Transcriptomic Analysis Provides Insights into Flowering in Precocious-Fruiting Amomum villosum Lour.
Abstract
1. Introduction
2. Results
2.1. RNA-Seq Data Analysis
2.2. DEG Analysis
2.3. Gene Ontology (GO) Functional Annotation and Enrichment Analysis of DEGs
2.4. Kyoto Encyclopedia of Genes and Genomes (KEGG) Functional Annotation and Enrichment Analysis of DEGs
2.5. Analysis of Alternative Splicing (AS) Events
2.6. Analysis of Key Genes
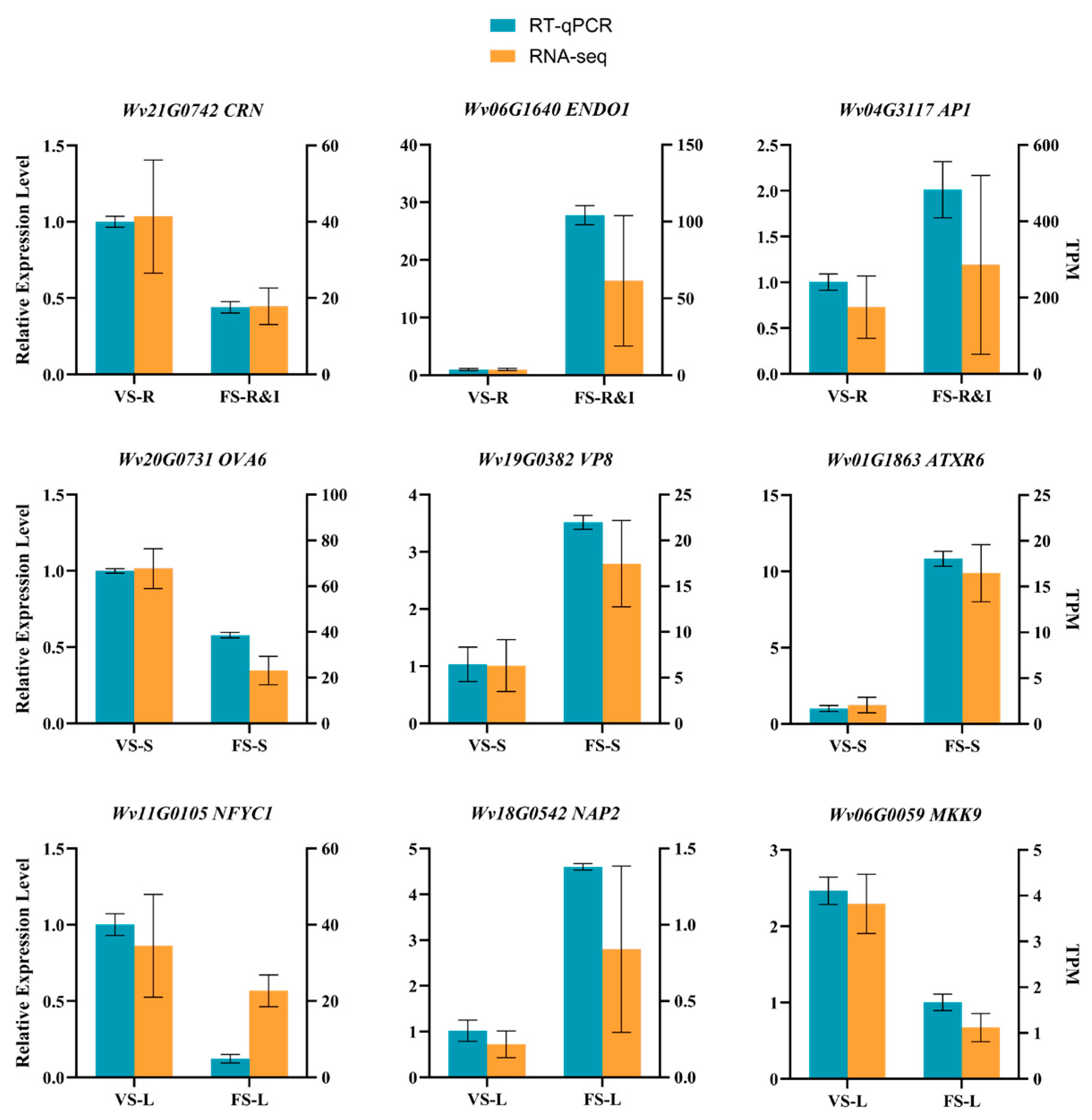
2.7. RT-qPCR Analysis of DEGs
3. Discussion
4. Materials and Methods
4.1. Experimental Materials
4.2. Experimental Design
4.2.1. RNA Extraction and Sequencing
4.2.2. Quality Control, Read Mapping, and Transcript Assembly
4.2.3. Gene Expression Quantification and Differential Expression Analysis
4.2.4. Functional Annotation and Enrichment Analysis
4.2.5. AS Analysis
4.2.6. Validation of DEGs Using RT-qPCR
5. Conclusions
Supplementary Materials
Author Contributions
Funding
Data Availability Statement
Acknowledgments
Conflicts of Interest
Abbreviations
| A. villosum | Amomum villosum Lour. |
| R | Rhizomes |
| R&I | Rhizomes and Inflorescences |
| S | Stems |
| L | Leaves |
| VS | Vegetative Stage |
| FS | Flowering Stage |
| DEGs | Differentially Expressed Genes |
| AS | Alternative Splicing |
| GO | Gene Ontology |
| KEGG | Kyoto Encyclopedia of Genes and Genomes |
| BP | Biological Process |
| MF | Molecular Function |
| CC | Cellular Component |
| SE | Skipped Exon |
| RI | Retained Intron |
| A3SS | Alternative 3′ Splice Site |
| A5SS | Alternative 5′ Splice Site |
| MXE | Mutually Exclusive Exons |
| RNA-seq | Transcriptome sequencing |
| DSG | Differentially Spliced Gene |
| CO | CONSTANS |
| FT | FLOWERING LOCUS T |
| SOC1 | SUPPRESSOR OF OVEREXPRESSION OF CONSTANS 1 |
| AP1/2 | APETALA 1/2 |
| LFY | LEAFY |
| PPI | Protein–Protein Interaction |
| FUL | FRUITFULL |
| AG | AGAMOUS |
| AGL11 | AGAMOUS-LIKE 11 |
| ERF | Ethylene Response Factor |
| FLM | FLOWERING LOCUS M |
| FLC | FLOWERING LOCUS C |
| FPF1 | FLOWERING PROMOTING FACTOR 1 |
| FTIP7 | FT-INTERACTING PROTEIN 7 |
| MAF1 | MADS AFFECTING FLOWERING 1 |
| SEP3 | SEPALLATA3 |
| SVP | SHORT VEGETATIVE PHASE |
| TPM | Transcripts Per Million |
References
- Chinese Pharmacopoeia Commission. Pharmacopoeia of the People’s Republic of China; China Medical Science Press: Beijing, China, 2020; p. 264. [Google Scholar]
- Lin, M.; Tian, H. Review of sexual reproduction characteristics of Amomum villosum. Subtrop. Plant Sci. 2015, 44, 83–86. [Google Scholar]
- Peng, J.; Li, R.; Li, G.; Wang, Y. Study on the flowering dynamics, pollen viability and stigma receptivity of Amomum villosum. J. Yunnan Univ. Tradit. Chin. Med. 2011, 34, 11–14. [Google Scholar]
- Su, Y.; Yi, Y.; Ge, S.; Wang, Z.; Wei, Z.; Liu, X.; Zhang, C.; Wang, H.; Qian, Y.; Yu, B.; et al. Circular RNAs derived from MIR156D promote rice heading by repressing transcription elongation of pri-miR156d through R-loop formation. Nat. Plants 2025, 11, 709–716. [Google Scholar] [CrossRef]
- Li, C.; Liu, X.J.; Yan, Y.; Alam, M.S.; Liu, Z.; Yang, Z.K.; Tao, R.; Yue, E.; Duan, M.; Xu, J.H. OsLHY is involved in regulating flowering through the Hd1- and Ehd1-mediated pathways in rice (Oryza sativa L.). Plant Sci. 2022, 315, 111145. [Google Scholar] [CrossRef]
- Zhang, K.; Chen, C.; Li, X.; Yu, J.; Xu, R.; Li, X.; Wang, P.; Miao, J.; Tan, W.; Gong, Z.; et al. OsbZIP40 and OsbZIP12 interact with OsMFT1 to repress Ehd1 expression and delay flowering in rice. Crop J. 2025, 13, 705–715. [Google Scholar] [CrossRef]
- Yang, J.; Xu, G.; Zhang, M.; Xue, W.; Wu, J.; Li, Y.; Song, G.; Liu, Y.; Chen, Y.; Kong, D.; et al. Dual role of Glossy15 in regulating flowering by modulating gibberellins and floral organ gene expression in maize. New Phytol. 2025, 248, 2143–2159. [Google Scholar] [CrossRef]
- Zicola, J.; Weber, B.; Tu, X.; Bader, R.; Zisis, D.; Aesaert, S.; Salvi, S.; Krajewski, P.; Van Lijsebettens, M.; Li, C.; et al. Vegetative to generative1 (Vgt1) is an enhancer affecting flowering time and jasmonate signaling in maize by promoting the expression of Zea mays Related to APETALA 2.7. Plant Physiol. 2025, 199, kiaf468. [Google Scholar] [CrossRef] [PubMed]
- Zeng, S.; Qin, Z. The FKF1–ELF3–PRC2 module regulates flowering time in response to light in temperate grasses. Proc. Natl. Acad. Sci. USA 2025, 122, e2508103122. [Google Scholar] [CrossRef]
- Martínez-García, J.F.; Huq, E.; Quail, P.H. Direct targeting of light signals to a promoter element-bound transcription factor. Science 2000, 288, 859–863. [Google Scholar] [CrossRef] [PubMed]
- Hicks, K.A.; Millar, A.J.; Carré, I.A.; Somers, D.E.; Straume, M.; Meeks-Wagner, D.R.; Kay, S.A. Conditional circadian dysfunction of the Arabidopsis early-flowering 3 mutant. Science 1996, 274, 790–792. [Google Scholar] [CrossRef] [PubMed]
- Hall, A.; Bastow, R.M.; Davis, S.J.; Hanano, S.; McWatters, H.G.; Hibberd, V.; Doyle, M.R.; Sung, S.; Halliday, K.J.; Amasino, R.M.; et al. The TIME FOR COFFEE gene maintains the amplitude and timing of Arabidopsis circadian clocks. Plant Cell 2003, 15, 2719–2729. [Google Scholar] [CrossRef]
- Imaizumi, T.; Kay, S.A. Photoperiodic control of flowering: Not only by coincidence. Trends Plant Sci. 2006, 11, 550–558. [Google Scholar] [CrossRef]
- Shim, J.S.; Kubota, A.; Imaizumi, T. Circadian clock and photoperiodic flowering in Arabidopsis: CONSTANS is a hub for signal integration. Plant Physiol. 2017, 173, 5–15. [Google Scholar] [CrossRef] [PubMed]
- Corbesier, L.; Vincent, C.; Jang, S.; Fornara, F.; Fan, Q.; Searle, I.; Giakountis, A.; Farrona, S.; Gissot, L.; Turnbull, C.; et al. FT protein movement contributes to long-distance signaling in floral induction of Arabidopsis. Science 2007, 316, 1030–1033. [Google Scholar] [CrossRef] [PubMed]
- Sun, R.; Ding, Y.; Mimura, M.; Nishide, N.; Izawa, T. Temporal transcriptome analysis reveals the two-phase action of florigens in rice flowering. Theor. Appl. Genet. 2025, 138, 100. [Google Scholar] [CrossRef]
- Ding, W.; Gou, Y.; Li, Y.; Li, J.; Fang, Y.; Liu, X.; Zhu, X.; Ye, R.; Heng, Y.; Wang, H.; et al. A jasmonate-mediated regulatory network modulates diurnal floret opening time in rice. New Phytol. 2024, 244, 176–191. [Google Scholar] [CrossRef] [PubMed]
- Gou, Y.; Heng, Y.; Ding, W.; Xu, C.; Tan, Q.; Li, Y.; Fang, Y.; Li, X.; Zhou, D.; Zhu, X.; et al. Natural variation in OsMYB8 confers diurnal floret opening time divergence between indica and japonica subspecies. Nat. Commun. 2024, 15, 2262. [Google Scholar] [CrossRef]
- Cai, X.; Zeng, X.; Wang, X.; Pan, D.; Zhang, J.; Li, Z.; Yang, J.; Zhang, Y.; Zeng, J.; Zhang, Q.; et al. Hormone metabolic profiling and transcriptome analysis reveal phytohormone crosstalk and the role of OfERF017 in the flowering and senescence of sweet osmanthus. Hortic. Plant J. 2025, in press. [Google Scholar] [CrossRef]
- Zhang, Y.; Yang, J.; Zeng, X.; Cai, X.; Li, Z.; Zeng, J.; Zhang, Q.; Chen, H.; Zou, J. Exploring miRNA–target modules regulating flower opening and senescence in Osmanthus fragrans through integrated transcriptome, miRNAome, and degradome analysis. Ind. Crops Prod. 2025, 229, 120927. [Google Scholar] [CrossRef]
- Wang, J.; Zhou, Y.; Zhang, M.; Li, X.; Liu, T.; Liu, Y.; Xie, H.; Wang, K.; Li, P.; Xu, Z.; et al. Resolving floral development dynamics using genome and single-cell temporal transcriptome of Dendrobium devonianum. Plant Biotechnol. J. 2025, 23, 2997–3011. [Google Scholar] [CrossRef]
- Chen, X.; Sun, S.; Han, X.; Li, C.; Wang, F.; Nie, B.; Hou, Z.; Yang, S.; Ji, J.; Li, G.; et al. Multiomics comparison among populations of three plant sources of Amomi Fructus. Hortic. Res. 2023, 10, uhad128. [Google Scholar] [CrossRef]
- Guo, Y.; Li, Y.; Zhang, P.; Luo, Z.; Yin, J.; Ma, X.; Yuan, C. Biosynthesis of camphane volatile terpenes in Amomum villosum Lour.: Involved genes and enzymes. Plants 2025, 14, 1767. [Google Scholar] [CrossRef]
- Zhu, Y.; Li, S.; Zhao, H.; Li, Q.; Wang, Y.; Yang, C.; Li, G.; Wang, Y.; Zhang, L. Transcriptome sequencing-based analysis of premature fruiting in Amomum villosum Lour. Biology 2025, 14, 883. [Google Scholar] [CrossRef]
- Wang, D.; Zhu, Y.; Li, S.; Zhao, H.; Wang, C.; Li, Q.; Wang, Y.; Yang, C.; Li, G.; Wang, Y.; et al. Cloning, expression, and bioinformatics analysis of the AvFD1 gene in Amomum villosum Lour. Biology 2025, 14, 457. [Google Scholar] [CrossRef] [PubMed]
- Wang, D.; Wang, C.; Li, S.; Zhu, Y.; Li, Q.; Zhang, W.; Zhao, H.; Wang, Y.; Zhang, L. Cloning and expression analysis of the Ghd7 gene regulated by anaphase in Amomum villosum Lour. Trop. Agric. Sci. Technol. 2025, 48, 60–65. [Google Scholar]
- Smaczniak, C.; Immink, R.G.; Angenent, G.C.; Kaufmann, K. Developmental and evolutionary diversity of plant MADS-domain factors: Insights from recent studies. Development 2012, 139, 3081–3098. [Google Scholar] [CrossRef]
- Stewart, D.; Graciet, E.; Wellmer, F. Molecular and regulatory mechanisms controlling floral organ development. FEBS J. 2016, 283, 1823–1830. [Google Scholar] [CrossRef]
- Liu, L.; Liu, C.; Hou, X.; Xi, W.; Shen, L.; Tao, Z.; Wang, Y.; Yu, H. FTIP1 is an essential regulator required for florigen transport. PLoS Biol. 2017, 15, e1001313. [Google Scholar] [CrossRef] [PubMed]
- Zhu, Y.; Liu, L.; Shen, L.; Yu, H. NaKR1 regulates long-distance movement of FLOWERING LOCUS T in Arabidopsis. Nat. Plants 2016, 2, 16075. [Google Scholar] [CrossRef]
- Takagi, H.; Lee, N.; Hempton, A.K.; Purushwani, S.; Notaguchi, M.; Yamauchi, K.; Shirai, K.; Kawakatsu, Y.; Uehara, S.; Albers, W.G.; et al. Florigen-producing cells express FPF1-LIKE PROTEIN 1 to accelerate flowering and stem growth in Arabidopsis. Dev. Cell 2025, 60, 1822–1837.e8. [Google Scholar] [CrossRef]
- Fang, K.; Liu, Y.; Wang, Z.; Zhang, X.; Zou, X.; Liu, F.; Wang, Z. Genome-wide analysis of the CaYABBY family in pepper and functional identification of CaYABBY5 in the regulation of floral determinacy and fruit morphogenesis. Hortic. Res. 2023, 10, uhac278. [Google Scholar] [CrossRef]
- Lin, T.; Yuan, C.; Dong, C.; Zeng, M.G.; Yang, Y.; Mao, Z.C.; Lin, C. Screening and functional analysis of gene CqSTK associated with gametophyte development of Quinoa. Biotechnol. Bull. 2024, 40, 83–94. [Google Scholar]
- Tang, N.; Wu, P.; Cao, Z.Y.; Liu, Y.N.; Zhang, X.; Lou, J.; Liu, X.; Hu, Y.; Sun, X.F.; Wang, Q.Y.; et al. A NAC transcription factor ZaNAC93 confers floral initiation, fruit development, and prickle formation in Zanthoxylum armatum. Plant Physiol. Biochem. 2023, 201, 107813. [Google Scholar] [CrossRef]
- He, Z.Y.; Wu, X.Y.; Zhou, W.; Lei, D.; Yang, J.; Zou, J. Cloning and expression analysis of the MADS-box family gene HaAGL11 in sunflower. J. Plant Physiol. 2021, 267, 153547. [Google Scholar]
- Wen, K.X.; Liu, X.M. The important role of AP2 functional genes in plant floral development. Biotechnol. Bull. 2010, 26, 1–7. [Google Scholar]
- Lu, H.; Deng, Q.; Wu, M.; Wang, Z.; Wei, D.; Wang, H.; Xiang, H.; Zhang, H.; Tang, Q. Mechanisms of alternative splicing in regulating plant flowering: A review. Chin. J. Biotechnol. 2021, 37, 2991–3004. [Google Scholar]
- Posé, D.; Verhage, L.; Ott, F.; Yant, L.; Mathieu, J.; Angenent, G.C.; Immink, R.G.H.; Schmid, M. Temperature-dependent regulation of flowering by antagonistic FLM variants. Nature 2013, 503, 414–417. [Google Scholar] [CrossRef]
- Kinmonth-Schultz, H.A.; Tong, X.; Lee, J.; Song, Y.H.; Ito, S.; Kim, S.-H.; Imaizumi, T. Cool night-time temperatures induce the expression of CONSTANS and FLOWERING LOCUS T to regulate flowering in Arabidopsis thaliana. New Phytol. 2016, 211, 208–224. [Google Scholar] [CrossRef]
- Martina, B.; Nadine, D.; Christian, J. Flowering time regulation in crops—What did we learn from Arabidopsis? Curr. Opin. Biotechnol. 2015, 32, 121–129. [Google Scholar]








| Sample | RawData (bp) | Clean Data (%) | Total Reads | Total Mapped Reads (%) | Unique Mapped Reads (%) | Multiple Mapped Reads (%) | Q30 (%) | GC (%) |
|---|---|---|---|---|---|---|---|---|
| VS-R-1 | 5,932,565,700 | 99.44 | 39,230,710 | 95.88 | 92.46 | 3.42 | 96.39 | 46.65 |
| VS-R-2 | 6,232,267,200 | 99.43 | 41,146,432 | 95.39 | 91.79 | 3.60 | 95.65 | 46.65 |
| VS-R-3 | 5,890,706,100 | 99.55 | 38,933,528 | 95.52 | 91.94 | 3.57 | 96.00 | 46.62 |
| VS-S-1 | 5,703,252,900 | 99.75 | 37,774,236 | 96.12 | 92.56 | 3.56 | 97.73 | 46.48 |
| VS-S-2 | 5,826,044,100 | 99.76 | 38,516,396 | 96.01 | 92.21 | 3.80 | 97.65 | 46.93 |
| VS-S-3 | 5,770,274,400 | 99.52 | 38,185,776 | 96.06 | 92.57 | 3.49 | 97.59 | 46.76 |
| VS-L-1 | 8,078,006,700 | 99.66 | 53,087,034 | 96.08 | 92.36 | 3.72 | 97.63 | 48.74 |
| VS-L-2 | 6,720,999,000 | 99.57 | 44,158,670 | 96.15 | 92.22 | 3.93 | 97.48 | 48.81 |
| VS-L-3 | 5,737,040,700 | 99.55 | 37,698,100 | 96.08 | 92.11 | 3.97 | 97.45 | 48.61 |
| FS-R&I-1 | 6,349,645,800 | 99.66 | 42,101,572 | 95.56 | 92.22 | 3.34 | 96.27 | 46.88 |
| FS-R&I-2 | 6,559,195,800 | 99.58 | 43,448,684 | 94.85 | 91.46 | 3.38 | 96.88 | 46.56 |
| FS-R&I-3 | 7,291,182,900 | 99.71 | 48,378,628 | 95.75 | 92.40 | 3.35 | 96.82 | 46.67 |
| FS-S-1 | 7,613,872,800 | 99.60 | 50,441,106 | 96.26 | 93.03 | 3.23 | 97.35 | 46.36 |
| FS-S-2 | 6,998,250,600 | 99.71 | 46,475,966 | 96.23 | 93.00 | 3.22 | 97.29 | 46.68 |
| FS-S-3 | 5,546,480,100 | 99.65 | 36,775,402 | 96.03 | 92.86 | 3.16 | 97.57 | 46.12 |
| FS-L-1 | 7,438,798,200 | 99.66 | 42,101,572 | 95.56 | 92.22 | 3.34 | 96.27 | 46.88 |
| FS-L-2 | 7,969,726,800 | 99.58 | 43,448,684 | 94.85 | 91.46 | 3.38 | 96.88 | 46.56 |
| FS-L-3 | 7,792,803,600 | 99.71 | 48,378,628 | 95.75 | 92.40 | 3.35 | 96.82 | 46.67 |
| Gene Name | Forward Primer Sequences (5′-3′) | Reverse Primer Sequences (5′-3′) |
|---|---|---|
| Wv11G0105 | GCTCCGTGTAGCTCAGCAGAT | GTAGCACCTCAGCACCACCTTC |
| Wv19G0382 | TGTCATTCTCGGCAACCACAGA | CATAACGGCGTGCGACATCAAG |
| Wv01G1863 | GCAACATCGCCCGCTTCATCA | GCCGCTCGCCCTTCGTTATATC |
| Wv20G0731 | TCTCATGTCCTCCCTCCCTCAC | GCGGACTGCGATACCTCTTCTT |
| Wv18G0542 | CCAGACCAAGCAACACCTATCG | CTGGTTCCTGGTGGCTCTGTT |
| Wv06G1640 | CCAGACGAAGCCTGCACCTT | GCTGCGAAGTGAAGTTGCTGAT |
| Wv21G0742 | GATGATCCTCGGCGTGCTTCTC | GCAGATGCCTGATCCACCTTCC |
| Wv06G0059 | CTGATGGTGGCGATCTGCTTGG | ACCGCTTCCCGCTTTCCTTGT |
| Wv04G3117 | TGCTACCAAGGAACGGGAGGAG | GAGCATCCACGGAGGCAACAAG |
| Actin | CGCATTGACGACCTCCAGTG | TCTTCACCGCATGTGACAATCC |
Disclaimer/Publisher’s Note: The statements, opinions and data contained in all publications are solely those of the individual author(s) and contributor(s) and not of MDPI and/or the editor(s). MDPI and/or the editor(s) disclaim responsibility for any injury to people or property resulting from any ideas, methods, instructions or products referred to in the content. |
© 2026 by the authors. Licensee MDPI, Basel, Switzerland. This article is an open access article distributed under the terms and conditions of the Creative Commons Attribution (CC BY) license.
Share and Cite
Zhu, Y.; Li, S.; Zhao, H.; Li, Q.; Wang, Y.; Yang, C.; Li, G.; Zhang, W.; Guan, Z.; Xiao, L.; et al. Transcriptomic Analysis Provides Insights into Flowering in Precocious-Fruiting Amomum villosum Lour. Plants 2026, 15, 198. https://doi.org/10.3390/plants15020198
Zhu Y, Li S, Zhao H, Li Q, Wang Y, Yang C, Li G, Zhang W, Guan Z, Xiao L, et al. Transcriptomic Analysis Provides Insights into Flowering in Precocious-Fruiting Amomum villosum Lour. Plants. 2026; 15(2):198. https://doi.org/10.3390/plants15020198
Chicago/Turabian StyleZhu, Yating, Shuang Li, Hongyou Zhao, Qianxia Li, Yanfang Wang, Chunyong Yang, Ge Li, Wenlin Zhang, Zhibin Guan, Lin Xiao, and et al. 2026. "Transcriptomic Analysis Provides Insights into Flowering in Precocious-Fruiting Amomum villosum Lour." Plants 15, no. 2: 198. https://doi.org/10.3390/plants15020198
APA StyleZhu, Y., Li, S., Zhao, H., Li, Q., Wang, Y., Yang, C., Li, G., Zhang, W., Guan, Z., Xiao, L., Wang, Y., & Zhang, L. (2026). Transcriptomic Analysis Provides Insights into Flowering in Precocious-Fruiting Amomum villosum Lour. Plants, 15(2), 198. https://doi.org/10.3390/plants15020198
