Next Article in Journal
Visualizing Driving Maneuvers Through Peripheral Displays: A Comparative Study of iHMI Design in Autonomous Vehicles
Previous Article in Journal
Neural ODE-Based Frequency Stability Assessment and Control of Energy Storage Systems
Previous Article in Special Issue
Research on Welfare Robots: A Multifunctional Assistive Robot and Human–Machine System
 
 
Font Type:
Arial Georgia Verdana
Font Size:
Aa Aa Aa
Line Spacing:
Column Width:
Background:
Article

Preliminary Effects of a Robot-Based Therapy Program with Atlas-2030 in Children with Cerebral Palsy Receiving Care at a Specialized Rehabilitation Center

by
Igor Salinas-Sánchez
1,
María R. Huerta-Teutli
2,
David Cordero-Cuevas
2,
Guadalupe Maldonado-Guerrero
2 and
Raide A. González-Carbonell
3,*
1
Department of Physical Therapy, Polytechnic University of Santa Rosa Jáuregui, Querétaro 76220, Mexico
2
Association for People with Cerebral Palsy, Mexico City 06720, Mexico
3
National School of Higher Studies Juriquilla, National Autonomous University of Mexico, Querétaro 76230, Mexico
*
Author to whom correspondence should be addressed.
Appl. Sci. 2025, 15(22), 12047; https://doi.org/10.3390/app152212047
Submission received: 25 September 2025 / Revised: 25 October 2025 / Accepted: 6 November 2025 / Published: 12 November 2025
(This article belongs to the Special Issue Rehabilitation and Assistive Robotics: Latest Advances and Prospects)

Abstract

Robot-based rehabilitation emerges as a promise to enhance mobility and improve the rehabilitation outcomes in children with cerebral palsy. The study aimed to evaluate the preliminary effects of a robot-based therapy program with Atlas-2030 on spatiotemporal gait parameters, pelvis kinematics, gross-motor function, quality of life, and joint range-of-motion in children with cerebral palsy receiving care at a specialized rehabilitation center. This is a single-arm, institution-based, quantitative, longitudinal, pilot study with repeated measures. Sixteen sessions of a robot-based therapy program with the Atlas-2030 wearable exoskeleton were applied to all the children from APAC-IAP in Mexico City with cerebral palsy. Pre-intervention, after eight and sixteen sessions, the GMFM-66, the CP QoL-Child, and gait analysis were performed. The results suggest that an Atlas-2030 robot-based therapy program combined with therapeutic stimulation exhibited better scores on the modified Ashworth scale: hip flexors and extensors: 2.0(1.0), knee flexors and extensors: 2.0(2.9), p > 0.0167, and experience enhanced range of motion in hip flexion: 122.5(5) deg, and extension: 11(5) deg and knee extension: 0(5) deg, p < 0.0167, pelvis rotation approached zero on both sides (left: −1.99(14.04, right: 2.22(13.43), p > 0.0167) reducing the difference in laterality, inducing physiological muscle activation patterns, and higher scores in quality of life regarding well-being and acceptance: 17(1.0) and emotional well-being and self-esteem: 14.5 (1.0), p > 0.0167. The limitations of this study include the following: recruitment from a single specialty care center, the absence of a control group, and the adjusted significance level of p < 0.0167, which may lead to false negatives.

1. Introduction

Cerebral palsy (CP) is a lifelong neurological condition caused by non-progressive disturbances in the developing brain of a fetus or infant [1]. CP occurs in approximately 1.5 to 3 cases per 1000 live births, with differences between high-income countries and low-income and middle-income countries [2,3,4]. In Mexico, there are reported to be 4.4 cases per 1000 live births for infants up to 18 months of age [5]. CP is characterized by changes in function across the lifespan, resulting in abnormal muscle tone with significant impairments in the development of movement, posture, and balance [6]; hence, the importance of interventions to improve outcomes in motor disorders associated with the condition. Robot-based therapy programs (RBTPs) have emerged as promising to enhance mobility, improve rehabilitation outcomes, and reduce the secondary musculoskeletal complications associated with CP [7,8]. An RBTP controls the leg movements precisely, allowing for a more consistent, repeatable, and intensive physiotherapy regimen than conventional manual-assisted gait training, and is less physically demanding on therapists [9,10]. The two main types of robotic exoskeleton systems used in CP rehabilitation programs are treadmill-based systems (commonly referred to as robot-assisted gait training, RAGT) and overground wearable exoskeletons.
Lokomat (Hocoma AG, Switzerland) is one of the most studied RAGT systems [7,11]; it is a stationary treadmill-based device that guides the patient’s legs through highly consistent and repetitive predefined symmetrical gait cycles using powered orthoses, provides adjustable body weight support, and includes a virtual reality environment for feedback. RAGT promotes neuromuscular adaptations, leading to increased muscle activation, joint range-of-motion, and overall gait quality in a more controlled and measurable manner than conventional therapy [12,13,14,15]. However, a meta-analysis showed that RAGT does not significantly improve walking endurance, walking speed, or gross motor function in children and adolescents with spastic cerebral palsy, does not provide greater mobility benefits compared to standard care, and early evidence suggests that resistive robotic gait training may be more effective than RAGT. Its stationary treadmill-based setup is its main limitation, which reduces environmental interaction and can lead to lower motivation and engagement. The child is limited to performing the movements in the same place.
The overground wearable exoskeleton enables patient gait rehabilitation on flat surfaces, better simulating real-world conditions. Their principal function is to assist leg motion based on a predefined pattern, promoting active participation from the patient by only providing the necessary support or force, encouraging the use of their residual movement and motor learning. They also may include a structure for partial weight bearing to facilitate ambulatory gait training overground. This rehabilitation approach is in development and has been on the market for less than fifteen years. Although it has not been developed exclusively for the rehabilitation of children with CP, few studies have shown the effectiveness of overground wearable exoskeletons in improving spatiotemporal parameters of gait, cadence, gross-motor function measures (GMFM), and walking endurance with minimal adverse effects [16], and may cause decreased or abnormal muscle activity patterns when the patient is actively walking [17].
Atlas-2030 (Marsi Bionics, Madrid, Spain) is an innovative solution for gait rehabilitation in children with CP, allowing the child to engage in other activities that complement gait training, such as using their arms to reach objects and playing with their physiotherapist. This wearable exoskeleton assists lower-limb movements in two main modes: automatic mode, where the robot assists the gait, and active mode, where the robot initiates movement after detecting the child’s intention to move, actively assisting them to complete each step. Only two studies have been reported using Atlas-2030, focusing on usability and safety [18], and the benefits of combining conventional therapy (CT) with robot-based rehabilitation [19]. This research indicates that children who undergo combined physiotherapy show improved functionality in GMFM, exhibit better scores on the modified Ashworth scale (MAS), and experience enhanced range of motion (ROM) in hip and knee extension, as well as dorsiflexion, compared to those who receive only CT. Significant differences in outcomes termed “improvement” were observed, defined as the difference between pre- and post-intervention scores. However, the studies did not report group changes when comparing pre- and post-intervention results. Additionally, they did not examine other outcomes such as spatiotemporal gait parameters, pelvis kinematics, lower-limb muscle activation patterns, or quality of life.
Given the limitations of RBTPs and the emerging potential of wearable exoskeleton systems, this study focuses on the use of the Atlas-2030 exoskeleton to explore its effects on gait parameters and motor outcomes in children with CP. Supported by the findings of robot-based rehabilitation, which provides guided and repetitive movements, the authors of this research hypothesize that the use of the Atlas-2030 robotic exoskeleton will enhance the functional mobility of children with cerebral palsy, as evidenced by statistically significant improvements in pelvis kinematics, lower limb joint range-of-motion, and muscle activation patterns. Furthermore, this improved biomechanical and neuromuscular function will lead to positive changes in ross motor function (GMFM−66 scores) and quality of life (CP QoL-Child scores). The study aimed to evaluate the preliminary effects of combined conventional therapy and robot-based therapy programs with Atlas-2030 on spatiotemporal gait parameters, pelvis kinematics, muscle activation, gross motor function, quality of life, and joint range-of-motion in children with cerebral palsy receiving care at a specialized rehabilitation center.
The remainder of this article is structured as follows: Section 2 describes the materials and methods, including participant selection, intervention protocol, and assessment tools. Section 3 presents the results of the study. Section 4 discusses the findings in the context of the existing literature, limitations of this study and the direction of future research. Finally, Section 5 outlines the conclusions and future research directions. The limitations of this study include the following: recruitment from a single specialty care center and the absence of a control group. It would be crucial to compare the trial’s effects with those of a control group of children receiving standard care in the future to be able to compare the impact on their condition in a structured way.

2. Materials and Methods

2.1. Participants

This was a single-arm, single-institution, quantitative, longitudinal pilot study with repeated measures. The research involved children diagnosed with cerebral palsy. They were recruited from the Association for People with Cerebral Palsy, APAC-IAP (Mexico City, Mexico). Inclusion criteria were children aged 3 to 11 with GMFCS levels II and III, who could follow simple instructions, be able to report pain, fear, or discomfort reliably, meet the technical requirements of the Atlas-2030 exoskeleton (weight less than 40 kg; femoral length from 22 cm to 38 cm; tibial length from 21 cm to 37 cm; trochanter distance from 24 cm to 40 cm and with flexion contracture in hip or knee lower than 20°), and whose parents or guardians had provided informed consent approved by the local Institutional Review Board. The study was conducted in accordance with the Declaration of Helsinki and approved by the Ethics Committee of the National Institute of Neurobiology of the National Autonomous University of México (protocol code INEU/SA/CB/429/2023 and 16 March 2023).
Children who did not meet the inclusion criteria and had skin alterations in areas that would come into contact with the exoskeleton, scoliosis, osteoporosis, or cardiac or respiratory conditions that pose a risk to the safety or health of the patient during low-intensity physical activity were excluded. The criteria for elimination included the presence of any acute associated pathology, the development of an infectious disease during the study, participants who did not complete any phase of the study, and any situation that led to poor-quality data due to equipment failure. A convenience sample of 12 participants, representing the entire eligible population within the single institution that met the inclusion criteria, was initially recruited. However, four participants did not complete the study and were excluded from the final analysis. Caregivers’ personal circumstances prevented them from ensuring the participants’ attendance at the exoskeleton intervention sessions required by the longitudinal design. This dropout was unrelated to the intervention itself. The final sample size was eight participants who completed all tests. (Table 1).

2.2. Robot-Based Therapy Program

Atlas-2030 is a pediatric lower-limb exoskeleton designed to assist children with neurological or neuromuscular disorders in standing and walking. It provides eight actuated joints (bilateral hip, knee, and ankle flexion/extension, and hip abduction/adduction) powered by motors and controlled through adaptive algorithms that modulate assistance according to the user’s residual capacity. The system allows for adjustments of parameters such as gait speed, range of motion, and level of assistance through the Atlas-Connect software version 1.1.1 (Marsi Bionics, Madrid, Spain), which also records session data for clinical and research analysis. The Atlas-2030 wearable exoskeleton (Marsi Bionics, Madrid, Spain) was used in sixteen sessions (two per week) of the robot-based therapy program (RBTP), conducted by a trained physiotherapist from the Association for People with Cerebral Palsy, who was familiar with the patients and their families.
Before each session, the robot’s calibration was performed according to the manufacturer’s protocol to ensure consistent measurement. The physiotherapist adjusted the exoskeleton to fit the participant’s anthropometric dimensions (hip width, femur and tibia length, and shoe and ribcage size). Patients were secured using straps across the abdomen, thorax, groin, thighs, legs, and shoes while seated (Figure 1). The physiotherapist adjusted the level of robotic assistance according to each child’s functional capacity and comfort. The Atlas-Connect software allowed the therapist to modify gait speed (m/s), joint amplitude (degrees), and resistance torque (Nm) in real time. Adjustments were based on the child’s fatigue, voluntary participation, and qualitative movement performance observed during the session. Each 50 min RBTP session began with the robot assisting the patient in standing and walking. The first three sessions used automatic mode only, followed by three sessions that combined 50% automatic and 50% active modes. The final ten sessions began with 50 steps in automatic mode, transitioning to active mode during rest periods.
The physiotherapist incorporated gait and postural control techniques, including bimanual movements and reaching tasks, to enhance gait and trunk stability. Motivation was often achieved by placing a favorite toy at a reachable distance to encourage movement. The total number of steps, steps in each mode, and resistance torque for the hip and knee joints were recorded through the Atlas-Connect software to support further research on gait assistance and motor learning with the Atlas-2030 system. The activities were not conceived as a supportive complement to using the exoskeleton, but rather as a motivational strategy to foster patient engagement with the treatment. The use of physiotherapeutic dynamics, such as ball-reaching tasks, was implemented to encourage the child’s active participation during robotic sessions. As outlined in the protocol, the sessions progressed gradually from automatic to active mode. These exercises were designed to motivate participants to perform voluntary gestures, facilitating the transition toward more active control of the robotic device [20].

2.3. Measure Outcomes

Pre-intervention (T0) and after eight (T1) and sixteen (T2) RBTP sessions, the 66-item GMFM [21], the Children with CP Quality of Life Questionnaire (CP QoL-Child) [22,23], the ROM [24], the MAS [24], and gait analysis were performed. A medicine doctor with rehabilitation specialization evaluated the GMFM-66 and CP QoL-Child, and an experienced physiotherapist performed the ROM [25] and the MAS assessments. The passive ROM of hip flexion, extension, knee flexion and extension, and ankle plantarflexion and dorsiflexion with the patient fully relaxed was measured with a standard goniometer. The MAS was employed to assess spasticity in hip flexors and extensors, hamstrings, and gastrocnemius muscle groups in children with spastic CP.

2.4. Gait Analysis

Participants were instructed to walk barefoot in a flat, straight-line corridor of seven meters to complete 15 gait cycles. Patients unable to walk autonomously were assisted by their caregivers in how familiar they were. The portable system FREELAB (BTS Bioengineering, Milan, Italy), an integrated solution for medical purposes for the objective measurement of kinematic and muscle activity, comprising an inertial sensor (G-Sensor, BTS Bioengineering), electromyography (FreeEMG, BTS Bioengineering), and EMG-Analyzer software version 2.10.44 (BTS Bioengineering, Milan, Italy) were used to capture and generate the report of the gait analysis. At the start and end of each test, participants needed to stand still for 5 s in a static position to stabilize the inertial sensor and to finish collecting the sensor data.
The gait events were recorded using the G-Sensor placed at S1 with an elastic belt. G-Sensor signals (acceleration, angular velocity, and angular displacement) were sampled with a frequency of 100 Hz. The initial contact (IC) and toe-off (TO) gait events were automatically detected from the G-Sensor data (each peak of anteroposterior acceleration corresponds to the IC events, while the following minimum corresponds to the TO events; mediolateral acceleration and gyroscope data were used to discriminate between the right and left limbs, acceleration shift to the left during single right support phase and vice versa) [26,27]. Then, the gait cycles were normalized, and the mean stance phase and swing-phase duration were calculated. According to the Robinson index, the gait symmetry index (SI) was calculated from each limb’s mean stance phase duration [28].
Simultaneously, electromyography was recorded using eight wireless probes (FreeEMG, BTS Bioengineering) at the tibialis anterior, gastrocnemius medialis, rectus femoris, and semitendinosus muscles of each lower limb [29,30]. Eight pairs of Ag/AgCl bipolar pre-gelled surface electrodes (circular shape, 11 mm diameter, 20 mm center-to-center distance) were used; the skin was prepared, and electrodes were placed following the SENIAM recommendations [31]. The electromyography data were high-pass and low-pass filtered (Butterworth, cutoff frequency 20 Hz–400 Hz) and full-wave rectified. A root mean square (RMS) envelope was then calculated using a 50 ms smoothing window. To obtain the muscle activation pattern, the EMG data were filtered and rectified as was explained previously and normalized using the mean dynamic method [32]. The co-activation index between the agonist and antagonist was obtained as a percent of the ratio of the overlapping area of the agonist and antagonist muscles over the sum of the areas of the agonist and antagonist muscles [33,34].

2.5. Statistical Analysis

Data were saved in CSV format and used as input to a series of scripts written using R version 4.4.2 (R Foundation for Statistical Computing, Vienna, Austria) for statistical analysis. The Shapiro–Wilk test was used to test for normality. Friedman’s Two-Way Analysis of Variance by Ranks (χ2, overall effect size, and Kendall’s W) was conducted to determine if there were statistically significant differences between T0, T1, and T2. Post hoc pairwise comparisons were performed using the Wilcoxon signed-Rank Test, and the effect size (r = |Z|/N) was calculated. The significance level was set at 0.05 and adjusted by the Bonferroni correction for multiple tests (k = 3, p-adjusted = 0.0167). Post hoc results are reported with the standardized Z statistic, the p-value, the calculated effect size (r), and the 95% CI for the median difference (derived using the Hodges–Lehmann method).

3. Results

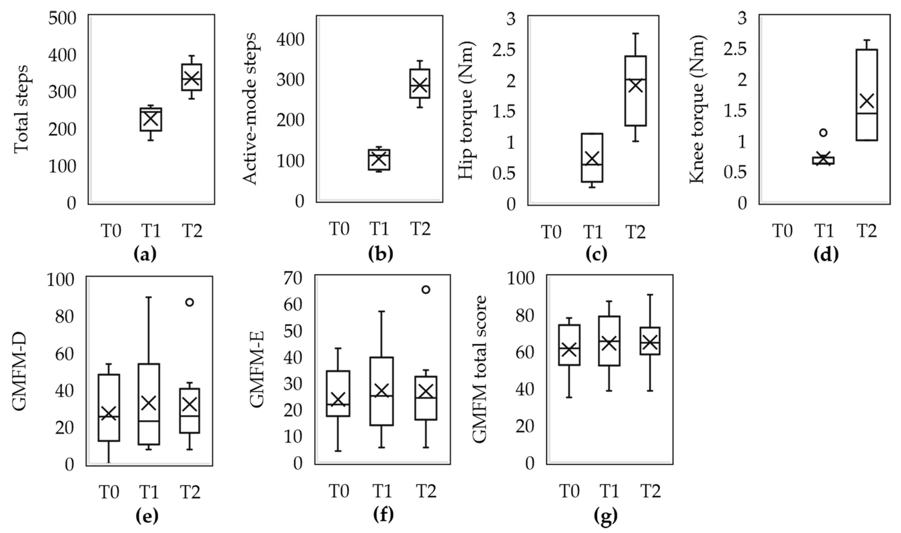
There was a significant increment from T1 to T2 in the total number of steps (Figure 2a) (95% CI: 73–141.5, Z = 2.521, p = 0.012, r = 0.86); steps in active mode (Figure 2b) (95% CI: 161–209.4, Z = 2.521, p = 0.012, r = 0.86); resistance torque for hip (Figure 2c); and for knee (Figure 2d) in active mode (Z = −3.57, p = 0.0001, r = 0.89) at T2. There was no statistically significant difference in terms of the GFMF-D (Figure 2e) (x2 = 1.067, p = 0.587, W = 0.067), GMFM-E (Figure 2f) (χ2 = 3.92, p = 0.141, W = 0.245), and the total score of GMFM-66 (Figure 2g) (χ2 = 2.69, p = 0.261, W = 0.168) between the evaluation stages of the study (T0, T1, and T2).
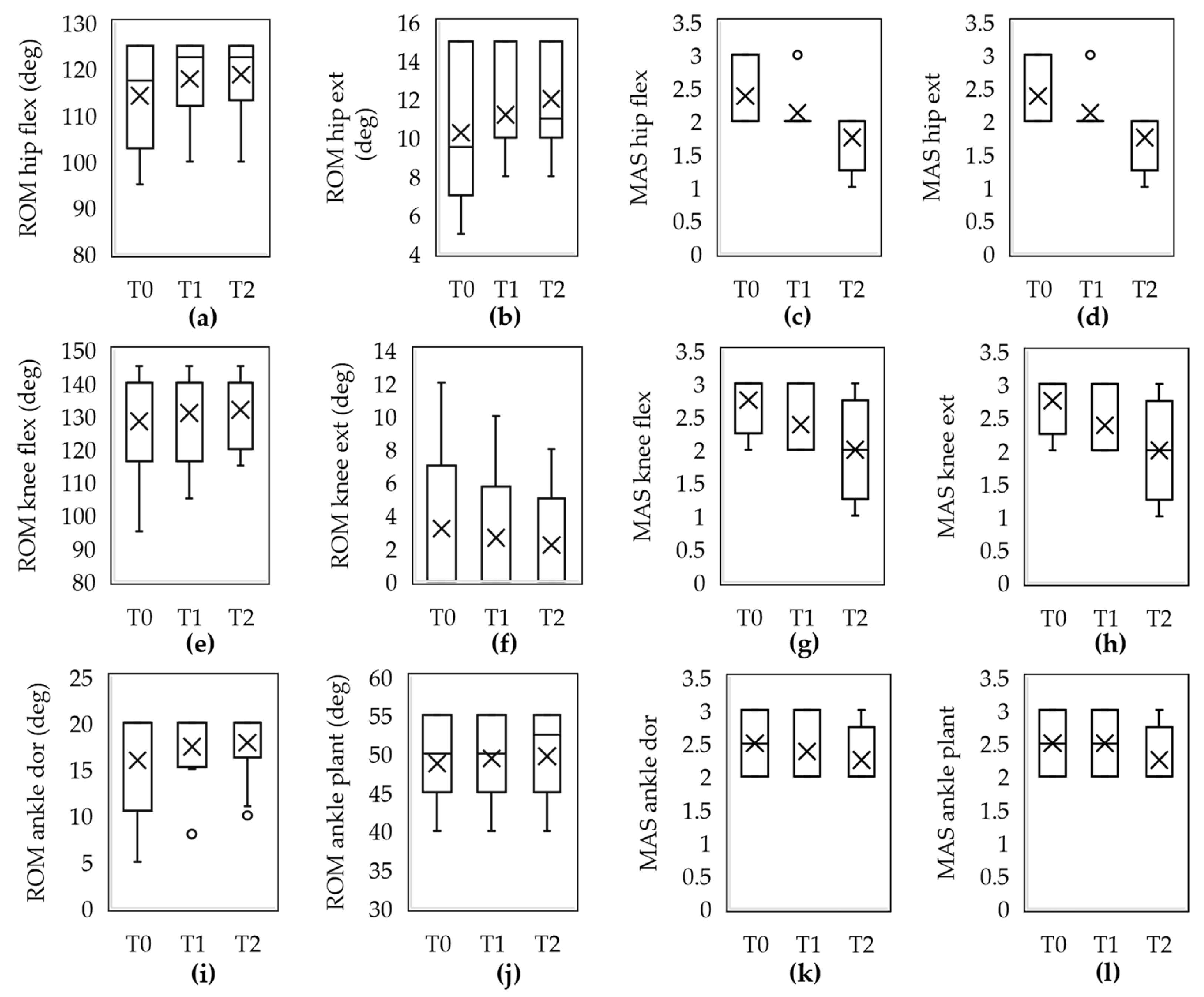
In the hip, the ROM significantly increased from T0 to T2 in flexion (Figure 3a) (95% CI: 0–7.5, Z = 2.388, p = 0.0167, r = 0.597) and extension (Figure 3b) (95% CI: 0–3.5, Z = 2.539, p = 0.011, r = 0.635), while the MAS reduced from T0 to T2 in the hip flexors (Figure 3c) and extensors (Figure 3d) (95% CI: −1–0, Z = 2.236, p = 0.025, r = 0.79), but was higher than p-adjusted. In the knee, the ROM was reduced from T0 to T2 in extension (Figure 3f) (95% CI: −2–0, Z = 2.07, p = 0.034, r = 0.518), and the MAS was also reduced in the knee flexors (Figure 3g) and extensors (Figure 3h) (95% CI: −1.5–0, Z = 2.121, p = 0.036, r = 0.75), but was higher than p-adjusted. Finally, in the ankle, the ROM significantly increased from T0 to T2 in dorsiflexion (Figure 3i) (95% CI: 0–3.0, Z = 2.392, p = 0.0167, r = 0.598). No difference was observed in the MAS for ankle flexors–extensors (Figure 3k) (χ2 = 3.0, p = 0.223, W = 0.188).
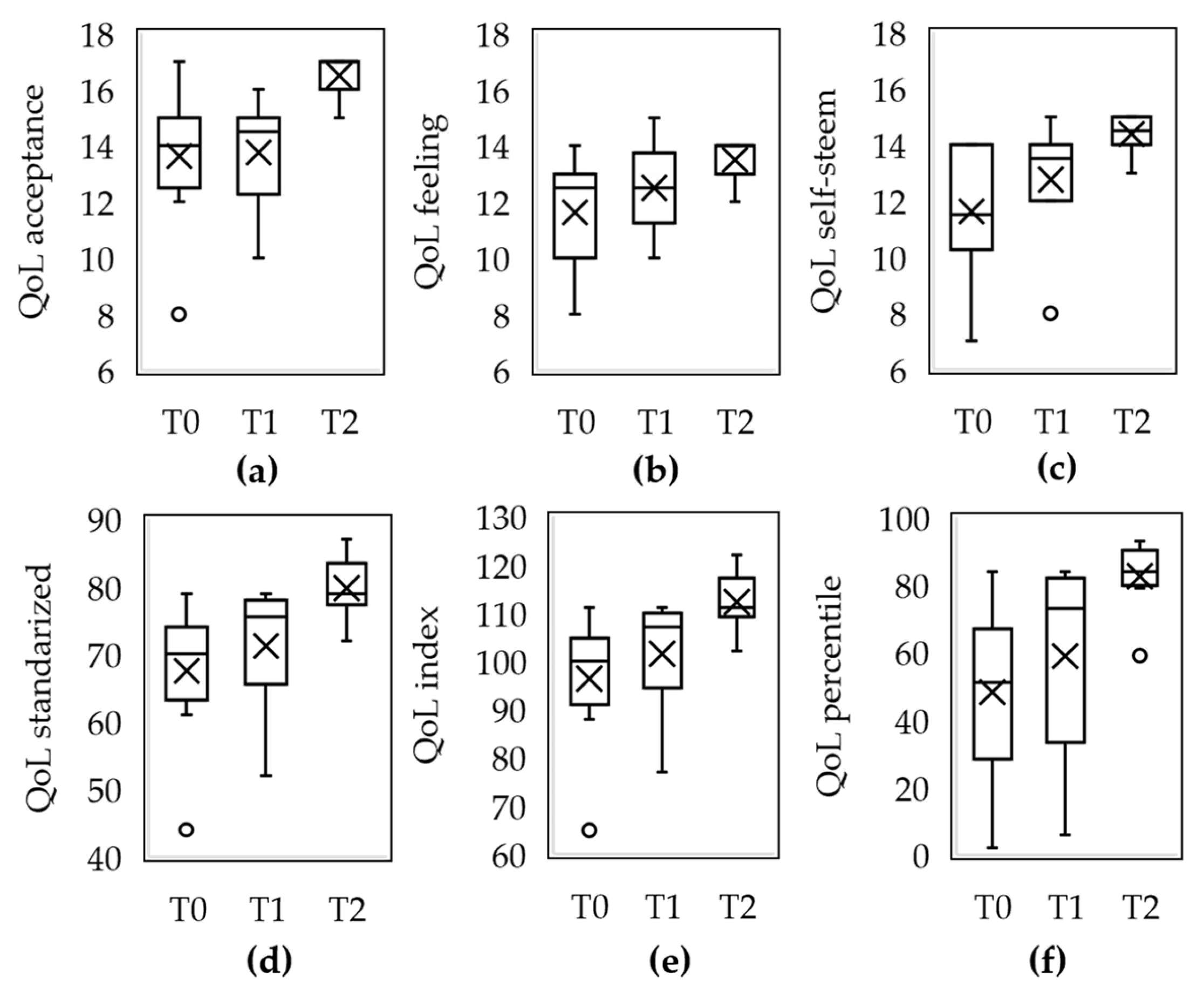
An increment was observed from T0 to T2 in the standard score of the CP QoL-Child domains: social well-being and acceptance (Figure 4a) (95% CI: 0.5–5.0, Z = 2.2, p = 0.028, r = 0.777) and emotional well-being and self-esteem (Figure 4c) (95% CI: 0.5–5.0, Z = 2.212, p = 0.033, r = 0.782), as well as the average standardized scores (Figure 4d) (95% CI: 2.5–22.0, Z = 2.313, p = 0.021, r = 0.818), the quality-of-life index (Figure 4e) (95% CI: 3.0–29.0, Z = 2.313, p = 0.021, r = 0.818), and the quality-of-life percentile (Figure 4f) (95% CI: 6.0–59.5, Z = 2.24, p = 0.025, r = 0.79).
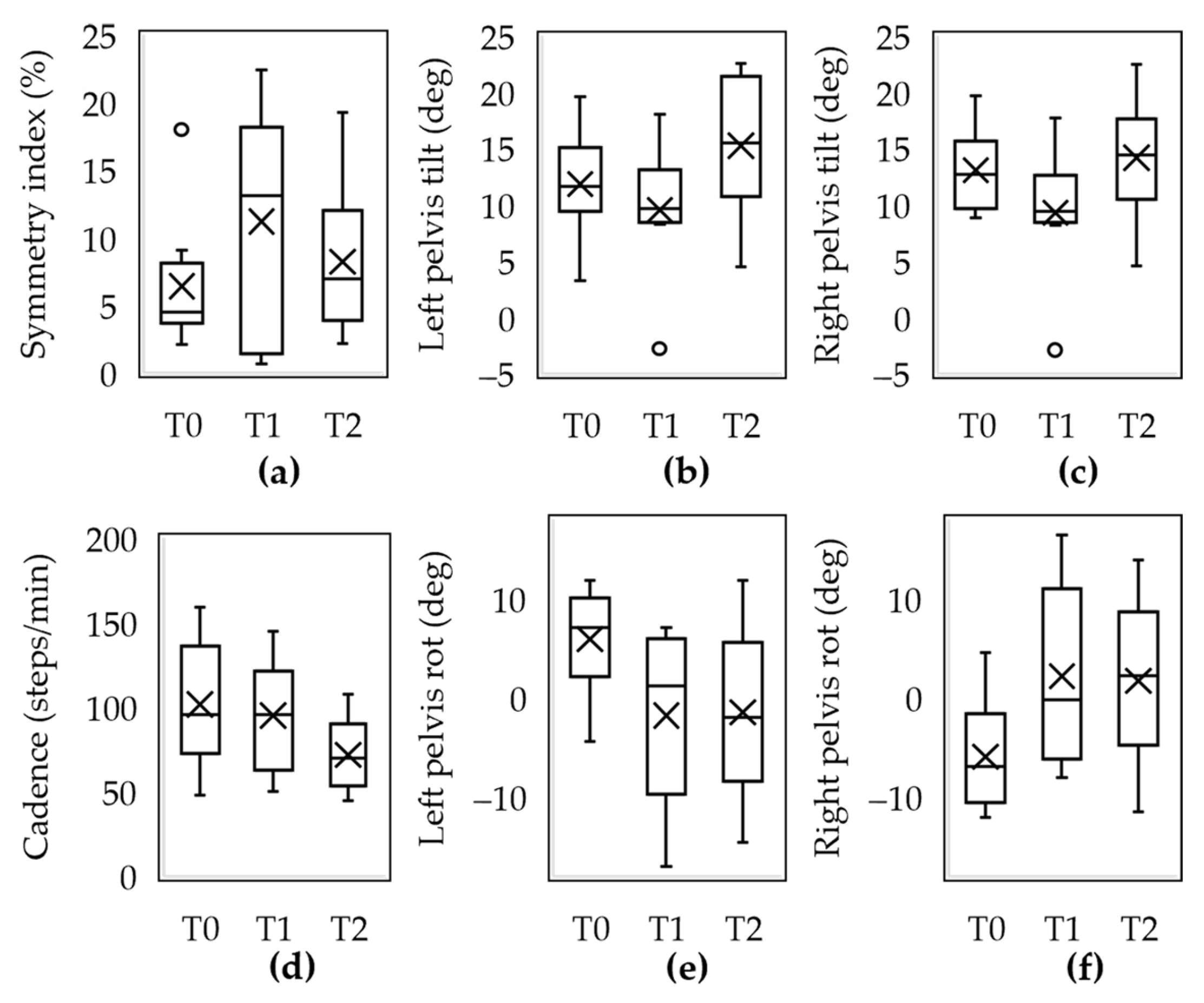
No significant differences were observed in the symmetry index (Figure 5a) and cadence (Figure 5d) (χ2 = 1.75, p = 0.417, W = 0.109). The pelvis tilt increased on the left side (Figure 5b and Figure 6a) (95% CI: 0.730–6.415, Z = 2.240, p = 0.025, r = 0.79) and on the right (Figure 5c and Figure 6b) (χ2 = 1.613, p = 0.446, W = 0.101), but it was not significant. There was not significant difference in the left pelvis rotation (Figure 5e and Figure 6c) (95% CI: −23.252–−3.180, Z = −2.10, p = 0.036, r = 0.742) and in the right pelvis rotation (Figure 5f and Figure 6d) (χ2 = 5.097, p = 0.078, W = 0.319), but they approached zero, reducing the difference between the sides.
The co-activation index of the thigh muscles of T2 was lower than T0 for the left side during the stance phase (Figure 7a) (95% CI: −34.75–−3.60, Z = −2.24, p = 0.025, r = 0.792) and swing phase (Figure 7b) (χ2 = 3.161, p = 0.206, W = 0.198), but it was not significant. No significant changes were obtained on the muscle co-activation in the right thigh for the stance and swing phase (Figure 7c,d) (χ2 = 4.323, p = 0.115, W = 0.270), right leg for stance and swing phases (Figure 7g,h) (χ2 = 1.613, p = 0.446, W = 0.101), and in the left leg for the stance phase (Figure 7e) (χ2 = 0.194, p = 0.908, W = 0.012) and the swing phase (Figure 7f) (χ2 = 2.00, p = 0.368, W = 0.125).
Mean muscle activation was reduced in the leg and thigh muscles during the gait cycle (Figure 8). The mean muscle activation pattern was modified: tibialis anterior (Figure 8e,f) and medial gastrocnemius (Figure 8g,h) on both sides, and left semitendinosus (Figure 8c) had peak activation between 0 and 10% and 90–100%; while rectus femoris on both sides (Figure 8a,b) and right semitendinosus (Figure 8d) had their peaks between 0 and10%, 50–70%, and 90–100%

4. Discussion

The study aimed to evaluate the preliminary effects of a combined conventional and robot-based therapy program with Atlas-2030 on spatiotemporal gait parameters, pelvis kinematics, muscle activation, gross motor function, quality of life, and joint range-of-motion in children with cerebral palsy receiving care at a specialized rehabilitation center.
There is no established protocol for RBTPs. We established that the first three work sessions would be conducted in automatic mode to help the children become accustomed to working with the exoskeleton and adapting to the changes in their posture without using their hands to stand up, while the robot guided their movements. Subsequently, the children participated in three sessions with 50% in automatic mode and 50% with movement in active mode. The children began to take steps voluntarily during the second half of the therapy. In the remaining sessions, the treatment started with 50 steps in automatic mode, followed by the remaining steps in active mode. A trained therapist used the RBTP embedded in a holistic treatment approach. Based on previous successful strategies [20], during the session, the therapist combined gait training with postural control techniques, such as performing tasks in bimanual movements and reaching tasks in front, down, and up, to stimulate gait and trunk control. The therapist enriched sessions with a sequence of oculomotor coordination patterns and manual dexterity, incentivizing motor learning tasks to optimize aspects of oculomotor function with participation in activities of daily living [35].
Yet, despite the movement limitation introduced by the patient’s fastening to the exoskeleton (Figure 1), children who participated in this study routinely stated that they did not feel uncomfortable or too restricted when walking within the robot but instead felt like they were walking normally, principally during the intention movement mode. No adverse events (such as skin irritation, pain, dizziness, or mechanical malfunction) were reported during the intervention in any of the 16 sessions. The children quickly adapted to the dynamics of therapy with the robot. The intervention’s approach significantly impacted the child’s motivation, leading to greater involvement. The RBTP contrasts with CT, where the active participation of the child is much lower; it is essential to take into account the motivation in rehabilitation intervention. Children should be able to select activities that they find enjoyable and then discover their ability to meet challenges. Children’s motivation can influence motor skills and participation in leisure and other daily activities [36].
It is important to note that during the analysis of the results, no significant changes were observed in most variables after the first eight sessions. Instead, the effects of the intervention became more apparent only after the 16th session. Therefore, it is recommended that a minimum intervention period of 16 sessions be used to observe changes in the outcome measures. After 16 sessions (T2) of the Atlas-2030 robot-based therapy program, the children demonstrated improved balance and better completion of sensor stabilization before the gait analysis with respect to T0. This pattern is not considered indicative of imbalance, but rather of an adaptive postural adjustment associated with neuro-robotic training, aimed at optimizing stability and trunk control during assisted walking.
Qualitative improvements were observed in trunk stability during the standing phase, as well as a tendency toward better control of the lower body during the initiation of walking. Despite the observed qualitative improvements, the quantitative scores on the GMFM-D and GMFM-E did not change significantly (T2 vs. T0). GMFM-D and GMFM-E estimate children with cerebral palsy’s standing and walking function. Although these changes did not reach statistical significance, their clinical relevance is important, as they reflect functional adjustments consistent with motor reorganization and neuromuscular plasticity processes described in the literature on training with pediatric neuro-robotic exoskeletons. These findings suggest that initial improvements in postural control and intersegmental coordination precede significant quantitative changes, indicating a progressive process of sensorimotor adaptation with potential for improved functionality.
Participants may have received a comprehensive physiotherapy intervention program at the specialized center where the research was conducted, which could have contributed to a previously high functional level close to the performance ceiling in components D and E of the GMFM-66, related to standing and walking. This condition may have limited the sensitivity of the instrument to detect further improvements. Nevertheless, the results obtained remain valid in terms of interpretation and are clinically relevant, as they reflect functional stability. This finding reinforces the importance of considering the influence of baseline performance levels when interpreting results and designing future research to explore the differential effects of ATLAS 2030 at different stages of motor development and degrees of functionality. Previous studies reported significant [13,15,37] and not-significant differences [12,19] in these components of GMFM. Therefore, the evidence of the effectiveness of RBTPs in increasing components D and E is under discussion [38].
An increase in flexibility and mobility was observed in the hip joint, with an increase in the range-of-motion of the hip flexor and a moderate increase in hip extension. The knee flexor–extensor complex also showed a slight tendency toward increased range of motion. However, a significant decrease in knee extension range was identified, which could be attributed to increased active control in the stance phase and neuromuscular adaptation induced by robotic assistance, which tends to favor joint stability over maximum range of motion. This finding suggests a possible functional adjustment of the motor pattern, aimed at improving postural control and gait efficiency, rather than simply increasing passive range. Participant parameters focused on functionality, indicating an improvement in muscular balance, particularly through an adaptive decrease in muscle tone, which could be related to the training-induced optimization of neuromotor control.
In addition, the MAS was lower after the RBTP, suggesting that the intervention not only reduces abnormal muscle tension and resistance to passive movement, but may also reflect a moderate improvement in muscle tone indicating a reduction in spasticity, allowing for greater range of motion and facilitating the execution of more coordinated motor patterns. This is when the 16-week intervention is maintained. These changes may also reveal neuromotor reorganization, promoting more efficient voluntary control and better functional integration of movements. Consequently, the MAS results can be interpreted as an indirect marker of the evolution toward a more stable and adaptive control pattern in participants, interacting not only with the decrease in muscle hyperexcitability but also with a progressive improvement in voluntary gait.
The CP-QoL components of social well-being and acceptance and emotional well-being and self-esteem significantly improved. This result agrees with [39], who stated that the use of exoskeletons has a positive effect on the quality of life of patients with cerebral palsy, and it improves their perception of functionality and decreases their clinical limitations. However, it must be careful not to create a false hope for parents and infants themselves, because CP is an incurable and in many cases progressive motor impairment disorder [40].
The symmetry index also increased at T2 (p > 0.05). This change in the symmetry index is linked to a variation in the duration of the gait phases. Typically, an improvement in balance and gait would lead to a decrease in the symmetry index. After the intervention with the exoskeleton, we noticed a decrease in cadence, but it was not statistically significant. This change is influenced by other gait spatiotemporal parameters such as speed, step length and width, and cycle time. According to another study that found a significant difference in spatiotemporal parameters after robot-assisted rehabilitation with the Lokomat exoskeleton [29,41], the children may compensate for the lower cadence by taking longer steps to cover the same distance at a similar speed. However, other studies examining the effects of RBTPs found no significant differences in spatiotemporal gait parameters, including cadence and symmetry index [37,42].
The RBTP with Atlas-2030 modified the pelvis tilt and ROM in the sagittal plane, accentuating a typical double bump pattern in cerebral palsy. The increase in anterior pelvis tilt is consistent with previous research [30,43], and it could be caused by greater hip flexion during the mid-stance phase. This is related to an imbalance between the knee flexors (weaker as the tilt increases) and the knee extensors (stronger as the tilt increases). Additionally, the increase in pelvic ROM in the sagittal plane could be due to improved hamstring elasticity and increased tension in the rectus femoris muscle [44], demonstrating the promotion of muscle tone control and decreased spasticity in this muscle complex. In the transverse plane, forward and backward rotations are referred to as protraction and retraction, respectively [45]. The pelvis protracts to the side where the limb advances during the swing phase and retracts simultaneously on the contralateral side. Excessive pelvic retraction is common in patients with cerebral palsy [46]. We notice a reduction in the difference between the left and right mean pelvis rotation, with an approximation of the means of pelvis rotation to normality.
The muscle activity decreased for all the evaluated muscles. It was also observed that the pattern of muscle activation during the gait cycle was reduced in magnitude, consistent with previous results for participants with cerebral palsy and unknown neurological disorders [29,30,47]. There was a tendency towards activation in the percentage of the gait cycle where voluntary activation should appear. During the stance phase, the muscle co-activation index decreased from T0 to T2 for the rectus femoris and semitendinosus left muscles. It also reduced the co-activation index for the thigh muscles during the swing phase, but it was not significant. No significant differences were observed for the leg muscles and the right thigh muscles. Based on these results, it is believed that Atlas-2030 contributed to voluntary motor control during gait training. Muscular activity follows a more physiological activation timing with respect to training on a treadmill without orthosis [48]. During the intention movement mode, the Atlas-2030 promotes the active contribution of muscles; active motor training is more effective than passive training in eliciting performance improvement [49]. It is recommended that the robot be used in active mode.
Finally, the children who participated in the study are part of an institution with more than 50 years of experience in the field of comprehensive rehabilitation in Mexico for people with cerebral palsy. Its model is based on a transdisciplinary approach with educational inclusion and a comprehensive care system that includes follow-ups with rehabilitation physicians. In follow-up consultations, physicians observed improvements in the trunk and lower extremity semi-flexion after using the exoskeleton, which facilitated bimanual manipulation and movement in the space of children who already had assisted walking. An improvement was observed in the motor performance of the children in the classroom, with greater capacity to move in space, social interaction, and participation in sports and social activities, with the teachers indicating that participation in group play activities involving pattern sequence and visuospatial location increased after the children participated in this research. It is important to note that the results obtained in a clinical setting are different from the behavior of children in a real-life setting [50].
This preliminary study on the effects of rehabilitation has several limitations that must be considered. The sample is limited to patients from a single specialized care center. The results may be influenced by the center’s specific treatment history and high quality of care, limiting the generalizability of the findings to other populations or settings. The study lacks a control group, making it impossible to isolate the specific effects of the new intervention. Without a comparison group, we cannot confirm that the observed improvements were not due to the patients’ ongoing standard care or natural recovery. The study did not include objective measurements of core muscle activity, preventing us from scientifically confirming the qualitative improvements observed in trunk control. The Bonferroni correction was applied for k = 3 comparisons to maintain the family-wise error rate, and the significance level was adjusted to p < 0.0167. This conservative adjustment may increase the risk of type II errors (false negatives), which could explain why several results did not reach statistical significance. If the measurements had been restricted to a pre-postintervention design (only T0 and T2), the Bonferroni correction would not have been necessary, and the standard significance level could have been set at p < 0.05, below which several of the results would be statistically significant.
It would be crucial to compare the trial’s effects with those of a control group of children receiving standard care in the future to compare the impact on their condition in a structured way. It should consider trunk muscle activation, stride, step length effect, and joint kinematics. Other functional tests, such as the Timed Up and Go, 10MWT, and 6MWT, could be employed to measure mobility in children with CP. Future research should consider a pre- and post-intervention measurement (T0 and T2) schedule to reveal the actual effect of the intervention, avoiding middle-intervention measurements.

5. Conclusions

The robot-based therapy program with Atlas-2030 demonstrated high acceptance by family members and children in a specialized educational institution for people with cerebral palsy. The robot played a crucial role in enabling the children to interact with each other, fostering a sense of connection and community. Working with the robot allowed the children to experience the sensation of standing upright and to take voluntary, controlled steps in active-assisted mode to reach objects and interact through play with other children. The results suggest that an Atlas-2030 robot-based therapy program combined with therapeutic stimulation exhibited better scores on the modified Ashworth scale: hip flexors and extensors: 2.0(1.0), knee flexors and extensors: 2.0(2.9), p > 0.0167, and experience enhanced range of motion in hip flexion: 122.5(5) deg, and extension: 11(5) deg and knee extension: 0(5) deg, p < 0.0167, pelvis rotation approached zero on both sides (left: −1.99(14.04), right: 2.22(13.43), p > 0.0167) reducing the difference in laterality, inducing physiological muscle activation patterns, and higher scores in quality of life regarding well-being and acceptance: 17(1.0) and emotional well-being and self-esteem: 14.5(1.0), p > 0.0167. The active-assisted mode could cause a reduction in the mean amplitude of muscle activation and follow a more physiological muscle activation pattern. It would be crucial to compare the trial’s effects with those of a control group of children receiving standard care in the future to be able to compare the impact on their condition in a structured way.

Author Contributions

Conceptualization, I.S.-S., D.C.-C., M.R.H.-T., G.M.-G. and R.A.G.-C.; methodology, I.S.-S., G.M.-G., M.R.H.-T. and R.A.G.-C.; functional assessment, M.R.H.-T., D.C.-C. and I.S.-S.; robot-based therapy program, D.C.-C. and M.R.H.-T.; resources, I.S.-S., D.C.-C. and R.A.G.-C.; data curation, D.C.-C., R.A.G.-C. and I.S.-S.; writing—original draft preparation, I.S.-S., M.R.H.-T., D.C.-C. and R.A.G.-C.; writing—review and editing, I.S.-S., M.R.H.-T., D.C.-C., G.M.-G. and R.A.G.-C.; visualization, R.A.G.-C. and I.S.-S.; supervision, G.M.-G., R.A.G.-C. and I.S.-S.; project administration, G.M.-G.; funding acquisition, G.M.-G. All authors have read and agreed to the published version of the manuscript.

Funding

This research received no external funding. The APC was funded by the Association for People with Cerebral Palsy, APAC-IAP (Mexico City, Mexico).

Institutional Review Board Statement

The study was conducted in accordance with the Declaration of Helsinki and approved by the Ethics Committee of the NATIONAL INSTITUTE OF NEUROBIOLOGY of the NATIONAL AUTONOMOUS UNIVERSITY OF MEXICO (protocol code INEU/SA/CB/429/2023 and 16 March 2023).

Informed Consent Statement

Informed consent was obtained from all subjects involved in the study.

Data Availability Statement

The data presented in this study are available on request from the corresponding author. The data are not publicly available due to privacy.

Acknowledgments

While preparing this manuscript, the authors used Grammarly IA only for grammar checking. They have reviewed and edited the output and take full responsibility for the content of this publication.

Conflicts of Interest

The authors declare no conflicts of interest.

Abbreviations

The following abbreviations are used in this manuscript:
CPCerebral Palsy (CP)
CSVComma Separated Values
CTConventional therapy
DipDiparesic Cerebral Palsy
EMGElectromyography
FWFront-wheel Walker
GMFCSGross-Motor Function Classification System
GMFMGross-Motor Function Measures
ICInitial Contact
IQRInter-quartile Range
MASThe Modified Ashworth Scale
PWPosterior Walker
QoLQuality of Life
CP QoL-ChildChildren with CP Quality of Life Questionnaire
RAGTRobot-assisted Gait Training (tethered exoskeletons like Lokomat)
RBTPRobot-based Therapy Programs
RMSRoot mean square
ROMRange of Motion
SENIAMSurface Electromyography for the Non-Invasive Assessment of Muscles
TCTopographic classification of spasticity
TetTetraparesic Cerebral Palsy
TOToe-off

References

  1. Bekteshi, S.; Monbaliu, E.; McIntyre, S.; Saloojee, G.; Hilberink, S.R.; Tatishvili, N.; Dan, B. Towards functional improvement of motor disorders associated with cerebral palsy. Lancet Neurol. 2023, 22, 229–243. [Google Scholar] [CrossRef]
  2. Patel, D.R.; Neelakantan, M.; Pandher, K.; Merrick, J. Cerebral palsy in children: A clinical overview. Transl. Pediatr. 2020, 9, S125–S135. [Google Scholar] [CrossRef] [PubMed]
  3. Vitrikas, K.; Dalton, H.; Breish, D. Cerebral Palsy: An Overview. Am. Fam. Physician 2020, 101, 213–220. [Google Scholar] [PubMed]
  4. Patel, D.R.; Bovid, K.M.; Rausch, R.; Ergun-Longmire, B.; Goetting, M.; Merrick, J. Cerebral palsy in children: A clinical practice review. Curr. Probl. Pediatr. Adolesc. Health Care 2024, 54, 101673. [Google Scholar] [CrossRef] [PubMed]
  5. Barron-Garza, F.; Coronado-Garza, M.; Gutierrez-Ramirez, S.; Ramos-Rincon, J.-M.; la Garza, F.G.-D.; Lozano-Morantes, A.; Flores-Rodriguez, A.; Nieto-Sanjuanero, A.; Alvarez-Villalobos, N.; Flores-Villarreal, M.; et al. Incidence of Cerebral Palsy, Risk Factors, and Neuroimaging in Northeast Mexico. Pediatr. Neurol. 2023, 143, 50–58. [Google Scholar] [CrossRef]
  6. Pakula, A.T.; Van Naarden Braun, K.; Yeargin-Allsopp, M. Cerebral Palsy: Classification and Epidemiology. Phys. Med. Rehabil. Clin. N. Am. 2009, 20, 425–452. [Google Scholar] [CrossRef]
  7. Cortes-Perez, I.; Gonzalez-Gonzalez, N.; Peinado-Rubia, A.B.; Nieto-Escamez, F.A.; Obrero-Gaitan, E.; Garcia-Lopez, H. Efficacy of Robot-Assisted Gait Therapy Compared to Conventional Therapy or Treadmill Training in Children with Cerebral Palsy: A Systematic Review with Meta-Analysis. Sensors 2022, 22, 9910. [Google Scholar] [CrossRef]
  8. Wang, Y.; Zhang, P.; Li, C. Systematic review and network meta-analysis of robot-assisted gait training on lower limb function in patients with cerebral palsy. Neurol. Sci. 2023, 44, 3863–3875. [Google Scholar] [CrossRef]
  9. Agrawal, S.K.; Kang, J.; Chen, X.; Kim, M.J.; Lee, Y.; Kong, S.W.; Cho, H.; Park, G.-J. Robot-Enhanced Mobility Training of Children With Cerebral Palsy: Short-Term and Long-Term Pilot Studies. IEEE Syst. J. 2016, 10, 1098–1106. [Google Scholar] [CrossRef]
  10. Esquenazi, A.; Lee, S.; Wikoff, A.; Packel, A.; Toczylowski, T.; Feeley, J. A Comparison of Locomotor Therapy Interventions: Partial-Body Weight-Supported Treadmill, Lokomat, and G-EO Training in People With Traumatic Brain Injury. PM&R 2017, 9, 839–846. [Google Scholar] [CrossRef]
  11. Conner, B.C.; Remec, N.M.; Lerner, Z.F. Is robotic gait training effective for individuals with cerebral palsy? A systematic review and meta-analysis of randomized controlled trials. Clin. Rehabil. 2022, 36, 873–882. [Google Scholar] [CrossRef] [PubMed]
  12. Ammann-Reiffer, C.; Bastiaenen, C.H.G.; Meyer-Heim, A.D.; van Hedel, H.J.A. Lessons learned from conducting a pragmatic, randomized, crossover trial on robot-assisted gait training in children with cerebral palsy (PeLoGAIT). J. Pediatr. Rehabil. Med. 2020, 13, 137–148. [Google Scholar] [CrossRef] [PubMed]
  13. Jin, L.H.; Yang, S.S.; Choi, J.Y.; Sohn, M.K. The Effect of Robot-Assisted Gait Training on Locomotor Function and Functional Capability for Daily Activities in Children with Cerebral Palsy: A Single-Blinded, Randomized Cross-Over Trial. Brain Sci. 2020, 10, 801. [Google Scholar] [CrossRef] [PubMed]
  14. van Hedel, H.J.; Meyer-Heim, A.; Rusch-Bohtz, C. Robot-assisted gait training might be beneficial for more severely affected children with cerebral palsy. Dev. Neurorehabil. 2016, 19, 410–415. [Google Scholar] [CrossRef]
  15. Beretta, E.; Storm, F.A.; Strazzer, S.; Frascarelli, F.; Petrarca, M.; Colazza, A.; Cordone, G.; Biffi, E.; Morganti, R.; Maghini, C.; et al. Effect of Robot-Assisted Gait Training in a Large Population of Children with Motor Impairment Due to Cerebral Palsy or Acquired Brain Injury. Arch. Phys. Med. Rehabil. 2020, 101, 106–112. [Google Scholar] [CrossRef]
  16. Bunge, L.R.; Davidson, A.J.; Helmore, B.R.; Mavrandonis, A.D.; Page, T.D.; Schuster-Bayly, T.R.; Kumar, S. Effectiveness of powered exoskeleton use on gait in individuals with cerebral palsy: A systematic review. PLoS ONE 2021, 16, e0252193. [Google Scholar] [CrossRef]
  17. Kim, S.K.; Park, D.; Yoo, B.; Mavrandonis, A.D.; Page, T.D.; Schuster-Bayly, T.R.; Kumar, S. Overground Robot-Assisted Gait Training for Pediatric Cerebral Palsy. Sensors 2021, 21, 2087. [Google Scholar] [CrossRef]
  18. Cumplido-Trasmonte, C.; Barquin-Santos, E.; Aneiros-Tarancon, F.; Plaza-Flores, A.; Espinosa-García, S.; Fernández, R.; García-Armada, E. Usability and Safety of the ATLAS 2030 Robotic Gait Device in Children with Cerebral Palsy and Spinal Muscular Atrophy. Children 2024, 11, 1500. [Google Scholar] [CrossRef]
  19. Castro, P.; Marti, M.; Olivan-Blazquez, B.; Boñar, N.; García, V.; Gascón-Santos, S.; Panzano, A.; Vela, S.; Tajadura, S.; Peña, A.; et al. Benefits of robotic gait assistance with ATLAS 2030 in children with cerebral palsy. Front Pediatr 2024, 12, 1398044. [Google Scholar] [CrossRef]
  20. Masina, N.; Montero Mendoza, S. Efectividad de la terapia bimanual intensiva en la motricidad gruesa y fina de niños con parálisis cerebral. Revisión sistemática. Fisioterapia 2021, 43, 151–158. [Google Scholar] [CrossRef]
  21. Russell, D.J.; Avery, L.M.; Rosenbaum, P.L.; Raina, P.S.; Walter, S.D.; Palisano, R.J. Improved Scaling of the Gross Motor Function Measure for Children With Cerebral Palsy: Evidence of Reliability and Validity. Phys. Ther. 2000, 80, 873–885. [Google Scholar] [CrossRef]
  22. Badia, M.; Orgaz, M.B.; Riquelme, I.; Gómez-Iruretagoyena, J. Domains of the Cerebral Palsy Quality of Life Questionnaire (CP QOL) for Children and Adolescents: Spanish Adaptation and Psychometric Properties. J. Dev. Phys. Disabil. 2020, 33, 331–349. [Google Scholar] [CrossRef]
  23. Waters, E.; Davis, E.; Mackinnon, A.; Boyd, R.; Graham, H.K.; Lo, S.K.; Wolfe, R.; Stevenson, R.; Bjornson, K.; Blair, E.; et al. Psychometric properties of the quality of life questionnaire for children with CP. Dev. Med. Child Neurol. 2007, 49, 49–55. [Google Scholar] [CrossRef] [PubMed]
  24. Mutlu, A.; Livanelioglu, A.; Gunel, M.K. Reliability of Ashworth and Modified Ashworth scales in children with spastic cerebral palsy. BMC Musculoskelet. Disord. 2008, 9, 44. [Google Scholar] [CrossRef] [PubMed]
  25. Norkin, C.C.; White, D.J. Measurement of Joint Motion: A Guide to Goniometry, 5th ed.; F.A. Davis: Philadelphia, PA, USA, 2016. [Google Scholar]
  26. Andrenacci, I.; Boccaccini, R.; Bolzoni, A.; Colavolpe, G.; Costantino, C.; Federico, M.; Ugolini, A.; Vannucci, A. A Comparative Evaluation of Inertial Sensors for Gait and Jump Analysis. Sensors 2021, 21, 5990. [Google Scholar] [CrossRef] [PubMed]
  27. Prisco, G.; Pirozzi, M.A.; Santone, A.; Esposito, F.; Cesarelli, M.; Amato, F.; Donisi, L. Validity of Wearable Inertial Sensors for Gait Analysis: A Systematic Review. Diagnostics 2025, 15, 36. [Google Scholar] [CrossRef]
  28. Viteckova, S.; Kutilek, P.; Svoboda, Z.; Krupicka, R.; Kauler, J.; Szabo, Z. Gait symmetry measures: A review of current and prospective methods. Biomed. Signal Process. Control 2018, 42, 89–100. [Google Scholar] [CrossRef]
  29. Žarković, D.; Šorfová, M.; Tufano, J.J.; Kutílek, P.; Vítečková, S.; Ravnik, D.; Groleger-Sršen, K.; Cikajlo, I.; Otáhal, J. Gait changes following robot-assisted gait training in children with cerebral palsy. Physiol. Res. 2021, 70, S397–S408. [Google Scholar] [CrossRef]
  30. Petrarca, M.; Frascarelli, F.; Carniel, S.; Colazza, A.; Minosse, S.; Tavernese, E.; Castelli, E. Robotic-assisted locomotor treadmill therapy does not change gait pattern in children with cerebral palsy. Int. J. Rehabil. Res. 2021, 44, 69–76. [Google Scholar] [CrossRef]
  31. Hermens, H.J.; Freriks, B.; Disselhorst-Klug, C.; Rau, G. Development of recommendations for SEMG sensors and sensor placement procedures. J. Electromyogr. Kinesiol. 2000, 10, 361–374. [Google Scholar] [CrossRef]
  32. Burden, A.M.; Trew, M.; Baltzopoulos, V. Normalisation of gait EMGs: A re-examination. J. Electromyogr. Kinesiol. 2003, 13, 519–532. [Google Scholar] [CrossRef]
  33. Mohammadyari Gharehbolagh, S.; Dussault-Picard, C.; Arvisais, D.; Dixon, P.C. Muscle co-contraction and co-activation in cerebral palsy during gait: A scoping review. Gait Posture 2023, 105, 6–16. [Google Scholar] [CrossRef]
  34. Ippersiel, P.; Dussault-Picard, C.; Mohammadyari, S.G.; De Carvalho, G.; Chandran, V.; Pal, S.; Dixon, P. Muscle coactivation during gait in children with and without cerebral palsy. Gait Posture 2024, 108, 110–116. [Google Scholar] [CrossRef] [PubMed]
  35. Ego, C.; Orban de Xivry, J.J.; Nassogne, M.C.; Yuksel, D.; Lefevre, P. Spontaneous improvement in oculomotor function of children with cerebral palsy. Res. Dev. Disabil. 2015, 36C, 630–644. [Google Scholar] [CrossRef] [PubMed]
  36. Salavati, M.; Vameghi, R.; Hosseini, S.A.; Saeedi, A.; Gharib, M. Comparing Levels of Mastery Motivation in Children with Cerebral Palsy (CP) and Typically Developing Children. Med. Arch. 2018, 72, 41–45. [Google Scholar] [CrossRef] [PubMed]
  37. Aras, B.; Yasar, E.; Kesikburun, S.; Turker, D.; Tok, F.; Yilmaz, B. Comparison of the effectiveness of partial body weight-supported treadmill exercises, robotic-assisted treadmill exercises, and anti-gravity treadmill exercises in spastic cerebral palsy. Turk. J. Phys. Med. Rehabil. 2019, 65, 361–370. [Google Scholar] [CrossRef]
  38. Vezer, M.; Gresits, O.; Engh, M.A.; Szabó, L.; Molnar, Z.; Hegyi, P.; Terebessy, T. Evidence for gait improvement with robotic-assisted gait training of children with cerebral palsy remains uncertain. Gait Posture 2024, 107, 8–16. [Google Scholar] [CrossRef]
  39. Grodon, C.; Bassett, P.; Shannon, H. The ‘heROIC’ trial: Does the use of a robotic rehabilitation trainer change quality of life, range of movement and function in children with cerebral palsy? Child Care Health Dev. 2023, 49, 914–924. [Google Scholar] [CrossRef]
  40. Yuan, J.; Cui, M.; Liang, Q.; Zhu, D.; Liu, J.; Hu, J.; Ma, S.; Li, D.; Wang, J.; Wang, X.; et al. Cerebral Palsy Heterogeneity: Clinical Characteristics and Diagnostic Significance from a Large-Sample Analysis. Neuroepidemiology 2024, 58, 470–480. [Google Scholar] [CrossRef]
  41. Wallard, L.; Dietrich, G.; Kerlirzin, Y.; Bredin, J. Effect of robotic-assisted gait rehabilitation on dynamic equilibrium control in the gait of children with cerebral palsy. Gait Posture 2018, 60, 55–60. [Google Scholar] [CrossRef]
  42. Manikowska, F.; Brazevic, S.; Krzyzanska, A.; Jozwiak, M. Effects of Robot-Assisted Therapy on Gait Parameters in Pediatric Patients With Spastic Cerebral Palsy. Front. Neurol. 2021, 12, 724009. [Google Scholar] [CrossRef]
  43. Swinnen, E.; Baeyens, J.P.; Knaepen, K.; Michielsen, M.; Clijsen, R.; Beckwée, D.; Kerckhofs, E. Robot-assisted walking with the Lokomat: The influence of different levels of guidance force on thorax and pelvis kinematics. Clin. Biomech. 2015, 30, 254–259. [Google Scholar] [CrossRef] [PubMed]
  44. Wolf, S.I.; Mikut, R.; Kranzl, A.; Dreher, T. Which functional impairments are the main contributors to pelvic anterior tilt during gait in individuals with cerebral palsy? Gait Posture 2014, 39, 359–364. [Google Scholar] [CrossRef] [PubMed]
  45. O’Sullivan, R.; Walsh, M.; Jenkinson, A.; O’Brien, T. Factors associated with pelvic retraction during gait in cerebral palsy. Gait Posture 2007, 25, 425–431. [Google Scholar] [CrossRef] [PubMed]
  46. Bohm, H.; Stief, F.; Dussa, C.U.; Doderlein, L. Predictors of pelvic retraction in children with cerebral palsy derived from gait parameters and clinical testing. Gait Posture 2012, 35, 250–254. [Google Scholar] [CrossRef]
  47. Hidler, J.M.; Wall, A.E. Alterations in muscle activation patterns during robotic-assisted walking. Clin. Biomech. 2005, 20, 184–193. [Google Scholar] [CrossRef]
  48. Schuler, T.A.; Müller, R.; van Hedel, H.J.A. Leg surface electromyography patterns in children with neuro-orthopedic disorders walking on a treadmill unassisted and assisted by a robot with and without encouragement. J. Neuroeng. Rehabil. 2013, 10, 78. [Google Scholar] [CrossRef]
  49. Lotze, M.; Braun, C.; Birbaumer, N.; Anders, S.; Cohen, L.G. Motor learning elicited by voluntary drive. Brain 2003, 126, 866–872. [Google Scholar] [CrossRef]
  50. Carcreff, L.; Gerber, C.N.; Paraschiv-Ionescu, A.; De Coulon, G.; Newman, C.J.; Aminian, K.; Armand, S. Comparison of gait characteristics between clinical and daily life settings in children with cerebral palsy. Sci. Rep. 2020, 10, 2091. [Google Scholar] [CrossRef]
Figure 1. Patient attachment to the Atlas-2030 wearable-exoskeleton.
Figure 1. Patient attachment to the Atlas-2030 wearable-exoskeleton.
Applsci 15 12047 g001
Figure 2. Measures of outcomes before (T0) and after eight (T1) and sixteen (T2) sessions of the robot-based therapy program. Robot measures outcomes: (a) total elaborated steps, (b) steps elaborated in active mode, (c) resistant torque in the hip, and (d) resistant torque in the knee. Functional outcomes: (e) GMFM-D score, (f) GMFM-E score, and (g) total score of GMFM-66. The circle represents the presence of an outlier at T2 for the dimensions D and E of GMFM for one participant.
Figure 2. Measures of outcomes before (T0) and after eight (T1) and sixteen (T2) sessions of the robot-based therapy program. Robot measures outcomes: (a) total elaborated steps, (b) steps elaborated in active mode, (c) resistant torque in the hip, and (d) resistant torque in the knee. Functional outcomes: (e) GMFM-D score, (f) GMFM-E score, and (g) total score of GMFM-66. The circle represents the presence of an outlier at T2 for the dimensions D and E of GMFM for one participant.
Applsci 15 12047 g002
Figure 3. Measures of the outcomes of the range of motion and the modified Ashworth scale for hip, knee, and ankle before (T0) and after eight (T1) and sixteen (T2) sessions of the robot-based therapy program. (a) ROM of hip flexion, (b) ROM of hip extension, (c) MAS of hip flexors, (d) MAS of hip extensors, (e) ROM of knee flexion, (f) ROM of knee extension, (g) MAS of knee flexors, (h) MAS of knee extensors, (i) ROM of ankle dorsiflexion, (j) ROM of ankle plantarflexion., (k) MAS of ankle dorsiflexors, and (l) MAS of ankle plantiflexors. The circle represents the presence of an outlier observed for one participant.
Figure 3. Measures of the outcomes of the range of motion and the modified Ashworth scale for hip, knee, and ankle before (T0) and after eight (T1) and sixteen (T2) sessions of the robot-based therapy program. (a) ROM of hip flexion, (b) ROM of hip extension, (c) MAS of hip flexors, (d) MAS of hip extensors, (e) ROM of knee flexion, (f) ROM of knee extension, (g) MAS of knee flexors, (h) MAS of knee extensors, (i) ROM of ankle dorsiflexion, (j) ROM of ankle plantarflexion., (k) MAS of ankle dorsiflexors, and (l) MAS of ankle plantiflexors. The circle represents the presence of an outlier observed for one participant.
Applsci 15 12047 g003
Figure 4. Measures of the outcomes of the Children with CP Quality of Life Questionnaire (CP QoL-Child): (a) social well-being and acceptance, (b) feeling about functioning, (c) emotional well-being and self-esteem, (d) average standardized scores, (e) QoL index, and (f) QoL percentile. The circle represents the presence of a low outlier value observed for one participant.
Figure 4. Measures of the outcomes of the Children with CP Quality of Life Questionnaire (CP QoL-Child): (a) social well-being and acceptance, (b) feeling about functioning, (c) emotional well-being and self-esteem, (d) average standardized scores, (e) QoL index, and (f) QoL percentile. The circle represents the presence of a low outlier value observed for one participant.
Applsci 15 12047 g004
Figure 5. Gait analysis results before (T0), after eight (T1) and sixteen (T2) sessions of RBTP. (a) symmetry index, (d) cadence. Pelvis kinematics: (b) left tilt, (c) right tilt, (e) left rotation, and (f) right rotation. The circle represents the presence of an outlier observed for one participant.
Figure 5. Gait analysis results before (T0), after eight (T1) and sixteen (T2) sessions of RBTP. (a) symmetry index, (d) cadence. Pelvis kinematics: (b) left tilt, (c) right tilt, (e) left rotation, and (f) right rotation. The circle represents the presence of an outlier observed for one participant.
Applsci 15 12047 g005
Figure 6. Pelvic kinematics before (T0), after eight (T1) and sixteen (T2) sessions of RBTP. Pelvis tilt: (a) left side, (b) right side. Pelvis rotation: (c) left side, (d) right side.
Figure 6. Pelvic kinematics before (T0), after eight (T1) and sixteen (T2) sessions of RBTP. Pelvis tilt: (a) left side, (b) right side. Pelvis rotation: (c) left side, (d) right side.
Applsci 15 12047 g006
Figure 7. Muscle co-activation index for the thigh muscles: (a) left stance phase, (b) left swing phase, (c) right stance phase, and (d) right swing phase; for the leg muscles: (e) left stance phase, (f) left swing phase, (g) right stance phase, and (h) right swing phase. The circle represents the presence of an outlier observed for one participant.
Figure 7. Muscle co-activation index for the thigh muscles: (a) left stance phase, (b) left swing phase, (c) right stance phase, and (d) right swing phase; for the leg muscles: (e) left stance phase, (f) left swing phase, (g) right stance phase, and (h) right swing phase. The circle represents the presence of an outlier observed for one participant.
Applsci 15 12047 g007
Figure 8. Muscle activation patterns in (T0) and after eight (T1) and sixteen (T2) sessions. (a) Left rectus femoris, (b) right rectus femoris, (c) left semitendinosus, (d) right semitendinosus, (e) left tibialis anterior, (f) right tibialis anterior, (g) left gastrocnemius, and (h) right gastrocnemius.
Figure 8. Muscle activation patterns in (T0) and after eight (T1) and sixteen (T2) sessions. (a) Left rectus femoris, (b) right rectus femoris, (c) left semitendinosus, (d) right semitendinosus, (e) left tibialis anterior, (f) right tibialis anterior, (g) left gastrocnemius, and (h) right gastrocnemius.
Applsci 15 12047 g008
Table 1. Information of participants who accomplished all the tests before the robot-based therapy program.
Table 1. Information of participants who accomplished all the tests before the robot-based therapy program.
P1P2P3P4P5P6P7P8
GenderFMMFFMFF
Age (yrs)778510886
Mass (kg)202223.614.526.323.71914
Height (cm)120120120105120121118105
GMFCSIIIIIIIIIIIIIIIIIIIIII
TCDipTetTetcDipTetTetTetDip
Assistive devicePWFWFWNo aidsFWFWFWNo aids
GMFM-6663.8177.659.1377.9835.0550.3459.4263.6
MAS
Hip flexion22323322
Hip extension22323322
Knee flexion33333223
Knee extension33333223
Ankle flexion23233322
Ankle extension23233322
Legend: M: male, F: female, GMFCS: Gross Motor Function Classification System, TC: topographic classification, Dip: Diparesic Cerebral Palsy, Tet: Tetraparesic Cerebral Palsy, PW: posterior walker, FW: front-wheel walker, MAS: modified Ashworth scale, GMFM-66: 66-item gross-motor function measures.
Disclaimer/Publisher’s Note: The statements, opinions and data contained in all publications are solely those of the individual author(s) and contributor(s) and not of MDPI and/or the editor(s). MDPI and/or the editor(s) disclaim responsibility for any injury to people or property resulting from any ideas, methods, instructions or products referred to in the content.

Share and Cite

MDPI and ACS Style

Salinas-Sánchez, I.; Huerta-Teutli, M.R.; Cordero-Cuevas, D.; Maldonado-Guerrero, G.; González-Carbonell, R.A. Preliminary Effects of a Robot-Based Therapy Program with Atlas-2030 in Children with Cerebral Palsy Receiving Care at a Specialized Rehabilitation Center. Appl. Sci. 2025, 15, 12047. https://doi.org/10.3390/app152212047

AMA Style

Salinas-Sánchez I, Huerta-Teutli MR, Cordero-Cuevas D, Maldonado-Guerrero G, González-Carbonell RA. Preliminary Effects of a Robot-Based Therapy Program with Atlas-2030 in Children with Cerebral Palsy Receiving Care at a Specialized Rehabilitation Center. Applied Sciences. 2025; 15(22):12047. https://doi.org/10.3390/app152212047

Chicago/Turabian Style

Salinas-Sánchez, Igor, María R. Huerta-Teutli, David Cordero-Cuevas, Guadalupe Maldonado-Guerrero, and Raide A. González-Carbonell. 2025. "Preliminary Effects of a Robot-Based Therapy Program with Atlas-2030 in Children with Cerebral Palsy Receiving Care at a Specialized Rehabilitation Center" Applied Sciences 15, no. 22: 12047. https://doi.org/10.3390/app152212047

APA Style

Salinas-Sánchez, I., Huerta-Teutli, M. R., Cordero-Cuevas, D., Maldonado-Guerrero, G., & González-Carbonell, R. A. (2025). Preliminary Effects of a Robot-Based Therapy Program with Atlas-2030 in Children with Cerebral Palsy Receiving Care at a Specialized Rehabilitation Center. Applied Sciences, 15(22), 12047. https://doi.org/10.3390/app152212047

Note that from the first issue of 2016, this journal uses article numbers instead of page numbers. See further details here.

Article Metrics

Back to TopTop