Sign in to use this feature.

Years

Between: -

Subjects

remove_circle_outline
remove_circle_outline
remove_circle_outline
remove_circle_outline
remove_circle_outline
remove_circle_outline

Journals

Article Types

Countries / Regions

Search Results (25)

Search Parameters:
Keywords = reactive dye recovery

Order results
Result details
Results per page
Select all
Export citation of selected articles as:
22 pages, 3747 KB  
Article
Recycled Polystyrene as a Sustainable Material for Hollow Fiber Membranes in Dye Filtration
by Mauricio Huhn-Ibarra, Libia Madai Itza-Uitzil, Marcial Yam-Cervantes, Abigail González-Díaz, Fernando José Zapata-Catzin, Javier Ivan Cauich-Cupul, Manuel Aguilar-Vega and Maria Ortencia González-Díaz
Membranes 2025, 15(10), 285; https://doi.org/10.3390/membranes15100285 - 23 Sep 2025
Viewed by 1374
Abstract
Expanded polystyrene (EPS) waste was chemically modified by sulfonation to obtain sulfonated EPS (sEPS), which was subsequently blended with virgin polyphenylsulfone (PPSU) at concentrations ranging from 10 to 50% to elaborate hollow fiber membranes for dye removal. The membranes were elaborated by non-solvent-induced [...] Read more.
Expanded polystyrene (EPS) waste was chemically modified by sulfonation to obtain sulfonated EPS (sEPS), which was subsequently blended with virgin polyphenylsulfone (PPSU) at concentrations ranging from 10 to 50% to elaborate hollow fiber membranes for dye removal. The membranes were elaborated by non-solvent-induced phase separation and characterized by scanning electron microscopy, mechanical properties, antifouling, water flux measurements, and dye rejection performance. Scanning electron microscopy images of PPSU/sEPS blends showed well-defined membrane cross-sections with no polymer segregation up to 30% recycled EPS content, indicating improved compatibility due to EPS sulfonation. The HFMs present mean pore radii ranging from 4.2 ± 0.5 to 11.1 ± 1.0 nm with porosity up to 80%. Water flux improved significantly from 3.1 to 21.2 L m−2 h−1 at 2 bar as sEPS content increased. Dye rejection performance was promising, with Reactive Black 5 rejection ranging from 77% to 99%. The 80/20s PPSU/sEPS membrane showed the highest Reactive Black 5 rejection at 98.3% and revealed a 70.3% rejection in a 24 h dye mixture test. Furthermore, the 70/30s displayed superior anti-fouling properties, achieving a 99.3% flux recovery ratio in a xanthan gum solution at 2 bar. This study demonstrates a novel approach to transform EPS waste into high-performance hollow fiber membrane with competitive antifouling and dye separation properties. Full article
Show Figures

Figure 1

27 pages, 2654 KB  
Review
Bioactive Compound-Fortified Nanomedicine in the Modulation of Reactive Oxygen Species and Enhancement of the Wound Healing Process: A Review
by Popat Mohite, Abhijeet Puri, Shubham Munde, Nitin Ade, Aarati Budar, Anil Kumar Singh, Deepanjan Datta, Supachoke Mangmool, Sudarshan Singh and Chuda Chittasupho
Pharmaceutics 2025, 17(7), 855; https://doi.org/10.3390/pharmaceutics17070855 - 30 Jun 2025
Cited by 3 | Viewed by 2101
Abstract
Wound healing is a complex biological process that involves the regulation of reactive oxygen species (ROS), which play a critical role in cellular signaling and tissue repair. While the dual nature of ROS means that maintaining controlled levels is essential for effective wound [...] Read more.
Wound healing is a complex biological process that involves the regulation of reactive oxygen species (ROS), which play a critical role in cellular signaling and tissue repair. While the dual nature of ROS means that maintaining controlled levels is essential for effective wound healing, excessive ROS production can hinder the recovery process. Bioactive compounds represent promising therapeutic candidates enriched with polyphenols, which are known for their high therapeutic properties and minimal adverse effects, and are thus highlighted as promising therapeutic candidates for wound healing due to their antioxidant properties. However, their clinical application is often limited due to challenges such as poor solubility and low bioavailability. To overcome this, the encapsulation of these compounds into nanocarriers has been proposed, which enhances their stability, facilitates targeted delivery, and allows for controlled release. The present review highlights emerging innovations in nanomedicine-based drug delivery of natural antioxidants for precise modulation of ROS in wound healing. Moreover, the review elaborates briefly on various in vitro and in vivo studies that assessed the ROS levels using different fluorescent dyes. By modulating ROS levels and improving the local microenvironment at wound sites, these bioactive-nanomedicine formulations can significantly accelerate the healing process of wounds. The review concludes by advocating for further research into optimizing these nano-formulations to maximize their potential in clinical settings, thereby improving therapeutic strategies for wound care and regeneration. Full article
(This article belongs to the Special Issue Biomaterials: Pharmaceutical Applications)
Show Figures

Graphical abstract

15 pages, 4724 KB  
Article
Absorption of FD-150 in Brain Endothelial Cells by Cold Atmospheric Microplasma
by Md Jahangir Alam, Abubakar Hamza Sadiq, Jaroslav Kristof, Mahedi Hasan, Farhana Begum, Yamano Tomoki and Kazuo Shimizu
Plasma 2025, 8(2), 19; https://doi.org/10.3390/plasma8020019 - 12 May 2025
Cited by 1 | Viewed by 1485
Abstract
The blood–brain barrier (BBB) limits drug delivery to the brain, particularly for large or hydrophilic molecules. Brain microvascular endothelial cells (bEND.3), which form part of the BBB, play a critical role in regulating drug uptake. This study investigates the use of cold atmospheric [...] Read more.
The blood–brain barrier (BBB) limits drug delivery to the brain, particularly for large or hydrophilic molecules. Brain microvascular endothelial cells (bEND.3), which form part of the BBB, play a critical role in regulating drug uptake. This study investigates the use of cold atmospheric microplasma (CAM) to enhance membrane permeability and facilitate drug delivery in bEND.3 cells. CAM generates reactive oxygen species (ROS) that modulate membrane properties. We exposed bEND.3 cells to CAM at varying voltages (3, 3.5, 4, and 4.5 kV) and measured drug uptake using the fluorescent drug FD-150, fluorescence intensity, ROS levels, membrane lipid order, and membrane potential. The results showed a significant increase in fluorescence intensity and drug concentration in the plasma-treated cells compared to controls. ROS production, measured by DCFH-DA staining, was higher in the plasma-treated cells, supporting the hypothesis that CAM enhances membrane permeability through ROS-induced changes. Membrane lipid order, assessed using the LipiORDER probe, shifted from the liquid-ordered (Lo) to liquid-disordered (Ld) phase, indicating increased membrane fluidity. Membrane depolarization was detected with DisBAC2(3) dye, showing increased fluorescence in the plasma-treated cells. Cell viability, assessed by trypan blue and LIVE/DEAD™ assays, revealed transient damage at higher voltages (≥4 kV), with recovery after 24 h. These results suggest that CAM enhances drug delivery in bEND.3 cells by modulating membrane properties via ROS production and changes in membrane potential. CAM offers a promising strategy for improving drug delivery to the brain, with potential applications in brain-targeted therapies. Full article
(This article belongs to the Special Issue Feature Papers in Plasma Sciences 2025)
Show Figures

Graphical abstract

22 pages, 8618 KB  
Article
Suitability of Electrodialysis with Monovalent Selective Anion-Exchange Membranes for Fractionation of Aqueous Mixture Containing Reactive Dye and Mineral Salt
by Katarzyna Majewska-Nowak, Arif Eftekhar Ahmed, Martyna Grzegorzek and Karolina Baraniec
Membranes 2025, 15(3), 85; https://doi.org/10.3390/membranes15030085 - 7 Mar 2025
Cited by 2 | Viewed by 2090
Abstract
To fulfil the goals of the circular economy, the treatment of textile wastewater should be focused on the recovery of valuable components. Monovalent anion-selective electrodialysis (MASED) was applied for the separation of reactive dyes from mineral salts. Standard cation-exchange membranes (CM membranes) and [...] Read more.
To fulfil the goals of the circular economy, the treatment of textile wastewater should be focused on the recovery of valuable components. Monovalent anion-selective electrodialysis (MASED) was applied for the separation of reactive dyes from mineral salts. Standard cation-exchange membranes (CM membranes) and monovalent selective anion-exchange membranes (MVA membranes) were used in the electrodialysis (ED) stack. The separation efficiency was evaluated for model solutions of various reactive dyes (varying in molecular weight and chemical reactivity) containing NaCl. In the course of MASED, the mineral salt was successfully removed from the dye solutions with an efficacy of 97.4–99.4%, irrespectively of the composition of the treated solution. The transport of dye molecules through the ion-exchange membranes (IEMs) from diluate to concentrate compartments was irrelevant. Nonetheless, a significant adsorption of dye particles on the membranes was observed. Around 11–40% of the initial dye mass was deposited in the ED stack. Dye adsorption intensity was significantly affected by dye reactivity. This study showed the potential of the MASED process for the separation of the reactive dye from the mineral salt on condition that antifouling membrane properties are improved. The obtained streams (the concentrate rich in mineral salt and the diluate containing the reactive dye) can be reused in the dye-house textile operations; however, some loss of dye mass should be included. Full article
(This article belongs to the Special Issue Research on Electrodialytic Processes)
Show Figures

Figure 1

24 pages, 7646 KB  
Article
A Magnetic Photocatalytic Composite Derived from Waste Rice Noodle and Red Mud
by Qing Liu, Wanying Ying, Hailing Gou, Minghui Li, Ke Huang, Renyuan Xu, Guanzhi Ding, Pengyu Wang and Shuoping Chen
Nanomaterials 2025, 15(1), 51; https://doi.org/10.3390/nano15010051 - 31 Dec 2024
Cited by 4 | Viewed by 1581
Abstract
This study is the first to convert two waste materials, waste rice noodles (WRN) and red mud (RM), into a low-cost, high-value magnetic photocatalytic composite. WRN was processed via a hydrothermal method to produce a solution containing carbon quantum dots (CQDs). Simultaneously, RM [...] Read more.
This study is the first to convert two waste materials, waste rice noodles (WRN) and red mud (RM), into a low-cost, high-value magnetic photocatalytic composite. WRN was processed via a hydrothermal method to produce a solution containing carbon quantum dots (CQDs). Simultaneously, RM was dissolved in acid to form a Fe3+ ion-rich solution, which was subsequently mixed with the CQDs solution and underwent hydrothermal treatment. During this process, the Fe3+ ions in RM were transformed into the maghemite (γ-Fe2O3) phase, while CQDs were incorporated onto the γ-Fe2O3 surface, resulting in the CQDs/γ-Fe2O3 magnetic photocatalytic composite. Experimental results demonstrated that the WRN-derived CQDs not only facilitated the formation of the magnetic γ-Fe2O3 phase but also promoted a synergistic interaction between CQDs and γ-Fe2O3, enhancing electron-hole pair separation and boosting the production of reactive radicals such as O2·− and ·OH. Under optimized conditions (pH = 8, carbon loading: 10 wt%), the CQDs/γ-Fe2O3 composite exhibited good photocatalytic performance against methylene blue, achieving a 97.6% degradation rate within 480 min and a degradation rate constant of 5.99 × 10−3 min−1, significantly outperforming RM and commercial γ-Fe2O3 powder. Beyond methylene blue, this composite also effectively degraded common organic dyes, including malachite green, methyl violet, basic fuchsin, and rhodamine B, with particularly high efficiency against malachite green, reaching a degradation rate constant of 5.465 × 10−2 min−1. Additionally, due to its soft magnetic properties (saturation magnetization intensity: 16.7 emu/g, residual magnetization intensity: 2.2 emu/g), the material could be conveniently recovered and reused after photocatalytic cycles. Even after 10 cycles, it retained over 98% recovery and 96% photocatalytic degradation efficiency, underscoring its potential for cost-effective, large-scale photocatalytic water purification. Full article
(This article belongs to the Special Issue Novel Carbon-Based Nanomaterials as Green Catalysts)
Show Figures

Figure 1

13 pages, 1960 KB  
Article
Asymmetric Membranes Obtained from Sulfonated HIPS Waste with Potential Application in Wastewater Treatment
by Marcial Alfredo Yam-Cervantes, Rita Sulub-Sulub, Mauricio Hunh-Ibarra, Santiago Duarte, Erik Uc-Fernandez, Daniel Pérez-Canales, Manuel Aguilar-Vega and Maria Ortencia González-Díaz
Membranes 2024, 14(12), 247; https://doi.org/10.3390/membranes14120247 - 22 Nov 2024
Cited by 2 | Viewed by 1735
Abstract
The recovery and reuse of high-impact polystyrene (HIPS) into high-value products is crucial for reducing environmental thermoplastics waste and promoting sustainable materials for various applications. In this study, asymmetric membranes obtained from sulfonated HIPS waste were used for salt and dye removals. The [...] Read more.
The recovery and reuse of high-impact polystyrene (HIPS) into high-value products is crucial for reducing environmental thermoplastics waste and promoting sustainable materials for various applications. In this study, asymmetric membranes obtained from sulfonated HIPS waste were used for salt and dye removals. The incorporation of sulfonic acid (-SO3H) groups into HIPS waste by direct chemical sulfonation with chlorosulfonic acid (CSA), at two different concentrations, was investigated to impart antifouling properties in membranes for water treatment. Asymmetric membranes from recycled HIPS, R-HIPS, R-HIPS-3, and R-HIPS-5 with 3 and 5% sulfonation degrees, respectively. Sulfonated HIPS shows a decrease in water contact angle (WCA) from 83.8° for recycled R-HIPS to 66.1° for R-HIPS-5, respectively. A WCA decrease leads to an increase in antifouling properties for R-HIPS-5, compared to non-sulfonated R-HIPS, which leads to a higher flux recovery ratio (FRR) and enhanced separation properties for sulfonated membranes. The HIPS-5 membrane exhibited the highest rejection rates for Reactive Black 5 dye (94%) and divalent salts (72% for MgSO4 and 67% for Na2SO4). The performance of the recycled HIPS asymmetric membranes is well correlated with porosity, water uptake, and the higher negative charge from the sulfonic acid groups present, which enhance the electrostatic repulsions of salts and dyes. Full article
(This article belongs to the Special Issue Recent Advances in Polymeric Membranes—Preparation and Applications)
Show Figures

Figure 1

18 pages, 2411 KB  
Article
Heterogeneous Photo-Fenton Degradation of Azo Dyes over a Magnetite-Based Catalyst: Kinetic and Thermodynamic Studies
by Jackson Anderson S. Ribeiro, Júlia F. Alves, Bruno César B. Salgado, Alcineia C. Oliveira, Rinaldo S. Araújo and Enrique Rodríguez-Castellón
Catalysts 2024, 14(9), 591; https://doi.org/10.3390/catal14090591 - 3 Sep 2024
Cited by 6 | Viewed by 2172
Abstract
Textile wastewater containing dyes poses significant environmental hazards. Advanced oxidative processes, especially the heterogeneous photo-Fenton process, are effective in degrading a wide range of contaminants due to high conversion rates and ease of catalyst recovery. This study evaluates the heterogeneous photodegradation of the [...] Read more.
Textile wastewater containing dyes poses significant environmental hazards. Advanced oxidative processes, especially the heterogeneous photo-Fenton process, are effective in degrading a wide range of contaminants due to high conversion rates and ease of catalyst recovery. This study evaluates the heterogeneous photodegradation of the azo dyes Acid Red 18 (AR18), Acid Red 66 (AR66), and Orange 2 (OR2) using magnetite as a catalyst. The magnetic catalyst was synthesized via a hydrothermal process at 150 °C. Experiments were conducted at room temperature, investigating the effect of catalyst dosage, pH, and initial concentrations of H2O2 and AR18 dye. Kinetic and thermodynamic studies were performed at 25, 40, and 60 °C for the three azo dyes (AR18, AR66, and OR2) and the effect of the dye structures on the degradation efficiency was investigated. At 25 °C for 0.33 mmolL−1 of dye at pH 3.0, using 1.4 gL−1 of the catalyst and 60 mgL−1 of H2O2 under UV radiation of 16.7 mWcm−2, the catalyst showed 62.3% degradation for AR18, 79.6% for AR66, and 83.8% for OR2 in 180 min of reaction. The oxidation of azo dyes under these conditions is spontaneous and endothermic. The pseudo-first-order kinetic constants indicated a strong temperature dependence with an order of reactivity of the type OR2 > AR66 > AR18, which is associated with the molecular size, steric hindrance, aromatic conjugation, electrostatic repulsion, and nature of the acid–base interactions on the catalytic surface. Full article
(This article belongs to the Special Issue Novel Nanocatalysts for Sustainable and Green Chemistry)
Show Figures

Graphical abstract

13 pages, 10666 KB  
Article
Efficient Photocatalytic Degradation of Triclosan and Methylene Blue by Synthesized Ag-Loaded ZnO under UV Light
by Myriam Chems, Lázaro Adrián González-Fernández, Manuel Sanchez Polo, Abdellah Anouar and Ventura Castillo Ramos
Separations 2024, 11(8), 221; https://doi.org/10.3390/separations11080221 - 23 Jul 2024
Cited by 2 | Viewed by 2076
Abstract
Industrial discharge of hazardous organic and synthetic chemicals, such as antibacterials and dyes, poses severe risks to human health and the environment. This study was conducted to address the urgent need for efficient and stable zinc-oxide-based photocatalysts to degrade such pollutants. A novel [...] Read more.
Industrial discharge of hazardous organic and synthetic chemicals, such as antibacterials and dyes, poses severe risks to human health and the environment. This study was conducted to address the urgent need for efficient and stable zinc-oxide-based photocatalysts to degrade such pollutants. A novel approach to synthesizing silver-loaded zinc oxide (Ag@Z) catalysts was introduced by using a simple and efficient combination of hydrothermal and precipitation methods. Comprehensive characterization of Ag@Z photocatalysts was performed using XRD, XPS, Raman, UV–vis adsorption, FTIR, and SEM, revealing an enhancement of structural, optical, and morphological properties in comparison to pure zinc oxide. Notably, the 5%Ag@Z catalyst exhibited the highest degradation efficiency among the other synthesized catalysts under UV-C light irradiation, and enhanced the degradation rate of pure zinc oxide (Z) by 1.14 and 1.64 times, for Triclosan (TCS) and Methylene Blue (MB), respectively. the effect of catalyst dose and initial concentration was studied. A mechanism of degradation was proposed after investigating the effect of major reactive species. The 5%Ag@Z catalyst increased the photostability, which is a major problem of zinc oxide due to photocorrosion after reusability. We found that 50% and 74% of energy consumption for the photocatalytic degradation of TCS and MB by 5%Ag@Z, respectively, was saved in compassion with zinc oxide. The remarkable photocatalytic performance and the good recovery rate of Ag@Z photocatalysts demonstrate their high potential for photocatalytic degradation of organic contaminants in water. Full article
Show Figures

Figure 1

21 pages, 5300 KB  
Article
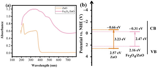
Facile Preparation of Magnetically Separable Fe3O4/ZnO Nanocomposite with Enhanced Photocatalytic Activity for Degradation of Rhodamine B
by Li Qi, Siyu Wang, Yun Liu, Peng Zhao, Jing Tian, Baolin Zhu, Shoumin Zhang, Wenqi Xie and Huanhuan Yu
Nanomaterials 2024, 14(11), 926; https://doi.org/10.3390/nano14110926 - 24 May 2024
Cited by 11 | Viewed by 2589
Abstract
Magnetic separation of photocatalysts holds great promise for water treatment. A magnetic separation method has a positive effect on the recovery of catalysts after degradation. In this paper, an efficient and reusable catalytic system is developed based on coating magnetic Fe3O [...] Read more.
Magnetic separation of photocatalysts holds great promise for water treatment. A magnetic separation method has a positive effect on the recovery of catalysts after degradation. In this paper, an efficient and reusable catalytic system is developed based on coating magnetic Fe3O4 by depositing Fe2+ on the surface of ZnO. The Fe3O4/ZnO nanocomposite exhibits enhanced performance for organic pollutant degradation. The Fe3O4/ZnO system demonstrates a high photocatalytic activity of 100% degradation efficiency in Rhodamine B (RhB) degradation under UV light irradiation for 50 min. The excellent photocatalytic activity is primarily due to the separation of photogenerated electron-hole pairs being facilitated by the strong interaction between Fe3O4 and ZnO. The induction of the magnetic Fe3O4 endows the Fe3O4/ZnO composite with superior magnetic separation capability from water. Experiments with different radical scavengers revealed that the hydroxyl radical (·OH) is the key reactive radical for the effective degradation of RhB. This work innovatively affords a common interfacial dopant deposition strategy for catalytic application in the degradation of organic dye pollutants and catalyst separation from wastewater efficiently. Full article
(This article belongs to the Section Nanocomposite Materials)
Show Figures

Figure 1

14 pages, 4197 KB  
Article
Bioactive Lyocell Fibers with Inherent Antibacterial, Antiviral and Antifungal Properties
by Frank Wendler, Thomas Schulze, Janine Bauer and Benjamin Redlingshöfer
Molecules 2024, 29(9), 2054; https://doi.org/10.3390/molecules29092054 - 29 Apr 2024
Cited by 3 | Viewed by 2221
Abstract
Functional Lyocell fibers gain interest in garments and technical textiles, especially when equipped with inherently bioactive features. In this study, Lyocell fibers are modified with an ion exchange resin and subsequently loaded with copper (Cu) ions. The modified Lyocell process enables high amounts [...] Read more.
Functional Lyocell fibers gain interest in garments and technical textiles, especially when equipped with inherently bioactive features. In this study, Lyocell fibers are modified with an ion exchange resin and subsequently loaded with copper (Cu) ions. The modified Lyocell process enables high amounts of the resin additive (>10%) through intensive dispersion and subsequently, high uptake of 2.7% Cu throughout the whole cross-section of the fiber. Fixation by Na2CO3 increases the washing and dyeing resistance considerably. Cu content after dyeing compared to the original fiber value amounts to approx. 65% for reactive, 75% for direct, and 77% for HT dyeing, respectively. Even after 50 household washes, a recovery of 43% for reactive, 47% for direct and 26% for HT dyeing is proved. XRD measurements reveal ionic bonding of Cu fixation inside the cellulose/ion exchange resin composite. A combination of the fixation process with a change in Cu valence state by glucose/NaOH leads to the formation of Cu2O crystallites, which is proved by XRD. Cu fiber shows a strong antibacterial effect against Staphylococcus aureus and Klebsiella pneumonia bacteria, even after 50 household washing cycles of both >5 log CFU. In nonwoven blends with a share of only 6% Cu fiber, a strong antimicrobial (CFU > log 5) and full antiviral effectiveness (>log 4) was received even after 50 washing cycles. Time-dependent measurements already show strong antiviral behavior after 30 s. Further, the fibers show an increased die off of the fungal isolate Candida auris with CFU log 4.4, and nonwovens made from 6% Cu fiber share a CFU log of 1.7. Findings of the study predestines the fiber for advanced textile processing and applications in areas with high germ loads. Full article
(This article belongs to the Special Issue Biopolymers and Biohybrids for Human Health)
Show Figures

Graphical abstract

16 pages, 2930 KB  
Article
Feasibility of Forward Osmosis to Recover Textile Dyes Using Single Salts and Multicomponent Draw Solutions
by Magdalena Cifuentes-Cabezas, Laura García-Suarez, José Luis Soler-Cabezas, Beatriz Cuartas-Uribe, Silvia Álvarez-Blanco, José Antonio Mendoza-Roca and María-Cinta Vincent-Vela
Membranes 2023, 13(12), 911; https://doi.org/10.3390/membranes13120911 - 18 Dec 2023
Cited by 7 | Viewed by 3364
Abstract
The textile industry generates large volumes of water characterized mainly by an intense color coming from dyes that are difficult to process due to their synthetic base and the presence of aromatic components. Due to the stricter regulation on the discharge of these [...] Read more.
The textile industry generates large volumes of water characterized mainly by an intense color coming from dyes that are difficult to process due to their synthetic base and the presence of aromatic components. Due to the stricter regulation on the discharge of these effluents, in order to reduce dye waste before discharge into natural channels, alternatives are being sought to manage this wastewater. In this work, the concentration of dyes in simulated wastewater from the textile industry was studied by forward osmosis (with a cellulose triacetate CTA membrane), with the aim of concentrating the dye for its future recovery and reincorporation into the production process. Two dyes of different nature were evaluated to study the efficiency of the proposed process, using NaCl and reverse osmosis brine from a model seawater desalination solution as extraction solutions. It was observed that dye type (reactive or direct) and their charge influence the color rejection with the forward osmosis membrane used. It was able to concentrate the dyes in the feed solution up to approximately 55% with the reverse osmosis brine from the model seawater desalination solution. Finally, the results demonstrate that the FO process is a promising option for concentrating dyes present in wastewater from the textile industry in order to reuse them in the dyeing process. Full article
(This article belongs to the Section Membrane Processing and Engineering)
Show Figures

Graphical abstract

13 pages, 2572 KB  
Article
Improved Laccase Encapsulation in Copper-Doped Zeolitic Imidazolate Framework-8 for Reactive Black 5 Decolorization
by Shuyu Yu, Yibo Lu, Dandan Du, Rankun Wu, Xiang Ji and Hao Li
Processes 2023, 11(10), 2937; https://doi.org/10.3390/pr11102937 - 10 Oct 2023
Cited by 2 | Viewed by 2190
Abstract
As the largest group of synthetic dyes, azo dyes can pose various health and environmental risks due to their widespread use and challenging degradation. Laccases are efficient green biocatalysts for the degradation of organic pollutants. Herein, we report the in situ packaging of [...] Read more.
As the largest group of synthetic dyes, azo dyes can pose various health and environmental risks due to their widespread use and challenging degradation. Laccases are efficient green biocatalysts for the degradation of organic pollutants. Herein, we report the in situ packaging of laccase in copper-doped zeolitic imidazolate framework-8 (ZIF-8) for the decolorization of reactive black 5, which is a model azo dye. The immobilization support (Cu5/mZIF-8) was obtained via lowering the precursor ratio of ZIF-8 and incorporating copper ions during the synthesis process. Cu5/mZIF-8 were found to be nanospheres with an average diameter of around 150 nm. Laccase encapsulated in Cu5/mZIF-8 showed an activity recovery of 75.6%, which was 2.2 times higher than that of the laccase embedded in ZIF-8. Meanwhile, the immobilized laccase (Lac@Cu5/mZIF-8) showed a higher catalytic activity in organic solvents than that of the free enzyme. In the presence of a mediator, Lac@Cu5/mZIF-8 could remove 95.7% of reactive black 5 in 40 min. After four consecutive cycles, the dye decolorization efficiency declined to 28%. About four transformation products of reactive black 5 were identified via LC-MS analysis, and the potential decolorization mechanism was proposed. The results indicated that the immobilized laccase could be used as an efficient biocatalyst in dye decolorization. Full article
Show Figures

Figure 1

17 pages, 6468 KB  
Article
Acetylcellulose Recovery from Waste Residual for Attenuating Reactive Dye from Aquaculture Waste as a Fascinating Synergistic Ecology Effect
by Hossam A. Nabwey, Maha A. Tony and Manasik M. Nour
Processes 2023, 11(9), 2701; https://doi.org/10.3390/pr11092701 - 9 Sep 2023
Cited by 3 | Viewed by 1266
Abstract
Waste valorization is attracting not only the scientific world but also the world. Acetylcellulose wastes from cigarette filter residuals are signified as the largest global impact of solid waste. Acetylcellulose recycling for desired products is a promising way for environmental management. In this [...] Read more.
Waste valorization is attracting not only the scientific world but also the world. Acetylcellulose wastes from cigarette filter residuals are signified as the largest global impact of solid waste. Acetylcellulose recycling for desired products is a promising way for environmental management. In this regard, the current investigation is dealing with the immersion of residual filters sequentially into aqueous solutions of alkali and ethanol before water washing, which converts them into a superhydrophobic acetylcellulose adsorbent material. The morphology and characteristics of the acetylcellulose fiber were characterized using a Scanning Electron Microscope (SEM) and Fourier-Transform infrared spectroscopy (FTIR). The adsorption tendency was checked for Levafix Blue dye compromised in an aqueous stream as a model textile polluted effluent. The experimental results exposed that the acetylcellulose fiber displayed a sensible textile dye elimination from the dying stream. Langmuir isotherm is well fitting the adsorption matrix and the reaction follows the 1st-order kinetic model. The so-obtained acetylcellulose fiber showed tremendous efficiency for dye removal from aqueous effluent. The attained maximum monolayer adsorption capacity was recorded as 4.8 mg/g at pH 3.0 and an adsorbent dose of 1 g/L through the isotherm time of 2 h. Also, temperature elevation could increase the adsorption capacity to 5.7 mg/g. Due to this excellent affinity to adsorb dye at an economic wise rate is shown as a promising candidate for textile dye elimination form aqueous effluent. Full article
(This article belongs to the Special Issue Adsorption and Photocatalysis for Wastewater Treatment)
Show Figures

Figure 1

18 pages, 4858 KB  
Article
Dyeing with Hydrotalcite Hybrid Nanoclays and Disperse, Basic and Direct Dyes
by Daniel López-Rodríguez, Jorge Jordán-Núñez, Jaime Gisbert-Paya, Pablo Díaz-García and Eva Bou-Belda
Int. J. Mol. Sci. 2023, 24(1), 808; https://doi.org/10.3390/ijms24010808 - 3 Jan 2023
Cited by 4 | Viewed by 3301
Abstract
Textile effluents are among the most polluting industrial effluents in the world. Textile finishing processes, especially dyeing, discharge large quantities of waste that is difficult to treat, such as dyes. By recovering this material from the water, in addition to cleaning and the [...] Read more.
Textile effluents are among the most polluting industrial effluents in the world. Textile finishing processes, especially dyeing, discharge large quantities of waste that is difficult to treat, such as dyes. By recovering this material from the water, in addition to cleaning and the possibility of reusing the water, there is the opportunity to reuse this waste as a raw material for dyeing different textile substrates. One of the lines of reuse is the use of hybrid nanoclays obtained from the adsorption of dyes, which allow dye baths to be made for textile substrates. This study analyses how, through the use of the nanoadsorbent hydrotalcite, dyes classified by their charge as anionic, cationic and non-ionic can be adsorbed and recovered for successful reuse in new dye baths. The obtained hybrids were characterised by X-ray diffraction and infrared spectroscopy. In addition, the colour was analysed by spectrophotometer in the UV-VIS range. The dyes made on cotton, polyester and acrylic fabrics are subjected to different colour degradation tests to assess their viability as final products, using reflection spectroscopy to measure the colour attribute before and after the tests, showing results consistent with those of a conventional dye. Full article
(This article belongs to the Special Issue Recent Advances in Nanomaterials Science)
Show Figures

Figure 1

24 pages, 8598 KB  
Article
The Optimal Concentration of Nanoclay Hydrotalcite for Recovery of Reactive and Direct Textile Colorants
by Daniel López-Rodríguez, Bàrbara Micó-Vicent, Marilés Bonet-Aracil, Francisco Cases and Eva Bou-Belda
Int. J. Mol. Sci. 2022, 23(17), 9671; https://doi.org/10.3390/ijms23179671 - 26 Aug 2022
Cited by 4 | Viewed by 2761
Abstract
Concerns about the health of the planet have grown dramatically, and the dyeing sector of the textile industry is one of the most polluting of all industries. Nanoclays can clean dyeing wastewater using their adsorption capacities. In this study, as a new finding, [...] Read more.
Concerns about the health of the planet have grown dramatically, and the dyeing sector of the textile industry is one of the most polluting of all industries. Nanoclays can clean dyeing wastewater using their adsorption capacities. In this study, as a new finding, it was possible to analyze and quantify the amount of metal ions substituted by anionic dyes when adsorbed, and to determine the optimal amount of nanoclay to be used to adsorb all the dye. The tests demonstrated the specific amount of nanoclay that must be used and how to optimize the subsequent processes of separation and processing of the nanoclay. Hydrotalcite was used as the adsorbent material. Direct dyes were used in this research. X-ray diffraction (XRD) patterns allowed the shape recovery of the hydrotalcite to be checked and confirmed the adsorption of the dyes. An FTIR analysis was used to check the presence of characteristic groups of the dyes in the resulting hybrids. The thermogravimetric (TGA) tests corroborated the dye adsorption and the thermal fastness improvement. Total solar reflectance (TSR) showed increased radiation protection for UV-VIS-NIR. Through the work carried out, it has been possible to establish the maximum adsorption point of hydrotalcite. Full article
(This article belongs to the Special Issue Recent Advances in Nanomaterials Science)
Show Figures

Graphical abstract

Back to TopTop