Sign in to use this feature.

Years

Between: -

Subjects

remove_circle_outline
remove_circle_outline
remove_circle_outline
remove_circle_outline
remove_circle_outline
remove_circle_outline
remove_circle_outline
remove_circle_outline
remove_circle_outline

Journals

remove_circle_outline
remove_circle_outline
remove_circle_outline
remove_circle_outline
remove_circle_outline
remove_circle_outline
remove_circle_outline

Article Types

Countries / Regions

remove_circle_outline
remove_circle_outline
remove_circle_outline
remove_circle_outline

Search Results (347)

Search Parameters:
Keywords = pursuit dynamics

Order results
Result details
Results per page
Select all
Export citation of selected articles as:
26 pages, 1579 KB  
Article
Thinking the Unthinkable: An Alternative Route to a Unified Theory
by Julian Hart
Philosophies 2025, 10(5), 110; https://doi.org/10.3390/philosophies10050110 - 3 Oct 2025
Abstract
One of the greatest quests in physics in current times is the search for a grand unified theory—to bring all the forces of nature into one coherent explanatory framework. Despite two centuries of progress, both in comprehending the individual forces and formulating mathematical [...] Read more.
One of the greatest quests in physics in current times is the search for a grand unified theory—to bring all the forces of nature into one coherent explanatory framework. Despite two centuries of progress, both in comprehending the individual forces and formulating mathematical constructs to explain the existence and operation of such forces, the final step to unify the localised atomic and subatomic forces with gravity has proven to be elusive. Whilst recognising that there are arguments for and against the unification of all the forces of nature, the pursuit for unity has been driving many physicists and mathematicians to explore increasingly extraordinary ideas, from string theory to various other options requiring multiple dimensions. Can process philosophy ride to the rescue? By changing our perspective, it might be possible to derive a provocative and compelling alternative way to understand basic (and advanced) physics. This process approach would see all matter objects, at whatever scale, as energetic systems (inherently dynamic). Through the use of game theory, there is a way to appreciate the combination of entropy together with all the apparent forces of nature, being gravity and the more localised forces, within a singular, metaphysically consistent, construct. The outcome, however, challenges our whole understanding of the universe and fundamentally changes our relationship with matter. Full article
Show Figures

Figure 1

25 pages, 6498 KB  
Article
SCPL-TD3: An Intelligent Evasion Strategy for High-Speed UAVs in Coordinated Pursuit-Evasion
by Xiaoyan Zhang, Tian Yan, Tong Li, Can Liu, Zijian Jiang and Jie Yan
Drones 2025, 9(10), 685; https://doi.org/10.3390/drones9100685 - 2 Oct 2025
Abstract
The rapid advancement of kinetic pursuit technologies has significantly increased the difficulty of evasion for high-speed UAVs (HSUAVs), particularly in scenarios where two collaboratively operating pursuers approach from the same direction with optimized initial space intervals. This paper begins by deriving an optimal [...] Read more.
The rapid advancement of kinetic pursuit technologies has significantly increased the difficulty of evasion for high-speed UAVs (HSUAVs), particularly in scenarios where two collaboratively operating pursuers approach from the same direction with optimized initial space intervals. This paper begins by deriving an optimal initial space interval to enhance cooperative pursuit effectiveness and introduces an evasion difficulty classification framework, thereby providing a structured approach for evaluating and optimizing evasion strategies. Based on this, an intelligent maneuver evasion strategy using semantic classification progressive learning with twin delayed deep deterministic policy gradient (SCPL-TD3) is proposed to address the challenging scenarios identified through the analysis. Training efficiency is enhanced by the proposed SCPL-TD3 algorithm through the employment of progressive learning to dynamically adjust training complexity and the integration of semantic classification to guide the learning process via meaningful state-action pattern recognition. Built upon the twin delayed deep deterministic policy gradient framework, the algorithm further enhances both stability and efficiency in complex environments. A specially designed reward function is incorporated to balance evasion performance with mission constraints, ensuring the fulfillment of HSUAV’s operational objectives. Simulation results demonstrate that the proposed approach significantly improves training stability and evasion effectiveness, achieving a 97.04% success rate and a 7.10–14.85% improvement in decision-making speed. Full article
Show Figures

Figure 1

21 pages, 741 KB  
Article
A DH-KSVD Algorithm for Efficient Compression of Shock Wave Data
by Jiarong Liu, Yonghong Ding and Wenbin You
Appl. Sci. 2025, 15(19), 10640; https://doi.org/10.3390/app151910640 - 1 Oct 2025
Abstract
To address low training efficiency and poor reconstruction in traditional K Singular Value Decomposition (KSVD) for compressive sensing of shock wave signals, this study proposes an improved algorithm, DH-KSVD, integrating dynamic pruning and hybrid coding. The dynamic pruning mechanism eliminates redundant atoms according [...] Read more.
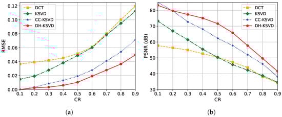
To address low training efficiency and poor reconstruction in traditional K Singular Value Decomposition (KSVD) for compressive sensing of shock wave signals, this study proposes an improved algorithm, DH-KSVD, integrating dynamic pruning and hybrid coding. The dynamic pruning mechanism eliminates redundant atoms according to their contributions and adaptive thresholds, while incorporating residual features to enhance dictionary compactness and training efficiency. The hybrid sparse constraint integrates the sparsity of 0-Orthogonal Matching Pursuit (OMP) with the noise robustness of 1-Least Absolute Shrinkage and Selection Operator (LASSO), dynamically adjusting their relative weights to enhance both coding quality and reconstruction stability. Experiments on typical shock wave datasets show that, compared with Discrete Cosine Transform (DCT), KSVD, and feature-based segmented dictionary methods (termed CC-KSVD), DH-KSVD reduces average training time by 46.4%, 31%, and 13.7%, respectively. At a Compression Ratio (CR) of 0.7, the Root Mean Square Error (RMSE) decreases by 67.1%, 65.7%, and 36.2%, while the Peak Signal-to-Noise Ratio (PSNR) increases by 35.5%, 39.8%, and 11.8%, respectively. The proposed algorithm markedly improves training efficiency and achieves lower RMSE and higher PSNR under high compression ratios, providing an effective solution for compressing long-duration, transient shock wave signals. Full article
Show Figures

Figure 1

21 pages, 3952 KB  
Article
Multi-Objective Optimization Study on Capture Performance of Diesel Particulate Filter Based on the GRA-MLR-WOA Hybrid Method
by Muxin Nian, Rui Dong, Weihuang Zhong, Yunhua Zhang and Diming Lou
Sustainability 2025, 17(19), 8777; https://doi.org/10.3390/su17198777 - 30 Sep 2025
Abstract
The diesel particulate filter (DPF) is among the most effective measures for controlling particulate emissions from diesel vehicles. Therefore, resource-efficient DPF design and operation are critical to sustainable deployment. In practical engineering, the pursuit of high filtration efficiency inevitably leads to excessively high [...] Read more.
The diesel particulate filter (DPF) is among the most effective measures for controlling particulate emissions from diesel vehicles. Therefore, resource-efficient DPF design and operation are critical to sustainable deployment. In practical engineering, the pursuit of high filtration efficiency inevitably leads to excessively high pressure drop, which in turn impairs the fuel economy and operational reliability of the engine. To address this pair of conflicting objectives, this study introduces a hybrid GRA-MLR-WOA approach, with the initial filtration efficiency and pressure drop at an 80 g soot capture amount as the optimization objectives, to optimize the structural parameters of the DPF. Firstly, based on a computational fluid dynamics (CFD) model and orthogonal experimental design, combined with grey relational analysis (GRA), the effects of key structural parameters on filtration efficiency and pressure drop were evaluated. Secondly, Box–Behnken Design (BBD) was integrated with multiple linear regression (MLR) to establish mathematical regression models describing the relationships between structural parameters, filtration efficiency, and pressure drop. Finally, the whale optimization algorithm (WOA) was employed to obtain the Pareto frontier of the regression models. Through screening with the goal of maximizing initial filtration efficiency, the optimized DPF achieved a 46.85% increase in initial filtration efficiency and a 34.88% reduction in pressure drop compared to the original model. This study targets sustainable filtration design and proposes an optimization framework that jointly optimizes pressure drop and the initial filtration efficiency. The results provide a robust empirical basis for engineering practice and demonstrate strong reproducibility. Full article
Show Figures

Figure 1

35 pages, 89447 KB  
Systematic Review
A Systematic Review of Modeling and Control Approaches for Path Tracking in Unmanned Agricultural Ground Vehicles
by Yafei Zhang, Hui Liu, Yayun Shen, Siwei He, Hui Wang and Yue Shen
Agronomy 2025, 15(10), 2274; https://doi.org/10.3390/agronomy15102274 - 25 Sep 2025
Abstract
With the advancement of precision agriculture, the autonomous navigation of unmanned agricultural ground vehicles (UAGVs) has emerged as a critical research topic. As a fundamental component of autonomous navigation, path-tracking control is essential for ensuring the accurate and stable operation of UAGVs. However, [...] Read more.
With the advancement of precision agriculture, the autonomous navigation of unmanned agricultural ground vehicles (UAGVs) has emerged as a critical research topic. As a fundamental component of autonomous navigation, path-tracking control is essential for ensuring the accurate and stable operation of UAGVs. However, achieving high-precision and robust tracking in agricultural environments remains challenging due to unstructured terrain, variable wheel slip, and complex dynamic disturbances. This review provides a structured and comprehensive survey of modeling and control methodologies for UAGVs, with particular emphasis on control-theoretic formulations and their applicability across diverse agricultural scenarios. In contrast to prior reviews, the modeling approaches are systematically classified into geometric, kinematic, and dynamic models, including extended formulations that incorporate wheel slip and external disturbances. Furthermore, this paper systematically reviews commonly adopted path-tracking strategies for UAGVs, including proportional–integral–derivative (PID) control, pure pursuit (PP), Stanley control, sliding mode control (SMC), model predictive control (MPC), and learning-based approaches. Emphasis is placed on their theoretical underpinnings, tracking accuracy, adaptability to unstructured field environments, and computational efficiency. In addition, several key technical challenges are identified, such as terrain-adaptive vehicle modeling, slip compensation mechanisms, real-time implementation under hardware constraints, and the cooperative control of multiple UAGVs operating in dynamic agricultural scenarios. By presenting a detailed review from a control-centric perspective, this study aims to serve as a valuable reference for researchers and practitioners developing intelligent agricultural vehicle systems. Full article
(This article belongs to the Section Precision and Digital Agriculture)
Show Figures

Figure 1

27 pages, 1701 KB  
Article
A DRL Framework for Autonomous Pursuit-Evasion: From Multi-Spacecraft to Multi-Drone Scenarios
by Zhenyang Xu, Shuyi Shao and Zengliang Han
Drones 2025, 9(9), 636; https://doi.org/10.3390/drones9090636 - 10 Sep 2025
Viewed by 436
Abstract
To address the challenges of autonomous pursuit-evasion in aerospace, particularly in achieving cross-domain generalizability and handling complex terminal constraints, this paper proposes a generalizable deep reinforcement learning (DRL) framework. The core of the method is a self-play Proximal Policy Optimization (PPO) architecture enhanced [...] Read more.
To address the challenges of autonomous pursuit-evasion in aerospace, particularly in achieving cross-domain generalizability and handling complex terminal constraints, this paper proposes a generalizable deep reinforcement learning (DRL) framework. The core of the method is a self-play Proximal Policy Optimization (PPO) architecture enhanced by two key innovations. First, a dynamics-agnostic curriculum learning (CL) strategy is employed to accelerate training and enhance policy robustness by structuring the learning process from simple to complex. Second, a transferable prediction-based reward function is designed to provide dense, forward-looking guidance, utilizing forward-state projection to effectively satisfy mission-specific terminal conditions. Comprehensive simulations were conducted in both multi-spacecraft and multi-drone scenarios. In the primary spacecraft validation, the proposed method achieved a 90.7% success rate, significantly outperforming baseline algorithms like traditional PPO and Soft Actor-Critic (SAC). Furthermore, it demonstrated superior robustness, with a performance drop of only 8.3% under stochastic perturbations, a stark contrast to the over 18% degradation seen in baseline methods. The successful application in a multi-drone scenario, including an obstacle-rich environment, confirms the framework’s potential as a unified and robust solution for diverse autonomous adversarial systems. Full article
Show Figures

Figure 1

17 pages, 1294 KB  
Article
SPARSE-OTFS-Net: A Sparse Robust OTFS Signal Detection Algorithm for 6G Ubiquitous Coverage
by Yunzhi Ling and Jun Xu
Electronics 2025, 14(17), 3532; https://doi.org/10.3390/electronics14173532 - 4 Sep 2025
Viewed by 498
Abstract
With the evolution of 6G technology toward global coverage and multidimensional integration, OTFS modulation has become a research focus due to its advantages in high-mobility scenarios. However, existing OTFS signal detection algorithms face challenges such as pilot contamination, Doppler spread degradation, and diverse [...] Read more.
With the evolution of 6G technology toward global coverage and multidimensional integration, OTFS modulation has become a research focus due to its advantages in high-mobility scenarios. However, existing OTFS signal detection algorithms face challenges such as pilot contamination, Doppler spread degradation, and diverse interference in complex environments. This paper proposes the SPARSE-OTFS-Net algorithm, which establishes a comprehensive signal detection solution by innovatively integrating sparse random pilot design, compressive sensing-based frequency offset estimation with closed-loop cancellation, and joint denoising techniques combining an autoencoder, residual learning, and multi-scale feature fusion. The algorithm employs deep learning to dynamically generate non-uniform pilot distributions, reducing pilot contamination by 60%. Through orthogonal matching pursuit algorithms, it achieves super-resolution frequency offset estimation with tracking errors controlled within 20 Hz, effectively addressing Doppler spread degradation. The multi-stage denoising mechanism of deep neural networks suppresses various interferences while preserving time-frequency domain signal sparsity. Simulation results demonstrate: Under large frequency offset, multipath, and low SNR conditions, multi-kernel convolution technology achieves significant computational complexity reduction while exhibiting outstanding performance in tracking error and weak multipath detection. In 1000 km/h high-speed mobility scenarios, Doppler error estimation accuracy reaches ±25 Hz (approaching the Cramér-Rao bound), with BER performance of 5.0 × 10−6 (7× improvement over single-Gaussian CNN’s 3.5 × 10−5). In 1024-user interference scenarios with BER = 10−5 requirements, SNR demand decreases from 11.4 dB to 9.2 dB (2.2 dB reduction), while maintaining EVM at 6.5% under 1024-user concurrency (compared to 16.5% for conventional MMSE), effectively increasing concurrent user capacity in 6G ultra-massive connectivity scenarios. These results validate the superior performance of SPARSE-OTFS-Net in 6G ultra-massive connectivity applications and provide critical technical support for realizing integrated space–air–ground networks. Full article
(This article belongs to the Section Microwave and Wireless Communications)
Show Figures

Figure 1

21 pages, 2087 KB  
Review
Neurophysiology of Gaze Direction as Poly-Equilibrium
by Laurent Goffart
NeuroSci 2025, 6(3), 85; https://doi.org/10.3390/neurosci6030085 - 4 Sep 2025
Viewed by 463
Abstract
The static orientation of the eyes during visual fixation is determined by the simultaneous operation of multiple equilibria. This phenomenon is collectively referred to as poly-equilibrium, which involves multiple systems that work together to cancel each other out and establish gaze direction. While [...] Read more.
The static orientation of the eyes during visual fixation is determined by the simultaneous operation of multiple equilibria. This phenomenon is collectively referred to as poly-equilibrium, which involves multiple systems that work together to cancel each other out and establish gaze direction. While other systems, such as audio- and cervico-ocular systems, may also contribute to gaze direction, this review focuses primarily on the commands issued by the vestibulo- and visuo-oculomotor systems that determine gaze direction, as they play a key role in the poly-equilibrium process. From the visual and vestibular activities accompanying the appearance of an object in the central visual field to the recruitment of premotor neurons responsible for the generation of slow and saccadic eye movements, a delicate balance is maintained. As long as the recruited channels convey commands that counterbalance each other, no movement is initiated. This alternative viewpoint leads to reconsidering the nature of saccadic and pursuit eye movements. Rather than viewing them as the dynamic reduction in brain signals encoding kinematic parameters such as position or velocity, they can be seen as the physical expression of intracerebral processes restoring balanced activities between sensorimotor channels whose recruitment leads to mutually opposed movements. Full article
Show Figures

Figure 1

20 pages, 7914 KB  
Article
Channel Estimation for Intelligent Reflecting Surface Empowered Coal Mine Wireless Communication Systems
by Yang Liu, Kaikai Guo, Xiaoyue Li, Bin Wang and Yanhong Xu
Entropy 2025, 27(9), 932; https://doi.org/10.3390/e27090932 - 4 Sep 2025
Viewed by 524
Abstract
The confined space of coal mines characterized by curved tunnels with rough surfaces and a variety of deployed production equipment induces severe signal attenuation and interruption, which significantly degrades the accuracy of conventional channel estimation algorithms applied in coal mine wireless communication systems. [...] Read more.
The confined space of coal mines characterized by curved tunnels with rough surfaces and a variety of deployed production equipment induces severe signal attenuation and interruption, which significantly degrades the accuracy of conventional channel estimation algorithms applied in coal mine wireless communication systems. To address these challenges, we propose a modified Bilinear Generalized Approximate Message Passing (mBiGAMP) algorithm enhanced by intelligent reflecting surface (IRS) technology to improve channel estimation accuracy in coal mine scenarios. Due to the presence of abundant coal-carrying belt conveyors, we establish a hybrid channel model integrating both fast-varying and quasi-static components to accurately model the unique propagation environment in coal mines. Specifically, the fast-varying channel captures the varying signal paths affected by moving conveyors, while the quasi-static channel represents stable direct links. Since this hybrid structure necessitates an augmented factor graph, we introduce two additional factor nodes and variable nodes to characterize the distinct message-passing behaviors and then rigorously derive the mBiGAMP algorithm. Simulation results demonstrate that the proposed mBiGAMP algorithm achieves superior channel estimation accuracy in dynamic conveyor-affected coal mine scenarios compared with other state-of-the-art methods, showing significant improvements in both separated and cascaded channel estimation. Specifically, when the NMSE is 103, the SNR of mBiGAMP is improved by approximately 5 dB, 6 dB, and 14 dB compared with the Dual-Structure Orthogonal Matching Pursuit (DS-OMP), Parallel Factor (PARAFAC), and Least Squares (LS) algorithms, respectively. We also verify the convergence behavior of the proposed mBiGAMP algorithm across the operational signal-to-noise ratios range. Furthermore, we investigate the impact of the number of pilots on the channel estimation performance, which reveals that the proposed mBiGAMP algorithm consumes fewer number of pilots to accurately recover channel state information than other methods while preserving estimation fidelity. Full article
(This article belongs to the Special Issue Wireless Communications: Signal Processing Perspectives, 2nd Edition)
Show Figures

Figure 1

18 pages, 2106 KB  
Systematic Review
Innovation Hub Drivers and Activities: A Desktop Assessment for Sustainability
by Clio Flego and Alessio Tei
Sustainability 2025, 17(17), 7963; https://doi.org/10.3390/su17177963 - 4 Sep 2025
Viewed by 857
Abstract
In the 21st century, the concept of the Innovation Hubinnovation hub (IH) has become increasingly significant with the emergence of collaborative spaces, entrepreneurial ecosystems, and the pursuit of creative, sustainable solutions to contemporary challenges. While the literature presents various typologies of IHs, a [...] Read more.
In the 21st century, the concept of the Innovation Hubinnovation hub (IH) has become increasingly significant with the emergence of collaborative spaces, entrepreneurial ecosystems, and the pursuit of creative, sustainable solutions to contemporary challenges. While the literature presents various typologies of IHs, a critical knowledge gap remains due to the limited availability of empirical data on their core drivers, functions, and sustainability practices. Addressing this gap through a comprehensive primary and secondary data collection will enhance the global understanding of IH dynamics, supporting evidence-based decision-making; strategic development; and long-term accountability for hub managers, entrepreneurs, and policymakers. This study aims to identify and classify the predominant characteristics of IHs, examining their key drivers, core activities, and sustainability dimensions through an in-depth analysis of three leading innovation hub networks: the European Creative Hubs Network (ECHN), Impact Hub, and Talent Garden (TAG). By exploring how these hubs foster innovation and integrate sustainability into their operational models, this research offers actionable insights for stakeholders seeking to align innovation with inclusive, resilient, and environmentally conscious economic development. Full article
(This article belongs to the Special Issue Advancing Innovation and Sustainability in SMEs and Entrepreneurship)
Show Figures

Figure 1

20 pages, 3173 KB  
Article
Multiple Pathways of Rural Digital Intelligence Driving Agricultural Eco-Efficiency: A Dynamic QCA Analysis
by Jianling Qi, Chengda Yang, Juan Xu, Tianhang Yang and Lingjing Zhang
Agriculture 2025, 15(17), 1838; https://doi.org/10.3390/agriculture15171838 - 29 Aug 2025
Viewed by 477
Abstract
The shift toward sustainable and efficient agricultural production has become a global imperative. Rural digital intelligence, which integrates advanced technologies into agricultural practices, emerges as a pivotal driver for advancing green transformation. Based on the technology–organization–environment (TOE) framework, this study explores how rural [...] Read more.
The shift toward sustainable and efficient agricultural production has become a global imperative. Rural digital intelligence, which integrates advanced technologies into agricultural practices, emerges as a pivotal driver for advancing green transformation. Based on the technology–organization–environment (TOE) framework, this study explores how rural digital intelligence drives agricultural eco-efficiency. Drawing on panel data from 30 Chinese provinces (2013–2023), this study applies dynamic qualitative comparative analysis (QCA) to unravel the complex causal pathways influencing agricultural eco-efficiency. Key findings demonstrate that (1) no single element of rural digital intelligence suffices to improve agricultural eco-efficiency; the combination of various factors can affect agricultural eco-efficiency. (2) Four distinct pathways achieve high agricultural eco-efficiency, categorized into three archetypes: application-driven pathway, synergy-robust pathway, and policy-driven pathway. (3) Temporal analysis indicates time-dependent effects in these pathways, influenced by fragmented policy implementation and technological constraints. (4) Spatial heterogeneity is pronounced; western China primarily follows the application-driven pathway, while eastern China and central China align with the synergy-robust pathway. This research explores configurational pathways through which rural digital intelligence enhances agricultural eco-efficiency, offering theoretical and empirical foundations for regionally tailored sustainable agricultural policies. Full article
Show Figures

Figure 1

21 pages, 728 KB  
Article
Resolving Linguistic Asymmetry: Forging Symmetric Multilingual Embeddings Through Asymmetric Contrastive and Curriculum Learning
by Lei Meng, Yinlin Li, Wei Wei and Caipei Yang
Symmetry 2025, 17(9), 1386; https://doi.org/10.3390/sym17091386 - 25 Aug 2025
Viewed by 687
Abstract
The pursuit of universal, symmetric semantic representations within large language models (LLMs) faces a fundamental challenge: the inherent asymmetry of natural languages. Different languages exhibit vast disparities in syntactic structures, lexical choices, and cultural nuances, making the creation of a truly shared, symmetric [...] Read more.
The pursuit of universal, symmetric semantic representations within large language models (LLMs) faces a fundamental challenge: the inherent asymmetry of natural languages. Different languages exhibit vast disparities in syntactic structures, lexical choices, and cultural nuances, making the creation of a truly shared, symmetric embedding space a non-trivial task. This paper aims to address this critical problem by introducing a novel framework to forge robust and symmetric multilingual sentence embeddings. Our approach, named DACL (Dynamic Asymmetric Contrastive Learning), is anchored in two powerful asymmetric learning paradigms: Contrastive Learning and Dynamic Curriculum Learning (DCL). We extend Contrastive Learning to the multilingual context, where it asymmetrically treats semantically equivalent sentences from different languages (positive pairs) and sentences with distinct meanings (negative pairs) to enforce semantic symmetry in the target embedding space. To further refine this process, we incorporate Dynamic Curriculum Learning, which introduces a second layer of asymmetry by dynamically scheduling training instances from easy to hard. This dual-asymmetric strategy enables the model to progressively master complex cross-lingual relationships, starting with more obvious semantic equivalences and advancing to subtler ones. Our comprehensive experiments on benchmark cross-lingual tasks, including sentence retrieval and cross-lingual classification (XNLI, PAWS-X, MLDoc, MARC), demonstrate that DACL significantly outperforms a wide range of established baselines. The results validate our dual-asymmetric framework as a highly effective approach for forging robust multilingual embeddings, particularly excelling in tasks involving complex linguistic asymmetries. Ultimately, this work contributes a novel dual-asymmetric learning framework that effectively leverages linguistic asymmetry to achieve robust semantic symmetry across languages. It offers valuable insights for developing more capable, fair, and interpretable multilingual LLMs, emphasizing that deliberately leveraging asymmetry in the learning process is a highly effective strategy. Full article
Show Figures

Figure 1

24 pages, 654 KB  
Article
How Does Trade Openness Drive New-Type Urbanization in Regions of China? The Moderating Role of Industrial Upgrading
by Jiatong Liu, Cong Hu and Yan Wu
Sustainability 2025, 17(16), 7454; https://doi.org/10.3390/su17167454 - 18 Aug 2025
Viewed by 477
Abstract
Against the backdrop of accelerated global integration and China’s pursuit of new type urbanization pathways, the role of trade openness—moderated by industrial upgrading—represents a critical yet underexplored nexus for emerging economies. Using provincial panel data from 31 Chinese provinces spanning from 2008 to [...] Read more.
Against the backdrop of accelerated global integration and China’s pursuit of new type urbanization pathways, the role of trade openness—moderated by industrial upgrading—represents a critical yet underexplored nexus for emerging economies. Using provincial panel data from 31 Chinese provinces spanning from 2008 to 2022, this study empirically examines the impact of trade openness on urbanization. It further examines the moderating role of industrial structure upgrading in this relationship. To address endogeneity and distributional heterogeneity, we employ economic distance as an instrumental variable and apply quantile regression methods, thereby providing a robust quantification of the dynamic effects of trade openness on urbanization. The study demonstrates that trade openness contributes to the advancement of China’s new type urbanization and that the upgrading of industrial structures positively reinforces this effect through trade openness. Further heterogeneity analysis reveals that the eastern region, which is more economically developed and more globally integrated, exhibits a stronger awareness of and responsiveness to the impact of trade openness on urbanization. This article provides a theoretical framework for the sustainable development of China’s new type urbanization, encouraging stakeholders to actively engage in the urbanization process and to promote balanced economic, social, and environmental development. This study offers actionable insights for policymakers to align trade openness with new type urbanization pathways. Full article
Show Figures

Figure 1

20 pages, 2431 KB  
Article
Game Theory-Based Leader–Follower Tracking Control for an Orbital Pursuit–Evasion System with Tethered Space Net Robots
by Zhanxia Zhu, Chuang Wang and Jianjun Luo
Aerospace 2025, 12(8), 710; https://doi.org/10.3390/aerospace12080710 - 11 Aug 2025
Viewed by 432
Abstract
The tethered space net robot offers an effective solution for active space debris removal due to its large capture envelope. However, most existing studies overlook the evasive behavior of non-cooperative targets. To address this, we model an orbital pursuit–evasion game involving a tethered [...] Read more.
The tethered space net robot offers an effective solution for active space debris removal due to its large capture envelope. However, most existing studies overlook the evasive behavior of non-cooperative targets. To address this, we model an orbital pursuit–evasion game involving a tethered net and propose a game theory-based leader–follower tracking control strategy. In this framework, a virtual leader—defined as the geometric center of four followers—engages in a zero-sum game with the evader. An adaptive dynamic programming method is employed to handle input saturation and compute the Nash Equilibrium strategy. In the follower formation tracking phase, a synchronous distributed model predictive control approach is proposed to update all followers’ control simultaneously, ensuring accurate tracking while meeting safety constraints. The feasibility and stability of the proposed method are theoretically analyzed. Additionally, a body-fixed reference frame is introduced to reduce the capture angle. Simulation results show that the proposed strategy successfully captures the target and outperforms existing methods in both formation keeping and control efficiency. Full article
(This article belongs to the Special Issue Dynamics and Control of Space On-Orbit Operations)
Show Figures

Figure 1

20 pages, 10557 KB  
Article
HAUV-USV Collaborative Operation System for Hydrological Monitoring
by Qiusheng Wang, Shuibo Hu, Zhou Yang and Guofeng Wu
J. Mar. Sci. Eng. 2025, 13(8), 1540; https://doi.org/10.3390/jmse13081540 - 11 Aug 2025
Viewed by 590
Abstract
Research in marine hydrographic environmental monitoring continues to deepen, necessitating a hardware platform capable of traversing air–water interfaces to collect vertical gradient parameters across oceanographic profiles. This paper proposes a deeply integrated heterogeneous monitoring platform for marine hydrological vertical profiling, addressing the functional [...] Read more.
Research in marine hydrographic environmental monitoring continues to deepen, necessitating a hardware platform capable of traversing air–water interfaces to collect vertical gradient parameters across oceanographic profiles. This paper proposes a deeply integrated heterogeneous monitoring platform for marine hydrological vertical profiling, addressing the functional limitations of conventional unmanned surface vehicles (USVs) and unmanned aerial vehicles (UAVs) in subsurface monitoring. By co-designing a hybrid aerial underwater vehicle (HAUV) with cross-domain capabilities and a USV, the system leverages USVs for long-endurance surface operations and HAUVs for high-speed vertical column monitoring. Key innovations include (1) a distributed collaborative architecture enabling “Air–Sea–Air” cyclic operations; (2) dynamic modeling of HAUV-USV interactions incorporating aerodynamic and hydrodynamic coupling; (3) an MPC-based collaborative tracking algorithm for real-time USV pursuit under marine disturbances; and (4) a vision-guided synchronous landing strategy achieving decimeter-level docking accuracy in bad conditions. Simulation experiments validate the system’s efficacy in trajectory tracking and precision landing. This work bridges the critical gap in marine vertical profile monitoring while demonstrating robust cross-domain coordination. Full article
(This article belongs to the Section Ocean Engineering)
Show Figures

Figure 1

Back to TopTop