Pediatric Lower Limb Rehabilitation Training System with Soft Exosuit and Quantitative Partial Body Weight Support
Abstract
1. Introduction
2. Methods and Materials
2.1. Quantitative Partial Body Weight Support Training System
2.2. Soft Pneumatic Lower Limb Assistive Exosuit
2.3. Testing Bench
2.4. Assist-As-Torque Model
2.5. Response Time
2.6. Control Principle
3. Pilot Testing Design
3.1. Pediatric Cerebral Palsy Subjects
3.2. Experiment Procedures
4. Results
4.1. Kinematic Improvement of Knee Joints
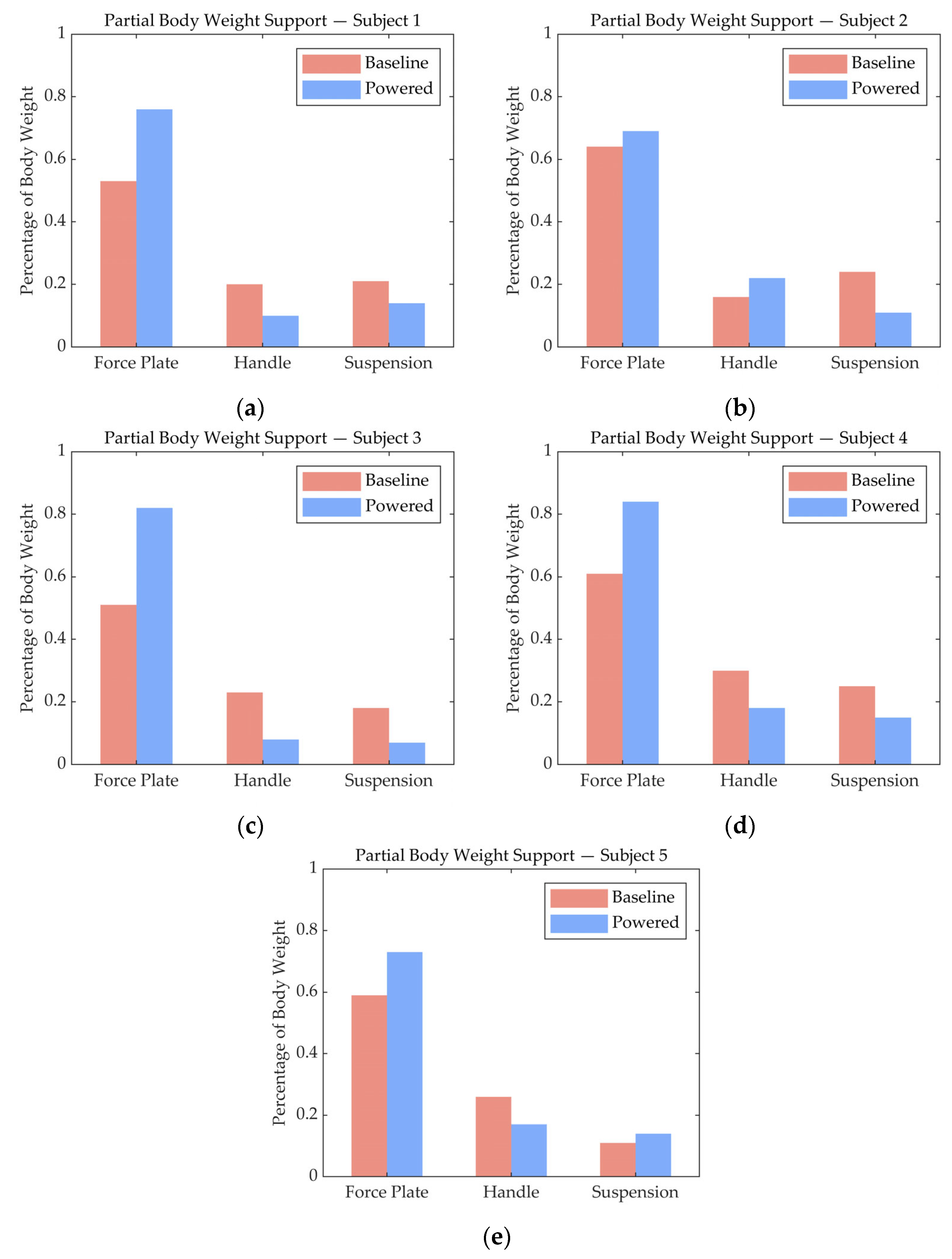
4.2. Partial Body Weight Support Analysis
5. Discussion
6. Conclusions
Author Contributions
Funding
Institutional Review Board Statement
Informed Consent Statement
Data Availability Statement
Acknowledgments
Conflicts of Interest
Abbreviations
| CP | Cerebral palsy |
| GMFCS | Gross Motor Function classification system |
| PBWS | Partial body weight support |
| ROM | Range of motion |
| FSR | Force-sensitive resistor |
References
- McIntyre, S.; Goldsmith, S.; Webb, A.; Ehlinger, V.; Hollung, S.J.; McConnell, K.; Arnaud, C.; Smithers-Sheedy, H.; Oskoui, M.; Khandaker, G.; et al. Global Prevalence of Cerebral Palsy: A Systematic Analysis. Dev. Med. Child Neurol. 2022, 64, 1494–1506. [Google Scholar] [CrossRef]
- Novak, I.; Morgan, C.; Adde, L.; Blackman, J.; Boyd, R.N.; Brunstrom-Hernandez, J.; Cioni, G.; Damiano, D.; Darrah, J.; Eliasson, A.-C.; et al. Early, Accurate Diagnosis and Early Intervention in Cerebral Palsy: Advances in Diagnosis and Treatment. JAMA Pediatr. 2017, 171, 897–907. [Google Scholar] [CrossRef] [PubMed]
- Galey, S.A.; Lerner, Z.F.; Bulea, T.C.; Zimbler, S.; Damianoa, D.L. Effectiveness of Surgical and Non-Surgical Management of Crouch Gait in Cerebral Palsy: A Systematic Review. Gait Posture 2017, 54, 93–105. [Google Scholar] [CrossRef]
- O’Sullivan, R.; Marron, A.; Brady, K. Crouch Gait or Flexed-Knee Gait in Cerebral Palsy: Is There a Difference? A Systematic Review. Gait Posture 2020, 82, 153–160. [Google Scholar] [CrossRef] [PubMed]
- Hughes, H.; Rapson, R.; Killbride, C.; Marsden, J. A Scoping Review Exploring Variables Associated with Crouch Gait in Ambulatory Children with Cerebral Palsy. Gait Posture 2025, 121, 96–97. [Google Scholar] [CrossRef]
- Mohammadyari Gharehbolagh, S.; Dussault-Picard, C.; Arvisais, D.; Dixon, P.C. Muscle Co-Contraction and Co-Activation in Cerebral Palsy during Gait: A Scoping Review. Gait Posture 2023, 105, 6–16. [Google Scholar] [CrossRef]
- Harrington, J.W.; Knarr, B.A.; Dutt, V.; Kingston, D.C. Differences in Lower Limb Co-Contraction Calculations Vary Clinical Interpretation of Aquatic Treadmill Walking in Typically Developing and Children with Cerebral Palsy. Front. Neurol. 2025, 16, 1506326. [Google Scholar] [CrossRef]
- Yun, G.; Huang, M.; Cao, J.; Hu, X. Selective Motor Control Correlates with Gross Motor Ability, Functional Balance and Gait Performance in Ambulant Children with Bilateral Spastic Cerebral Palsy. Gait Posture 2023, 99, 9–13. [Google Scholar] [CrossRef]
- Mohammed, A.H.; El-Serougy, H.R.; Karim, A.E.A.; Sakr, M.; Sheha, S.M. Correlation between Selective Motor Control of the Lower Extremities and Balance in Spastic Hemiplegic Cerebral Palsy: A Randomized Controlled Trial. BMC Sports Sci. Med. Rehabil. 2023, 15, 24. [Google Scholar] [CrossRef]
- Vuong, A.; Fowler, E.G.; Matsumoto, J.; Staudt, L.A.; Yokota, H.; Joshi, S.H. Selective Motor Control Is a Clinical Correlate of Brain Motor Tract Impairment in Children with Spastic Bilateral Cerebral Palsy. Am. J. Neuroradiol. 2021, 42, 2054–2061. [Google Scholar] [CrossRef]
- Bennett, S.; Siritaratiwat, W.; Tanrangka, N.; Bennett, M.J.; Kanpittaya, J. Effectiveness of the Manual Diaphragmatic Stretching Technique on Respiratory Function in Cerebral Palsy: A Randomised Controlled Trial. Respir. Med. 2021, 184, 106443. [Google Scholar] [CrossRef] [PubMed]
- Kruse, A.; Habersack, A.; Weide, G.; Jaspers, R.T.; Svehlik, M.; Tilp, M. Eight Weeks of Proprioceptive Neuromuscular Facilitation Stretching and Static Stretching Do Not Affect Muscle-Tendon Properties, Muscle Strength, and Joint Function in Children with Spastic Cerebral Palsy. Clin. Biomech. 2023, 107, 106011. [Google Scholar] [CrossRef]
- Leister, K.R.; Rosenberg, J.; Servais, A.; Leeds, R. Neuromuscular Contributions to Disability in Children with Cerebral Palsy and the Impact of Dynamic Stretching Orthoses and Therapeutic Exercise Interventions: A Narrative Review. Transl. Pediatr. 2024, 13, 803–813. [Google Scholar] [CrossRef]
- Miccinilli, S.; Santacaterina, F.; Della Rocca, R.; Sterzi, S.; Bressi, F.; Bravi, M. Efficacy of Lower Limb Orthoses in the Rehabilitation of Children Affected by Cerebral Palsy: A Systematic Review. Children 2024, 11, 212. [Google Scholar] [CrossRef] [PubMed]
- Multani, I.; Manji, J.; Hastings-Ison, T.; Khot, A.; Graham, K. Botulinum Toxin in the Management of Children with Cerebral Palsy. Pediatr. Drugs 2019, 21, 261–281. [Google Scholar] [CrossRef]
- Graham, H.K.; Aoki, K.R.; Autti-Rämö, I.; Boyd, R.N.; Delgado, M.R.; Gaebler-Spira, D.J.; Gormley, M.E.; Guyer, B.M.; Heinen, F.; Holton, A.F.; et al. Recommendations for the Use of Botulinum Toxin Type A in the Management of Cerebral Palsy. Gait Posture 2000, 11, 67–79. [Google Scholar] [CrossRef] [PubMed]
- Campbell, R.; Tipping, N.; Carty, C.; Walsh, J.; Johnson, L. Orthopaedic Management of Knee Joint Impairment in Cerebral Palsy: A Systematic Review and Meta-Analysis. Gait Posture 2020, 80, 347–360. [Google Scholar] [CrossRef]
- Õunpuu, S.; Muik, E.; Davis, R.B.I.; Gage, J.R.; DeLuca, P.A. Rectus Femoris Surgery in Children with Cerebral Palsy. J. Pediatr. Orthop. 1993, 13, 325–330. [Google Scholar] [CrossRef]
- Galán-Olleros, M.; Lerma-Lara, S.; Torres-Izquierdo, B.; Ramírez-Barragán, A.; Egea-Gámez, R.M.; Hosseinzadeh, P.; Martínez-Caballero, I. Does Patella Lowering as Part of Multilevel Surgery Improve Knee Kinematics in Children with Cerebral Palsy and Crouch Gait? A Meta-Analysis of Comparative Studies. J. Child. Orthop. 2024, 18, 13–25. [Google Scholar] [CrossRef]
- Huo, W.; Mohammed, S.; Moreno, J.C.; Amirat, Y. Lower Limb Wearable Robots for Assistance and Rehabilitation: A State of the Art. IEEE Syst. J. 2016, 10, 1068–1081. [Google Scholar] [CrossRef]
- Vélez-Guerrero, M.A.; Callejas-Cuervo, M.; Mazzoleni, S. Artificial Intelligence-Based Wearable Robotic Exoskeletons for Upper Limb Rehabilitation: A Review. Sensors 2021, 21, 2146. [Google Scholar] [CrossRef]
- Qiu, S.; Pei, Z.; Wang, C.; Tang, Z. Systematic Review on Wearable Lower Extremity Robotic Exoskeletons for Assisted Locomotion. J. Bionic Eng. 2023, 20, 436–469. [Google Scholar] [CrossRef]
- Orekhov, G.; Fang, Y.; Cuddeback, C.F.; Lerner, Z.F. Usability and Performance Validation of an Ultra-Lightweight and Versatile Untethered Robotic Ankle Exoskeleton. J. Neuroeng. Rehabil. 2021, 18, 163. [Google Scholar] [CrossRef]
- Tagoe, E.A.; Fang, Y.; Williams, J.R.; Stone, J.L.; Lerner, Z.F. Exoskeleton Gait Training on Real-World Terrain Improves Spatiotemporal Performance in Cerebral Palsy. Front. Bioeng. Biotechnol. 2024, 12, 1503050. [Google Scholar] [CrossRef] [PubMed]
- Hussain, S.; Ficuciello, F. Advancements in Soft Wearable Robots: A Systematic Review of Actuation Mechanisms and Physical Interfaces. IEEE Trans. Med. Robot. Bionics 2024, 6, 903–929. [Google Scholar] [CrossRef]
- Morris, L.; Diteesawat, R.S.; Rahman, N.; Turton, A.; Cramp, M.; Rossiter, J. The-State-of-the-Art of Soft Robotics to Assist Mobility: A Review of Physiotherapist and Patient Identified Limitations of Current Lower-Limb Exoskeletons and the Potential Soft-Robotic Solutions. J. Neuroeng. Rehabil. 2023, 20, 18. [Google Scholar] [CrossRef] [PubMed]
- O’Neill, C.T.; Young, H.T.; Hohimer, C.J.; Proietti, T.; Rastgaar, M.; Artemiadis, P.; Walsh, C.J. Tunable, Textile-Based Joint Impedance Module for Soft Robotic Applications. Soft Robot. 2023, 10, 937–947. [Google Scholar] [CrossRef]
- Nguyen, P.H.; Zhang, W. Design and Computational Modeling of Fabric Soft Pneumatic Actuators for Wearable Assistive Devices. Sci. Rep. 2020, 10, 9638. [Google Scholar] [CrossRef]
- Park, S.-J.; Chae, S.; Park, H.-S. The Effect of Body-Conforming Passive Wearable Device with Knee Flexion Taping on Dynamic Knee Stability. Wearable Technol. 2025, 6, e47. [Google Scholar] [CrossRef]
- Sanchez, V.; Walsh, C.J.; Wood, R.J. Textile Technology for Soft Robotic and Autonomous Garments. Adv. Funct. Mater. 2021, 31, 2008278. [Google Scholar] [CrossRef]
- Oubre, B.; Daneault, J.F.; Jung, H.T.; Whritenour, K.; Miranda, J.G.; Park, J.; Ryu, T.; Kim, Y.; Lee, S.I. Estimating Upper-Limb Impairment Level in Stroke Survivors Using Wearable Inertial Sensors and a Minimally-Burdensome Motor Task. IEEE Trans. Neural Syst. Rehabil. Eng. 2020, 28, 601–611. [Google Scholar] [CrossRef]
- Maus, E.; Reader, B.; Heathcock, J.C. Mobility Device Use in Children with Cerebral Palsy. Dev. Med. Child Neuro, 2025; early view. [Google Scholar] [CrossRef]
- Edwards, D.J.; Forrest, G.; Cortes, M.; Weightman, M.M.; Sadowsky, C.; Chang, S.-H.; Furman, K.; Bialek, A.; Prokup, S.; Carlow, J.; et al. Walking Improvement in Chronic Incomplete Spinal Cord Injury with Exoskeleton Robotic Training (WISE): A Randomized Controlled Trial. Spinal Cord. 2022, 60, 522–532. [Google Scholar] [CrossRef] [PubMed]
- Miller, D.E.; Tan, G.R.; Farina, E.M.; Sheets-Singer, A.L.; Collins, S.H. Characterizing the Relationship between Peak Assistance Torque and Metabolic Cost Reduction during Running with Ankle Exoskeletons. J. Neuroeng. Rehabil. 2022, 19, 46. [Google Scholar] [CrossRef]
- Koller, J.R.; Jacobs, D.A.; Ferris, D.P.; Remy, C.D. Learning to Walk with an Adaptive Gain Proportional Myoelectric Controller for a Robotic Ankle Exoskeleton. J. Neuroeng. Rehabil. 2015, 12, 97. [Google Scholar] [CrossRef]
- Day, S.M.; Strauss, D.J.; Vachon, P.J.; Rosenbloom, L.; Shavelle, R.M.; Wu, Y.W. Growth Patterns in a Population of Children and Adolescents with Cerebral Palsy. Dev. Med. Child Neurol. 2007, 49, 167–171. [Google Scholar] [CrossRef]
- Lerner, Z.F.; Damiano, D.L.; Bulea, T.C. Relationship between Assistive Torque and Knee Biomechanics during Exoskeleton Walking in Individuals with Crouch Gait. IEEE Int. Conf. Rehabil. Robot. 2017, 2017, 491–497. [Google Scholar] [CrossRef]
- Nesler, C.R.; Swift, T.A.; Rouse, E.J. Initial Design and Experimental Evaluation of a Pneumatic Interference Actuator. Soft Robot. 2018, 5, 138–148. [Google Scholar] [CrossRef] [PubMed]
- Kim, C.J.; Son, S.M. Comparison of Spatiotemporal Gait Parameters between Children with Normal Development and Children with Diplegic Cerebral Palsy. J. Phys. Ther. Sci. 2014, 26, 1317–1319. [Google Scholar] [CrossRef]
- Lerner, Z.F.; Damiano, D.L.; Bulea, T.C. A Lower-Extremity Exoskeleton Improves Knee Extension in Children with Crouch Gait from Cerebral Palsy. Sci. Transl. Med. 2017, 9, eaam9145. [Google Scholar] [CrossRef]
- Lerner, Z.F.; Damiano, D.L.; Bulea, T.C. The Effects of Exoskeleton Assisted Knee Extension on Lower-Extremity Gait Kinematics, Kinetics, and Muscle Activity in Children with Cerebral Palsy. Sci. Rep. 2017, 7, 13512. [Google Scholar] [CrossRef] [PubMed]
- Cumplido-Trasmonte, C.; Ramos-Rojas, J.; Delgado-Castillejo, E.; Garcés-Castellote, E.; Puyuelo-Quintana, G.; Destarac-Eguizabal, M.A.; Barquín-Santos, E.; Plaza-Flores, A.; Hernández-Melero, M.; Gutiérrez-Ayala, A.; et al. Effects of ATLAS 2030 Gait Exoskeleton on Strength and Range of Motion in Children with Spinal Muscular Atrophy II: A Case Series. J. Neuroeng. Rehabil. 2022, 19, 75. [Google Scholar] [CrossRef]
- Delgado, E.; Cumplido, C.; Ramos, J.; Garcés, E.; Puyuelo, G.; Plaza, A.; Hernández, M.; Gutiérrez, A.; Taverner, T.; Destarac, M.A.; et al. ATLAS2030 Pediatric Gait Exoskeleton: Changes on Range of Motion, Strength and Spasticity in Children with Cerebral Palsy. A Case Series Study. Front. Pediatr. 2021, 9, 753226. [Google Scholar] [CrossRef]
- Dodd, K.J.; Foley, S. Partial Body-Weight-Supported Treadmill Training Can Improve Walking in Children with Cerebral Palsy: A Clinical Controlled Trial. Dev. Med. Child. Neurol. 2007, 49, 101–105. [Google Scholar] [CrossRef] [PubMed]
- Lim, J.-H.; Kang, E.-Y.; Park, S.-J.; Kim, B.-G. Effects of Robot Rehabilitation on the Motor Function and Gait in Children with Cerebral Palsy: A Systematic Review and Meta-Analysis. J. Exerc. Rehabil. 2024, 20, 92–99. [Google Scholar] [CrossRef]
- Julien, L.; Moreau-Pernet, G.; Rochette, E.; Lemaire, J.-J.; Pontier, B.; Bourrand, S.; Pereira, B.; Chassain, C.; Sontheimer, A.; Sarret, C. Robot-Assisted Gait Training Improves Walking and Cerebral Connectivity in Children with Unilateral Cerebral Palsy. Pediatr. Res. 2024, 96, 1306–1315. [Google Scholar] [CrossRef] [PubMed]
- Wu, J.; Wu, M.; Wang, C.; Xie, G. Monolithic Programmable Fabric-Stacking Enables Multifunctional Soft Robots. IEEE Trans. Robot. 2025, 41, 4810–4828. [Google Scholar] [CrossRef]












| Title 1 | Mean ± Standard Deviation | Min–Max |
|---|---|---|
| Age (year) | 4 ± 1.1 | 2–5 |
| Body Weight (kg) | 16.38 ± 3.43 | 10.8–20.5 |
| Height (cm) | 105.06 ±13.36 | 90.2–122.3 |
| Thigh Circumference (cm) | 34.8 ± 7.47 | 25–35 |
| Shank Circumference (cm) | 26.8 ± 7.72 | 18–31.5 |
| GMFCS | 2.60 ± 0.49 | II–III |
| Exosuit Pressure (kPa) | 56 ± 8 | 40–60 |
Disclaimer/Publisher’s Note: The statements, opinions and data contained in all publications are solely those of the individual author(s) and contributor(s) and not of MDPI and/or the editor(s). MDPI and/or the editor(s) disclaim responsibility for any injury to people or property resulting from any ideas, methods, instructions or products referred to in the content. |
© 2025 by the authors. Licensee MDPI, Basel, Switzerland. This article is an open access article distributed under the terms and conditions of the Creative Commons Attribution (CC BY) license (https://creativecommons.org/licenses/by/4.0/).
Share and Cite
Liang, D.; Tong, S.-F.; Lu, H.-Y.; Liu, M.; Wang, Z.; Xing, T.; Yu, H.; Tong, R.K.-Y. Pediatric Lower Limb Rehabilitation Training System with Soft Exosuit and Quantitative Partial Body Weight Support. Machines 2025, 13, 1028. https://doi.org/10.3390/machines13111028
Liang D, Tong S-F, Lu H-Y, Liu M, Wang Z, Xing T, Yu H, Tong RK-Y. Pediatric Lower Limb Rehabilitation Training System with Soft Exosuit and Quantitative Partial Body Weight Support. Machines. 2025; 13(11):1028. https://doi.org/10.3390/machines13111028
Chicago/Turabian StyleLiang, Dezhi, Shuk-Fan Tong, Hsuan-Yu Lu, Minghao Liu, Zhen Wang, Tian Xing, Hongliu Yu, and Raymond Kai-Yu Tong. 2025. "Pediatric Lower Limb Rehabilitation Training System with Soft Exosuit and Quantitative Partial Body Weight Support" Machines 13, no. 11: 1028. https://doi.org/10.3390/machines13111028
APA StyleLiang, D., Tong, S.-F., Lu, H.-Y., Liu, M., Wang, Z., Xing, T., Yu, H., & Tong, R. K.-Y. (2025). Pediatric Lower Limb Rehabilitation Training System with Soft Exosuit and Quantitative Partial Body Weight Support. Machines, 13(11), 1028. https://doi.org/10.3390/machines13111028

