Sign in to use this feature.

Years

Between: -

Subjects

remove_circle_outline
remove_circle_outline
remove_circle_outline
remove_circle_outline
remove_circle_outline
remove_circle_outline

Journals

Article Types

Countries / Regions

Search Results (21)

Search Parameters:
Keywords = realistic irregular waves

Order results
Result details
Results per page
Select all
Export citation of selected articles as:
38 pages, 16643 KB  
Article
Numerical Investigation of Inclination Effects on a Submerged Plate as Breakwater and Wave Energy Converter Under Realistic Sea State Waves
by Vitor Eduardo Motta, Gabrielle Ücker Thum, Maycon da Silveira Paiva, Rafael Adriano Alves Camargo Gonçalves, Luiz Alberto Oliveira Rocha, Elizaldo Domingues dos Santos, Bianca Neves Machado and Liércio André Isoldi
J. Mar. Sci. Eng. 2025, 13(8), 1438; https://doi.org/10.3390/jmse13081438 - 28 Jul 2025
Viewed by 613
Abstract
This study investigates the influence of inclination on a submerged plate (SP) device acting as both a breakwater (BW) and a wave energy converter (WEC) subjected to representative regular and realistic irregular waves of a sea state across 11 inclination angles. Numerical simulations [...] Read more.
This study investigates the influence of inclination on a submerged plate (SP) device acting as both a breakwater (BW) and a wave energy converter (WEC) subjected to representative regular and realistic irregular waves of a sea state across 11 inclination angles. Numerical simulations were conducted using ANSYS Fluent. Regular waves were generated by Stokes’s second-order theory, while the WaveMIMO technique was employed to generate irregular waves. Using the volume of fluid (VOF) method to model the water–air interaction, both approaches generate waves by imposing their vertical and horizontal velocity components at the inlet of the wave flume. The SP’s performance as a BW was analyzed based on the upstream and downstream free surface elevations of the device; in turn, its performance as a WEC was determined through its axial velocity beneath the plate. The results indicate that performance varies between regular and irregular wave conditions, underscoring the importance of accurately characterizing the sea state at the intended installation site. These findings demonstrate that the inclination of the SP plays a critical role in balancing its dual functionality, with certain configurations enhancing WEC efficiency by over 50% while still offering relevant BW performance, even under realistic irregular sea conditions. Full article
(This article belongs to the Section Coastal Engineering)
Show Figures

Figure 1

23 pages, 5541 KB  
Article
Innovative Double Dumbbell-Shaped Flux-Switching Linear Tube Generator for Ocean Wave Energy Conversion: Design, Simulation, and Experimental Validation
by Pooja Khatri, Zhenwei Liu, James Rudolph, Elie Al Shami and Xu Wang
Vibration 2025, 8(2), 32; https://doi.org/10.3390/vibration8020032 - 13 Jun 2025
Cited by 1 | Viewed by 978
Abstract
This study introduces a novel double dumbbell-shaped flux-switching linear tube generator (DDFSLG) for ocean wave energy conversion. The innovative architecture features a uniquely shaped stator and translator, distinguishing it from conventional linear generators. Unlike traditional systems, the DDFSLG is housed in a cylindrical [...] Read more.
This study introduces a novel double dumbbell-shaped flux-switching linear tube generator (DDFSLG) for ocean wave energy conversion. The innovative architecture features a uniquely shaped stator and translator, distinguishing it from conventional linear generators. Unlike traditional systems, the DDFSLG is housed in a cylindrical buoy. The translator oscillates axially within the stator. This eliminates the need for motion rectification and reduces mechanical friction losses in the power take-off (PTO) system. These design advancements result in high power output and improved performance. The DDFSLG’s three-phase coil circuit is another key innovation, improving electrical performance and stability in irregular wave conditions. We conducted comprehensive experimental validation using an MTS-250 kN testing system, which demonstrated strong agreement between theoretical predictions and measured results. We compared star and delta coil connections to assess how circuit configuration affects power output and efficiency. Furthermore, hydrodynamic simulations using the JONSWAP spectrum and ANSYS AQWA software (Ansys 13.0) provide detailed insight into the system’s dynamic response under realistic oceanic conditions. Full article
Show Figures

Figure 1

37 pages, 8641 KB  
Article
Experimental Investigations of Moored OWC Wave Energy Converters in Cyclonic Conditions: Survivability Versus Operational Performance
by Eric Gubesch, Nagi Abdussamie, Irene Penesis and Christopher Chin
Energies 2025, 18(10), 2668; https://doi.org/10.3390/en18102668 - 21 May 2025
Viewed by 896
Abstract
This study experimentally evaluates the survivability and hydrodynamic performance of a moored oscillating water column (OWC) wave energy converter (WEC) subjected to extreme cyclonic wave conditions emulating tropical cyclone Oma (2019). Laboratory tests recreated realistic cyclonic sea states using focused wave groups through [...] Read more.
This study experimentally evaluates the survivability and hydrodynamic performance of a moored oscillating water column (OWC) wave energy converter (WEC) subjected to extreme cyclonic wave conditions emulating tropical cyclone Oma (2019). Laboratory tests recreated realistic cyclonic sea states using focused wave groups through the NewWave theory, combining singular and embedded focused waves within irregular seas to simulate extreme crests, troughs, and transient slamming events. Three mooring systems, including catenary, vertical-taut, and taut with 45° tendons, were tested to quantify their influence on structural response, chamber pressures, mooring tensions, and motion dynamics. The results revealed a critical trade-off: mooring configurations optimised for energy capture efficiency (e.g., taut systems) exhibited reduced survivability during extreme waves, while survivability-focused designs (e.g., catenary) compromised operational performance. Slamming pressures and transient loads were highly sensitive to wave group and mooring stiffness, with vertical taut systems experiencing the largest peak tensions. By integrating localised slamming pressure data with global mooring load measurements, this work provides a novel framework for balancing energy production and storm resilience in OWC design. Full article
(This article belongs to the Special Issue Advances in Ocean Energy Technologies and Applications)
Show Figures

Figure 1

28 pages, 3457 KB  
Article
Theoretical Recommendations and Validation for the Generation of Realistic Irregular Waves Through the WaveMIMO Methodology
by Maycon da Silveira Paiva, Ana Paula Giussani Mocellin, Phelype Haron Oleinik, Elizaldo Domingues dos Santos, Luiz Alberto Oliveira Rocha, Liércio André Isoldi and Bianca Neves Machado
Processes 2025, 13(5), 1395; https://doi.org/10.3390/pr13051395 - 3 May 2025
Cited by 2 | Viewed by 686
Abstract
Irregular wave generation in numerical simulations is critical for accurately modeling realistic sea conditions, which is essential in coastal and offshore engineering applications, such as for wave energy conversion. Therefore, this study presents theoretical recommendations for generating realistic irregular waves using the WaveMIMO [...] Read more.
Irregular wave generation in numerical simulations is critical for accurately modeling realistic sea conditions, which is essential in coastal and offshore engineering applications, such as for wave energy conversion. Therefore, this study presents theoretical recommendations for generating realistic irregular waves using the WaveMIMO methodology and validates its accuracy against experimental data. For the parameters investigation, spectral data are processed to obtain orbital velocity profiles of wave propagation, which are imposed as boundary conditions (BCs) in a numerical wave channel. The simulations were conducted using the ANSYS-Fluent 2024 R2 software, which employs the multiphase volume of fluid (VOF) model to treat the interface between phases. Seeking theoretical recommendations for the application of this methodology, the present study investigated the discretization of the region where the prescribed velocity BC is imposed, the mesh sensitivity in the free surface region, the time step used, and the location of the velocity vector in each segment of the prescribed velocity BC imposition region. The results obtained were compared with realistic sea state data obtained from the TOMAWAC spectral model, referring to the municipalities of Rio Grande and Tramandaí, in the state of Rio Grande do Sul, Brazil. The results indicated that, compared to recommendations from the previous literature, the recommended configuration improved wave generation accuracy by 7–8% for Rio Grande and 2–3% for Tramandaí. Finally, the WaveMIMO methodology and its theorical recommendations were validated against experimental data found in the literature, reaching an excellent agreement. Full article
(This article belongs to the Special Issue CFD Applications in Renewable Energy Systems)
Show Figures

Figure 1

16 pages, 3046 KB  
Article
An Approach to Optimize the Efficiency of an Air Turbine of an Oscillating Water Column Based on Adaptive Model Predictive Control
by Yan Huang, Weixun Dong, Jianyu Fan, Shaohui Yang, Zhichang Du, Yongqiang Tu, Chenglong Li and Beichen Lin
J. Mar. Sci. Eng. 2025, 13(5), 831; https://doi.org/10.3390/jmse13050831 - 23 Apr 2025
Viewed by 797
Abstract
Wave energy, as a vast renewable resource, remains underutilized despite its high potential. The oscillating water column (OWC) is one of the most efficient way to harvest wave energy. Due to the randomness of ocean wave excitation, a control strategy is needed to [...] Read more.
Wave energy, as a vast renewable resource, remains underutilized despite its high potential. The oscillating water column (OWC) is one of the most efficient way to harvest wave energy. Due to the randomness of ocean wave excitation, a control strategy is needed to keep the conversion efficiency of OWC at a certain level. In this paper, an adaptive model predictive control (AMPC) method is proposed to optimize the efficiency of the air turbine and improve the overall efficiency of the OWC. Experiments were conducted in a wave flume to obtain realistic wave data, which were fed into the AMPC model for simulations. Results indicate that AMPC-optimized turbine efficiency exhibits improved performance under regular wave conditions and significantly enhances efficiency within certain intervals under short-period irregular waves. However, as the wave period increases, optimization becomes less stable. Overall, the study concludes that the adaptive MPC model effectively optimizes turbine efficiency under most conditions, highlighting its potential for enhancing OWC performance. Full article
(This article belongs to the Section Marine Energy)
Show Figures

Figure 1

29 pages, 8308 KB  
Article
Geometrical Evaluation of an Overtopping Wave Energy Converter Device Subject to Realistic Irregular Waves and Representative Regular Waves of the Sea State That Occurred in Rio Grande—RS
by Maycon da Silveira Paiva, Ana Paula Giussani Mocellin, Phelype Haron Oleinik, Elizaldo Domingues dos Santos, Luiz Alberto Oliveira Rocha, Liércio André Isoldi and Bianca Neves Machado
Processes 2025, 13(2), 335; https://doi.org/10.3390/pr13020335 - 25 Jan 2025
Cited by 2 | Viewed by 1118
Abstract
Among the various potential renewable energy sources, sea waves offer significant potential, which can be harnessed using wave energy converter (WEC) devices such as overtopping converters. These devices operate by directing incident waves up a ramp into a reservoir. The water then passes [...] Read more.
Among the various potential renewable energy sources, sea waves offer significant potential, which can be harnessed using wave energy converter (WEC) devices such as overtopping converters. These devices operate by directing incident waves up a ramp into a reservoir. The water then passes through a turbine coupled with an electrical generator before returning to the ocean. Thus, the present study deals with the geometrical evaluation of an overtopping WEC, where the influence of the ratio between the height and length of the device ramp (H1/L1) on the amount of water mass (M) that enters the reservoir was investigated. Numerical simulations were performed using ANSYS-Fluent software, 22 R1 version, to generate and propagate realistic irregular (RI) waves and representative regular (RR) waves found in the coastal region of the municipality of Rio Grande, in the state of Rio Grande do Sul, southern Brazil. Consequently, through constructal design, the optimal WEC geometry for both wave approaches were identified as the same, where (H1/L1)o=0.30. Thus, considering the RI waves, M= 200,820.77 kg was obtained, while, considering the RR waves, M= 144,054.72 kg was obtained. Full article
(This article belongs to the Special Issue CFD Applications in Renewable Energy Systems)
Show Figures

Figure 1

29 pages, 8238 KB  
Article
Part A: Innovative Data Augmentation Approach to Enhance Machine Learning Efficiency—Case Study for Hydrodynamic Purposes
by Hamed Majidiyan, Hossein Enshaei, Damon Howe and Eric Gubesch
Appl. Sci. 2025, 15(1), 158; https://doi.org/10.3390/app15010158 - 27 Dec 2024
Cited by 1 | Viewed by 1124
Abstract
These days, AI and machine learning (ML) have become pervasive in numerous fields. However, the maritime industry has faced challenges due to the dynamic and unstructured nature of environmental inputs. Hydrodynamic models, vital for predicting ship responses and estimating sea states, rely on [...] Read more.
These days, AI and machine learning (ML) have become pervasive in numerous fields. However, the maritime industry has faced challenges due to the dynamic and unstructured nature of environmental inputs. Hydrodynamic models, vital for predicting ship responses and estimating sea states, rely on diverse data sources of varying fidelities. The effectiveness of ML models in real-world applications hinges on the diversity, range, and quality of the data. Linear simulation techniques, chosen for their simplicity and cost-effectiveness, produce unrealistic and overly optimistic results. Conversely, high-fidelity experiments are prohibitively expensive. To address this, the study introduces an innovative feature engineering that incorporates uncertainty into features of linear models derived from higher fidelity modeling. This enhances productive data entropy, positively enhancing feature classification and improving the accuracy and feasibility of ML models in hydrodynamic responses of floating vessels. Tested with data from a known geometrical shape exposed to regular and irregular waves, the technique employs Ansys Aqwa for linear models. The results demonstrate the efficiency of the proposed technique, expanding the applicability of ML models in realistic scenarios. The application of the proposed approach extends beyond and can be further applied to any stochastic process, which expands the ML application for realistic use cases. Full article
Show Figures

Figure 1

29 pages, 12161 KB  
Article
Numerical Analysis of the Submerged Horizontal Plate Device Subjected to Representative Regular and Realistic Irregular Waves of a Sea State
by Gabrielle Ücker Thum, Rafael Pereira Maciel, Phelype Haron Oleinik, Luiz Alberto Oliveira Rocha, Elizaldo Domingues dos Santos, Flavio Medeiros Seibt, Bianca Neves Machado and Liércio André Isoldi
Fluids 2024, 9(8), 188; https://doi.org/10.3390/fluids9080188 - 20 Aug 2024
Cited by 5 | Viewed by 1503
Abstract
This study numerically analyzes a submerged horizontal plate (SHP) device subjected to both regular and irregular waves. This device can be used either as a breakwater or a wave energy converter (WEC). The WaveMIMO methodology was applied for the numerical generation and wave [...] Read more.
This study numerically analyzes a submerged horizontal plate (SHP) device subjected to both regular and irregular waves. This device can be used either as a breakwater or a wave energy converter (WEC). The WaveMIMO methodology was applied for the numerical generation and wave propagation of the sea state of the Rio Grande coast in southern Brazil. The finite volume method was employed to solve conservation equations for mass, momentum, and volume fraction transport. The volume of fluid model was employed to handle the water-air mixture. The SHP length (Lp) effects were carried out in five cases. Results indicate that relying solely on regular waves in numerical studies is insufficient for accurately determining the real hydrodynamic behavior. The efficiency of the SHP as a breakwater and WEC varied depending on the wave approach. Specifically, the SHP demonstrates its highest breakwater efficiency in reducing wave height at 2.5Lp for regular waves and 3Lp for irregular waves. As a WEC, it achieves its highest axial velocity at 3Lp for regular waves and 2Lp for irregular waves. Since the literature lacks studies on SHP devices under the incidence of realistic irregular waves, this study significantly contributes to the state of the art. Full article
Show Figures

Figure 1

31 pages, 8375 KB  
Article
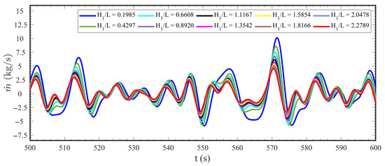
Constructal Design Applied to an Oscillating Water Column Wave Energy Converter Device under Realistic Sea State Conditions
by Rafael Pereira Maciel, Phelype Haron Oleinik, Elizaldo Domingues Dos Santos, Luiz Alberto Oliveira Rocha, Bianca Neves Machado, Mateus das Neves Gomes and Liércio André Isoldi
J. Mar. Sci. Eng. 2023, 11(11), 2174; https://doi.org/10.3390/jmse11112174 - 15 Nov 2023
Cited by 8 | Viewed by 2127
Abstract
In this work, we conducted a numerical analysis of an oscillating water column (OWC) wave energy converter (WEC) device. The main objective of this research was to conduct a geometric evaluation of the device by defining an optimal configuration that maximized its available [...] Read more.
In this work, we conducted a numerical analysis of an oscillating water column (OWC) wave energy converter (WEC) device. The main objective of this research was to conduct a geometric evaluation of the device by defining an optimal configuration that maximized its available hydrodynamic power while employing realistic sea data. To achieve this objective, the WaveMIMO methodology was used. This is characterized by the conversion of realistic sea data into time series of the free surface elevation. These time series were processed and transformed into water velocity components, enabling transient velocity data to be used as boundary conditions for the generation of numerical irregular waves in the Fluent 2019 R2 software. Regular waves representative of the sea data were also generated in order to evaluate the hydrodynamic performance of the device in comparison to the realistic irregular waves. For the geometric analysis, the constructal design method was utilized. The hydropneumatic chamber volume and the total volume of the device were adopted as geometric constraints and remained constant. Three degrees of freedom (DOF) were used for this study: H1/L is the ratio between the height and length of the hydropneumatic chamber, whose values were varied, and H2/l (ratio between height and length of the turbine duct) and H3 (submergence depth of hydropneumatic chamber) were kept constant. The best performance was observed for the device geometry with H1/L= 0.1985, which presented an available hydropneumatic power Phyd of 29.63 W. This value was 4.34 times higher than the power generated by the worst geometry performance, which was 6.83 W, obtained with an H1/L value of 2.2789, and 2.49 times higher than the power obtained by the device with the same dimensions as those from the one on Pico island, which was 11.89 W. When the optimal geometry was subjected to regular waves, a Phyd of 30.50 W was encountered. Full article
(This article belongs to the Section Ocean Engineering)
Show Figures

Figure 1

20 pages, 1387 KB  
Article
Geometrical Analysis of an Oscillating Water Column Converter Device Considering Realistic Irregular Wave Generation with Bathymetry
by Ana Paula Giussani Mocellin, Rafael Pereira Maciel, Phelype Haron Oleinik, Elizaldo Domingues dos Santos, Luiz Alberto Oliveira Rocha, Juliana Sartori Ziebell, Liércio André Isoldi and Bianca Neves Machado
J. Exp. Theor. Anal. 2023, 1(1), 24-43; https://doi.org/10.3390/jeta1010003 - 19 Sep 2023
Cited by 9 | Viewed by 2656
Abstract
Given the increasing global energy demand, the present study aimed to analyze the influence of bathymetry on the generation and propagation of realistic irregular waves and to geometrically optimize a wave energy converter (WEC) device of the oscillating water column (OWC) type. In [...] Read more.
Given the increasing global energy demand, the present study aimed to analyze the influence of bathymetry on the generation and propagation of realistic irregular waves and to geometrically optimize a wave energy converter (WEC) device of the oscillating water column (OWC) type. In essence, the OWC WEC can be defined as a partially submerged structure that is open to the sea below the free water surface (hydropneumatic chamber) and connected to a duct that is open to the atmosphere (in which the turbine is installed); its operational principle is based on the compression and decompression of air inside the hydropneumatic chamber due to incident waves, which causes an alternating air flow that drives the turbine and enables electricity generation. The computational fluid dynamics software package Fluent was used to numerically reproduce the OWC WEC according to its operational principles, with a simplification that allowed its available power to be determined, i.e., without considering the turbine. The volume of fluid (VOF) multiphase model was employed to treat the interface between the phases. The WaveMIMO methodology was used to generate realistic irregular waves mimicking those that occur on the coast of Tramandaí, Rio Grande do Sul, Brazil. The constructal design method, along with an exhaustive search technique, was employed. The degree of freedom H1/L (the ratio between the height and length of the hydropneumatic chamber of the OWC) was varied to maximize the available power in the device. The results showed that realistic irregular waves were adequately generated within both wave channels, with and without bathymetry, and that wave propagation in both computational domains was not significantly influenced by the wave channel bathymetry. Regarding the geometric evaluation, the optimal geometry found, H1/Lo = 0.1985, which maximized the available hydropneumatic power, i.e., the one that yielded a power of 25.44 W, was 2.28 times more efficient than the worst case found, which had H1/L = 2.2789. Full article
Show Figures

Figure 1

18 pages, 5964 KB  
Article
Numerical Investigation into the Performance of an OWC Device under Regular and Irregular Waves
by Giovanni Cannata, Marco Simone and Francesco Gallerano
J. Mar. Sci. Eng. 2023, 11(4), 735; https://doi.org/10.3390/jmse11040735 - 28 Mar 2023
Cited by 7 | Viewed by 2127
Abstract
A numerical investigation into the hydrodynamic efficiency of an oscillating water column (OWC) device for the production of energy from sea waves under the conditions of regular and irregular waves is proposed. The numerical simulations were carried out using a two-dimensional version of [...] Read more.
A numerical investigation into the hydrodynamic efficiency of an oscillating water column (OWC) device for the production of energy from sea waves under the conditions of regular and irregular waves is proposed. The numerical simulations were carried out using a two-dimensional version of a recently published three-dimensional free-surface nonhydrostatic numerical model, which is based on a conservative form of the contravariant Navier–Stokes equations written for a moving co-ordinate system. The governing equations are spatially discretized by a finite volume shock-capturing scheme based on high-order wave-targeted essentially nonoscillatory reconstructions and an exact Riemann solver. Time discretization was performed by a predictor-corrector method that took into account the nonhydrostatic pressure component. The proposed numerical model allowed us to highlight the significant differences between the hydrodynamic efficiency obtained under irregular waves and those obtained under regular monochromatic waves and provides more realistic evaluations of the OWC device performances. The results of the above comparison showed a reduction in the hydrodynamic efficiency of the OWC from 0.78 to about 0.54 when passing from regular waves to the corresponding irregular ones. The model was applied to assess the potential energy production obtainable by a set of OWCs at the Cetraro harbor (southern Italy). The numerical results show that, by adopting the optimal dimensions of the OWC, the estimated mean annual energy production obtainable at the Cetraro harbor is equal to 1540.52 MWh, which corresponds to the energy production of about 10 wind turbines with a nominal power of 60 KW. Full article
(This article belongs to the Special Issue Study on Mathematical and Numerical Modeling of Water Waves)
Show Figures

Figure 1

21 pages, 3848 KB  
Article
Nonparametric Identification Model of Coupled Heave–Pitch Motion for Ships by Using the Measured Responses at Sea
by Xianrui Hou and Xingyu Zhou
J. Mar. Sci. Eng. 2023, 11(3), 676; https://doi.org/10.3390/jmse11030676 - 22 Mar 2023
Cited by 3 | Viewed by 2028
Abstract
In order to simulate or control the coupled heave–pitch motion of ships in waves as realistically as possible, an appropriate mathematical model must be established in advance. In this paper, a nonparametric identification method, based on a combination of a random decrement technique [...] Read more.
In order to simulate or control the coupled heave–pitch motion of ships in waves as realistically as possible, an appropriate mathematical model must be established in advance. In this paper, a nonparametric identification method, based on a combination of a random decrement technique (RDT) and support vector regression (SVR), was proposed to model the coupled heave–pitch motion of ships by only using the measured random responses at sea. First, a mathematical model was established to describe the coupled heave–pitch motion of ships in irregular waves. Second, the random decrement equation and the random decrement signatures were obtained by using RDT. Third, the damped frequency of the coupled heave–pitch motions were obtained by analyzing the random decrement signatures. Fourth, SVR was applied to identify the unknown hydrodynamic functions in the established mathematical model. The applicability and validity of the proposed nonparametric identification method were verified by case studies which were designed based on the simulated data and the model test data, respectively. Results of the study showed that the nonparametric identification method can be applied to identify the coupled heave–pitch motion of ships by only using the measured random responses in irregular waves. Full article
(This article belongs to the Section Ocean Engineering)
Show Figures

Figure 1

26 pages, 3444 KB  
Article
Impact of Limited Degree of Freedom Drag Coefficients on a Floating Offshore Wind Turbine Simulation
by Arjun Srinivas, Bryson Robertson, Jonah Benjamin Gadasi, Barbara Gwynne Simpson, Pedro Lomónaco and Jesús María Blanco Ilzarbe
J. Mar. Sci. Eng. 2023, 11(1), 139; https://doi.org/10.3390/jmse11010139 - 7 Jan 2023
Cited by 8 | Viewed by 4163
Abstract
The worldwide effort to design and commission floating offshore wind turbines (FOWT) is motivating the need for reliable numerical models that adequately represent their physical behavior under realistic sea states. However, properly representing the hydrodynamic quadratic damping for FOWT remains uncertain, because of [...] Read more.
The worldwide effort to design and commission floating offshore wind turbines (FOWT) is motivating the need for reliable numerical models that adequately represent their physical behavior under realistic sea states. However, properly representing the hydrodynamic quadratic damping for FOWT remains uncertain, because of its dependency on the choice of drag coefficients (dimensionless or not). It is hypothesized that the limited degree of freedom (DoF) drag coefficient formulation that uses only translational drag coefficients causes mischaracterization of the rotational DoF drag, leading to underestimation of FOWT global loads, such as tower base fore-aft shear. To address these hydrodynamic modeling uncertainties, different quadratic drag models implemented in the open-source mid-fidelity simulation tool, OpenFAST, were investigated and compared with the experimental data from the Offshore Code Comparison Collaboration, Continued, with Correlation (OC5) project. The tower base fore-aft shear and up-wave mooring line tension were compared under an irregular wave loading condition to demonstrate the effects of the different damping models. Two types of hydrodynamic quadratic drag formulations were considered: (1) member-based dimensionless drag coefficients applied only at the translational DoF (namely limited-DoF drag model) and (2) quadratic drag matrix model (in dimensional form). Based on the results, the former consistently underestimated the 95th percentile peak loads and spectral responses when compared to the OC5 experimental data. In contrast, the drag matrix models reduced errors in estimates of the tower base shear peak load by 7–10% compared to the limited-DoF drag model. The underestimation in the tower base fore-aft shear was thus inferred be related to mischaracterization of the rotational pitch drag and the heave motion/drag by the limited-DoF model. Full article
(This article belongs to the Special Issue Offshore Wind Energy)
Show Figures

Figure 1

20 pages, 3520 KB  
Article
Numerical Analysis of the Available Power in an Overtopping Wave Energy Converter Subjected to a Sea State of the Coastal Region of Tramandaí, Brazil
by Lenon A. Cisco, Rafael P. Maciel, Phelype H. Oleinik, Elizaldo D. dos Santos, Mateus N. Gomes, Luiz A. O. Rocha, Liércio A. Isoldi and Bianca N. Machado
Fluids 2022, 7(11), 359; https://doi.org/10.3390/fluids7110359 - 20 Nov 2022
Cited by 3 | Viewed by 2128
Abstract
The present work proposes a numerical study of an overtopping wave energy converter. The goal of this study is to evaluate the theoretical power that can be converted by an overtopping device subjected to sea waves in the coastal region of Tramandaí, Brazil. [...] Read more.
The present work proposes a numerical study of an overtopping wave energy converter. The goal of this study is to evaluate the theoretical power that can be converted by an overtopping device subjected to sea waves in the coastal region of Tramandaí, Brazil. For this, realistic irregular waves were generated using the WaveMIMO methodology, which allows numerical simulation of sea waves through the imposition of transient discrete data as prescribed velocity. For the numerical analysis, a two-dimensional computational model was employed using Fluent, where the device was inserted into a wave channel. The volume of the fluid multiphase model was used for the treatment of the air–water interaction. The results indicated that the free surface elevation obtained using the WaveMIMO methodology, which converts a realistic sea state into a free surface elevation series, was adequately represented. The evaluation of the theoretical power of the overtopping device during around 45 min indicated that 471.28 W was obtained. In addition, a monthly generation projection showed that this device would supply 100% of the electricity demand of a school in the city of Tramandaí. These results demonstrated that the conversion of sea wave energy into electrical energy can contribute to supplying electricity demand, especially for coastal cities. Full article
Show Figures

Graphical abstract

20 pages, 8261 KB  
Article
Numerical Analysis of an Overtopping Wave Energy Converter Subjected to the Incidence of Irregular and Regular Waves from Realistic Sea States
by Ricardo G. Hubner, Cristiano Fragassa, Maycon da S. Paiva, Phelype H. Oleinik, Mateus das N. Gomes, Luiz A. O. Rocha, Elizaldo D. dos Santos, Bianca N. Machado and Liércio A. Isoldi
J. Mar. Sci. Eng. 2022, 10(8), 1084; https://doi.org/10.3390/jmse10081084 - 8 Aug 2022
Cited by 13 | Viewed by 3050
Abstract
The present study aims to evaluate the difference in the fluid-dynamic behavior of an overtopping wave energy converter under the incidence of irregular waves based on a realistic sea state when compared to the incidence of regular waves, representative of this sea state. [...] Read more.
The present study aims to evaluate the difference in the fluid-dynamic behavior of an overtopping wave energy converter under the incidence of irregular waves based on a realistic sea state when compared to the incidence of regular waves, representative of this sea state. Thus, the sea data of three regions from the Rio Grande do Sul coast, Brazil, were considered. Fluent software was employed for the computational modeling, which is based on the finite volume method (FVM). The numerical generation of waves occurred through the imposition of the velocity boundary conditions using transient discrete values through the WaveMIMO methodology. The volume of fluid (VOF) multiphase model was applied to treat the water–air interaction. The results for the water amount accumulated in the device reservoir showed that the fluid-dynamic behavior of the overtopping converter has significant differences when comparing the two proposed approaches. Differences up to 240% were found for the water mass accumulated in the overtopping device reservoir, showing evidence that the results can be overestimated when the overtopping device is analyzed under the incidence of the representative regular waves. Furthermore, for all studied cases, it was possible to approximate the water volume accumulated over time in the overtopping reservoir through a first-degree polynomial function. Full article
(This article belongs to the Special Issue Wave, Tidal and Offshore Wind Energy Site Assessment and Monitoring)
Show Figures

Figure 1

Back to TopTop