Sign in to use this feature.

Years

Between: -

Subjects

remove_circle_outline
remove_circle_outline
remove_circle_outline
remove_circle_outline
remove_circle_outline
remove_circle_outline
remove_circle_outline
remove_circle_outline
remove_circle_outline

Journals

remove_circle_outline
remove_circle_outline
remove_circle_outline
remove_circle_outline
remove_circle_outline
remove_circle_outline
remove_circle_outline
remove_circle_outline
remove_circle_outline
remove_circle_outline
remove_circle_outline
remove_circle_outline

Article Types

Countries / Regions

remove_circle_outline
remove_circle_outline
remove_circle_outline
remove_circle_outline
remove_circle_outline

Search Results (1,657)

Search Parameters:
Keywords = reactor technologies

Order results
Result details
Results per page
Select all
Export citation of selected articles as:
22 pages, 2901 KB  
Article
Investigation of the Effect of Plasma Discharge on Harmful Microorganisms in Water
by Askar Abdykadyrov
Water 2026, 18(6), 747; https://doi.org/10.3390/w18060747 - 23 Mar 2026
Abstract
Microbiological contamination of drinking water remains a significant public health concern worldwide, necessitating the development of efficient and environmentally friendly disinfection technologies. This study investigated the effectiveness and physicochemical mechanisms of water treatment using high-frequency electrical discharge plasma. Experimental research was conducted employing [...] Read more.
Microbiological contamination of drinking water remains a significant public health concern worldwide, necessitating the development of efficient and environmentally friendly disinfection technologies. This study investigated the effectiveness and physicochemical mechanisms of water treatment using high-frequency electrical discharge plasma. Experimental research was conducted employing a laboratory dielectric barrier discharge reactor operating at 10–30 kHz and 10–25 kV, with treatment durations ranging from 5 to 20 min. Plasma exposure resulted in pronounced physicochemical changes in the aqueous medium, including a decrease in pH from 7.1–7.3 to 5.4–6.0 and an increase in electrical conductivity from 280–340 µS/cm to 480–620 µS/cm. The formation of reactive oxygen species, including hydroxyl radicals, ozone, and hydrogen peroxide, was confirmed, with hydrogen peroxide concentrations varying between 0.35 and 1.20 mg/L. Microbiological analysis demonstrated a reduction in microbial concentration from approximately 105–106 CFU/mL to 102–103 CFU/mL, corresponding to 3–4 log inactivation. The results indicated that microbial reduction was strongly associated with the generation of reactive species and treatment duration. Energy density within the range of 0.3–1.2 kWh/m3 was found to support effective disinfection performance. The findings demonstrated that high-frequency plasma treatment established a strong oxidative environment leading to microbial membrane disruption and cellular damage. Overall, the study confirmed the potential of high-frequency electrical discharge plasma technology as a promising approach for drinking water disinfection and provided a basis for further optimization and scale-up investigations. Full article
(This article belongs to the Section Water and One Health)
Show Figures

Figure 1

25 pages, 687 KB  
Review
The Continuous Oscillatory Baffled Reactor: A Review of Progress, Challenges, and Future Prospects (2014–2025)
by Jonildo dos Santos Silva, Príamo Albuquerque Melo and José Carlos Costa da Silva Pinto
Processes 2026, 14(6), 1005; https://doi.org/10.3390/pr14061005 - 21 Mar 2026
Viewed by 62
Abstract
This work presents a comprehensive literature review on Continuous Oscillatory Baffled Reactors (COBRs), surveying advancements from 2014 to 2025. Although widespread industrial adoption of COBRs remains a future goal, the analysis reveals the significant maturation of COBR technology, marked by a growing exploration [...] Read more.
This work presents a comprehensive literature review on Continuous Oscillatory Baffled Reactors (COBRs), surveying advancements from 2014 to 2025. Although widespread industrial adoption of COBRs remains a future goal, the analysis reveals the significant maturation of COBR technology, marked by a growing exploration of novel applications—particularly in enabling the transition from batch to continuous manufacturing. The review synthesizes both theoretical and experimental studies, categorizing them into key thematic areas to provide a clear and accessible overview of the field. The study concludes by identifying critical research gaps and offering a perspective on future directions, thereby aiming to guide and inspire subsequent research endeavors in overcoming the barriers to commercialization. Full article
(This article belongs to the Section Manufacturing Processes and Systems)
Show Figures

Figure 1

17 pages, 2161 KB  
Article
Integrated Enzymatic Membrane Reactor (EMR) for Continuous Production of Antidiabetic, Antihypertensive, and Antioxidant Peptides from Jack Bean
by Rose Uli Ruth Cecilia, Azis Boing Sitanggang, Slamet Budijanto and Endang Prangdimurti
Foods 2026, 15(6), 1083; https://doi.org/10.3390/foods15061083 - 19 Mar 2026
Viewed by 43
Abstract
The growing demand for functional foods reflects greater consumer awareness of diet–health links, with bioactive peptides receiving increasing attention for their health-promoting effects. In this study, bioactive peptides exhibiting antioxidant, dipeptidyl peptidase-IV (DPP-IV) inhibitory, and angiotensin-converting enzyme (ACE) inhibitory activities were produced from [...] Read more.
The growing demand for functional foods reflects greater consumer awareness of diet–health links, with bioactive peptides receiving increasing attention for their health-promoting effects. In this study, bioactive peptides exhibiting antioxidant, dipeptidyl peptidase-IV (DPP-IV) inhibitory, and angiotensin-converting enzyme (ACE) inhibitory activities were produced from a jack bean (Canavalia ensiformis) protein isolate using a continuous proteolysis system with two enzymes. This study encompassed two major phases: isolating protein from jack beans and implementing a continuous enzymatic hydrolysis process. Key variables examined included the enzyme-to-substrate ratio ([E]/[S]), pH level, and residence time (τ). Optimal performance was achieved at [E]/[S] = 5%, pH = 7.5, and τ = 12 h, yielding a permeate with peptide content of 0.6143 mg SE/mL, along with notable antioxidant capacity and ACE inhibition of 0.0454 mg TEAC/mL and 92.18%, respectively. These results confirm that the jack bean protein isolate is a viable substrate for generating multifunctional bioactive peptides. This study provides a foundation for scalable and sustainable production of functional food ingredients from underutilized legumes using continuous bioprocessing technology. Industrial relevance: Integrating a stirred tank reactor with membrane separation provides a promising approach for continuous bioactive peptide production using a free-enzyme system, helping to streamline processing, reduces the demand for enzyme immobilization, and minimizes batch-to-batch variability. This study shows that continuous hydrolysis of jack bean protein isolate in EMR can enhance antioxidant activity and ACE inhibition of the hydrolysates. This approach offers a safer and more efficient route to support the commercialization of jack bean-based functional products. Full article
(This article belongs to the Section Food Engineering and Technology)
Show Figures

Figure 1

22 pages, 840 KB  
Review
Methanotrophic Technologies for Low-Concentration Methane: Reactor Designs and Performance
by Ajani A. Moss, Isaiah Thompson, John Tharakan and Cristiano E. Rodrigues Reis
Processes 2026, 14(6), 969; https://doi.org/10.3390/pr14060969 - 18 Mar 2026
Viewed by 105
Abstract
Low-concentration methane emissions from landfills, manure management, wastewater treatment, and ventilation streams are difficult to mitigate using conventional capture and oxidation because of high air-to-fuel ratios, variable flows, and unfavorable economics. Methanotrophic bioreactors provide an aerobic biological route to oxidize methane at ambient [...] Read more.
Low-concentration methane emissions from landfills, manure management, wastewater treatment, and ventilation streams are difficult to mitigate using conventional capture and oxidation because of high air-to-fuel ratios, variable flows, and unfavorable economics. Methanotrophic bioreactors provide an aerobic biological route to oxidize methane at ambient conditions and, in selected cases, enable valorization into biomass and bioproducts. This review synthesizes methanotrophic reactor technologies for dilute methane, emphasizing the design and operational constraints that control performance. We classify systems into (i) fixed-film gas–solid configurations (biofilters, biocovers, biotrickling filters, and bioscrubbers), (ii) suspended-growth gas–liquid reactors (stirred tanks, bubble columns, and loop/airlift designs), (iii) membrane-based and intensified contactors that decouple methane and oxygen delivery and enhance mass transfer, and (iv) hybrid and in situ approaches for diffuse sources. This review presents key metrics and discusses how mass transfer, moisture and temperature control, nutrient supply, and microbial ecology interact to define achievable removal. We further summarize recent techno-economic and life-cycle studies to identify dominant cost drivers, particularly air handling and gas–liquid transfer, and the concentration regimes where biological oxidation is competitive with catalytic or thermal alternatives. Full article
Show Figures

Figure 1

21 pages, 4997 KB  
Article
Scale-Up of General Atomics’ Nuclear Grade Silicon Carbide Composite and Related Technologies
by George M. Jacobsen, Sean Gonderman, Rolf Haefelfinger, Lucas Borowski, Ivan Ivanov, William McMahon, Jiping Zhang, Osman Trieu, Christian P. Deck, Hesham Khalifa, Tyler Abrams, Zachary Bergstrom and Christina A. Back
J. Nucl. Eng. 2026, 7(1), 22; https://doi.org/10.3390/jne7010022 - 17 Mar 2026
Viewed by 105
Abstract
Silicon carbide (SiC) and SiC fiber-reinforced SiC matrix composites (SiC/SiC) are receiving renewed attention for use in next-generation fusion reactors due to their ability to withstand extreme conditions, including high temperatures, neutron irradiation, and plasma interactions. General Atomics Electromagnetic Systems (GA-EMS) has demonstrated [...] Read more.
Silicon carbide (SiC) and SiC fiber-reinforced SiC matrix composites (SiC/SiC) are receiving renewed attention for use in next-generation fusion reactors due to their ability to withstand extreme conditions, including high temperatures, neutron irradiation, and plasma interactions. General Atomics Electromagnetic Systems (GA-EMS) has demonstrated significant progress in scaling up the fabrication of SiC/SiC, achieving high mechanical uniformity and meeting dimensional requirements in components up to 12 feet in length. Key developments are discussed including scale-up of the chemical vapor infiltration (CVI) process from lab-scale to full sized parts, high-dose (100 dpa) irradiation testing, nuclear-grade ceramic joining technologies, and production-focused quality control with the collective aim to establish SiC/SiC as a reliable solution for structural and functional components in fusion systems. Beyond manufacturing, the paper addresses supply chain barriers, particularly the limited availability and high cost of nuclear-grade SiC fiber. GA-EMS is developing a novel SiC fiber production method based on a thermochemical cure step that is anticipated to reduce costs compared to traditional approaches. Additionally, advancements in engineered SiC materials, such as SiC foams and tungsten-graded SiC composites, are discussed as promising solutions for specific fusion reactor components. Full article
(This article belongs to the Special Issue Fusion Materials with a Focus on Industrial Scale-Up)
Show Figures

Figure 1

13 pages, 492 KB  
Proceeding Paper
Modeling and Control of Nonlinear Fermentation Dynamics in Brewing Industry
by Mirjalol Yusupov, Jaloliddin Eshbobaev, Zafar Turakulov, Komil Usmanov, Dilafruz Kadirova and Azizbek Yusupbekov
Eng. Proc. 2025, 117(1), 67; https://doi.org/10.3390/engproc2025117067 - 17 Mar 2026
Viewed by 126
Abstract
This paper presents a mathematical modeling and advanced control strategy for the beer fermentation process, which is characterized by nonlinear biochemical kinetics and time-dependent dynamics. A biokinetic model was developed to describe the relationship between yeast growth, sugar consumption, and ethanol formation. The [...] Read more.
This paper presents a mathematical modeling and advanced control strategy for the beer fermentation process, which is characterized by nonlinear biochemical kinetics and time-dependent dynamics. A biokinetic model was developed to describe the relationship between yeast growth, sugar consumption, and ethanol formation. The system was represented as a cascade of several continuous stirred-tank reactors (CSTRs), and experimental data confirmed a fermentation cycle of approximately 10 days. During this period, biomass concentration reached 6.8 g/L and ethanol levels exceeded 42 mmol/L. Substrate concentration (S) declined from 120 to 5 g/L, demonstrating effective conversion. The model was linearized around an operating point and reformulated into a 12-state-space system with input variables: temperature (set at 20–22 °C) and pH (maintained within 4.2–4.5). These inputs were controlled using fuzzy logic control (FLC) and model predictive control (MPC). Simulation results indicated that the FLC reduced temperature deviation to ±0.3 °C and minimized pH fluctuation below ±0.05. The MPC strategy improved substrate consumption efficiency by 8.5% and decreased fermentation time by 12 h under optimized input profiles. The combined FLC–MPC scheme demonstrated superior robustness, smooth trajectory tracking, and adaptability to biological variability compared to traditional methods. The developed framework supports intelligent brewery automation and provides a scalable foundation for further integration of digital fermentation technologies. Full article
(This article belongs to the Proceedings of The 4th International Electronic Conference on Processes)
Show Figures

Figure 1

21 pages, 3726 KB  
Article
Enhancing Biogas Production and Methane Yields Through Microbial Electrolysis Cell-Assisted Anaerobic Digestion in a Fed Batch Reactor
by Rudolphus Antonius Timmers, Enrique Pérez Zapatero, Fernán Berride García, Miriam Barrazón Peña, Miguel Ángel Sánchez-Gatón and Dolores Hidalgo
Fermentation 2026, 12(3), 152; https://doi.org/10.3390/fermentation12030152 - 14 Mar 2026
Viewed by 220
Abstract
To address the limitations of conventional anaerobic digestion (AD), this study explored the integration of microbial electrolysis cells (MECs) with AD to improve biogas production and process stability. While AD is a proven technology for renewable energy recovery from waste, it can suffer [...] Read more.
To address the limitations of conventional anaerobic digestion (AD), this study explored the integration of microbial electrolysis cells (MECs) with AD to improve biogas production and process stability. While AD is a proven technology for renewable energy recovery from waste, it can suffer from volatile fatty acid accumulation and reduced efficiency. The hybrid MEC–AD system leverages electro-methanogenesis to enhance methane yields and overall system performance. This research evaluated the effects of different electrode materials (graphite plate vs. graphite felt) and applied voltages (0.5 V and 0.7 V) on biogas output, methane content, and operational stability. Results showed that MEC–AD systems significantly outperformed conventional AD, with the highest biogas production reaching 239 ± 3 mL/gVS·d—an increase of up to 162% using graphite felt electrodes at 0.5 V. Internal resistance was also markedly lower with graphite felt (19 Ω/m2) compared to graphite plates (1120 Ω/m2). Furthermore, the pH of the MEC–AD system with graphite felt electrodes was maintained within the optimal range (6.8–7.0), avoiding the acidification seen in control systems. These findings underscore the promise of MEC–AD systems for advancing circular bio-economy initiatives and carbon neutrality. Further work is needed to refine electrode materials and reactor design for improved scalability and efficiency. Full article
(This article belongs to the Special Issue Recent Advancements in Fermentation Technology: Biofuels Production)
Show Figures

Figure 1

29 pages, 1884 KB  
Review
Nuclear Fuel Revival: Uranium Markets, SMRs, and Global Energy Security
by Brenda Huerta-Rosas and Eduardo Sánchez-Ramírez
Commodities 2026, 5(1), 7; https://doi.org/10.3390/commodities5010007 - 13 Mar 2026
Viewed by 406
Abstract
This review examines the renewed strategic relevance of uranium within the evolving global energy system, emphasizing uranium market dynamics, emerging nuclear technologies, and geopolitical realignments. Moving beyond traditional perspectives that treat uranium primarily as a cyclical commodity or focus narrowly on reactor design, [...] Read more.
This review examines the renewed strategic relevance of uranium within the evolving global energy system, emphasizing uranium market dynamics, emerging nuclear technologies, and geopolitical realignments. Moving beyond traditional perspectives that treat uranium primarily as a cyclical commodity or focus narrowly on reactor design, the article frames uranium as a critical strategic resource at the intersection of energy security, decarbonization, and industrial transformation. The analysis integrates market fundamentals with technological developments, particularly small modular reactors (SMRs) and advanced high-temperature reactor systems, and regional policy strategies to provide a holistic perspective largely absent from the existing literature. Quantitative evidence indicates a structurally tightening uranium market, with global reactor demand of approximately 67,500 tU per year and mine production historically meeting only 74–90% of annual requirements. Uranium prices have rebounded from below $20 lb−1 U3O8 in 2016 to above $80 lb−1 by late 2023, reflecting supply concentration, long development timelines for new mines, and renewed political commitments to nuclear energy. Demand projections suggest an increase of around 28% by 2030 and the potential for a doubling by mid-century under high-nuclear deployment scenarios. From a technological perspective, while SMRs and advanced reactors may increase uranium consumption per unit of electricity, they substantially expand nuclear energy deployment into new domains, including remote power systems, industrial heat applications, and large-scale low-carbon hydrogen production. Overall, the study highlights a qualitative shift in uranium’s role, positioning it as both a foundational component and a key enabler of integrated low-carbon energy systems spanning electricity, heat, and hydrogen production. Full article
Show Figures

Figure 1

29 pages, 3496 KB  
Article
Hybrid Cavitation-Jet and Arc Discharge Technology for Processing Associated Petroleum Gas
by Galymzhan Mamytbekov, Igor Danko, Amangeldy Bekbayev, Vassiliy Titkov and Yernat Nurtazin
Technologies 2026, 14(3), 174; https://doi.org/10.3390/technologies14030174 - 12 Mar 2026
Viewed by 186
Abstract
This study investigates the feasibility of treating acidic gases produced in oilfields using a novel method that combines cavitation-jet reactor (CJR) technology with electric arc discharge (EAD). The integration of these two approaches enhances the ionization process by converting neutral gas molecules into [...] Read more.
This study investigates the feasibility of treating acidic gases produced in oilfields using a novel method that combines cavitation-jet reactor (CJR) technology with electric arc discharge (EAD). The integration of these two approaches enhances the ionization process by converting neutral gas molecules into chemically reactive ion-radical and radical fragments. These highly reactive species eventually recombine, creating new chemical compounds and simpler molecules from incoming acid gas and water vapor. Theoretical validation and experimental demonstration have revealed possible mechanisms and pathways of low-temperature plasma-chemical processes resulting from the synergistic effects of cavitating-jet flow and arc discharge on the molecular degradation of neutral gaseous molecules, such as hydrogen sulfide and carbon dioxide in water vapor, which lead to the generation of new compounds. Research indicates that the most effective method for processing associated petroleum gas (APG) involves minimizing the sequential nature of chemical reactions in low-temperature non-equilibrium plasma environments, thus eliminating the need for costly and complex catalysts. Additionally, studies have shown that the cavitation-jet flow of a gas–vapor–liquid mixture, when combined with an electric arc discharge in the truncated region of the low-temperature plasma of CJR, results in the synthesis of hydrogen, two forms of S8 (S8I and S8II), crystalline carbon, and its organic derivatives containing oxygen and nitrogen, specifically methanol, ethanol, acetone, and acetonitrile. The data obtained suggest that the generation of low-temperature plasma in the cavitation-jet chamber, induced by an electric discharge, is essential for the production of reaction products, such as hydrogen, sulfur, and oxygen- and nitrogen-containing derivatives of organic carbon, when water vapor and acid gas molecules traverse the reactor. Full article
(This article belongs to the Section Environmental Technology)
Show Figures

Figure 1

32 pages, 6543 KB  
Review
MOCVD Growth of Next-Generation III–V Semiconductor Devices: In Review
by Zoya Noor, Muhammad Usman, Shazma Ali, Anis Naveed, Amina Hafeez and Ahmed Ali
Photonics 2026, 13(3), 273; https://doi.org/10.3390/photonics13030273 - 12 Mar 2026
Viewed by 580
Abstract
Metal–organic chemical vapor deposition (MOCVD) is a crystal growth technique used to achieve high-purity thin films, especially III–V materials, for fabricating semiconductor devices. It allows for thickness tunability, controlled doping, and composition of epilayers. This review focuses on the principle of MOCVD, its [...] Read more.
Metal–organic chemical vapor deposition (MOCVD) is a crystal growth technique used to achieve high-purity thin films, especially III–V materials, for fabricating semiconductor devices. It allows for thickness tunability, controlled doping, and composition of epilayers. This review focuses on the principle of MOCVD, its historical background, and its applications in III–V semiconductor devices such as solar cells, high electron mobility transistors (HEMTs), light-emitting diodes (LEDs), laser diodes (LDs), and photonic integrated circuits (PICs). This review highlights the recent developments in MOCVD aimed at improving its efficiency, performance, and sustainability. Finally, we emphasize emerging trends and challenges in MOCVD process innovation, reactor design, and material integration that are poised to drive the development of next-generation optoelectronic, photonic, and quantum technologies. Together, these findings underscore MOCVD’s pivotal role in enabling high-performance devices and sustaining leadership in post-Moore semiconductor technologies. Full article
Show Figures

Graphical abstract

22 pages, 3430 KB  
Article
Utilization of Poultry Litter from a Small Farm in Anaerobic Digestion for Energy Production Supported with Photovoltaics
by Venelin Hubenov, Ludmil Stoyanov, Stefan Stoychev, Ivan Simeonov, Valentin Milenov, Ivan Bachev and Lyudmila Kabaivanova
Energies 2026, 19(6), 1428; https://doi.org/10.3390/en19061428 - 12 Mar 2026
Viewed by 234
Abstract
The chicken farm is a specific type of agricultural site with high electricity and heat consumption, which makes it ideal for the implementation of green energy. The specificity of the farm (need for continuous ventilation, lighting, and heating) allows achieving energy independence and [...] Read more.
The chicken farm is a specific type of agricultural site with high electricity and heat consumption, which makes it ideal for the implementation of green energy. The specificity of the farm (need for continuous ventilation, lighting, and heating) allows achieving energy independence and reducing costs. Small farms can meet their own electricity needs using clean energy through the application of photovoltaics and converting waste biomass to usable energy. These two ways of power production could also reduce carbon footprints. In this study, the feasibility of using renewable energy for energy management in a poultry farm by consecutively involving solar and biomass energy was revealed. A biotechnological process for the production of biogas from chicken litter in a continuously stirred system of tank bioreactors was performed. It was supplied by electricity from a photovoltaic system. To obtain the maximum amount of solar energy, a photovoltaic system consisting of four panels, invertor and a battery with smart control was designed to collect, store, and bring energy to the reactor system collector and connected to the laboratory bioreactor, conveying the biogas production process. Several hydraulic retention times (HRT) were tested for optimizing biogas (biomethane) production, reaching a maximum of 575.49 NmL CH4/dm3 at an HRT of 13.3 days for the first bioreactor and 278.7 NmL CH4/g VSadd at an HRT of 120 days for the whole system. The energy balance made, reporting meteorological data, showed the economic feasibility for small farms to meet their own electricity needs. Involving renewable energy technologies could solve the problem of fossil fuel dependency and waste management for environmental protection and profit increase. It would permit a transition toward sustainable energy practices in agriculture and food production. Full article
Show Figures

Figure 1

18 pages, 5534 KB  
Article
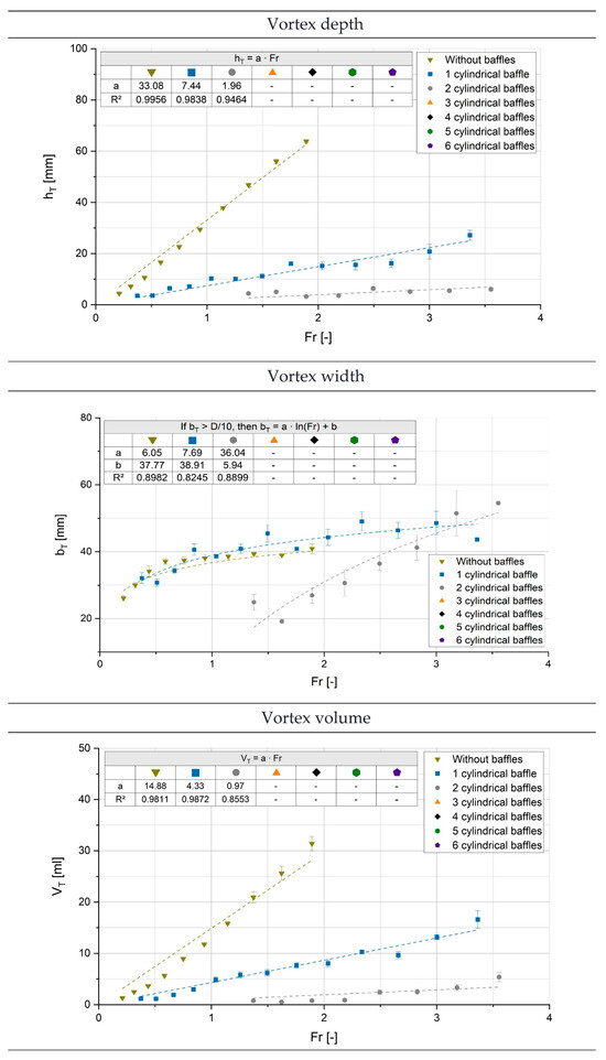
Vortex Formation in Axial Stirring Systems Under the Influence of Baffle Geometry and Number
by Laura Lenters, Mathias Ulbricht and Heyko Jürgen Schultz
Fluids 2026, 11(3), 75; https://doi.org/10.3390/fluids11030075 - 11 Mar 2026
Viewed by 197
Abstract
In stirred tank reactors, especially without using baffles, the liquid surface can deform, which in stirring technology is referred to a vortex. These vortices can be advantageous for some mixing tasks, such as obtaining emulsions, they can also impair a consistent product quality. [...] Read more.
In stirred tank reactors, especially without using baffles, the liquid surface can deform, which in stirring technology is referred to a vortex. These vortices can be advantageous for some mixing tasks, such as obtaining emulsions, they can also impair a consistent product quality. Therefore, it is important for the production and process industry, to know whether a vortex occurs or not. Prediction is only possible with an outdated dimensionless baffle index and research on vortex formation with baffles is limited. In this study, two industrially important axial stirring systems—Propeller and Pitched-blade turbine—with different baffle geometries (rectangular, cylindrical, triangular) and numbers are assessed in regard to power input, vortex characteristics (depth, width, volume) and baffle state prediction. Power is recorded using strain gauges, while vortices are evaluated using an optical image evaluation method. The final vortex result is made dimensionless, accessible to the industry to enable improved predictions about the size of the vortices on an industrial scale in order to make the stirred tanks more economical and sustainable. Furthermore, an initial improvement of the baffle index for the investigated stirrers is given, because the original index incorrectly predicts the baffle state in 12.5% of cases. Full article
(This article belongs to the Special Issue Vortex Definition and Identification)
Show Figures

Figure 1

28 pages, 9210 KB  
Review
Review of Recent Advances in Cold-Sprayed Coatings for Accident-Tolerant Fuel Cladding
by Yuqi Mou, Yunjie Zhou, Hong Zhou, Rui Yang, Jing Huang, Ye Tian, Shuangjie Wu, Ping Zhou, Meiqi Song, Jin Han and Hua Li
Materials 2026, 19(6), 1056; https://doi.org/10.3390/ma19061056 - 10 Mar 2026
Viewed by 217
Abstract
The 2011 Fukushima accident highlighted the vulnerability of traditional Zr alloy fuel cladding under loss-of-coolant accident (LOCA) conditions, prompting the development of accident-tolerant fuel (ATF) systems. A promising near-term solution involves depositing protective coatings on existing Zr alloy cladding. Among various deposition techniques, [...] Read more.
The 2011 Fukushima accident highlighted the vulnerability of traditional Zr alloy fuel cladding under loss-of-coolant accident (LOCA) conditions, prompting the development of accident-tolerant fuel (ATF) systems. A promising near-term solution involves depositing protective coatings on existing Zr alloy cladding. Among various deposition techniques, cold spray technology has emerged as one of the leading methods due to its solid-state, low-temperature process, which minimises thermal degradation and allows for the deposition of a wide range of high-performance materials. This review provides a comprehensive examination of recent advances in cold-sprayed coatings for ATF cladding, beginning with an overview of the fundamentals of cold spray technology and its specific advantages for nuclear applications. The core of the review critically analyses three primary coating systems: Cr, FeCrAl alloys, and MAX phase composites, with a particular focus on Cr coatings, as they have been more extensively studied compared to the other two material systems. Key coating properties, including microstructure of the coating-substrate interface, mechanical properties, thermal conductivity, oxidation resistance, irradiation tolerance, and performance under normal operation and simulated LOCA conditions, are discussed in detail, with particular emphasis on the potential of cold-sprayed Cr coatings to enhance Zr alloy cladding. Cr coatings demonstrate significant improvements in oxidation resistance and irradiation stability, but also face challenges such as high-temperature interfacial reactions. To address these issues, promising solutions, such as diffusion-barrier bilayer systems, are being explored. Additionally, the review discusses FeCrAl and MAX phase composite coatings, highlighting their promising long-term performance under extreme conditions. The review concludes with recommendations for further research to optimise cold spray processes and ensure the robustness of coatings in operational reactor environments. Full article
Show Figures

Figure 1

23 pages, 1154 KB  
Review
Challenges and Optimization Strategies in the Traditional A2/O Wastewater Treatment Process: A Review
by Yong Wang, Xin Jin and Guobiao Zhou
Appl. Sci. 2026, 16(5), 2609; https://doi.org/10.3390/app16052609 - 9 Mar 2026
Viewed by 263
Abstract
Developed by Marais and Rabinowitz, the A2/O process is a pivotal biotechnology for biological nitrogen and phosphorus removal, developed by optimizing the five-stage Phoredox protocol. Renowned for its efficient configuration and straightforward operation, it has been extensively adopted in municipal and [...] Read more.
Developed by Marais and Rabinowitz, the A2/O process is a pivotal biotechnology for biological nitrogen and phosphorus removal, developed by optimizing the five-stage Phoredox protocol. Renowned for its efficient configuration and straightforward operation, it has been extensively adopted in municipal and industrial wastewater treatment projects globally, including numerous facilities in China. However, the conventional A2/O process faces inherent operational challenges: the conflicting SRT requirements between autotrophic nitrifying bacteria (needing long SRT for stable nitrification) and PAOs, intense competition for carbon sources among PAOs and denitrifying bacteria, and the inhibitory effects of residual nitrate and DO on phosphorus release and denitrification. To address these issues, a range of optimization strategies has been developed, including SRT adjustment, carbon source distribution optimization, the integration of biofilm carriers, the addition of external carbon sources, and innovative modified configurations such as the Reversed A2/O, JHB, UCT, and MUCT. These approaches synergistically mitigate nitrate interference and enhance nutrient removal efficiency by decoupling microbial SRT demands, supplementing readily biodegradable carbon sources, and optimizing hydraulic flow paths. Future research should focus on deepening the understanding of the metabolic mechanisms underlying nitrogen and phosphorus removal, developing sustainable and efficient external carbon source systems, refining multi-mode reactor design for engineering scalability, optimizing combined processes for ultra-low C/N ratio wastewater treatment, and advancing low-temperature adaptation technologies. These efforts aim to further improve the process’s efficacy, stability, and sustainability, enabling it to meet increasingly stringent environmental discharge standards. Full article
(This article belongs to the Section Environmental Sciences)
Show Figures

Figure 1

18 pages, 2340 KB  
Article
Magnetic Walnut Shell Biochar Enhances Direct Interspecies Electron Transfer and Methane Yield from Fruit and Vegetable Waste’s Anaerobic Digestion
by Paul Sebastian Selvaraj, Aswin Kuttykattil, Parameswari Ettiyagounder, Ilakiya Tamilselvan, Kalaiselvi Periyasamy, Sadish Oumabady, Poornima Ramesh, Kavitha Ramadass and Thava Palanisami
Fuels 2026, 7(1), 17; https://doi.org/10.3390/fuels7010017 - 9 Mar 2026
Viewed by 254
Abstract
An exorbitant amount of organic fractions of the municipal solid waste, i.e., fruit and vegetable waste (FVW), generated from farm to fork are being treated through anaerobic digestion (AD). Anaerobic digestion (AD) of FVW only achieves <60% methane potential due to methanogen loss [...] Read more.
An exorbitant amount of organic fractions of the municipal solid waste, i.e., fruit and vegetable waste (FVW), generated from farm to fork are being treated through anaerobic digestion (AD). Anaerobic digestion (AD) of FVW only achieves <60% methane potential due to methanogen loss and indirect electron transfer. Hence, the technology necessitates further improvements in performance to maximise the methane gas yield by stabilising the methanogens using a potential additive. Magnetic biochar is a budding and promising additive in anaerobic digestion that amplifies biomethanation performance. This study focuses on the role of magnetic biochar in enhancing the viability of the AD system in biogas production from organic waste fractions. Herein, the magnetic biochar was produced using a FeCl3-impregnated walnut shell and then characterized. The derived magnetite was identified as the major crystalline phase in biochar with the presence of several oxygenated functional groups. The specific surface area, pore volume, and pore diameter were found to be 360.99 m2 g−1, 0.089 cm3 g−1, and 0.98 nm, respectively. The SEM and TEM images illustrated a good dispersion of the material, with size ranging between 18.2 and 46.6 nm, thus indicating the porous nature of the magnetic biochar. The incorporation of magnetic biochar in the CN ratio modified the AD system with enhanced methane production and the highest volume (1523.4 mL) reported in treatment, with a CN ratio of 25:1 and 0.5% magnetic biochar. The resulted gas yield is 35% more than the control (1125 ML) with reduced lag phase (4 vs. 12 days). It concludes that walnut shell MBC uniquely combines DIET conduits and biofilm support and enhances methane production from FVW. However, 16S rRNA confirmations of syntrophs, continuous reactor validation, and magnetic biochar recovery and reuse potential studies are essential for further scaleup. Full article
Show Figures

Figure 1

Back to TopTop