Sign in to use this feature.

Years

Between: -

Subjects

remove_circle_outline
remove_circle_outline
remove_circle_outline
remove_circle_outline
remove_circle_outline
remove_circle_outline
remove_circle_outline
remove_circle_outline
remove_circle_outline

Journals

remove_circle_outline
remove_circle_outline
remove_circle_outline
remove_circle_outline
remove_circle_outline
remove_circle_outline
remove_circle_outline
remove_circle_outline
remove_circle_outline
remove_circle_outline
remove_circle_outline
remove_circle_outline
remove_circle_outline
remove_circle_outline
remove_circle_outline

Article Types

Countries / Regions

remove_circle_outline
remove_circle_outline
remove_circle_outline
remove_circle_outline
remove_circle_outline

Search Results (843)

Search Parameters:
Keywords = read-mapping

Order results
Result details
Results per page
Select all
Export citation of selected articles as:
36 pages, 36653 KB  
Article
Soundscape-Informed Urban Planning and Architecture in Historic Centers: A Multi-Layer Method for Soundscape Characterization Applied to Bilbao Old Town
by Zigor Iturbe-Martin, Alexander Martín-Garín and Amaia Casado-Rezola
Appl. Sci. 2026, 16(8), 3630; https://doi.org/10.3390/app16083630 - 8 Apr 2026
Abstract
Urban soundscape management is a central challenge to the livability and sustainability of cities and requires approaches that complement level indicators with frameworks capable of integrating context, use and experience. In this framework, the present work applies a multilayer methodology to the Old [...] Read more.
Urban soundscape management is a central challenge to the livability and sustainability of cities and requires approaches that complement level indicators with frameworks capable of integrating context, use and experience. In this framework, the present work applies a multilayer methodology to the Old Town of Bilbao, understood as a useful case study to explore the applicability of soundscape reading in historic centers with intense coexistence of commercial, hospitality and catering uses, pedestrian, logistical and cultural uses. The methodology is organized into two phases. The first focuses on the recording and documentation of control points and routes through sound fieldwork, perceptual descriptions and homogeneous systematization of information. From this corpus, a qualified sound map and a first visual characterization of the sound identity are elaborated. The second phase presented in this article, consists of the interpretative synthesis of the corpus through five analytical dimensions and the preparation of fragments and sound sequences conceived for future application through reactivated listening. The results are presented at three levels: (1) a traceable documentary corpus of records, files and synthetic representations; (2) a comparative reading by dimensions that identifies spatial contrasts between interior, exterior and perimeter, as well as relationships between urban form, uses, persistence, masking and salience; and (3) a set of operational audio materials prepared for subsequent comparison with inhabitants and users. In a transversal way, type–token reading distinguishes between the diversity of sounds and dominance by repetition. The article does not yet carry out participatory validation of these materials; its contribution consists of proposing and applying a traceable analytical protocol as a basis for future phases of social contrast and applied discussion. Full article
(This article belongs to the Special Issue Soundscapes in Architecture and Urban Planning)
Show Figures

Figure 1

19 pages, 298 KB  
Article
A Framework to Assess Food Insecurity Responses Among Colleges and Universities
by Sara R. Gonzalez, Kate Thornton and Alicia Powers
Nutrients 2026, 18(8), 1169; https://doi.org/10.3390/nu18081169 - 8 Apr 2026
Abstract
Background/Objectives: Food insecurity affects college students at nearly twice the rate of US households, with documented impacts on student academic performance, physical and mental health, and socialization. While frameworks exist to conceptualize general food insecurity and food insecurity in specific contexts, researchers and [...] Read more.
Background/Objectives: Food insecurity affects college students at nearly twice the rate of US households, with documented impacts on student academic performance, physical and mental health, and socialization. While frameworks exist to conceptualize general food insecurity and food insecurity in specific contexts, researchers and practitioners lack resources to guide system-level responses to food insecurity on college and university campuses and assess those responses. In this study, we aimed to develop and validate a simple yet comprehensive framework for assessing food insecurity responses within the context of higher education. Methods: We adapted an eight-phase process for framework development: (1) map selected data sources within the multidisciplinary literature, (2) read and categorize selected sources, (3) identify and name concepts, (4) deconstruct and categorize concepts based on their features, (5) group similar concepts together, (6) synthesize concepts into a framework, (7) validate the framework using expert panel review, and (8) revise as necessary. Results: The developed Campus Food Aid Self-assessment (CFAS) framework consists of six dimensions: Student Services and Supports; Involvement; Advocacy; Awareness and Culture Efforts; Education and Training; and Research, Scholarship, and Creative Works. Expert panelists (n = 7) reviewed the proposed framework and confirmed the clarity, comprehensiveness, and representativeness of the proposed dimensions, conceptual definitions, and operational variables. Conclusions: With a comprehensive yet accessible structure, the CFAS framework supports the development, coordination, and improvement of campus-based strategies to address food insecurity and support positive student outcomes. Full article
15 pages, 2366 KB  
Article
Characterization of the Complete Mitochondrial Genome of Castanopsis tibetana Hance: A Precious Timber Species
by Zi-Fei Wang, Zhi-Tong Xiao, Xiao-Long Jiang, Feng Song and Fei Liu
Genes 2026, 17(4), 430; https://doi.org/10.3390/genes17040430 - 7 Apr 2026
Abstract
Background/Objectives: Castanopsis tibetana Hance (C. tibetana) is a valuable timber species in southern China. Its chloroplast and nuclear genomes have been characterized, but its mitochondrial genome (mitogenome) remains unknown. This study assembles and characterizes the first complete mitogenome of C. tibetana [...] Read more.
Background/Objectives: Castanopsis tibetana Hance (C. tibetana) is a valuable timber species in southern China. Its chloroplast and nuclear genomes have been characterized, but its mitochondrial genome (mitogenome) remains unknown. This study assembles and characterizes the first complete mitogenome of C. tibetana, elucidating its structural and evolutionary features. Methods: A hybrid approach combining Oxford Nanopore long reads and Illumina short reads was used. The mitogenome was assembled via iterative seed-based mapping and annotated via GeSeq and tRNAscan-SE. Repeats were identified via MISA, TRF, and REPuter. The RNA editing sites were predicted with the PREP suite. Phylogenetic analysis was performed on 14 conserved protein-coding genes from 13 species via maximum likelihood and Bayesian inference. Results: The mitogenome is a 554,078 bp circular molecule (GC 45.27%) encoding 51 genes (32 PCGs, 16 tRNAs, 3 rRNAs). It contains 202 simple sequence repeats (37.1% tetrameric). We predicted 53 C-to-U RNA editing sites, most frequently in nad7 and nad5. Codon usage showed bias, with 28 codons having RSCU > 1. Twenty fragments (6001 bp, 1.08% of the mitogenome) were transferred from the chloroplast. Phylogenomic analysis placed C. tibetana within Fagaceae, close to other Castanopsis species. Conclusions: This study provides the first comprehensive characterization of the C. tibetana mitogenome, revealing its structural architecture, repetitive landscape, RNA editing profile, and phylogenetic placement. These findings offer valuable genomic resources for understanding mitogenome evolution in Fagaceae and support future research on the conservation genetics and molecular breeding of this important tree species. Full article
(This article belongs to the Section Plant Genetics and Genomics)
Show Figures

Figure 1

12 pages, 218 KB  
Article
The Architecture of Harm: Rumour, Routine, and Spatial Constraint in Anna Burns’ No Bones
by Ubaid Khursheed, Rayees Ahmad Bhat and Anudeep Kaur Bedi
Humanities 2026, 15(4), 54; https://doi.org/10.3390/h15040054 - 2 Apr 2026
Viewed by 179
Abstract
Anna Burns’ No Bones has extensively documented its depiction of trauma during the Troubles; less attention has been paid to the systematic mechanisms through which pervasive psychosocial harm is quietly administered and normalised. This article moves beyond readings of individual suffering to diagnose [...] Read more.
Anna Burns’ No Bones has extensively documented its depiction of trauma during the Troubles; less attention has been paid to the systematic mechanisms through which pervasive psychosocial harm is quietly administered and normalised. This article moves beyond readings of individual suffering to diagnose a collective condition, arguing that Burns constructs a veritable architecture of harm: a meticulously designed system operating not through overt aggression alone, but through the mundane, yet powerfully insidious, interplay of social forces governing everyday life. This synthesis reveals how these forces converge to produce what Achille Mbembe terms a death-world: a state of being where populations are subjected to conditions that confer upon them the status of the living dead. Within this necropolitical landscape, the protagonist Amelia’s routines are dictated by shrinking spatial affordances, while incessant rumour functions as a policing mechanism that enforces social death long before physical death is a threat. This analysis demonstrates that harm is not an atmospheric byproduct of conflict, but the very logic of this architecture, which compels the community to participate in its own subjugation. Ultimately, by mapping this architecture, this article reframes Burns’ novel from a historical text of the Troubles into a trenchant meditation on the governance of populations under duress. It offers a vital framework for understanding how quiet harm is spatially engineered, a dynamic with profound relevance for contemporary studies of carceral geographies, algorithm-driven social control, and the politics of atmospheric violence. It posits Burns’ work as a crucial resource for theorising the invisible structures that shape and constrain modern life. Full article
(This article belongs to the Section Literature in the Humanities)
23 pages, 5532 KB  
Article
Perception and Production of the Aspiration Contrast in Mandarin Retroflex Affricates [tʂ] and [tʂh] by Adult Spanish Speakers Learning Mandarin Chinese: An Exploratory Study
by Guilherme Galhoz Maria Roque and Quanzhen Zhang
Languages 2026, 11(4), 69; https://doi.org/10.3390/languages11040069 - 2 Apr 2026
Viewed by 211
Abstract
This exploratory study examines the perception and production of the aspiration contrast in Mandarin voiceless retroflex affricates zh [tʂ] and ch [tʂh] by ten adult Spanish speakers (three Peruvian, seven Chilean) at Nanjing University. Participants completed a perception identification task and [...] Read more.
This exploratory study examines the perception and production of the aspiration contrast in Mandarin voiceless retroflex affricates zh [tʂ] and ch [tʂh] by ten adult Spanish speakers (three Peruvian, seven Chilean) at Nanjing University. Participants completed a perception identification task and a production reading task using the same set of 128 syllables. Voice Onset Time (VOT) measurements from the production task were converted to binary classifications for cross-modality comparison. Perception accuracy was moderately high (zh [tʂ]: 84.43%; ch [tʂh]: 82.39%), whilst production accuracy was substantially lower (zh [tʂ]: 32.61%; ch [tʂh]: 19.15% within native VOT ranges). Participants maintained the aspiration contrast (zh [tʂ] = 58 ms, ch [tʂh] = 125 ms) but consistently underproduced VOT compared to native speakers (zh [tʂ] = 67 ms, ch [tʂh] = 164 ms). Perception patterns align with Category Goodness (CG) assimilation within PAM-L2: both Mandarin sounds map to Spanish [tʃ] but with different goodness-of-fit, enabling moderate discrimination. Production follows SLM-r predictions, with learners developing a Composite L1–L2 Category that maintains the aspiration contrast but fails to establish new phonetic categories. The small sample size (n = 10) precluded robust statistical testing of individual differences. The perception–production asymmetry supports independent modality development in L2 phonetic acquisition. Full article
Show Figures

Figure 1

8 pages, 437 KB  
Article
Preparing for Shotgun Sequencing in Forensic Genetics—A Workflow for Analysis of Monozygotic Twins
by Olivia Luxford Meyer, Claus Børsting, Jeppe Dyrberg Andersen and Marie-Louise Kampmann
Genes 2026, 17(4), 409; https://doi.org/10.3390/genes17040409 - 31 Mar 2026
Viewed by 199
Abstract
Background/Objectives: Identifying the true perpetrator among monozygotic (MZ) twins has long posed a challenge in forensic genetics and for police investigations because MZ twins are likely identical in their short tandem repeat (STR) profile. In this study, we propose a workflow to address [...] Read more.
Background/Objectives: Identifying the true perpetrator among monozygotic (MZ) twins has long posed a challenge in forensic genetics and for police investigations because MZ twins are likely identical in their short tandem repeat (STR) profile. In this study, we propose a workflow to address this issue, anchored in a case study involving MZ twins. Methods: The workflow includes shotgun sequencing of reference samples from one twin and trace samples, followed by a targeted amplicon-based approach (AmpliSeq™ Custom Panel) to validate the identified variants. Results: Biological traces from the crime scene, identified as blood, were available for analysis along with reference material from one twin, collected as a buccal swab. The samples underwent shotgun sequencing, and the resulting reads were aligned to the human reference genome. The sequencing yielded 2.91 and 2.85 billion mapped positions (corresponding to a breadth of coverage of 91% and 89%), with mean depths of coverage of 39.7× and 25.8× for the trace and reference samples, respectively. To minimise the risk of detecting somatic variants in the two different tissues, a stringent heterozygosity balance threshold (Hb: 0.4–0.6) was applied, and 2,047,077 single nucleotide variants (SNVs) were identified, of which 28 showed inconsistencies between the trace and reference samples. These candidate variants were subjected to validation using an AmpliSeq™ Custom Panel. Conclusions: No detectable SNV differences were observed between the reference and trace samples, and it was not possible to determine whether the trace originated from the reference twin or from his monozygotic co-twin. Full article
(This article belongs to the Special Issue Advances and Challenges in Forensic Genetics)
Show Figures

Figure 1

25 pages, 5157 KB  
Article
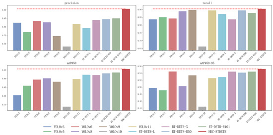
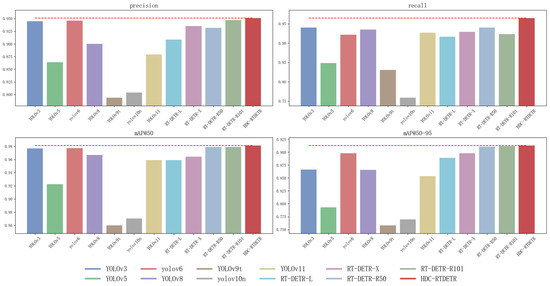
HDC-RTDETR: Instrument Detection Model for Intelligent Inspection of Wind Farm Switching Stations Under Fog, Light, or Noise Conditions
by Wenshuo Shang, Xiaoqiang Jia, Ying Cui and Yu Jia
Symmetry 2026, 18(4), 595; https://doi.org/10.3390/sym18040595 - 31 Mar 2026
Viewed by 337
Abstract
The continuous expansion of wind farms and the escalating demand for automated operation and maintenance have established the efficient and accurate performance of intelligent inspection systems for switching stations as a critical factor for ensuring power facility safety and stability. However, the intelligent [...] Read more.
The continuous expansion of wind farms and the escalating demand for automated operation and maintenance have established the efficient and accurate performance of intelligent inspection systems for switching stations as a critical factor for ensuring power facility safety and stability. However, the intelligent inspection trolleys deployed in such settings are frequently hampered by suboptimal instrument detection accuracy and limited robustness, attributable primarily to environmental interference from fog, variable lighting conditions, or image noise. This paper proposes a multi-module-integrated real-time object detection model, termed HDC-RTDETR (HSAN + DBlockC3 + CGAFusion + RT-DETR). The model is grounded in the intelligent inspection principle of “clear visibility precedes efficient inspection”, with the primary objective of enabling reliable instrument identification under the influence of fog, changing lighting conditions or image noise. Specifically, building upon the RT-DETR architecture, we introduce three targeted enhancements: (1) the HSAN module adaptively fuses grayscale, edge, and color features to improve robustness against composite degradations (e.g., fog, illumination variations, noise) by enhancing target responses while suppressing background clutter; (2) DBlockC3 captures and integrates multi-scale contextual information, refining the discrimination of fine-grained instrument details under complex lighting; and (3) the CGAFusion module strengthens hierarchical feature integration within the encoder, effectively mitigating fog-induced blurring effects. Experimental validation on a Custom Dataset demonstrates that the proposed model achieves a mAP@50 of 95.566% (representing an improvement of 3.390 percentage points) and a precision of 90.557% (an increase of 11.20 percentage points). Furthermore, on an Industrial Instrument Needle Dataset, it attains a mAP@50 of 98.130% (+2.242%) and a precision of 95.130% (+4.269%). In addition, we validated its edge deployment capabilities on the Jetson AGX Orin, achieving real-time inference at 16.5 FPS, which meets the near-real-time video streaming processing requirements of many application scenarios. These results confirm that the HDC-RTDETR model exhibits superior detection performance and environmental adaptability in complex industrial scenarios, thereby establishing a high-confidence localization foundation for subsequent instrument reading extraction tasks. Full article
(This article belongs to the Section Engineering and Materials)
Show Figures

Figure 1

26 pages, 4885 KB  
Article
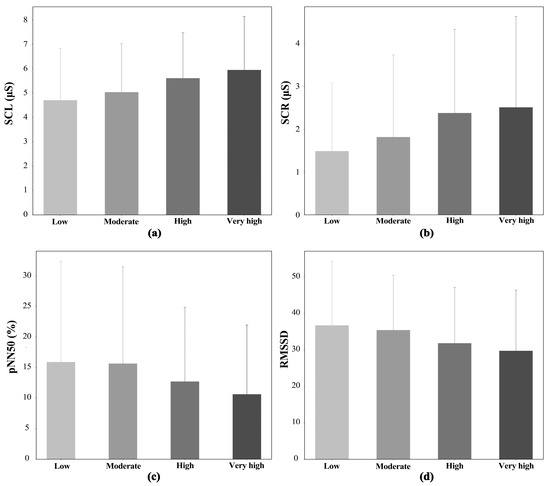
Reading Noise: Integrating Physiological Sensing and Sound-Driven Visualization to Externalize Noise-Related Cognitive Disruption During Reading
by Xueyi Li, Yonghong Liu, Zihui Jiang and Yangcheng Wang
Multimodal Technol. Interact. 2026, 10(4), 35; https://doi.org/10.3390/mti10040035 - 30 Mar 2026
Viewed by 284
Abstract
Environmental noise may interfere with the reading experience by increasing cognitive load and psychophysiological arousal, yet these effects are difficult to perceive and communicate in real time. This study presents Reading Noise, an interactive installation that combines physiological sensing and sound-driven visualization to [...] Read more.
Environmental noise may interfere with the reading experience by increasing cognitive load and psychophysiological arousal, yet these effects are difficult to perceive and communicate in real time. This study presents Reading Noise, an interactive installation that combines physiological sensing and sound-driven visualization to externalize perceived noise-related disturbance and psychophysiological strain during reading. In a controlled experiment, 46 participants completed reading tasks under four levels of background conversational noise (0–30, 31–60, 61–90, and >90 dB) while ambient sound level, electrodermal activity (EDA), and electrocardiogram (ECG) were recorded in real time. Following data quality screening, inferential statistical analyses were performed on the analyzable physiological subset (n = 16). Based on these data, a hybrid mapping strategy combining rule-based assignment and LMM-informed exploratory calibration was developed to map acoustic and physiological changes onto dynamic text-based visual parameters, including deformation intensity, jitter, and motion instability, for real-time feedback. Within the analyzable subset, noise level was associated with significant changes in the recorded physiological indicators (all p < 0.05): skin conductance level (SCL) and skin conductance responses per minute (SCRs/min) increased (4.69 ± 2.13 to 5.93 ± 2.19 μS; 1.49 ± 1.59 to 2.51 ± 2.13), whereas the percentage of successive RR intervals differing by more than 50 ms (pNN50) and the root mean square of successive differences (RMSSD) decreased (15.84 ± 16.52% to 10.57 ± 11.35%; 36.63 ± 17.62 to 29.67 ± 16.66 ms). Subjective cognitive load also increased significantly (2.06 ± 0.29 to 6.38 ± 0.31). A follow-up installation study with 24 cross-disciplinary participants, with reported group interaction observations drawn from a 12-participant subset, suggested that the installation may facilitate shared interpretation of attention-related disruption and cognitive strain, indicating the potential of physiology-informed visual translation as a boundary object approach for empathetic, sound-mediated communication. Full article
Show Figures

Figure 1

22 pages, 8906 KB  
Article
Transcriptomic and RNA Modification Landscape of Severe Fever with Thrombocytopenia Syndrome Virus Revealed by Nanopore Direct RNA Sequencing
by Haowen Yuan, Bohan Zhang, Ling Qiu, Jingwan Han, Lei Jia, Xiaolin Wang, Yongjian Liu, Hanping Li, Hongling Wen and Lin Li
Microorganisms 2026, 14(4), 756; https://doi.org/10.3390/microorganisms14040756 - 27 Mar 2026
Viewed by 350
Abstract
Severe Fever with Thrombocytopenia Syndrome (SFTS) is caused by the SFTS virus (SFTSV) and is associated with a high mortality rate. Although previous studies have reported RNA modifications such as m6A on SFTSV RNA, an integrated analysis of native viral transcript architecture and [...] Read more.
Severe Fever with Thrombocytopenia Syndrome (SFTS) is caused by the SFTS virus (SFTSV) and is associated with a high mortality rate. Although previous studies have reported RNA modifications such as m6A on SFTSV RNA, an integrated analysis of native viral transcript architecture and multiple RNA modification types within infected cells remains lacking. Here, we used Oxford Nanopore direct RNA sequencing (DRS) to analyze native SFTSV RNA in infected cells, combining strand-specific alignment, isoform reconstruction through read endpoint clustering, isoform-level quantification, and signal-level modification identification using unmodified in vitro transcripts as a baseline. This approach allowed us to construct detailed maps of the L, M, and bidirectionally encoded S segments at single-molecule, isoform-level resolution. The results reveal a “length-layering” pattern in SFTSV transcription, anchored by recurrent 3′ termination hotspots: only a few full-length transcripts dominate expression, whereas multiple reproducible truncated isoforms were associated with discrete termination windows, a pattern less consistent with random degradation alone and suggestive of regulated transcript termination. At the single-nucleotide level, the modification landscape is predominantly Ψ (pseudouridine), followed by m5C (5-methylcytosine), with sparse m6A (N6-methyladenosine). Modification hotspots are co-located across isoforms at the same genomic coordinates, exhibiting segmental/strand asymmetry, with sharper peaks on (−) RNA. These patterns provide a testable framework and raise the possibility that transcript-boundary organization and site-constrained Ψ/m5C signals may be associated with variation in viral RNA output. More broadly, isoform proportions around termination hotspots and Ψ/m5C-enriched regions at conserved sites may serve as quantitative features for characterizing viral RNA organization and prioritizing targets for future functional investigation. Our single-molecule integrated map establishes a reproducible methodological framework for studying SFTSV RNA regulation and provides a resource for future work aimed at assessing how transcript boundaries and RNA modification patterns may relate to polymerase activity and virus–host interaction. Full article
(This article belongs to the Section Virology)
Show Figures

Figure 1

23 pages, 2536 KB  
Article
Axes Mapping and Sensor Fusion for Attitude-Unconstrained Pedestrian Dead Reckoning
by Constantina Isaia, Lingming Yu, Wenyu Cai and Michalis P. Michaelides
Sensors 2026, 26(6), 1968; https://doi.org/10.3390/s26061968 - 21 Mar 2026
Viewed by 372
Abstract
Localization and navigation techniques have become fundamental for modern lives, while achieving accurate results indoors still remains a significant challenge. The widespread adoption of smart devices, and especially smartphones, has increased the need for accurate and robust pedestrian dead reckoning systems that operate [...] Read more.
Localization and navigation techniques have become fundamental for modern lives, while achieving accurate results indoors still remains a significant challenge. The widespread adoption of smart devices, and especially smartphones, has increased the need for accurate and robust pedestrian dead reckoning systems that operate in infrastructure-less environments. Pedestrian dead reckoning’s primary challenge is maintaining accuracy despite varying smartphone placements (attitudes) and the noisy, low-cost inertial measurements units. In this work, a comprehensive pedestrian dead reckoning framework is presented that integrates advanced step counting and heading estimation techniques. For step detection and counting, we propose a robust step counting algorithm that utilizes the optimum fusion of the raw IMU readings, i.e., accelerometer, linear accelerometer, gyroscope, and magnetometer readings, each broken down into three degrees of freedom for different body placements and walking speeds. Furthermore, to address the critical issue of heading estimation, we propose the heading estimation axis mapping (HEAT-MAP) algorithm, which dynamically adjusts the sensor axes in response to the smartphone’s orientation, ensuring a consistent coordinate frame and reducing heading drift. Moreover, to eliminate cumulative pedestrian dead reckoning errors, the system incorporates an adaptive weighted fusion mechanism with Wi-Fi fingerprinting. Experimental results demonstrate that this integrated system significantly improves the overall trajectory accuracy, providing a high-precision, attitude-unconstrained solution for real-time indoor pedestrian navigation. Full article
(This article belongs to the Special Issue Indoor Localization Techniques Based on Wireless Communication)
Show Figures

Figure 1

27 pages, 3055 KB  
Article
Integrative Genome-Wide Association and Transcriptome Analyses Identify Candidate Genes for Salt Tolerance During Cotton Germination
by Yin Wang, Yilei Long, Shen Jin, Yinan Yang, Shixiao Fang, Xiutong Wu, Teng Liu and Xiantao Ai
Plants 2026, 15(6), 937; https://doi.org/10.3390/plants15060937 - 19 Mar 2026
Viewed by 329
Abstract
Genome-wide association analysis and transcriptomics were used to investigate salt tolerance traits during germination in 300 Gossypium hirsutum L. germplasm accessions, with the objective of identifying genes and molecular markers associated with salt tolerance. Under 200 mmol L−1 NaCl stress, six traits [...] Read more.
Genome-wide association analysis and transcriptomics were used to investigate salt tolerance traits during germination in 300 Gossypium hirsutum L. germplasm accessions, with the objective of identifying genes and molecular markers associated with salt tolerance. Under 200 mmol L−1 NaCl stress, six traits were evaluated, germination rate, root length, shoot length, root fresh weight, shoot fresh weight, and total fresh weight, as well as their respective salt tolerance indices. A total of 1277 significantly associated single-nucleotide polymorphism (SNP) markers were identified and mapped to 94 quantitative trait loci (QTLs). Of these, 49 QTLs were detected by three or more analytical models, and three QTLs were prioritized for further investigation. Subsequent analysis of these QTLs identified 73 candidate genes potentially involved in cotton salt tolerance. Integration of transcriptomic data revealed that three candidate genes were among the differentially expressed genes (DEGs). Examination of their RNA-seq expression profiles demonstrated significant differences in fragments per kilobase of transcript per million mapped reads (FPKM) values across sampling time points. These three candidate genes are therefore predicted to be associated with salt tolerance during cotton germination. The results provide new insights into the molecular regulatory mechanisms of salt stress tolerance in cotton and offer valuable genetic resources and molecular markers for the genetic improvement of salt tolerance. Full article
Show Figures

Figure 1

27 pages, 2438 KB  
Article
Bacterial Strains from Soybean Nodules in the Lower Volga Region Belong to a New Subspecies Bradyrhizobium japonicum subsp. saratovii subsp. nov.
by Aleksandr S. Sidorin, Gennady L. Burygin, Andrey V. Fedorov, Aleksandr D. Katyshev, Yaroslav M. Krasnov and Oksana V. Tkachenko
Microorganisms 2026, 14(3), 684; https://doi.org/10.3390/microorganisms14030684 - 18 Mar 2026
Viewed by 331
Abstract
The isolation of locally adapted rhizobial strains with high symbiotic activity represents an effective strategy for increasing soybean yield under extreme environmental conditions. In this study, seven novel strains were isolated from nodules of soybeans grown in a greenhouse using field soil from [...] Read more.
The isolation of locally adapted rhizobial strains with high symbiotic activity represents an effective strategy for increasing soybean yield under extreme environmental conditions. In this study, seven novel strains were isolated from nodules of soybeans grown in a greenhouse using field soil from the Lower Volga region. Five genomes were assembled into complete circular chromosomes, whereas two strains yielded near-complete chromosomes containing single repeat-mediated junctions. All strains had putative plasmids that were independently validated as circular by long-read mapping and confirmed by the presence of characteristic replication and conjugation-associated genes. Genome sequences of strains were about 11 Mb, and GC contents were 63.1–63.3%. Comparative genome analyses demonstrated that all strains had average nucleotide identity values of 95.4% with Bradyrhizobium japonicum USDA 6T and 96.3% with Bradyrhizobium barranii 144S4T, forming a distinct cluster in phylogenetic trees. No significant differences were detected between B. japonicum and B. barranii that would explain the species boundary. Therefore, it is proposed to unite all novel strains into the subspecies Bradyrhizobium japonicum subsp. saratovii subsp. nov., and all other strains of B. japonicum and B. barranii we suggest dividing into four subspecies: Bradyrhizobium japonicum subsp. japonicum subsp. nov., Bradyrhizobium japonicum subsp. barranii comb. nov., Bradyrhizobium japonicum subsp. apii comb. nov., and Bradyrhizobium japonicum subsp. saratovii subsp. nov. The proposed taxonomic framework expands current knowledge of the biodiversity of soybean symbiotic bacteria and contributes to a better understanding of the distribution and the evolution of bacteria Bradyrhizobium spp. in previously unexplored regions. Full article
(This article belongs to the Special Issue Plant Growth-Promoting Bacteria)
Show Figures

Figure 1

21 pages, 2277 KB  
Article
Living Metaphysics: Process Thought, Buddhist Philosophy, and the Impact of Ontology
by Tina Röck
Philosophies 2026, 11(2), 38; https://doi.org/10.3390/philosophies11020038 - 13 Mar 2026
Viewed by 404
Abstract
In this contribution, I explore the idea that reality is best understood as fundamentally dynamic and interdependent, i.e., processual, bringing together resources from process thought, phenomenology and the Madhyamaka school of Buddhism. I furthermore explore how this view shapes the ways we speak [...] Read more.
In this contribution, I explore the idea that reality is best understood as fundamentally dynamic and interdependent, i.e., processual, bringing together resources from process thought, phenomenology and the Madhyamaka school of Buddhism. I furthermore explore how this view shapes the ways we speak about, investigate, and understand the natural world. What is novel in my approach is that I bring a phenomenological reading of process in dialogue with Buddhist thought. My paper unfolds in two stages: first, I map key points of convergence between phenomenologically clarified process philosophy and Madhyamaka; second, I consider the broader epistemological and practical consequences of viewing reality as impermanent and dependently arising by looking at Whitehead’s and Nāgārjuna’s views in dialogue. Engaging with Buddhist philosophy alongside phenomenological process thought enables a deeper investigation into the ethical, and lived dimensions of metaphysical inquiry, which are dimensions often sidelined both in Western metaphysics and in some versions of phenomenology, because metaphysical and phenomenological analysis can remain stuck on the conceptual level, detached from both lived experience and practice. By contrast, Buddhist traditions explicitly link philosophical reflection with lived experience and embodied practice throughout. For this reason, sustained dialogue with Buddhist views and practices can expand Western methodology as such and can enrich process-based phenomenological approaches in particular by showing ways to reconnect speculative metaphysics, observation, and the concrete in practical ways. Full article
19 pages, 4594 KB  
Article
Plastid Genome Characterization and Development of Plastid and Nuclear SNP Markers for Juncus decipiens (Juncaceae)
by Sivagami Jean Claude, Yu Gyeom Kim, Ji-Yoon Kim and Joo-Hwan Kim
Diversity 2026, 18(3), 174; https://doi.org/10.3390/d18030174 - 11 Mar 2026
Viewed by 216
Abstract
Juncus (Juncaceae) comprises over 300 species with high morphological plasticity, and its systematics remain incompletely resolved due to limited genomic resources. Here, we generated complete plastid genomes for two Korean Juncus species (J. decipiens and J. gracillimus) and incorporated [...] Read more.
Juncus (Juncaceae) comprises over 300 species with high morphological plasticity, and its systematics remain incompletely resolved due to limited genomic resources. Here, we generated complete plastid genomes for two Korean Juncus species (J. decipiens and J. gracillimus) and incorporated plastid coding genes from an additional species to reconstruct phylogenetic relationships and examine plastome evolution within Juncaceae. Comparative analyses revealed substantial plastome size variation across Juncus and Luzula, largely driven by changes in inverted repeat (IR) length, with Luzula plastomes showing pronounced IR expansion. Within Juncus, extensive structural rearrangements were detected, including multiple inversion events, and closely related taxa shared conserved inversion patterns. Phylogenomic analyses recovered well-supported clades that were associated with structural traits such as extreme small single-copy (SSC) contraction and consistent loss of the plastid ndh, some rps and rpl gene families, indicating clade-specific plastome evolution in Juncaceae. To support applied molecular identification, we identified J. decipiens-specific plastid diagnostic SNPs (matK, rpl2) and validated allele-specific PCR markers using individuals from different species within the Juncus genus. In parallel, transcriptome sequencing of J. decipiens generated 133,559 transcripts and 66,324 unigenes, enabling discovery of high-confidence nuclear exonic SNP loci by mapping reads to a J. effusus nuclear genome. Collectively, our results provide new insights into plastome structural evolution and gene loss in Juncus and deliver validated plastid and nuclear markers for authentication and future conservation or utilisation studies on J. decipiens. Full article
(This article belongs to the Section Plant Diversity)
Show Figures

Figure 1

22 pages, 4825 KB  
Article
Transcriptome Profiling of Powdery Mildew-Stressed ‘Yeniang No. 2’ Grapevine Reveals Differential Expression, Alternative Splicing, and the Identification of 1232 Annotated Novel Genes
by Huan Yu, Essam Elatafi, Wen Liu, Rui Zhang, Basma Elhendawy, Shuyu Xie, Xiongjun Cao, Xianjin Bai, Qiumi Huang, Chunfen Jiang, Lei Wang, Jinggui Fang and Jiayu Han
Metabolites 2026, 16(3), 182; https://doi.org/10.3390/metabo16030182 - 9 Mar 2026
Viewed by 409
Abstract
Background: The global transcriptome reprogramming in grapevines in response to powdery mildew remains poorly understood, despite its economic implications, especially the new cultivars. Methods: Thus, this study aimed to elucidate these changes through RNA sequencing in ‘Yeniang No. 2’ grapevine leaves [...] Read more.
Background: The global transcriptome reprogramming in grapevines in response to powdery mildew remains poorly understood, despite its economic implications, especially the new cultivars. Methods: Thus, this study aimed to elucidate these changes through RNA sequencing in ‘Yeniang No. 2’ grapevine leaves infected with powdery mildew compared to healthy ones. Results: A total of six samples were subjected to transcriptome sequencing, resulting in 36.85 Gb of clean data. A minimum of 5.89 Gb of clean data was generated for each sample, with at least 92.24% of the clean data attaining a quality score of Q30. Clean reads from each sample were aligned to the designated reference genome. The mapping ratio varied between 88.77% and 89.66%. The high-quality sequencing data revealed 1219 differentially expressed genes (DEGs), of which the infection upregulated 790 and downregulated 429. Functional enrichment analyses revealed a significant activation of key defense-related pathways. These included plant–pathogen interaction, phenylpropanoid and flavonoid biosynthesis for creating antimicrobial compounds, glutathione metabolism for reducing oxidative stress, and oxidative phosphorylation for enhanced energy production. This indicates a coordinated, multi-faceted defense strategy. The study also uncovered a complex layer of post-transcriptional regulation, identifying 1883 novel genes and 22,210 alternative splicing events, primarily skipped exons and intron retention. Key hub proteins identified within interaction networks, along with these splicing changes, underscore a sophisticated defense involving transcriptional reprogramming and metabolic shifts. Conclusions: The genes and molecular markers discovered are valuable resources for marker-assisted breeding. Leveraging these findings, particularly hub genes and favorable splice variants, can accelerate the development of new grapevine cultivars with durable resistance to powdery mildew. Full article
(This article belongs to the Special Issue Metabolomics and Plant Defence, 2nd Edition)
Show Figures

Figure 1

Back to TopTop