Sign in to use this feature.

Years

Between: -

Subjects

remove_circle_outline
remove_circle_outline
remove_circle_outline
remove_circle_outline
remove_circle_outline
remove_circle_outline
remove_circle_outline
remove_circle_outline
remove_circle_outline

Journals

remove_circle_outline
remove_circle_outline
remove_circle_outline
remove_circle_outline
remove_circle_outline
remove_circle_outline
remove_circle_outline
remove_circle_outline
remove_circle_outline
remove_circle_outline
remove_circle_outline
remove_circle_outline
remove_circle_outline
remove_circle_outline
remove_circle_outline
remove_circle_outline
remove_circle_outline
remove_circle_outline

Article Types

Countries / Regions

remove_circle_outline
remove_circle_outline
remove_circle_outline
remove_circle_outline
remove_circle_outline
remove_circle_outline
remove_circle_outline

Search Results (3,364)

Search Parameters:
Keywords = reactor performance

Order results
Result details
Results per page
Select all
Export citation of selected articles as:
21 pages, 3726 KB  
Article
Enhancing Biogas Production and Methane Yields Through Microbial Electrolysis Cell-Assisted Anaerobic Digestion in a Fed Batch Reactor
by Rudolphus Antonius Timmers, Enrique Pérez Zapatero, Fernán Berride García, Miriam Barrazón Peña, Miguel Ángel Sánchez-Gatón and Dolores Hidalgo
Fermentation 2026, 12(3), 152; https://doi.org/10.3390/fermentation12030152 (registering DOI) - 14 Mar 2026
Abstract
To address the limitations of conventional anaerobic digestion (AD), this study explored the integration of microbial electrolysis cells (MECs) with AD to improve biogas production and process stability. While AD is a proven technology for renewable energy recovery from waste, it can suffer [...] Read more.
To address the limitations of conventional anaerobic digestion (AD), this study explored the integration of microbial electrolysis cells (MECs) with AD to improve biogas production and process stability. While AD is a proven technology for renewable energy recovery from waste, it can suffer from volatile fatty acid accumulation and reduced efficiency. The hybrid MEC–AD system leverages electro-methanogenesis to enhance methane yields and overall system performance. This research evaluated the effects of different electrode materials (graphite plate vs. graphite felt) and applied voltages (0.5 V and 0.7 V) on biogas output, methane content, and operational stability. Results showed that MEC–AD systems significantly outperformed conventional AD, with the highest biogas production reaching 239 ± 3 mL/gVS·d—an increase of up to 162% using graphite felt electrodes at 0.5 V. Internal resistance was also markedly lower with graphite felt (19 Ω/m2) compared to graphite plates (1120 Ω/m2). Furthermore, the pH of the MEC–AD system with graphite felt electrodes was maintained within the optimal range (6.8–7.0), avoiding the acidification seen in control systems. These findings underscore the promise of MEC–AD systems for advancing circular bio-economy initiatives and carbon neutrality. Further work is needed to refine electrode materials and reactor design for improved scalability and efficiency. Full article
(This article belongs to the Special Issue Recent Advancements in Fermentation Technology: Biofuels Production)
Show Figures

Figure 1

17 pages, 2083 KB  
Article
Monitoring of Liquid Metal Reactor Heater Zones with Recurrent Neural Network Learning of Temperature Time Series
by Maria Pantopoulou, Derek Kultgen, Lefteri Tsoukalas and Alexander Heifetz
Energies 2026, 19(6), 1462; https://doi.org/10.3390/en19061462 (registering DOI) - 14 Mar 2026
Abstract
Advanced high-temperature fluid reactors (ARs), such as sodium fast reactors (SFRs) and molten salt cooled reactors (MSCRs) utilize high-temperature fluids at ambient pressure. To melt the fluid during reactor startup and prevent fluid freezing during cooldown, the thermal–hydraulic systems of such ARs include [...] Read more.
Advanced high-temperature fluid reactors (ARs), such as sodium fast reactors (SFRs) and molten salt cooled reactors (MSCRs) utilize high-temperature fluids at ambient pressure. To melt the fluid during reactor startup and prevent fluid freezing during cooldown, the thermal–hydraulic systems of such ARs include heater zones consisting of specific heaters with controllers, temperature sensors, and thermal insulation. The failure of heater zones due to insulation material degradation or improper installation, resulting in parasitic heat losses, can lead to fluid freezing. The detection of faults using a heat-transfer model is difficult because of a lack of knowledge of the experimental details. Data-driven machine learning of heater zone temperature time series offers a viable alternative. In this study, we benchmarked the performance of recurrent neural networks (RNNs) in an analysis of heat-up transient temperature time series of heater zones installed on a liquid sodium vessel. The RNN models include long short-term memory (LSTM) and gated recurrent unit (GRU) networks, as well as their bi-directional variants, BiLSTM and BiGRU. Anomalous temperature points were designated using a percentile-based threshold applied to residual fluctuations in the detrended temperature time series. Additionally, the impact of the exponentially weighted moving average (EWMA) method on detection accuracy was examined. The RNN models’ performance was assessed using precision, recall, and F1 score metrics. Results demonstrated that RNN models effectively detect anomalies in temperature time series with the best models for each heater zone achieving F1 scores of over 93%. To explain the variations in RNN model performance across different heater zones, we used Kullback–Leibler (KL) divergence to quantify the relative entropy between training and testing data, and the Detrended Fluctuation Analysis (DFA) to assess long-range temporal correlations. For datasets with strong long-range correlations and minimal relative entropy between training and testing data, GRU is the best-performing model. When the data exhibits weaker long-term correlations and a significant relative entropy between training and testing distributions, BiGRU shows the best performance. For the data sets with intermediate values of both KL divergence and DFA, the best performance is obtained with LSTM and BiLSTM, respectively. Full article
18 pages, 11797 KB  
Article
Investigation of Defect Propagation in 4H-SiC: From Substrate to Epitaxial Layers
by Francesco Maria Fiorino, Francesco Ruffino and Alberto Catena
Appl. Sci. 2026, 16(6), 2727; https://doi.org/10.3390/app16062727 - 12 Mar 2026
Abstract
Silicon carbide (SiC) is the leading wide bandgap semiconductor for high-power and high-temperature electronics, but the high defect density still limits device performance. This study investigates how inclusions, Basal Plane Dislocations (BPDs), and Threading Screw Dislocations (TSDs) in 4H-SiC substrates affect epitaxial defect [...] Read more.
Silicon carbide (SiC) is the leading wide bandgap semiconductor for high-power and high-temperature electronics, but the high defect density still limits device performance. This study investigates how inclusions, Basal Plane Dislocations (BPDs), and Threading Screw Dislocations (TSDs) in 4H-SiC substrates affect epitaxial defect formation. Twenty 200 mm SiC wafers were analyzed after epitaxial growth in two industrial Chemical Vapor Deposition (CVD) reactors, one using Trichlorosilane/Ethylene (Reactor A) and the other Silane/Propane (Reactor B). Defects were characterized using Candela (KLA), Altair (KLA), XRTmicron LAB (Rigaku), SICA (Lasertec), and Crossbeam (ZEISS) dual-beam SEM system. Statistical correlation showed that the conversion rate of embedded particles decreases with particle depth and increases with particle size. Reactor A exhibited lower propagation rates, indicating better suppression of substrate-related defects. SEM/FIB-EDX analyses suggested that carbon inclusions generate pits while metallic inclusions induce triangular defects. Dislocation analysis confirmed a strong correlation between TSDs and BPDs with carrots and triangular defects. BPD conversion rates were estimated at about 98.3% (Reactor A) and 99.8% (Reactor B). These results emphasize the importance of substrate quality and buffer layer optimization to minimize defect propagation. Full article
(This article belongs to the Special Issue Applications of Thin Films and Their Physical Properties)
Show Figures

Figure 1

14 pages, 4713 KB  
Article
Investigation of the Microstructure and Scintillation Properties of Ce-Doped CaF2/LiF Eutectics for Thermal Neutron Detection
by Tomoaki Matsuyama, Kei Kamada, Masao Yoshino, Rikito Murakami, Satoshi Ishizawa, Yuui Yokota and Akira Yoshikawa
Materials 2026, 19(6), 1102; https://doi.org/10.3390/ma19061102 - 12 Mar 2026
Viewed by 34
Abstract
With the growing global emphasis on nuclear reactor decommissioning, reliable thermal neutron detection has become increasingly important for ensuring critical safety and for the identification of fuel debris and radioactive waste. In this context, this study developed and characterized a Ce-doped CaF2 [...] Read more.
With the growing global emphasis on nuclear reactor decommissioning, reliable thermal neutron detection has become increasingly important for ensuring critical safety and for the identification of fuel debris and radioactive waste. In this context, this study developed and characterized a Ce-doped CaF2/6LiF (Ce:CaF2/LiF) eutectic scintillator for thermal neutron detection with Ce concentrations ranging from 0.5 to 10 mol%. The eutectic samples were grown by the melt-solidification method, and their crystalline properties were evaluated using inductively coupled plasma mass spectrometry, X-ray diffraction, scanning electron microscopy, and field-emission electron probe microanalysis. Radioluminescence, photoluminescence, transmittance, scintillation decay, and pulse-height measurements were conducted to assess their scintillation performance. Structural characterization revealed a well-defined eutectic microstructure together with several Ce-rich phases. The results of the effective neutron sensitivity demonstrated that the Ce concentration was effectively optimized based on the effective neutron sensitivity: the sample with 1 mol% Ce exhibited the highest neutron sensitivity (approximately 1.5 times that of a Ce:LiCaAlF6 single crystal) and a 1.6-times higher neutron-induced light yield, while maintaining a fast effective decay time of 400 ns. These findings suggest that the Ce:CaF2/LiF eutectic is a promising candidate for high-performance thermal-neutron scintillators for applications in nuclear decommissioning. Full article
(This article belongs to the Section Optical and Photonic Materials)
Show Figures

Figure 1

32 pages, 6543 KB  
Review
MOCVD Growth of Next-Generation III–V Semiconductor Devices: In Review
by Zoya Noor, Muhammad Usman, Shazma Ali, Anis Naveed, Amina Hafeez and Ahmed Ali
Photonics 2026, 13(3), 273; https://doi.org/10.3390/photonics13030273 - 12 Mar 2026
Viewed by 36
Abstract
Metal–organic chemical vapor deposition (MOCVD) is a crystal growth technique used to achieve high-purity thin films, especially III–V materials, for fabricating semiconductor devices. It allows for thickness tunability, controlled doping, and composition of epilayers. This review focuses on the principle of MOCVD, its [...] Read more.
Metal–organic chemical vapor deposition (MOCVD) is a crystal growth technique used to achieve high-purity thin films, especially III–V materials, for fabricating semiconductor devices. It allows for thickness tunability, controlled doping, and composition of epilayers. This review focuses on the principle of MOCVD, its historical background, and its applications in III–V semiconductor devices such as solar cells, high electron mobility transistors (HEMTs), light-emitting diodes (LEDs), laser diodes (LDs), and photonic integrated circuits (PICs). This review highlights the recent developments in MOCVD aimed at improving its efficiency, performance, and sustainability. Finally, we emphasize emerging trends and challenges in MOCVD process innovation, reactor design, and material integration that are poised to drive the development of next-generation optoelectronic, photonic, and quantum technologies. Together, these findings underscore MOCVD’s pivotal role in enabling high-performance devices and sustaining leadership in post-Moore semiconductor technologies. Full article
Show Figures

Graphical abstract

22 pages, 3430 KB  
Article
Utilization of Poultry Litter from a Small Farm in Anaerobic Digestion for Energy Production Supported with Photovoltaics
by Venelin Hubenov, Ludmil Stoyanov, Stefan Stoychev, Ivan Simeonov, Valentin Milenov, Ivan Bachev and Lyudmila Kabaivanova
Energies 2026, 19(6), 1428; https://doi.org/10.3390/en19061428 - 12 Mar 2026
Viewed by 35
Abstract
The chicken farm is a specific type of agricultural site with high electricity and heat consumption, which makes it ideal for the implementation of green energy. The specificity of the farm (need for continuous ventilation, lighting, and heating) allows achieving energy independence and [...] Read more.
The chicken farm is a specific type of agricultural site with high electricity and heat consumption, which makes it ideal for the implementation of green energy. The specificity of the farm (need for continuous ventilation, lighting, and heating) allows achieving energy independence and reducing costs. Small farms can meet their own electricity needs using clean energy through the application of photovoltaics and converting waste biomass to usable energy. These two ways of power production could also reduce carbon footprints. In this study, the feasibility of using renewable energy for energy management in a poultry farm by consecutively involving solar and biomass energy was revealed. A biotechnological process for the production of biogas from chicken litter in a continuously stirred system of tank bioreactors was performed. It was supplied by electricity from a photovoltaic system. To obtain the maximum amount of solar energy, a photovoltaic system consisting of four panels, invertor and a battery with smart control was designed to collect, store, and bring energy to the reactor system collector and connected to the laboratory bioreactor, conveying the biogas production process. Several hydraulic retention times (HRT) were tested for optimizing biogas (biomethane) production, reaching a maximum of 575.49 NmL CH4/dm3 at an HRT of 13.3 days for the first bioreactor and 278.7 NmL CH4/g VSadd at an HRT of 120 days for the whole system. The energy balance made, reporting meteorological data, showed the economic feasibility for small farms to meet their own electricity needs. Involving renewable energy technologies could solve the problem of fossil fuel dependency and waste management for environmental protection and profit increase. It would permit a transition toward sustainable energy practices in agriculture and food production. Full article
Show Figures

Figure 1

28 pages, 9210 KB  
Review
Review of Recent Advances in Cold-Sprayed Coatings for Accident-Tolerant Fuel Cladding
by Yuqi Mou, Yunjie Zhou, Hong Zhou, Rui Yang, Jing Huang, Ye Tian, Shuangjie Wu, Ping Zhou, Meiqi Song, Jin Han and Hua Li
Materials 2026, 19(6), 1056; https://doi.org/10.3390/ma19061056 - 10 Mar 2026
Viewed by 119
Abstract
The 2011 Fukushima accident highlighted the vulnerability of traditional Zr alloy fuel cladding under loss-of-coolant accident (LOCA) conditions, prompting the development of accident-tolerant fuel (ATF) systems. A promising near-term solution involves depositing protective coatings on existing Zr alloy cladding. Among various deposition techniques, [...] Read more.
The 2011 Fukushima accident highlighted the vulnerability of traditional Zr alloy fuel cladding under loss-of-coolant accident (LOCA) conditions, prompting the development of accident-tolerant fuel (ATF) systems. A promising near-term solution involves depositing protective coatings on existing Zr alloy cladding. Among various deposition techniques, cold spray technology has emerged as one of the leading methods due to its solid-state, low-temperature process, which minimises thermal degradation and allows for the deposition of a wide range of high-performance materials. This review provides a comprehensive examination of recent advances in cold-sprayed coatings for ATF cladding, beginning with an overview of the fundamentals of cold spray technology and its specific advantages for nuclear applications. The core of the review critically analyses three primary coating systems: Cr, FeCrAl alloys, and MAX phase composites, with a particular focus on Cr coatings, as they have been more extensively studied compared to the other two material systems. Key coating properties, including microstructure of the coating-substrate interface, mechanical properties, thermal conductivity, oxidation resistance, irradiation tolerance, and performance under normal operation and simulated LOCA conditions, are discussed in detail, with particular emphasis on the potential of cold-sprayed Cr coatings to enhance Zr alloy cladding. Cr coatings demonstrate significant improvements in oxidation resistance and irradiation stability, but also face challenges such as high-temperature interfacial reactions. To address these issues, promising solutions, such as diffusion-barrier bilayer systems, are being explored. Additionally, the review discusses FeCrAl and MAX phase composite coatings, highlighting their promising long-term performance under extreme conditions. The review concludes with recommendations for further research to optimise cold spray processes and ensure the robustness of coatings in operational reactor environments. Full article
Show Figures

Figure 1

14 pages, 2814 KB  
Article
Numerical Study on the Staged SCR Catalyst for Marine Exhaust After-Treatment
by Kyungbin Park, Hyeonseok Im, Gyu Ryeol Baek and Mino Woo
ChemEngineering 2026, 10(3), 39; https://doi.org/10.3390/chemengineering10030039 - 9 Mar 2026
Viewed by 139
Abstract
This study numerically investigates the NO removal performance of a staged catalyst substrate employed in an industrial marine after-treatment system. The computational domain is based on the lab-scale experimental device used for measuring pressure drop, serving as a digital twin to accurately reproduce [...] Read more.
This study numerically investigates the NO removal performance of a staged catalyst substrate employed in an industrial marine after-treatment system. The computational domain is based on the lab-scale experimental device used for measuring pressure drop, serving as a digital twin to accurately reproduce the staged catalyst configuration prior to its application in full-scale industrial reactors. Experiments were conducted to estimate the parameters for a porous model, employed for efficient computation of flow and reactive mass transfer inside the catalyst substrate without needing a complex computational mesh of the monolith structure. A reaction mechanism from the literature was modified and verified for marine SCR reactors. The three-dimensional numerical simulations in this study indicate that the NO removal in the staged catalyst substrate varies depending on the catalyst configuration, primarily due to differences in the upstream flow uniformity. This study demonstrates that relocating a single catalyst substrate to the downstream position improved conversion by 6.5 percentage points, while a two-stage catalyst configuration yielded a 15.5 percentage-point increase under identical exhaust conditions. In addition, the residence time exhibited significant variations depending on the catalyst arrangement and inlet velocity, highlighting it as a critical parameter governing NO reduction performance. The findings in the present study can serve as a reference for future analyses conducted under practical conditions in industrial-scale marine SCR systems. Full article
Show Figures

Figure 1

15 pages, 1448 KB  
Article
Agronomic Potential of Digestates from Pig Slurry and Wine Vinasse Co-Digestion Under Temperature-Phased Anaerobic Digestion
by Belén Cañadas, José Luis Millar, Juan José Iglesias, Juana Fernández-Rodríguez and Montserrat Pérez
Appl. Sci. 2026, 16(5), 2621; https://doi.org/10.3390/app16052621 - 9 Mar 2026
Viewed by 129
Abstract
The management of Pig Slurry (PS) and Wine Vinasse (WV) poses major environmental and economic challenges, Anaerobic co-digestion (AcoD) offers a promising approach, producing both renewable energy and nutrient-rich digestates with agronomic potential. This study evaluated digestates obtained from the AcoD of a [...] Read more.
The management of Pig Slurry (PS) and Wine Vinasse (WV) poses major environmental and economic challenges, Anaerobic co-digestion (AcoD) offers a promising approach, producing both renewable energy and nutrient-rich digestates with agronomic potential. This study evaluated digestates obtained from the AcoD of a 50:50 mixture of pig slurry and wine vinasse under Temperature-Phased Anaerobic Digestion (TPAD) conditions. The acidogenic reactor reached stability at a hydraulic retention time (HRT) of 5 days, achieving 51.34 ± 3.08% of tCOD removal and approximately 0.5 L of daily green hydrogen production, whereas the methanogenic stage reached stability at an HRT of 10 days with 89.14 ± 2.33% tCOD removal and recording daily biomethane production of up to 1 L. Digestates were tested in germination assays using Lepidium sativum (garden cress), Lactuca sativa (lettuce), and Raphanus sativus (radish) seeds to assess phytotoxicity, and pathogen analyses were conducted to confirm sanitary safety (contains 0.8 × 103 MPN/gTS E. coli). Results showed that agronomic performance was primarily influenced by dilution level, at 10D–15D% dilutions, germination and root growth remained stable, with Germination Index (GI) values above 80%. In contrast, concentrations above 25D% led to marked inhibition, with GI values below 50%. These findings demonstrate that the TPAD system operates effectively when treating pig slurry and winery vinasse, producing digestates that are safe and effective organic amendments. Moreover, given their compliance with sanitary standards, these digestates can be classified as Class A biosolids suitable for agricultural application, provided that adequate dilution is ensured. Full article
Show Figures

Figure 1

18 pages, 2340 KB  
Article
Magnetic Walnut Shell Biochar Enhances Direct Interspecies Electron Transfer and Methane Yield from Fruit and Vegetable Waste’s Anaerobic Digestion
by Paul Sebastian Selvaraj, Aswin Kuttykattil, Parameswari Ettiyagounder, Ilakiya Tamilselvan, Kalaiselvi Periyasamy, Sadish Oumabady, Poornima Ramesh, Kavitha Ramadass and Thava Palanisami
Fuels 2026, 7(1), 17; https://doi.org/10.3390/fuels7010017 - 9 Mar 2026
Viewed by 160
Abstract
An exorbitant amount of organic fractions of the municipal solid waste, i.e., fruit and vegetable waste (FVW), generated from farm to fork are being treated through anaerobic digestion (AD). Anaerobic digestion (AD) of FVW only achieves <60% methane potential due to methanogen loss [...] Read more.
An exorbitant amount of organic fractions of the municipal solid waste, i.e., fruit and vegetable waste (FVW), generated from farm to fork are being treated through anaerobic digestion (AD). Anaerobic digestion (AD) of FVW only achieves <60% methane potential due to methanogen loss and indirect electron transfer. Hence, the technology necessitates further improvements in performance to maximise the methane gas yield by stabilising the methanogens using a potential additive. Magnetic biochar is a budding and promising additive in anaerobic digestion that amplifies biomethanation performance. This study focuses on the role of magnetic biochar in enhancing the viability of the AD system in biogas production from organic waste fractions. Herein, the magnetic biochar was produced using a FeCl3-impregnated walnut shell and then characterized. The derived magnetite was identified as the major crystalline phase in biochar with the presence of several oxygenated functional groups. The specific surface area, pore volume, and pore diameter were found to be 360.99 m2 g−1, 0.089 cm3 g−1, and 0.98 nm, respectively. The SEM and TEM images illustrated a good dispersion of the material, with size ranging between 18.2 and 46.6 nm, thus indicating the porous nature of the magnetic biochar. The incorporation of magnetic biochar in the CN ratio modified the AD system with enhanced methane production and the highest volume (1523.4 mL) reported in treatment, with a CN ratio of 25:1 and 0.5% magnetic biochar. The resulted gas yield is 35% more than the control (1125 ML) with reduced lag phase (4 vs. 12 days). It concludes that walnut shell MBC uniquely combines DIET conduits and biofilm support and enhances methane production from FVW. However, 16S rRNA confirmations of syntrophs, continuous reactor validation, and magnetic biochar recovery and reuse potential studies are essential for further scaleup. Full article
Show Figures

Figure 1

38 pages, 3650 KB  
Review
Torrefaction of Biowastes for High-Performance Solid Biofuel Production: A Review
by Corinna Schloderer, Sonil Nanda and Janusz A. Kozinski
Energies 2026, 19(5), 1380; https://doi.org/10.3390/en19051380 - 9 Mar 2026
Viewed by 148
Abstract
To compete with fossil fuels, biofuels produced from renewable waste biomass must be cost-effective, adaptable to existing heat and power infrastructure, and possess desirable fuel properties and performance metrics matching those of fossil fuels, while having a much lower carbon footprint. However, handling [...] Read more.
To compete with fossil fuels, biofuels produced from renewable waste biomass must be cost-effective, adaptable to existing heat and power infrastructure, and possess desirable fuel properties and performance metrics matching those of fossil fuels, while having a much lower carbon footprint. However, handling and processing biowastes in thermochemical biorefineries is challenging owing to their high moisture content, low bulk density, poor grindability, low calorific value, and heterogeneous physicochemical properties. Torrefaction has emerged as an effective thermochemical technology for upgrading biowastes into torrefied biomass, which exhibits improved, homogeneous physicochemical properties, including higher calorific value, higher bulk density, better grindability, and hydrophobicity. This review synthesizes the current state of research on torrefaction, with particular emphasis on process parameters, reactor designs, commercial-scale implementations, and an analysis of its strengths, weaknesses, opportunities, and threats. The comparative advantages and limitations of different torrefaction reactors are highlighted, emphasizing how each reactor’s characteristics determine its suitability for specific circumstances and operating conditions. This article also considers the technical and economic challenges associated with scaling up torrefaction. The discussion on specific case studies on techno-economic analysis of torrefaction outlines the key barriers and provides incentives for researchers to consider when upscaling the technology. The strengths, weaknesses, opportunities, and threat analysis offers strategic insights for policymakers and industry stakeholders into possible actions to support torrefaction and its upscaling. Full article
(This article belongs to the Special Issue Waste-to-Energy Biorefinery Technologies)
Show Figures

Figure 1

14 pages, 887 KB  
Article
Evaluation of Waste-Plastic Pyrolysis Oil as a Potential Feedstock for Lubricant Base Oil Production via Hydroprocessing
by Jung Hee Jang, Hyun Ji Kim, Jin Ho Kim, Ji Eun Lee, Hyun Sung Jang and Suk Hwan Kang
Sustainability 2026, 18(5), 2655; https://doi.org/10.3390/su18052655 - 9 Mar 2026
Viewed by 156
Abstract
The environmental concerns associated with the excessive use and improper disposal of plastic waste have led to increased interest in chemical recycling methods such as pyrolysis. In this study, waste plastic pyrolysis oil (WPPO) was evaluated as a potential feedstock to produce high-quality [...] Read more.
The environmental concerns associated with the excessive use and improper disposal of plastic waste have led to increased interest in chemical recycling methods such as pyrolysis. In this study, waste plastic pyrolysis oil (WPPO) was evaluated as a potential feedstock to produce high-quality feedstock for lubricant base oils through hydroprocessing. WPPO was obtained via the thermal degradation of waste plastic at 400 °C under a nitrogen atmosphere using a 2 t/day pyrolysis reactor. The physicochemical properties of WPPO were analyzed, including the sulfur, chlorine, and metal contents. A series of Pt-supported catalysts based on different acidic supports (SAPO-11, SAPO-34, and Zeolite Y100) was prepared using an incipient wetness impregnation method and characterized by BET, XRD, and TPD techniques. The hydroprocessing reactions were conducted under varying temperature and pressure conditions to evaluate conversion and optimize product selectivity. The catalysts exhibited different surface areas, pore structures, and acidity profiles, which directly impacted their hydroprocessing performance. The results demonstrate that Pt/Y-100 exhibited the best upgrading performance among the tested catalysts, achieving an olefin-to-paraffin conversion of over 88.65% with a dominant paraffinic hydrocarbon distribution in the C15–C25 range under optimal conditions (300 °C and 40 bar). The results demonstrate that the conversion of olefins to paraffins in WPPO can be effectively controlled by tuning the reaction conditions and catalyst. Full article
Show Figures

Figure 1

33 pages, 9350 KB  
Article
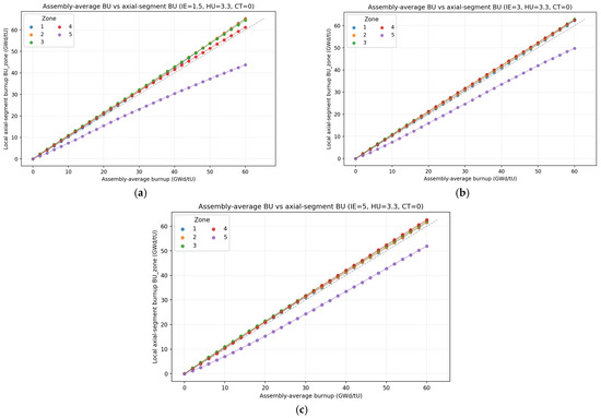
Machine Learning-Based Inversion of Axial-Segment Characterization for Spent Fuel Materials
by Qi Zhang, Zining Ni, Qi Huang, Chao Yang and Zhenping Chen
Coatings 2026, 16(3), 329; https://doi.org/10.3390/coatings16030329 - 8 Mar 2026
Viewed by 121
Abstract
The burnup, initial enrichment, and cooling time of spent nuclear fuel collectively determine the activities of key gamma-emitting nuclides (e.g., 134Cs, 137Cs, 154Eu). In safeguards verification, a non-destructive assay (NDA) using radiation detectors can directly acquire the gamma-ray emission signatures [...] Read more.
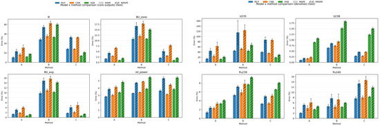
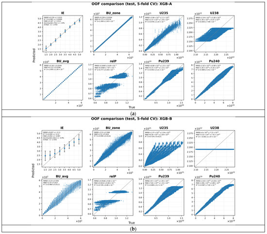
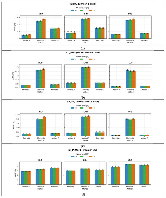
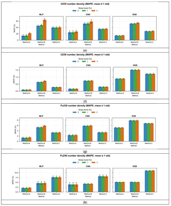
The burnup, initial enrichment, and cooling time of spent nuclear fuel collectively determine the activities of key gamma-emitting nuclides (e.g., 134Cs, 137Cs, 154Eu). In safeguards verification, a non-destructive assay (NDA) using radiation detectors can directly acquire the gamma-ray emission signatures associated with these characteristic nuclides. Previous studies have reported empirical relationships between the activities of nuclides such as 134Cs, 137Cs, and 154Eu and the assembly burnup. However, the non-uniform axial power distribution in fuel assemblies leads to variations in axial-segment burnup. Accordingly, this study utilizes a nuclide sample database of a typical pressurized water reactor (PWR) assembly generated by OpenMC 0.15.3 depletion calculations. The calculated results are analyzed, and a sensitivity analysis of the hydrogen-to-uranium atomic ratio (H/U) on the characteristic nuclides is presented, confirming the necessity of incorporating the H/U ratio as an input parameter to improve the cross-condition generalization of the surrogate models. Subsequently, MLP and CNN based on PyTorch 2.9.1 (CUDA 13.0 build: 2.9.1+cu130), and XGBoost 3.0.2 models are implemented to invert axial-segment burnup, initial enrichment, and the number densities of selected actinides under various discrete operating conditions based on characteristic nuclide activities. A comparative analysis of the prediction results from different feature inversion methods is provided. The results indicate that the MLP model performs best with Method A, which incorporates absolute 137Cs activity and the 154Eu/137Cs ratio, achieving a relative prediction deviation of only 5.2% for initial enrichment. Under Method C, the XGBoost model attains a relative prediction deviation of only 0.9% for axial-segment burnup (BU_zone). Full article
Show Figures

Figure 1

22 pages, 4150 KB  
Article
Closed-Loop Chemical Recycling of Polylactide via Glycolysis: From Water-Soluble Oligomers to High-Purity Lactide
by Gadir Aliev, Roman Toms, Matvey Marinichev, Daniil Ismailov, Kirill Kirshanov and Alexander Gervald
Polymers 2026, 18(5), 655; https://doi.org/10.3390/polym18050655 - 7 Mar 2026
Viewed by 309
Abstract
Polylactide (PLA) has become widely adopted across biomedical, packaging, and manufacturing sectors due to its biodegradability and renewable sourcing. However, the rapid growth in PLA consumption has created urgent challenges related to waste management and the cleaning of processing equipment. This study investigates [...] Read more.
Polylactide (PLA) has become widely adopted across biomedical, packaging, and manufacturing sectors due to its biodegradability and renewable sourcing. However, the rapid growth in PLA consumption has created urgent challenges related to waste management and the cleaning of processing equipment. This study investigates glycolysis as a promising chemical depolymerization pathway for PLA recycling and in situ reactor cleaning. A systematic analysis of four glycolysis agents (GA) (ethylene glycol, diethylene glycol, propylene glycol, and glycerol) was performed across molar PLA:GA ratios from 1:0.125 to 1:4 at 220 °C, targeting the efficient conversion of high-molecular-weight PLA (Mn ≈ 165 kDa) into low-molecular-weight oligomers. Gel permeation chromatography (GPC) demonstrated that propylene glycol exhibited the highest depolymerization efficiency, yielding oligomers with Mn as low as 200 g·mol−1 even at minimal glycolysis agent ratios, while glycerol produced hydroxyl-rich oligomers optimal for subsequent lactide synthesis. Hydroxyl value (HV) measurements showed excellent agreement with theoretical values (<5% deviation), allowing us to make an assumption about an approximate, close to near-quantitative con-version. Glycolysis products with Mw below 400 g·mol−1 displayed excellent water solubility, making them particularly attractive for reactor cleaning applications. Using glycerol-derived (GL) oligomers (PLA:GL = 1:0.25), purified L-lactide with a melting point of 98.1 °C and high purity (>99%) was obtained through thermocatalytic depolymerization and five recrystallization cycles, as confirmed by 1H nuclear magnetic resonance (1H NMR) and differential scanning calorimetry (DSC) analyses. The recovered lactide’s high purity renders it suitable for ring-opening polymerization, enabling closed-loop PLA recycling schemes. Overall, glycolysis emerges as a highly promising chemical recycling route complementary to hydrolysis and pyrolysis: propylene glycol maximizes depolymerization efficiency for cleaning applications, while glycerol optimizes oligomer functionality for lactide recovery and advanced material synthesis. Our results provide practical guidelines for selecting glycolysis agents and conditions for cleaning and recycling applications. Full article
Show Figures

Graphical abstract

21 pages, 3814 KB  
Article
Design and Performance of a Two-Stage Fluidized Bed Reactor for Catalytic Pyrolysis of Mixed Plastic Waste
by Piotr Trochimczyk and Krzysztof Krawczyk
Appl. Sci. 2026, 16(5), 2549; https://doi.org/10.3390/app16052549 - 6 Mar 2026
Viewed by 182
Abstract
With global plastic production creating immense environmental pressure and conventional recycling methods facing limitations, advanced chemical recycling techniques are crucial. This paper presents details of the design, construction, and operation of two fluidized reactors: a laboratory-scale (LS) reactor and a large-scale laboratory reactor [...] Read more.
With global plastic production creating immense environmental pressure and conventional recycling methods facing limitations, advanced chemical recycling techniques are crucial. This paper presents details of the design, construction, and operation of two fluidized reactors: a laboratory-scale (LS) reactor and a large-scale laboratory reactor (LSLR) for the catalytic pyrolysis of mixed plastic waste. A waste stream simulating municipal collection, consisting of polyethylene (PE), polypropylene (PP), polyethylene terephthalate (PET), and polystyrene (PS), was processed using a custom Ni/γ-Al2O3 catalyst and an industrial G-0110 catalyst in a two-stage system. The large-scale reactor demonstrated high efficiency, achieving a 90% yield of valuable pyrolysis oil and waxes, a 2% yield of syngas, and an 8% yield of solid residue containing mainly carbon at operating temperatures between 400 and 453 °C. The resulting liquid and wax fractions contained a rich mixture of aliphatic and aromatic hydrocarbons (such as styrene, indene, benzoic acid, toluene, and cumene), confirming their potential as a feedstock for the chemical industry. These results establish that two-stage catalytic pyrolysis in a fluidized bed reactor is a highly effective and promising technology for upcycling mixed plastic waste into valuable resources. Full article
(This article belongs to the Special Issue Development of Catalytic Systems for Green Chemistry)
Show Figures

Figure 1

Back to TopTop