Sign in to use this feature.

Years

Between: -

Subjects

remove_circle_outline
remove_circle_outline
remove_circle_outline
remove_circle_outline
remove_circle_outline
remove_circle_outline
remove_circle_outline
remove_circle_outline
remove_circle_outline

Journals

remove_circle_outline
remove_circle_outline
remove_circle_outline
remove_circle_outline
remove_circle_outline
remove_circle_outline
remove_circle_outline
remove_circle_outline
remove_circle_outline
remove_circle_outline
remove_circle_outline

Article Types

Countries / Regions

remove_circle_outline
remove_circle_outline
remove_circle_outline
remove_circle_outline

Search Results (845)

Search Parameters:
Keywords = recycled polyethylene

Order results
Result details
Results per page
Select all
Export citation of selected articles as:
29 pages, 5451 KB  
Article
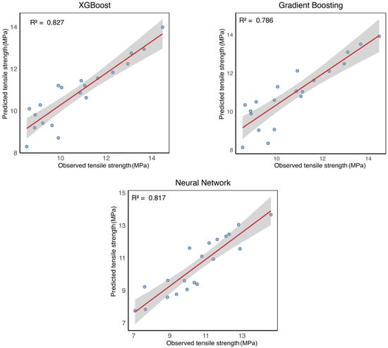
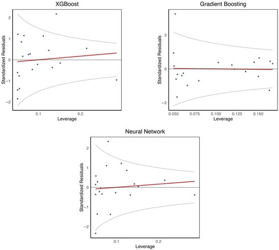
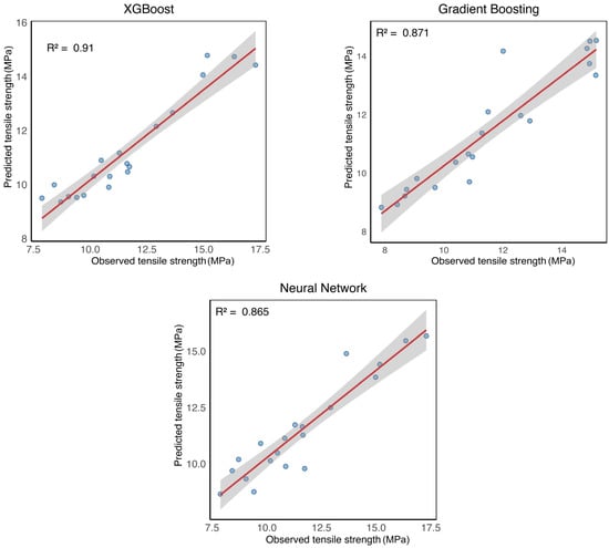
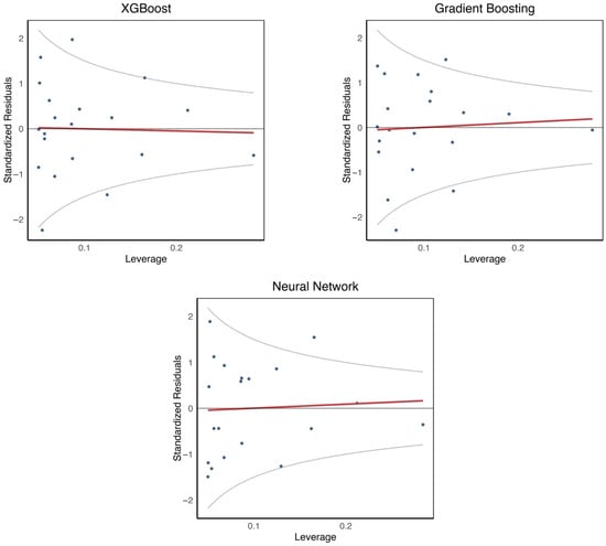
Machine Learning as a Tool for Sustainable Material Evaluation: Predicting Tensile Strength in Recycled LDPE Films
by Olga Szlachetka, Justyna Dzięcioł, Joanna Witkowska-Dobrev, Mykola Nagirniak, Marek Dohojda and Wojciech Sas
Sustainability 2026, 18(2), 1064; https://doi.org/10.3390/su18021064 - 20 Jan 2026
Abstract
This study contributes to the advancement of circular economy practices in polymer manufacturing by applying machine learning algorithms (MLA) to predict the tensile strength of recycled low-density polyethylene (LDPE) building films. As the construction and packaging industries increasingly seek eco-efficient and low-carbon materials, [...] Read more.
This study contributes to the advancement of circular economy practices in polymer manufacturing by applying machine learning algorithms (MLA) to predict the tensile strength of recycled low-density polyethylene (LDPE) building films. As the construction and packaging industries increasingly seek eco-efficient and low-carbon materials, recycled LDPE offers a valuable route toward sustainable resource management. However, ensuring consistent mechanical performance remains a challenge when reusing polymer waste streams. To address this, tensile tests were conducted on LDPE films produced from recycled granules, measuring tensile strength, strain, mass per unit area, thickness, and surface roughness. Three established machine learning algorithms—feed-forward Neural Network (NN), Gradient Boosting Machine (GBM), and Extreme Gradient Boosting (XGBoost)—were implemented, trained, and optimized using the experimental dataset using R statistical software (version 4.4.3). The models achieved high predictive accuracy, with XGBoost providing the most robust performance and the highest level of explainability. Feature importance analysis revealed that mass per unit area and surface roughness have a significant influence on film durability and performance. These insights enable more efficient production planning, reduced raw material usage, and improved quality control, key pillars of sustainable technological innovation. The integration of data-driven methods into polymer recycling workflows demonstrates the potential of artificial intelligence to accelerate circular economy objectives by enhancing process optimization, material performance, and resource efficiency in the plastics sector. Full article
(This article belongs to the Special Issue Circular Economy and Sustainable Technological Innovation)
Show Figures

Figure 1

16 pages, 2524 KB  
Article
Degradation of Some Polymeric Materials of Bioreactors for Growing Algae
by Ewa Borucińska-Parfieniuk, Ewa Górecka, Jakub Markiewicz, Urszula Błaszczak, Krzysztof J. Kurzydlowski and Izabela B. Zglobicka
Materials 2026, 19(2), 384; https://doi.org/10.3390/ma19020384 - 18 Jan 2026
Viewed by 83
Abstract
Transparent polymeric materials such as poly(methyl methacrylate) (PMMA), polycarbonate (PC), and polyethylene terephthalate (PET) are widely used as glass alternatives in algal bioreactors, where optical clarity and mechanical stability are crucial. However, their long-term use is limited by surface degradation processes. Photodegradation, hydrolysis, [...] Read more.
Transparent polymeric materials such as poly(methyl methacrylate) (PMMA), polycarbonate (PC), and polyethylene terephthalate (PET) are widely used as glass alternatives in algal bioreactors, where optical clarity and mechanical stability are crucial. However, their long-term use is limited by surface degradation processes. Photodegradation, hydrolysis, and biofilm accumulation can reduce light transmission in the 400–700 nm range essential for photosynthesis. This study examined the aging of PMMA, PC, and PET under bioreactor conditions. Samples were exposed for 70 days to illumination, culture medium, and aquatic environments. Changes in their optical transmittance, surface roughness, and wettability were analyzed. All polymers exhibited measurable surface degradation, characterized by an average 15% loss in transparency, significant increases in surface roughness, and reduced contact angles. PMMA demonstrated the highest optical stability, maintaining strong transmission in key blue and red spectral regions, while PET performed the worst, showing low initial clarity and the steepest decline. The most severe surface degradation occurred in areas exposed to the receding liquid interface, highlighting the need for targeted cleaning and/or a reduction in the size of the liquid–vapor transition zone. Overall, the results identify PMMA and recycled PMMA (PMMAR) as durable, cost-effective materials for transparent bioreactor walls. Full article
(This article belongs to the Section Advanced Materials Characterization)
Show Figures

Figure 1

21 pages, 3904 KB  
Article
A Sustainable Circular Route for PET LDH Nanocomposites: Catalyst-Driven Polymerization and Depolymerization for a BHET-to-BHET Cycle
by Tsung-Yen Tsai, Basharat Hussain and Naveen Bunekar
Sustain. Chem. 2026, 7(1), 6; https://doi.org/10.3390/suschem7010006 - 16 Jan 2026
Viewed by 140
Abstract
A sustainable circular pathway was developed for poly(ethylene terephthalate) (PET) nanocomposites through a catalyst-driven polymerization and depolymerization process. In this study, calcium dodecylbenzene sulfonate with n-butyl alcohol modified ZnAl layered double hydroxides (LDHs) were utilized as bifunctional catalysts to synthesize highly exfoliated PET/LDH [...] Read more.
A sustainable circular pathway was developed for poly(ethylene terephthalate) (PET) nanocomposites through a catalyst-driven polymerization and depolymerization process. In this study, calcium dodecylbenzene sulfonate with n-butyl alcohol modified ZnAl layered double hydroxides (LDHs) were utilized as bifunctional catalysts to synthesize highly exfoliated PET/LDH nanocomposites via in situ polycondensation of bis(2-hydroxyethyl) terephthalate (BHET). The organic modification of LDHs expanded interlayer spacing, improved interfacial compatibility, and promoted uniform dispersion, leading to enhanced mechanical, thermal, and barrier properties. In the second stage, the pristine LDH catalyst efficiently depolymerized the prepared PET/LDH nanocomposites back into BHET through glycolysis, completing a closed-loop BHET-to-BHET cycle. This integrated strategy demonstrates the reversible catalytic functionality of LDHs in both polymerization and depolymerization, reducing metal contamination and energy demand. The proposed approach represents a sustainable route for designing recyclable high-performance PET nanocomposites aligned with the principles of green chemistry and circular material systems. Full article
Show Figures

Graphical abstract

24 pages, 2732 KB  
Article
Experimental Evaluation of Temperature and Screw Speed Effects on the Extrusion of Recycled PP, HDPE, and PET for Sustainable Construction Applications
by Andrés David Romero Restrepo, Mario Antonio Salom Corrales, Manuel Saba, Ramón Torres Ortega and Oscar E. Coronado-Hernández
Sci 2026, 8(1), 18; https://doi.org/10.3390/sci8010018 - 15 Jan 2026
Viewed by 140
Abstract
This study evaluated the feasibility of using recycled plastics (PP, HDPE, and PET) for sustainable construction applications. Materials were collected, processed, and extruded following a structured methodology, and their physico-mechanical and environmental properties were assessed through standardized tests, including compression, flexural strength, water [...] Read more.
This study evaluated the feasibility of using recycled plastics (PP, HDPE, and PET) for sustainable construction applications. Materials were collected, processed, and extruded following a structured methodology, and their physico-mechanical and environmental properties were assessed through standardized tests, including compression, flexural strength, water absorption, porosity, and apparent density. Compression tests showed that increasing the processing temperature led to a reduction in the compressive strength of polypropylene (PP), while high-density polyethylene (HDPE) achieved its highest strength at the lowest temperature. Polyethylene terephthalate (PET) exhibited a similar decreasing trend with temperature. The processing speed, expressed as revolutions per minute (rpm), had little influence on PP and HDPE performance but positively affected PET, where higher rpm consistently improved compressive strength. Flexural tests revealed that higher rpm values enhanced the mechanical performance of PP and HDPE. However, for PP, an increase in processing temperature resulted in a pronounced decline in flexural strength. Overall, PP and HDPE outperformed PET, reaching compressive strengths near 10 MPa compared to values below 4 MPa for PET. In flexural tests, PP achieved 44 MPa, followed by HDPE with 25 MPa. Water absorption remained below 1% for all materials. The study is limited to physico-mechanical characterization and does not include microstructural or thermal analyses to assess crystallinity, degradation, or molecular orientation. Future research will focus on advanced thermal–chemical characterization and process optimization—particularly for PET—to improve ductility and expand the applicability of recycled plastics in construction. Full article
Show Figures

Figure 1

18 pages, 5247 KB  
Review
Advances in Polyester Waste Recycling Technology: Focused on the PET System and Prospects for PETG Challenges
by Na Lin, Hao Liu, Ruixia Duan, Jinzhou Chen and Wentao Liu
Recycling 2026, 11(1), 16; https://doi.org/10.3390/recycling11010016 - 14 Jan 2026
Viewed by 238
Abstract
Polyethylene terephthalate (PET) recycling technology has developed into a mature system, providing a key paradigm for the circular utilization of polyester waste. Its pathways are primarily divided into mechanical recycling and chemical recycling. Mechanical recycling converts waste PET into rPET through physical processes [...] Read more.
Polyethylene terephthalate (PET) recycling technology has developed into a mature system, providing a key paradigm for the circular utilization of polyester waste. Its pathways are primarily divided into mechanical recycling and chemical recycling. Mechanical recycling converts waste PET into rPET through physical processes such as efficient sorting, deep cleaning, and melt extrusion. However, the resulting product often faces issues of decreased intrinsic viscosity and thermal oxidative degradation. Chemical recycling, particularly depolymerization techniques like saccharification, hydrolysis, and methanolysis, can reduce PET waste back to monomers. After purification, these monomers can be repolymerized into virgin-quality PET, achieving a closed-loop cycle. However, this approach faces challenges related to cost and process complexity. Against this backdrop, this paper further explores potential recycling methods for polyethylene terephthalate-1,4-cyclohexanedimethyleneterephthalate (PETG). This paper argues that the experience of PET recycling provides a crucial foundation for addressing PETG challenges but is not a direct solution. Future development directions include: developing intelligent sorting technologies, creating highly efficient selective catalysts to optimize depolymerization reactions, and other initiatives. These measures are essential for establishing an efficient recycling system for complex polyester waste. Full article
Show Figures

Figure 1

19 pages, 14468 KB  
Article
Kinetics and Potential Mechanisms of LDPE and PBAT Microplastics Biodeterioration by Soil Bacteria Bacillus cereus L6
by Jiayang Hu, Tianyu Liu, Jinpeng Zhang, Yong Yu, Jincai Ma and Yanjun Li
Microorganisms 2026, 14(1), 179; https://doi.org/10.3390/microorganisms14010179 - 14 Jan 2026
Viewed by 148
Abstract
Low-density polyethylene (LDPE) and poly (butylene adipate-co-terephthalate) (PBAT) agricultural films are major components of microplastics (MPs) and their contamination in agriculture due to their difficulty to recycle. However, potential degradation mechanisms of MPs from LDPE and PBAT in agricultural soils are still unclear. [...] Read more.
Low-density polyethylene (LDPE) and poly (butylene adipate-co-terephthalate) (PBAT) agricultural films are major components of microplastics (MPs) and their contamination in agriculture due to their difficulty to recycle. However, potential degradation mechanisms of MPs from LDPE and PBAT in agricultural soils are still unclear. Here, we isolated a strain of Bacillus cereus L6 from long-term agricultural MP-contaminated soil and analyzed its potential biochemical pathways involved in LDPE and PBAT turnover through functional prediction from shotgun genome sequencing. After 28 days of incubation with MPs, Bacillus cereus L6 caused a net mass loss of 0.99% LDPE-MPs/28 days and 3.58% PBAT-MPs/28 days. The surfaces of LDPE and PBAT degraded in bioassays added with Bacillus cereus L6 showed wrinkles, cracks, and pits, accompanied by an increase in roughness. The crystallinity and thermal stability of both LDPE- and PBAT-MPs were decreased and the hydrophobicity of PBAT-MPs was reduced. Whole-genome sequencing analysis showed that Bacillus cereus L6 potentially encoded genes for enzymes related to the biodeterioration of additives in LDPE and PBAT. Moreover, genomic CAZymes predictive analysis showed that genes related to oxygenases and lyases were annotated in the strain L6 Auxiliary Activities family. These findings offer a theoretical foundation for deeper exploration into the degradation and metabolic processes of MPs from discarded agricultural plastics in the environment. Full article
(This article belongs to the Section Environmental Microbiology)
Show Figures

Figure 1

21 pages, 2076 KB  
Article
Synergistic Effects of Devulcanized Rubber, Polyethylene, and Fumed Silica on the Rheological and Structural Stability of Bitumen
by Akkenzhe Bussurmanova, Anar Akkenzheyeva, Viktors Haritonovs, Remo Merijs-Meri, Janis Zicans, Uzilkhan Yensegenova, Yerzhan Imanbayev, Yerbolat Ayapbergenov, Maira Turkmenbayeva, Murshida Aimova, Assiya Boranbayeva, Martynas Jankauskas and Romans Kornisovs
Polymers 2026, 18(2), 208; https://doi.org/10.3390/polym18020208 - 12 Jan 2026
Viewed by 291
Abstract
This study examines the influence of virgin polyethylene (vPE), recycled polyethylene (rPE), and Aerosil (A) on the performance of bitumen binders modified with partially devulcanized rubber (DVR). The experimental program included morphology analysis, determination of devulcanization degree, dynamic viscosity measurements, shear stress–shear rate [...] Read more.
This study examines the influence of virgin polyethylene (vPE), recycled polyethylene (rPE), and Aerosil (A) on the performance of bitumen binders modified with partially devulcanized rubber (DVR). The experimental program included morphology analysis, determination of devulcanization degree, dynamic viscosity measurements, shear stress–shear rate analysis, load–displacement (F–Δl) testing, storage-stability evaluation, ring and ball softening point (R&B), penetration (P), and elastic recovery (ER) testing. The results show that DVR-rPE-modified bitumen binders exhibit 20–35% higher viscosity and up to 25% greater elongation at the break compared to DVR-vPE-modified bitumen systems, indicating more effective interaction with the bitumen matrix. The incorporation of Aerosil increased viscosity ca. 1.5–2 times for DVR-rPE and DVR-vPE-modified systems, respectively. Meanwhile, top and bottom differences in R&B decreased by a factor of 1.6–5 for DVR-rPE and DVR-vPE-containing composites, respectively, demonstrating significant enhancement in structural stability during storage. Mechanical testing further revealed that DVR-rPE + A binders absorbed 10–20% more deformation energy and consistently maintained ER values above 70–80%, corresponding to a higher elastic recovery grade at 25 °C. Overall, the DVR-rPE + A system provided the most balanced improvements in rheological, mechanical, and thermal properties, confirming its potential for use in high-performance, thermally stable, and environmentally sustainable bituminous materials for pavement applications. Full article
(This article belongs to the Special Issue Functional Polymer Composites: Synthesis and Application)
Show Figures

Figure 1

13 pages, 5323 KB  
Article
Balancing Durability and Sustainability: Field Performance of Plastic and Biodegradable Materials in Eastern Oyster Breakwater Reef Restoration
by Marc H. Hanke, Shannon Batte and Rachel C. Goebel
Environments 2026, 13(1), 42; https://doi.org/10.3390/environments13010042 - 9 Jan 2026
Viewed by 359
Abstract
With the historical and consistent population declines of the eastern oyster (Crassostrea virginica), restoration projects commonly deploy plastic bags (polyethylene) filled with recycled oyster cultch. Oyster cultch bags are utilized as material to stabilize sediment and provide a substrate for oyster [...] Read more.
With the historical and consistent population declines of the eastern oyster (Crassostrea virginica), restoration projects commonly deploy plastic bags (polyethylene) filled with recycled oyster cultch. Oyster cultch bags are utilized as material to stabilize sediment and provide a substrate for oyster larval recruitment, which provides a habitat for associated organisms and decreases marsh erosion. In addition to the plastic mesh bags utilized to contain oyster cultch, this study also utilized three different biodegradable oyster bag material types (biopolymer, basalt, and cellulose) to determine (1) the influence of bag type on oyster population dynamics, (2) bag durability over time (<1 year), and (3) the cost–benefits for each bag type, calculated via a Weighted Product Model (WPM), within a subsection of the West Galveston Bay Estuary, Texas. For bag type, the results suggested that plastic bags were the most resilient, followed by biopolymer, basalt, and cellulose bags. Plastic bags supported the highest oyster abundance and growth, demonstrating their effectiveness for establishing breakwater reefs. The WPM analysis indicated that plastic bags are inexpensive to deploy and, due to their longevity, are easily monitored over time. However, degradation of plastic bags may introduce microplastics into the environment, posing ingestion risks for bivalves. Whereas the nature-based solutions degraded quickly, inhibiting continuous monitoring, yet the loose cultch may facilitate the natural formation of reefs over time. The results highlight tradeoffs between maximizing oyster recruitment and growth, minimizing environmental contamination, and balancing ecological performance with material sustainability in oyster reef restoration practices. Full article
(This article belongs to the Special Issue Ecological Restoration in Marine Environments)
Show Figures

Figure 1

16 pages, 2905 KB  
Article
Technical and Economic Evaluation of Oil Palm Empty Fruit Bunches as a Filler Alternative in Wood Polymer Composites for Sustainable Construction Applications
by Siti Mutia Mawaddah, Mochamad Chalid, Azizah Intan Pangesty, Muhammad Ghozali, Yora Faramitha, Firda Dimawarnita, Annisa Rifathin, Zarlina Zainuddin, Muhammad Hanif Ainun Azhar and Adam Febriyanto Nugraha
Recycling 2026, 11(1), 9; https://doi.org/10.3390/recycling11010009 - 6 Jan 2026
Viewed by 206
Abstract
Wood polymer composite (WPC), composed of polymer matrices reinforced with natural fibers, is increasingly used in structural and non-structural applications due to its sustainability and performance. Although teak and rice husk are common natural reinforcements, the use of oil palm empty fruit bunches [...] Read more.
Wood polymer composite (WPC), composed of polymer matrices reinforced with natural fibers, is increasingly used in structural and non-structural applications due to its sustainability and performance. Although teak and rice husk are common natural reinforcements, the use of oil palm empty fruit bunches (OPEFB) remains underexplored despite their abundance as agricultural waste. This study investigates the potential of OPEFB as an alternative reinforcement for recycled polyethylene-based WPC containing 20 wt% fiber and compares its morphology and performance with teak and rice husk. Compositional analysis shows that OPEFB exhibits lignin and cellulose contents as well as crystallinity comparable to teak, while exceeding rice husk in several structural parameters. These characteristics contribute to the highest tensile strength observed among the composites (37.45 MPa). Although its Shore D hardness is the lowest (58.8), the value remains within the acceptable range for construction applications. Combined with its favorable production costs, OPEFB emerges as a viable, resource-efficient alternative to conventional natural fibers, expanding the options for sustainable WPC development. Full article
Show Figures

Graphical abstract

25 pages, 3479 KB  
Article
Structural Performance of Reinforced Concrete Affected by Plastic Materials
by Ramzi Abduallah, Jose Castro, Halil Sezen and Lisa Burris
Buildings 2026, 16(1), 229; https://doi.org/10.3390/buildings16010229 - 4 Jan 2026
Viewed by 221
Abstract
This novel study provides new experimental evidence and a detailed comparative analysis of how various types of plastic materials influence concrete performance. Six widely used plastic materials were examined for their impact on the flexural strength of reinforced concrete (RC) beams, as well [...] Read more.
This novel study provides new experimental evidence and a detailed comparative analysis of how various types of plastic materials influence concrete performance. Six widely used plastic materials were examined for their impact on the flexural strength of reinforced concrete (RC) beams, as well as the compressive strength, elastic modulus, and durability of concrete specimens. In the experimental program, 10% of the natural fine aggregate was replaced with particles of polyethylene terephthalate (PET), high-density polyethylene (HDPE), polyvinyl chloride (PVC), low-density polyethylene (LDPE), polypropylene (PP), and polystyrene (PS). A simplified life cycle assessment (LCA) model was included to compare the greenhouse gas emissions (measured as CO2-e) from managing plastic waste. The new experimental data indicate that, overall, incorporation of plastic waste materials into concrete has modest adverse effects, suggesting the viability of the resulting product as a sustainable material alternative. Flexural tests on RC beams showed that the addition of plastic particles has no adverse effects on flexural behavior under the specific test conditions. Furthermore, durability assessments using ultrasonic pulse velocity and electrical resistivity tests confirmed that plastic-modified concrete performs comparably to conventional mixes. LCA revealed that, with strategic improvements in recycling technology and logistics, using plastic waste in concrete can become an environmentally friendly option, helping to reduce the carbon footprint. Full article
Show Figures

Figure 1

14 pages, 962 KB  
Article
Fe2O3 Catalyst-Assisted Pyrolysis of Waste Cross-Linked Polyethylene on a Large Scale: Recycling of Difficult-to-Process Material
by Pavel Straka and Olga Bičáková
Sustainability 2026, 18(1), 339; https://doi.org/10.3390/su18010339 - 29 Dec 2025
Viewed by 288
Abstract
Cross-linked polyethylene (PEX) is very stable, both chemically and mechanically. This makes its waste difficult to process. A very promising approach is slow pyrolysis catalyzed by hematite (α-Fe2O3). Such pyrolysis was carried out on a large scale (feedstock of [...] Read more.
Cross-linked polyethylene (PEX) is very stable, both chemically and mechanically. This makes its waste difficult to process. A very promising approach is slow pyrolysis catalyzed by hematite (α-Fe2O3). Such pyrolysis was carried out on a large scale (feedstock of 38 kg, catalyst amount of 2 wt.%, heating rate of 4 K min−1, end temperature of 435 °C, delay at the end temperature several hours) and provided an oil containing both liquid (up to C17) and solid hydrocarbons (>C17). Thus, the oil obtained can be a source of valuable chemicals, solvents, and paraffin, and/or used as a clean liquid fuel and/or as a source of lubricants. Pyrolysis of PEX also yielded energy gas (12 wt.%) and solid carbonaceous residue (15 wt.%) for further use. The process mass balance and parameters (temperature, heating rate, dwell time, catalyst amount), composition, and chemical (elemental analysis, XRF, GC-MS, GC, distillation curve) and physical (viscosity, density, higher and lower heating value) properties of the oil, gas, and solid carbonaceous residue obtained are presented and discussed. The main product of the proposed technology is oil with a yield of almost 73 wt.%. The by-products are energy gas (12 wt.%) and solid carbonaceous residue (15 wt.%). The results obtained showed that the proposed technology successfully recycles difficult-to-process PEX with a process efficiency of 70%. Full article
(This article belongs to the Special Issue Waste to Energy: An Approach Towards Sustainability)
Show Figures

Figure 1

23 pages, 4587 KB  
Article
Mechanical Behavior and Predictive Modeling of Cementitious Composites Incorporating Recycled HDPE
by Omer Fatih Sancak and Muhammet Zeki Ozyurt
Polymers 2026, 18(1), 87; https://doi.org/10.3390/polym18010087 - 28 Dec 2025
Viewed by 298
Abstract
In this study, High-Density Polyethylene (HDPE) granules were used as fine aggregate replacements in concrete to contribute to plastic waste recycling. Substitution rates were determined as 10%, 20%, and 30% by volume. Slump, density, and mechanical strength tests were applied to concrete samples. [...] Read more.
In this study, High-Density Polyethylene (HDPE) granules were used as fine aggregate replacements in concrete to contribute to plastic waste recycling. Substitution rates were determined as 10%, 20%, and 30% by volume. Slump, density, and mechanical strength tests were applied to concrete samples. All strength values decreased as the HDPE substitution rate increased. Compressive strength decreased by 12–34%, tensile strength by 7–23%, flexural strength by 6–21%, and the modulus of elasticity by 15–34%. However, axial and lateral strain values increased between 4% and 44%. Density and slump values also decreased by 3–9% and 4–19%, respectively. Additionally, a database of previously published research on concrete and mortar was compiled and integrated with the experimental results obtained. This combined dataset was used to develop predictive models assessing the influence of HDPE substitution on the mechanical performance of cementitious composites. Exponential equations were formulated to estimate compressive strength, tensile strength, flexural strength, and modulus of elasticity. These formulations were compared with existing models reported in the literature. Statistical evaluation was conducted to measure predictive accuracy, and the results demonstrated that the models proposed in this study provided superior performance relative to earlier approaches. Full article
Show Figures

Graphical abstract

22 pages, 7988 KB  
Article
Utilization of Plastic Waste in Concrete Pavement
by Nancy Sakr and Mohamed AbouZeid
Processes 2026, 14(1), 38; https://doi.org/10.3390/pr14010038 - 22 Dec 2025
Viewed by 281
Abstract
The incorporation of utilized plastic waste into concrete mix designs for precast pavement applications presents a highly efficacious strategy, yielding demonstrably superior mechanical properties. High-density polyethylene (HDPE) is the proposed type of plastic in this study. It demonstrates remarkable performance and durability characteristics. [...] Read more.
The incorporation of utilized plastic waste into concrete mix designs for precast pavement applications presents a highly efficacious strategy, yielding demonstrably superior mechanical properties. High-density polyethylene (HDPE) is the proposed type of plastic in this study. It demonstrates remarkable performance and durability characteristics. The methodology not only significantly curtails landfill waste and incineration but also contributes to a reduction in energy consumption within the concrete sector, thereby establishing itself as a definitive sustainable solution that addresses environmental, economic, and societal imperatives. The optimal incorporation ratio for the recycled plastic within concrete matrices is determined to fall between 10% and 15%, as this range facilitates the attainment of the most desirable material properties. This study specifically focuses on plastic waste and the incorporation of recycled plastic into concrete materials. The emphasis on plastic is due to its material properties, which are particularly well-suited for concrete applications. Experimental tests are conducted on recycled concrete in comparison with the conventional concrete. The results demonstrate high mechanical properties to the recycled concrete. The novelty of this research is the type of plastic used in the concrete mix. Although most of the worldwide applications use Polyethylene Terephthalate (PET), HDPE showed exceeding properties and performance. Two important factors that influence the architectural aspect of construction materials are the heat island effect and the solar reflective index. These factors affect the energy absorption and emissivity rates of construction materials. The embodied carbon in the concrete mix impacts environmental and energy consumption rates, which directly relate to climate change, one of the Sustainable Development Goals (SDGs). Full article
Show Figures

Figure 1

23 pages, 2812 KB  
Article
Laboratory Investigation of High-Temperature Rheological and Mechanical Properties of HDPE-Modified Bitumen
by Pooya Afkhamy Meybodi, Mohammad Mehdi Khabiri and Mehdi Entezam
Infrastructures 2026, 11(1), 1; https://doi.org/10.3390/infrastructures11010001 - 19 Dec 2025
Viewed by 259
Abstract
This study addresses the critical challenge of permanent deformation in asphalt pavements under high-temperature conditions by developing recycled high-density polyethylene (HDPE)-modified bitumen. Through systematic laboratory investigation, we quantified the dose-dependent effects of HDPE (2–9% wt.) on rheological and mechanical properties. Dynamic shear rheometry [...] Read more.
This study addresses the critical challenge of permanent deformation in asphalt pavements under high-temperature conditions by developing recycled high-density polyethylene (HDPE)-modified bitumen. Through systematic laboratory investigation, we quantified the dose-dependent effects of HDPE (2–9% wt.) on rheological and mechanical properties. Dynamic shear rheometry revealed a 472% increase in rutting resistance (G*/sinδ = 6.48 kPa) at 6% HDPE versus unmodified bitumen (1.13 kPa), alongside an 18–32% reduction in phase angle (58–88 °C). Rotational viscosity surged by 240% at 135 °C (1170 cP vs. 344 cP). Mechanically, Marshall Stability peaked at 19,000 N (46% enhancement) with 6% HDPE, while flow values minimized at 2.3 mm (15% reduction). Complementary tests confirmed superior temperature susceptibility control: penetration decreased by 50% and softening point increased by 43% (72.3 °C) at 9% HDPE, with Penetration Index shifting from −0.4 to +2.18. SEM microstructural analysis validated optimal polymer dispersion at 6%, forming a continuous reinforcing network, whereas agglomeration at higher doses induced defects. Statistical modeling identified a robust linear relationship for Marshall Quotient (Adjusted R2 = 0.8383). The study establishes 6% HDPE as the optimal dosage, delivering synergistic high-temperature performance enhancement while utilizing recycled plastic. Future work should address long-term aging and field validation for sustainable pavement applications in tropical regions. Full article
Show Figures

Figure 1

15 pages, 2119 KB  
Article
Lightweight Modification of Polypropylene Cable Insulation Materials Doped with Hollow Glass Microspheres
by Xindong Zhao, Dongxu Luo, Kai Wang, Jiaming Yang, Ling Weng, Xiongjun Liu, Xiao Han and Xin Yao
Polymers 2025, 17(24), 3321; https://doi.org/10.3390/polym17243321 - 16 Dec 2025
Viewed by 446
Abstract
Overhead transmission lines have long relied on cross-linked polyethylene (XLPE) insulation. The production of XLPE insulation requires silane cross-linking, which generates by-products, consumes high energy, and results in poor recyclability-retired XLPE insulation can only be disposed of through incineration or landfilling. Additionally, its [...] Read more.
Overhead transmission lines have long relied on cross-linked polyethylene (XLPE) insulation. The production of XLPE insulation requires silane cross-linking, which generates by-products, consumes high energy, and results in poor recyclability-retired XLPE insulation can only be disposed of through incineration or landfilling. Additionally, its high density leads to increased cable weight and sag, reducing the service life of the cables. Therefore, there is an urgent need to develop recyclable and lightweight insulation materials. In this study, recyclable polypropylene (PP) was used as a substitute for XLPE. Hollow glass microspheres (HGM) were incorporated to reduce weight, and hydrogenated styrene-ethylene-butylene-styrene block copolymer (SEBS) was added for toughening, thereby constructing a PP/HGM/SEBS ternary composite system. The results show that the introduction of HGM into the PP matrix effectively reduces the material density, decreasing from 0.890 g/cm3 (pure PP) to 0.757 g/cm3—a reduction of 15%. With the addition of SEBS, the mechanical properties of the composite are significantly improved: the tensile strength increases from 14.94 MPa (PP/HGM) to 32.40 MPa, and the elongation at break jumps sharply from 72.02% to 671.22%, achieving the synergistic optimization of “weight reduction” and “strengthening-toughening”. Electrical performance tests indicate that the PP/HGM/SEBS composite exhibits a volume resistivity of 1.66 × 1012 Ω·m, a characteristic breakdown strength of 108.6 kV/mm, a low dielectric loss tangent of 2.76 × 10−4, and a dielectric constant of 2.24. It achieves density reduction while maintaining low dielectric loss and high insulation strength, verifying its feasibility for application in lightweight insulation scenarios of overhead transmission lines. Full article
Show Figures

Figure 1

Back to TopTop