41–106.67% and 13.66–84.22% in the peripheral and lower soil layer, and the proportion of RSA in the peripheral and middle soil layer (20–40 cm soil layer) increased by 1.64–3.41% and 0.49–4.09% compared with other treatments. The RAD, RV and RWD after W2 treatment were relatively large at various distribution points in the soil, followed by W3 treatment; (3) The average root indexes of WCK were not significantly different from those of W3, but the indexes of the lower soil layer were the smallest, at only 29.18–66.84% of the average value of the non-film mulching treatment, while the root indexes of the surface layer (0–20 cm soil layer) and the surrounding soil were larger, with an increase of 11.43–102.17% and 29.60–111.57%, respectively, compared with the non-film mulching treatment; (4) The seed cotton yield of W3 was the highest in the non-film mulching treatment, reaching 4833.25 kg·hm−2, but was still lower than that of WCK by 27.79%. Conclusion: An appropriate water deficit is conducive to root growth and increases the uniformity of its distribution in the soil layer. The irrigation amount of 375–450 mm for filmless cotton in Southern Xinjiang can promote root growth, prevent senescence and increase yield, which can be used as a reference in production. Full article
(This article belongs to the Section Water, Agriculture and Aquaculture)
Show Figures

Figure 1

16 pages, 281 KB  
Article
Do Living Mulches or Environmental Conditions Have a Greater Impact on the External Quality of the Apple Fruit ‘Chopin’ Cultivar?
by Maria Licznar-Malanczuk and Urszula Barbara Baluszynska
Agriculture 2024, 14(4), 610; https://doi.org/10.3390/agriculture14040610 - 12 Apr 2024
Cited by 4 | Viewed by 1818
Abstract
Research was carried out to assess the yield and quality of fruits from the new Polish apple tree ‘Chopin’—a ‘green peel’, scab-resistant cultivar under grass living mulch management. Blue fescue and red fescue were tested in experiment no. 1. In experiment no. 2, [...] Read more.
Research was carried out to assess the yield and quality of fruits from the new Polish apple tree ‘Chopin’—a ‘green peel’, scab-resistant cultivar under grass living mulch management. Blue fescue and red fescue were tested in experiment no. 1. In experiment no. 2, meadow grass and perennial ryegrass were used. Every species of grass was sown in two doses of 50 and 150 kg per ha. Herbicide fallow was introduced as a control in both experiments. Strongly variable temperatures and precipitations in the years of evaluation made it possible to estimate year—a function of variable environmental conditions—as an additional experimental factor. An unexpected effect of the presence of living mulch was its significant impact on the appearance of blush on the ‘green peel’ fruit. However, living mulches had little effect on weight and fruit size. Cool days during apple ripening enhanced the process of fruit skin red coloration. The effect of both agrotechnical and environmental factors on fruit quality was more visible in the case of less vigorous trees, which were more susceptible to experimental, stressful conditions. However, increasing the sowing dose of each grass seed did not influence red blushing, weight, or fruit size. An additional difficulty for the trees was the competition caused by the early germination of these living grass mulches, reinforced by the presence of Trifolium repens L. Full article
17 pages, 4001 KB  
Article
UAV-Based Classification of Intercropped Forage Cactus: A Comparison of RGB and Multispectral Sample Spaces Using Machine Learning in an Irrigated Area
by Oto Barbosa de Andrade, Abelardo Antônio de Assunção Montenegro, Moisés Alves da Silva Neto, Lizandra de Barros de Sousa, Thayná Alice Brito Almeida, João Luis Mendes Pedroso de Lima, Ailton Alves de Carvalho, Marcos Vinícius da Silva, Victor Wanderley Costa de Medeiros, Rodrigo Gabriel Ferreira Soares, Thieres George Freire da Silva and Bárbara Pinto Vilar
AgriEngineering 2024, 6(1), 509-525; https://doi.org/10.3390/agriengineering6010031 - 23 Feb 2024
Cited by 6 | Viewed by 2781
Abstract
Precision agriculture requires accurate methods for classifying crops and soil cover in agricultural production areas. The study aims to evaluate three machine learning-based classifiers to identify intercropped forage cactus cultivation in irrigated areas using Unmanned Aerial Vehicles (UAV). It conducted a comparative analysis [...] Read more.
Precision agriculture requires accurate methods for classifying crops and soil cover in agricultural production areas. The study aims to evaluate three machine learning-based classifiers to identify intercropped forage cactus cultivation in irrigated areas using Unmanned Aerial Vehicles (UAV). It conducted a comparative analysis between multispectral and visible Red-Green-Blue (RGB) sampling, followed by the efficiency analysis of Gaussian Mixture Model (GMM), K-Nearest Neighbors (KNN), and Random Forest (RF) algorithms. The classification targets included exposed soil, mulching soil cover, developed and undeveloped forage cactus, moringa, and gliricidia in the Brazilian semiarid. The results indicated that the KNN and RF algorithms outperformed other methods, showing no significant differences according to the kappa index for both Multispectral and RGB sample spaces. In contrast, the GMM showed lower performance, with kappa index values of 0.82 and 0.78, compared to RF 0.86 and 0.82, and KNN 0.86 and 0.82. The KNN and RF algorithms performed well, with individual accuracy rates above 85% for both sample spaces. Overall, the KNN algorithm demonstrated superiority for the RGB sample space, whereas the RF algorithm excelled for the multispectral sample space. Even with the better performance of multispectral images, machine learning algorithms applied to RGB samples produced promising results for crop classification. Full article
(This article belongs to the Section Remote Sensing in Agriculture)
Show Figures

Figure 1

Back to TopTop