Sign in to use this feature.

Years

Between: -

Subjects

remove_circle_outline
remove_circle_outline
remove_circle_outline
remove_circle_outline
remove_circle_outline
remove_circle_outline
remove_circle_outline
remove_circle_outline
remove_circle_outline

Journals

remove_circle_outline
remove_circle_outline
remove_circle_outline
remove_circle_outline
remove_circle_outline
remove_circle_outline
remove_circle_outline
remove_circle_outline

Article Types

Countries / Regions

remove_circle_outline
remove_circle_outline
remove_circle_outline
remove_circle_outline

Search Results (541)

Search Parameters:
Keywords = range of motion of the knees

Order results
Result details
Results per page
Select all
Export citation of selected articles as:
20 pages, 2987 KB  
Article
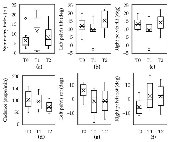
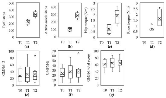
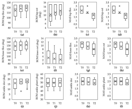
Preliminary Effects of a Robot-Based Therapy Program with Atlas-2030 in Children with Cerebral Palsy Receiving Care at a Specialized Rehabilitation Center
by Igor Salinas-Sánchez, María R. Huerta-Teutli, David Cordero-Cuevas, Guadalupe Maldonado-Guerrero and Raide A. González-Carbonell
Appl. Sci. 2025, 15(22), 12047; https://doi.org/10.3390/app152212047 - 12 Nov 2025
Abstract
Robot-based rehabilitation emerges as a promise to enhance mobility and improve the rehabilitation outcomes in children with cerebral palsy. The study aimed to evaluate the preliminary effects of a robot-based therapy program with Atlas-2030 on spatiotemporal gait parameters, pelvis kinematics, gross-motor function, quality [...] Read more.
Robot-based rehabilitation emerges as a promise to enhance mobility and improve the rehabilitation outcomes in children with cerebral palsy. The study aimed to evaluate the preliminary effects of a robot-based therapy program with Atlas-2030 on spatiotemporal gait parameters, pelvis kinematics, gross-motor function, quality of life, and joint range-of-motion in children with cerebral palsy receiving care at a specialized rehabilitation center. This is a single-arm, institution-based, quantitative, longitudinal, pilot study with repeated measures. Sixteen sessions of a robot-based therapy program with the Atlas-2030 wearable exoskeleton were applied to all the children from APAC-IAP in Mexico City with cerebral palsy. Pre-intervention, after eight and sixteen sessions, the GMFM-66, the CP QoL-Child, and gait analysis were performed. The results suggest that an Atlas-2030 robot-based therapy program combined with therapeutic stimulation exhibited better scores on the modified Ashworth scale: hip flexors and extensors: 2.0(1.0), knee flexors and extensors: 2.0(2.9), p > 0.0167, and experience enhanced range of motion in hip flexion: 122.5(5) deg, and extension: 11(5) deg and knee extension: 0(5) deg, p < 0.0167, pelvis rotation approached zero on both sides (left: −1.99(14.04, right: 2.22(13.43), p > 0.0167) reducing the difference in laterality, inducing physiological muscle activation patterns, and higher scores in quality of life regarding well-being and acceptance: 17(1.0) and emotional well-being and self-esteem: 14.5 (1.0), p > 0.0167. The limitations of this study include the following: recruitment from a single specialty care center, the absence of a control group, and the adjusted significance level of p < 0.0167, which may lead to false negatives. Full article
(This article belongs to the Special Issue Rehabilitation and Assistive Robotics: Latest Advances and Prospects)
Show Figures

Figure 1

17 pages, 693 KB  
Systematic Review
Acupuncture for Post-Operative Pain Relief and Functional Improvement in Tibial Fracture: A Systematic Review and Meta-Analysis
by Whisung Cho, Woo-Chul Shin, Hyungsuk Kim, Won-Seok Chung, Mi-Yeon Song, Yousuk Youn and Jae-Heung Cho
Healthcare 2025, 13(22), 2883; https://doi.org/10.3390/healthcare13222883 - 12 Nov 2025
Abstract
Background/Objectives: Acupuncture has been used to manage various fractures. The aim of this study is to evaluate the effectiveness of acupuncture in reducing post-operative pain and improving function after tibial fracture surgery. Methods: A systematic review and meta-analysis of randomized controlled [...] Read more.
Background/Objectives: Acupuncture has been used to manage various fractures. The aim of this study is to evaluate the effectiveness of acupuncture in reducing post-operative pain and improving function after tibial fracture surgery. Methods: A systematic review and meta-analysis of randomized controlled trials (RCTs) was conducted to evaluate acupuncture as an intervention for tibial fractures. Eight databases were searched, covering studies from inception to August 2024. Results: Sixteen RCTs with 1315 patients were analyzed. Acupuncture, when combined with conventional rehabilitation (CR) or medication, significantly improved pain (MD −1.03, 95% CI [−1.44, −0.62]), Hospital for Special Surgery (HSS) score (MD 13.21, 95% CI [9.16, 17.26]), and range of motion (ROM) of knee joint (SMD 1.80, 95% CI [0.32, 3.28]) compared to CR or medication alone. It showed significant effects on effective rate (OR 4.92, 95% CI [2.79, 8.68]; I2 = 0%) and showed a lower incidence of complications (OR 0.13, 95% CI [0.06, 0.26]). Conclusions: Acupuncture combined with CR or medication during the rehabilitation period after tibial fracture surgery can reduce pain, improve knee joint function, increase knee ROM, and decrease post-operative complications, compared to CR or medication alone. Full article
11 pages, 1327 KB  
Article
Effectiveness of Mobile Exergaming with Sensor-Based Visual Feedback as an Adjunct Therapy for Home-Based Quadriceps Exercise Training in Knee Osteoarthritis: A Prospective Randomized Controlled Trial
by Chavarat Jarungvittayakon, Paphon Sa-ngasoongsong, Danai Chockchaisakul, Jaturong Bamrungchaowkasem and Siwadol Wongsak
Life 2025, 15(11), 1738; https://doi.org/10.3390/life15111738 - 12 Nov 2025
Abstract
Background: Exergame applications were introduced recently for orthopedic rehabilitation. This study aimed to evaluate the effectiveness of a 6-week home-based quadriceps exercise with mobile exergaming for treatment of primary knee osteoarthritis (KOA). Methods: A prospective randomized controlled trial was conducted in 56 primary [...] Read more.
Background: Exergame applications were introduced recently for orthopedic rehabilitation. This study aimed to evaluate the effectiveness of a 6-week home-based quadriceps exercise with mobile exergaming for treatment of primary knee osteoarthritis (KOA). Methods: A prospective randomized controlled trial was conducted in 56 primary KOA patients. All patients were allocated into two groups (n = 28 each group). Intervention group received the 6-week mobile exergaming program using a smartphone exercise game with a wearable wireless motion sensor. Control group received a standard 6-week exercise program. Outcomes were active knee arc of motion, quadriceps muscle power, visual analog scale score, timed “Up and Go” (TUG) test, and Knee Injury and Osteoarthritis Outcome Score (KOOS) at a 6-week follow-up. Results: At 6-week post-exercise, the intervention group significantly improved quadriceps power, arc of motion, VAS score at rest and on motion, TUG test, and KOOS-symptom domain compared to the control group (p < 0.05 all). No device- or exercise-related complications were found. Conclusions: Mobile exergaming with visual feedback control using a wearable wireless sensor significantly improves KOA outcomes compared to standard home-based exercise as early as 6 weeks post-application. Full article
(This article belongs to the Special Issue Advances in Knee Biomechanics)
Show Figures

Figure 1

19 pages, 4979 KB  
Article
Pediatric Lower Limb Rehabilitation Training System with Soft Exosuit and Quantitative Partial Body Weight Support
by Dezhi Liang, Shuk-Fan Tong, Hsuan-Yu Lu, Minghao Liu, Zhen Wang, Tian Xing, Hongliu Yu and Raymond Kai-Yu Tong
Machines 2025, 13(11), 1028; https://doi.org/10.3390/machines13111028 - 7 Nov 2025
Viewed by 307
Abstract
The pediatric period is a crucial window for motor function learning and growth. Individuals with central nervous system injuries like cerebral palsy commonly display severe crouch gait in the lower limbs. Hyperflexion of the knee joints promotes the forward trunk and increases reliance [...] Read more.
The pediatric period is a crucial window for motor function learning and growth. Individuals with central nervous system injuries like cerebral palsy commonly display severe crouch gait in the lower limbs. Hyperflexion of the knee joints promotes the forward trunk and increases reliance on the handle frame of a walker for support. In this study, we developed a quantitative partial body weight training system integrated with a soft pneumatic exosuit to assist the knee extension during the stance phase of the gait cycle. In the preliminary results for five pediatric cerebral palsy subjects, compared to the baseline condition, excessive knee flexion ameliorated with the assistance of the soft pneumatic exosuit. The peak knee extension and range of motion increased by 19.72° (±3.47°) and 15.46° (±5.06°), respectively. With exosuit assistance, the subjects demonstrated improved gait retraining compared to baseline. They were able to bear significantly more body weight on their affected limb, as evidenced by a 33.3% increase in the fraction of body weight measured by the force plate. Additionally, they relied less on the handrail for support during walking. With more extended knee joints to bear the load over gravity, the pediatric subjects transferred the reliance from external support and upper limbs back to the lower limbs as a more independent status during the loading response to terminal stance. Full article
(This article belongs to the Section Robotics, Mechatronics and Intelligent Machines)
Show Figures

Figure 1

15 pages, 3437 KB  
Article
What Is the Relationship Between Ankle Dorsiflexion Range of Motion and Squat/Landing Depth? A Computer Simulation Study
by Sean P. Flanagan
Biomechanics 2025, 5(4), 86; https://doi.org/10.3390/biomechanics5040086 - 3 Nov 2025
Viewed by 441
Abstract
Background/Objectives: Decreased ankle dorsiflexion range of motion (DFROM) is thought to negatively impact lower extremity flexion patterns, which use the coordinated flexion of the hips, knees, and ankles in activities such as the eccentric phase of a squat and landing from a jump. [...] Read more.
Background/Objectives: Decreased ankle dorsiflexion range of motion (DFROM) is thought to negatively impact lower extremity flexion patterns, which use the coordinated flexion of the hips, knees, and ankles in activities such as the eccentric phase of a squat and landing from a jump. However, the results from experiments using human subjects to ascertain the relationship between DFROM and the mechanics of these flexion patterns are not clear. The purpose of this study was to elucidate the relationship between DFROM and the depth of the flexion pattern via computer simulations. Methods: The human body was represented as a planar model with four segments connected by three revolute joints. The ankle, knee, and hip angles that feasibly achieve three depths (25%, 50%, and 75% of the model’s leg length) were determined, and solutions that did not satisfy the constraints to create a realistic flexion pattern were removed. Results: There were a large number of solutions at each depth, but the number of solutions decreased with increasing depth. For a given depth, increasing DFROM required an increase in knee flexion and a decrease in hip flexion. Increasing depth required an increase in all three flexion angles. The relationships between joint angles and depth and between joint angles for a given depth were significant, but the standard errors of the estimate and the coefficients of variation were large. Conclusions: The relationship between DFROM and lower extremity flexion depth is obscured by the multiple combinations of ankle, knee, and hip angles that can achieve a particular depth and their interdependencies. Full article
(This article belongs to the Section Gait and Posture Biomechanics)
Show Figures

Figure 1

16 pages, 2580 KB  
Article
Titanium Versus Bioabsorbable Magnesium Headless Compression Screw Fixation for Tibial Tubercle Osteotomy
by Mehmet Baris Ertan, Oguzhan Uslu, Firat Dogruoz, Omer Faruk Celik and Ozkan Kose
J. Funct. Biomater. 2025, 16(11), 404; https://doi.org/10.3390/jfb16110404 - 29 Oct 2025
Viewed by 561
Abstract
Purpose: This retrospective study aimed to compare the clinical and radiological outcomes of Fulkerson tibial tubercle osteotomy (TTO) fixed with either bioabsorbable magnesium (Mg) or titanium (Ti) headless compression screws, particularly focusing on the need for implant removal. Materials and Methods: 29 patients [...] Read more.
Purpose: This retrospective study aimed to compare the clinical and radiological outcomes of Fulkerson tibial tubercle osteotomy (TTO) fixed with either bioabsorbable magnesium (Mg) or titanium (Ti) headless compression screws, particularly focusing on the need for implant removal. Materials and Methods: 29 patients (19 Ti, 10 Mg screws) who underwent TTO between 2013 and 2023 were included. The primary outcome was implant removal; secondary outcomes included Kujala and Lysholm scores, complication rates, and radiographic union. Rehabilitation protocols were standardized, but early weight-bearing was delayed in the Mg group to mitigate potential implant degradation effects. Results: Both groups demonstrated significant improvements in Kujala and Lysholm Knee scores postoperatively, with no statistically significant differences between the groups. No cases of implant removal, fixation failure, nonunion, or significant range of motion loss were observed. Radiographically, persistent remnants of Mg screws were detected even after more than five years, raising concerns about incomplete bioabsorption. The Ti screws maintained mechanical stability without evidence of loss of fixation or the need for revision. Patient satisfaction and cosmetic outcomes were similar. Conclusion: The use of bioabsorbable Mg screws in TTO did not confer additional clinical or radiological benefits compared to headless Ti screws. Given the higher cost, the incomplete resorption observed at long-term follow-up, and the absence of an implant removal requirement in either group, the routine use of Mg screws cannot be recommended. Ti headless compression screws offer a cost-effective, reliable fixation method, achieving stable osteotomy healing without the need for secondary surgery. Full article
(This article belongs to the Section Bone Biomaterials)
Show Figures

Figure 1

13 pages, 1210 KB  
Technical Note
Accuracy and Precision of Model-Based Tracking of a Dynamic Hop Landing Activity
by John D. Holtgrewe, Crystal J. Murray, Dominique A. Barnes, Braden C. Fleming and Jillian E. Beveridge
Bioengineering 2025, 12(11), 1168; https://doi.org/10.3390/bioengineering12111168 - 28 Oct 2025
Viewed by 349
Abstract
Biplane videoradiography (BVR) is the preferred 3D imaging modality for investigating the relationship between sub-millimeter knee kinematic abnormalities and posttraumatic osteoarthritis risk following anterior cruciate ligament (ACL) injury and surgery. Activity-specific BVR system geometries maximize BVR’s limited field of view which, in turn, [...] Read more.
Biplane videoradiography (BVR) is the preferred 3D imaging modality for investigating the relationship between sub-millimeter knee kinematic abnormalities and posttraumatic osteoarthritis risk following anterior cruciate ligament (ACL) injury and surgery. Activity-specific BVR system geometries maximize BVR’s limited field of view which, in turn, influences downstream accuracy. The present work aimed to quantify the accuracy, bias, and precision of the reconstructed 3D tibiofemoral kinematics within a BVR system configured to capture the landing phase of a one-leg hop-for-distance activity. Radio-opaque beads were implanted into the femurs and tibiae of three cadaveric knees to provide the gold-standard kinematics. The specimens were moved through the BVR field of view simulating hop and drop landing motions such that the motion trajectories could better approximate dynamic in vivo velocities. The motions were tracked using both marker- and model-based methods. The mean absolute difference in kinematics between the two tracking methods was used to describe accuracy. Bland–Altman tests were used to quantify bias and precision. Kinematic accuracy ranged from 0.30 to 0.39° for rotations and from 0.34 to 0.50 mm for translations. The magnitudes of absolute difference, bias, and precision were similar regardless of the amount of soft tissue present or velocity of the simulated movement. Our results indicate that our approach for capturing BVR-derived kinematics for a one-leg hop-for-distance is sufficiently accurate to capture the magnitude of differences we expect to observe in a clinical population of ACL-reconstructed patients at long-term follow-up and will be useful to other investigators who may wish to record the hop-for-distance activity using the system geometry and image capture settings described here. Full article
(This article belongs to the Section Biomechanics and Sports Medicine)
Show Figures

Figure 1

10 pages, 1871 KB  
Article
Modified Hofmann Articulated Spacer in the Treatment of Peri-Prosthetic Joint Infection of the Knee—Surgical Technique and Early Clinical Evaluation
by Salvatore Risitano, Simone Sanfilippo, Beatrice Limone, Stefano Artiaco, Marianna Faggiani, Marcello Capella and Alessandro Massè
J. Clin. Med. 2025, 14(21), 7605; https://doi.org/10.3390/jcm14217605 - 27 Oct 2025
Viewed by 266
Abstract
Background/Objectives: The rate of periprosthetic joint infection (PJI) is expected to increase in the next years worldwide, mainly due to increasing volume of total joint replacement, longer prosthesis lifespans, and patients with multiple comorbidities. The aim of this study is to describe [...] Read more.
Background/Objectives: The rate of periprosthetic joint infection (PJI) is expected to increase in the next years worldwide, mainly due to increasing volume of total joint replacement, longer prosthesis lifespans, and patients with multiple comorbidities. The aim of this study is to describe our personal technique, the modified Hofmann Articulated Spacer (mHAS), in which a CR femoral shield and a partially threaded cannulated screw are inserted into the liner replicating a tibial stem, and to evaluate the efficacy of the spacer as a definitive treatment option in selected patients with knee infections. Methods: A consecutive series of 132 patients were treated for orthopedic infection at the Orthopedic and Trauma Center, University of Turin, between November 2023 and May 2025. All patients included in the study had undergone knee prosthesis removal followed by the implantation of a modified Hofmann Articulated Spacer (mHAS). Functional recovery was evaluated through clinical examination, particularly knee range of motion, and patient-reported outcome measures (PROMs), including the Knee Society Score (KSS), Oxford Knee Score (OKS), and the EQ-5D-5L Visual Analogue Scale (VAS). Results: Nine patients were enrolled in the study, at a mean follow-up of 8.12 months (range: 3–13). The mean range of motion of the knee was 95 degrees (range: 80–120°, SD: 15°). The Knee Society Score (KSS) presented a mean value of 71.9 (SD: 18.11). The Oxford Knee Score (OKS) showed a mean value of 30.8 (SD: 8.5). The EuroQol-5 Dimension-5 Level Visual Analogue Scale (EQ-5D-5L VAS) scores demonstrated an excellent quality of life among the participants. Conclusions: The Modified Hofmann Articulated Spacer demonstrated good functional, qualitative outcomes and eradication rates in patients who underwent the first-stage revision TKA for PKI. This has led us to propose it as a definitive treatment option for more critical and low-demand patients and to postpone the second-stage surgery in the remaining cohort due to satisfactory spacer joint function without pain. Full article
(This article belongs to the Section Orthopedics)
Show Figures

Figure 1

19 pages, 5892 KB  
Article
The Immediate Effects of Instrument-Assisted Soft Tissue Mobilization on Pain and Function in Female Runners with Patellofemoral Pain
by Seong Chan Cho and Young Kyun Kim
Medicina 2025, 61(11), 1912; https://doi.org/10.3390/medicina61111912 - 24 Oct 2025
Viewed by 424
Abstract
Background and Objectives: Patellofemoral pain (PFP) is the most prevalent running-related injury due to underlying biomechanical factors, particularly among female runners. Although instrument-assisted soft tissue mobilization (IASTM) is a popular therapeutic technique, the optimal application site for the short-and long-term outcomes of [...] Read more.
Background and Objectives: Patellofemoral pain (PFP) is the most prevalent running-related injury due to underlying biomechanical factors, particularly among female runners. Although instrument-assisted soft tissue mobilization (IASTM) is a popular therapeutic technique, the optimal application site for the short-and long-term outcomes of PFP has not been well established. This aim of this study was to compare the immediate and short-term (1-week) effects of a single IASTM treatment applied to the hip and knee versus the knee alone on running-related pain. Range of motion (ROM), muscle strength, and functional performance were also assessed to compare change between the two treatment conditions. Materials and Methods: Twenty-eight female runners with PFP were randomly assigned to either the Hip and Knee (HK) group (n = 14) or the knee-only (K) group (n = 14). The HK group received a 7-min IASTM treatment targeting the quadriceps, patella, iliotibial band (ITB), and gluteus medius, whereas the K group received a 3-min treatment targeting the quadriceps and patella. Visual analog scale (VAS), hip adduction ROM, hip abduction/external rotation strength, and step-down test scores were measured at baseline, immediately post-intervention, and 1 week later. Results: Running-related pain significantly decreased in both groups (main effect of time, p < 0.001) from baseline (HK: 5.49 ± 2.14 [95% CI: 4.78–6.68]; K: 5.30 ± 1.45 [95% CI: 4.69–5.91]) to week 1 (HK: 1.30 ± 1.08 [95%CI: 0.69–1.90]; K: 1.57 ± 1.20 [95%CI: 0.93–2.21]). However, no significant difference was found between the groups. Significant improvement was also observed in hip adduction ROM (p < 0.001), hip abduction strength (p = 0.02), step-down pain (p < 0.001), and patellofemoral function (p < 0.001) immediately after the intervention, which was sustained at the 1-week follow-up. However, no significant difference was found between the groups. Also, hip external rotation strength showed no significant change over time or between groups (p = 0.737). Conclusions: A single IASTM session effectively reduced pain and improved function in female runners with PFP. However, the hip treatment did not show a significant additional benefit compared with knee treatment alone. IASTM can provide immediate and short-term relief of pain and functional limitations. Full article
(This article belongs to the Special Issue Sports Injuries: Prevention, Treatment and Rehabilitation)
Show Figures

Figure 1

13 pages, 1710 KB  
Article
Short-Term Outcomes After Transtibial Repair of Medial Meniscus Posterior Root Tears: A Case Series
by Dan Viorel Nistor, Samuel Piu, Diana Raluca Mihu and Romana von Mengershausen
J. Clin. Med. 2025, 14(20), 7440; https://doi.org/10.3390/jcm14207440 - 21 Oct 2025
Viewed by 564
Abstract
Background/Objectives: While arthroscopic repair is established for the treatment of medial meniscus posterior root tears (MMPRT), the relationship between physiotherapy (PT) exposure, meniscal extrusion (ME), and structural healing remains unclear. The aim of this study was to evaluate short-term functional and structural results [...] Read more.
Background/Objectives: While arthroscopic repair is established for the treatment of medial meniscus posterior root tears (MMPRT), the relationship between physiotherapy (PT) exposure, meniscal extrusion (ME), and structural healing remains unclear. The aim of this study was to evaluate short-term functional and structural results after transtibial pull-out (TPO) repair of isolated MMPRT and to explore the influence of patient age and postoperative physiotherapy volume. Methods: A retrospective single-center case series with 14 adults (64% women, age 59 years, body mass index (BMI) 31.0 kg/m2) who underwent TPO repair (April 2022–June 2024). Mean follow-up was 18.4 months. Outcomes included range of motion (ROM), pain levels using visual analog scale (VAS), International Knee Documentation Committee (IKDC), the Western Ontario Meniscal Evaluation Tool (WOMET), the 36-Item Short Form Survey (SF-36), and MRI-based ME, cartilage grade, and root-healing status. Postoperative PT volume was assessed with a self-developed, custom questionnaire. Correlations and subgroup analyses (<60 vs. ≥60 years) were performed. Results: Mean postoperative ROM was 121° and IKDC 63.4. Median PT exposure was 25.9 h, and the mean duration from symptom to repair was 215 days. MRI demonstrated complete healing in 70% of cases. A positive correlation was observed between postoperative ME and ROM (p = 0.008), while higher PT volume was associated with greater pain scores. Conclusions: TPO repair appears to be a viable treatment option for selected patients with MMPRT, showing acceptable early outcomes, even in older individuals with higher BMIs or delayed repair. Meniscal healing was frequent, although extrusion progression remained common and may influence the function. The observed links between ME, ROM, and PT-related pain highlight the need for standardized rehabilitation assessment. Larger, prospective studies are warranted to validate these exploratory findings and refine postoperative management. Full article
(This article belongs to the Special Issue Clinical Application of Knee Arthroscopy)
Show Figures

Figure 1

16 pages, 626 KB  
Article
Peroneus Longus Versus Hamstring Tendon Graft for Anterior Cruciate Ligament Reconstruction: A Retrospective Matched Comparison
by Mustafa Kursat Sari and Ozkan Kose
J. Clin. Med. 2025, 14(20), 7319; https://doi.org/10.3390/jcm14207319 - 16 Oct 2025
Viewed by 447
Abstract
Background/Objectives: This study aimed to compare clinical and functional outcomes of anterior cruciate ligament reconstruction (ACLR) using peroneus longus tendon (PLT) versus hamstring tendon (HT) autografts in matched cohorts. Materials and Methods: A retrospective matched cohort study with 1:1 nearest-neighbor matching [...] Read more.
Background/Objectives: This study aimed to compare clinical and functional outcomes of anterior cruciate ligament reconstruction (ACLR) using peroneus longus tendon (PLT) versus hamstring tendon (HT) autografts in matched cohorts. Materials and Methods: A retrospective matched cohort study with 1:1 nearest-neighbor matching without replacement on sex (exact), age (±3 years), and time to last follow-up (closest match) was performed on consecutive primary single-bundle ACLR cases. After exclusions and follow-up completion, 77 PLT patients were matched 1:1 with 82 HT patients based on age, sex, and follow-up. Outcomes included the International Knee Documentation Committee (IKDC) Subjective Knee Evaluation Form, Lysholm Knee Score, Tegner Activity Scale, Tampa Scale for Kinesiophobia, knee range of motion, manual strength testing, stability tests, limb circumferences, and the Single-Leg Hop test. Additionally, ankle-specific function in the PLT group was assessed using the AOFAS and FADI scores. Results: Graft diameter was larger with PLT (8.5 ± 0.6 mm) than with HT (8.1 ± 0.7 mm; p = 0.003). Both groups demonstrated significant improvement from the preoperative to the postoperative period on the IKDC, Lysholm, and Tegner scores (all p < 0.001). Between groups, postoperative IKDC and Lysholm scores were comparable (both p > 0.05), and Tegner scores did not differ significantly (p > 0.05). Knee flexion loss was less frequent (9.1% vs. 68.3%; p = 0.001), and knee flexion strength was higher (4.7 ± 0.5 vs. 4.0 ± 0.8; p = 0.001) in PLT. Stability tests, LSI, extension strength, and limb circumferences were similar (all p > 0.05). Saphenous nerve symptoms were less frequent with PLT (13.0% vs. 29.3%; p = 0.010). Ankle function in PLT was preserved (AOFAS 96.9 ± 7.9; FADI 97.4 ± 8.5) with mild eversion limitation in 3 patients (3.9%). Re-rupture rates were low and did not differ significantly between groups (p > 0.05). Infections occurred only after HT, yielding a between-group difference (p = 0.030). Conclusions: PLT autografts provide clinical and functional outcomes comparable to those of HT, with advantages including a larger graft diameter, better preservation of knee flexion function, fewer symptoms related to the saphenous nerve, and excellent ankle outcomes. PLT is a safe and effective alternative for primary ACLR. Full article
(This article belongs to the Section Orthopedics)
Show Figures

Figure 1

29 pages, 8202 KB  
Article
Continuous Lower-Limb Joint Angle Prediction Under Body Weight-Supported Training Using AWDF Model
by Li Jin, Liuyi Ling, Zhipeng Yu, Liyu Wei and Yiming Liu
Fractal Fract. 2025, 9(10), 655; https://doi.org/10.3390/fractalfract9100655 - 11 Oct 2025
Viewed by 554
Abstract
Exoskeleton-assisted bodyweight support training (BWST) has demonstrated enhanced neurorehabilitation outcomes in which joint motion prediction serves as the critical foundation for adaptive human–machine interactive control. However, joint angle prediction under dynamic unloading conditions remains unexplored. This study introduces an adaptive wavelet-denoising fusion (AWDF) [...] Read more.
Exoskeleton-assisted bodyweight support training (BWST) has demonstrated enhanced neurorehabilitation outcomes in which joint motion prediction serves as the critical foundation for adaptive human–machine interactive control. However, joint angle prediction under dynamic unloading conditions remains unexplored. This study introduces an adaptive wavelet-denoising fusion (AWDF) model to predict lower-limb joint angles during BWST. Utilizing a custom human-tracking bodyweight support system, time series data of surface electromyography (sEMG), and inertial measurement unit (IMU) from ten adults were collected across graded bodyweight support levels (BWSLs) ranging from 0% to 40%. Systematic comparative experiments evaluated joint angle prediction performance among five models: the sEMG-based model, kinematic fusion model, wavelet-enhanced fusion model, late fusion model, and the proposed AWDF model, tested across prediction time horizons of 30–150 ms and BWSL gradients. Experimental results demonstrate that increasing BWSLs prolonged gait cycle duration and modified muscle activation patterns, with a concomitant decrease in the fractal dimension of sEMG signals. Extended prediction time degraded joint angle estimation accuracy, with 90 ms identified as the optimal tradeoff between system latency and prediction advancement. Crucially, this study reveals an enhancement in prediction performance with increased BWSLs. The proposed AWDF model demonstrated robust cross-condition adaptability for hip and knee angle prediction, achieving average root mean square errors (RMSE) of 1.468° and 2.626°, Pearson correlation coefficients (CC) of 0.983 and 0.973, and adjusted R2 values of 0.992 and 0.986, respectively. This work establishes the first computational framework for BWSL-adaptive joint prediction, advancing human–machine interaction in exoskeleton-assisted neurorehabilitation. Full article
Show Figures

Figure 1

11 pages, 1772 KB  
Article
Mobile Versus Fixed-Bearing in Medial Unicompartmental Knee Arthroplasty: An Average 10-Year Follow-Up
by Sumin Lim, Tae Hun Kim, Do Young Park, Jung Sunwoo and Jun Young Chung
J. Clin. Med. 2025, 14(20), 7144; https://doi.org/10.3390/jcm14207144 - 10 Oct 2025
Viewed by 571
Abstract
Background: Unicompartmental knee arthroplasty (UKA) represents a well-recognized treatment option for isolated medial compartment osteoarthritis; however, the debate regarding the superiority of fixed-bearing versus mobile-bearing designs continues. We aimed to evaluate the mid- to long-term outcomes of medial UKA comparing mobile- versus fixed-bearing [...] Read more.
Background: Unicompartmental knee arthroplasty (UKA) represents a well-recognized treatment option for isolated medial compartment osteoarthritis; however, the debate regarding the superiority of fixed-bearing versus mobile-bearing designs continues. We aimed to evaluate the mid- to long-term outcomes of medial UKA comparing mobile- versus fixed-bearing designs within a single institution over an average 10-year follow-up. Methods: This retrospective study included 81 consecutive patients who underwent primary medial UKA (45 fixed-bearing and 36 mobile-bearing) with a minimum five-year follow-up. Clinical outcomes were measured using the Western Ontario and McMaster Universities Osteoarthritis Index (WOMAC) score and range of motion (ROM). Radiological measurements included hip-knee-ankle axis angle (HKA) and osteoarthritis progression. Implant survivorship was evaluated using Kaplan–Meier analysis, with failure defined as either conversion to total knee arthroplasty (TKA) or polyethylene (PE) exchange. Results: At a mean follow-up of 10.6 years, WOMAC scores, ROM, and radiological outcomes showed no statistically significant differences between the fixed-bearing and mobile-bearing groups. Significantly higher failure rates were observed in the mobile-bearing group, both when considering conversion only (p = 0.041) and when including conversion or PE exchange (p = 0.009). Survival analysis demonstrated 10-year rates of 97.8% for fixed-bearing and 88.9% for mobile-bearing with TKA conversion defined as failure (p = 0.066). Using combined failure criteria of TKA conversion or PE exchange, 10-year survival rates were 97.8% for fixed-bearing and 83.3% for mobile-bearing (p = 0.015). Conclusions: At a mean 10.6-year follow-up, clinical and radiological outcomes were comparable, but fixed-bearing UKA demonstrated superior survivorship. Full article
(This article belongs to the Special Issue Clinical Management of Knee Arthroplasty)
Show Figures

Figure 1

14 pages, 419 KB  
Article
Effects of a Standing Program for Ambulatory Children with Myelomeningocele: A Single-Subject Design
by Marianne Hanover, Elizabeth M. Ardolino and Megan B. Flores
Healthcare 2025, 13(19), 2545; https://doi.org/10.3390/healthcare13192545 - 9 Oct 2025
Viewed by 508
Abstract
Background/Objectives: Children with myelomeningocele (MMC) often experience lower extremity muscular contractures, which can impact their functional mobility. While standing programs have demonstrated benefits for children with other neuromuscular conditions, there is limited evidence on their use in ambulatory children with MMC who have [...] Read more.
Background/Objectives: Children with myelomeningocele (MMC) often experience lower extremity muscular contractures, which can impact their functional mobility. While standing programs have demonstrated benefits for children with other neuromuscular conditions, there is limited evidence on their use in ambulatory children with MMC who have joint deformities. This single-subject design study examined the impact of a home-based standing program on two ambulatory children with MMC, focusing on lower extremity muscle flexibility, functional movement quality, gait velocity, and participation in daily activities. Methods: Two children participated in a multi-phase single-subject (ABABA) withdrawal design beginning with the baseline phase and then alternating between the intervention and withdrawal phases. The intervention consisted of 60-minute standing sessions, five days a week, using a sit-to-stand stander (STSS) with support and supervision from a physical therapist (PT) and the parent. Primary outcomes included goniometric passive range of motion (PROM) and 10-Meter Walk Test (10 MWT). Secondary outcomes included the Pediatric Neuromuscular Recovery Scale (Peds NRS) and the Pediatric Evaluation of Disability Inventory Computer Adaptive Test (PEDI-CAT). Results: Improvements in hip and knee muscle flexibility were observed during the intervention phases, with some loss during the withdrawal phase. Functional movement quality improved in both children. Gait velocity and participation in daily activity scores remained stable during intervention phases. Parental feedback reflected increased independence and high engagement with the home program. One child discontinued due to a heel injury, highlighting the need for individualized support. Conclusions: Personalized standing programs may improve muscle flexibility and functional movement quality in ambulatory children with MMC. Further research is warranted to determine the optimal dosing regimen, ensure safety, and assess long-term functional outcomes. Full article
(This article belongs to the Section Chronic Care)
Show Figures

Figure 1

18 pages, 1360 KB  
Article
Mechanical Versus Restrictive Kinematic Alignment in Robotic-Assisted Total Knee Arthroplasty: A Randomized Controlled Trial
by Alexey V. Lychagin, Andrey A. Gritsyuk, Mikhail P. Elizarov, Andrey A. Gritsuk, Maxim Y. Gavlovsky, Konstantin K. Tomboidi, Eugene B. Kalinsky and Nahum Rosenberg
Diagnostics 2025, 15(19), 2524; https://doi.org/10.3390/diagnostics15192524 - 6 Oct 2025
Viewed by 1272
Abstract
Background: Lower limb malalignment is a hallmark of knee osteoarthritis, with surgical correction techniques evolving from traditional mechanical alignment (MA) to kinematic alignment (KA) approaches. Restrictive kinematic alignment (rKA) represents a hybrid strategy combining principles from both techniques. This study evaluated short-term [...] Read more.
Background: Lower limb malalignment is a hallmark of knee osteoarthritis, with surgical correction techniques evolving from traditional mechanical alignment (MA) to kinematic alignment (KA) approaches. Restrictive kinematic alignment (rKA) represents a hybrid strategy combining principles from both techniques. This study evaluated short-term functional outcomes following robotic-assisted total knee arthroplasty (RoTKA), comparing MA versus rKA alignment strategies. Methods: This prospective, randomized, single-center study enrolled 96 patients with grade 3–4 idiopathic knee osteoarthritis (Kellgren–Lawrence classification). Patients were randomized to MA (n = 49, mean age 67 ± 9 years) or rKA (n = 47, mean age 66 ± 7 years) groups. Preoperative hip–knee–ankle (HKA) angles were 172.6° ± 1.1° and 172.9° ± 0.9° for MA and rKA groups, respectively. Outcomes were assessed using Visual Analog Scale (VAS) pain scores, range of motion (ROM), Knee Society Score (KSS), Oxford Knee Score (OKS) (primary outcome), SF-36, and Forgotten Joint Score (FJS-12). Results: Postoperative HKA angles were 179.5° ± 1.2° (MA) and 176.0° ± 1.5° (rKA). At 14 days postoperatively, knee ROM increased by 20.5% in the MA group and 25.7% in the rKA group, with a statistically significant 5.2% intergroup difference, indicating faster postoperative recovery (p = 0.008). VAS pain scores decreased by 7% in the rKA group while increasing by 13% in the MA group (p < 0.001). At one-year follow-up, FJS-12 scores were significantly higher in the rKA group (94.8 ± 3.2 vs. 91.9 ± 2.2, p < 0.001). No significant differences were observed in KSS, OKS, or SF-36 score between groups. Conclusions: Restrictive kinematic alignment demonstrated superior early postoperative outcomes compared to mechanical alignment in RoTKA, with significantly reduced pain and improved ROM. While one-year functional outcomes were comparable between techniques, rKA may offer advantages in the immediate postoperative period, supporting its consideration as a viable alignment strategy in robotic-assisted knee arthroplasty. Full article
Show Figures

Figure 1

Back to TopTop