Game Theory-Based Leader–Follower Tracking Control for an Orbital Pursuit–Evasion System with Tethered Space Net Robots
Abstract
1. Introduction
2. Problem Formulation
2.1. Task Overview
2.2. Dynamics Modeling
2.3. Leader–Follower Framework Design
3. Game Theory-Based Approach to Orbital Pursuit–Evasion Problem
3.1. OPEG Modeling
3.2. Approach to Game Control Solution
4. SDMPC Approach to Multi-Agent Formation Control
4.1. Task Formulation for Formation Control
4.2. Definition of the Cost Functions and Constraints
4.3. Design of the Compatibility Constraints
4.4. Design of Safety Constraints
4.5. Design of the Terminal Ingredients
4.5.1. Terminal Control
4.5.2. Terminal Cost
4.5.3. Terminal Set
4.6. Discussion of the Feasibility and Stability
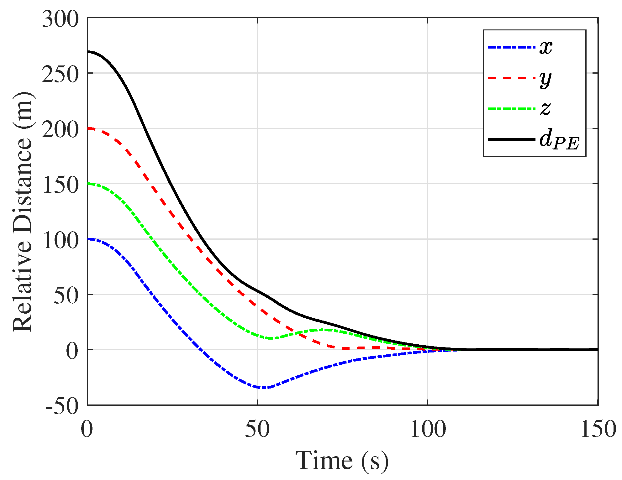
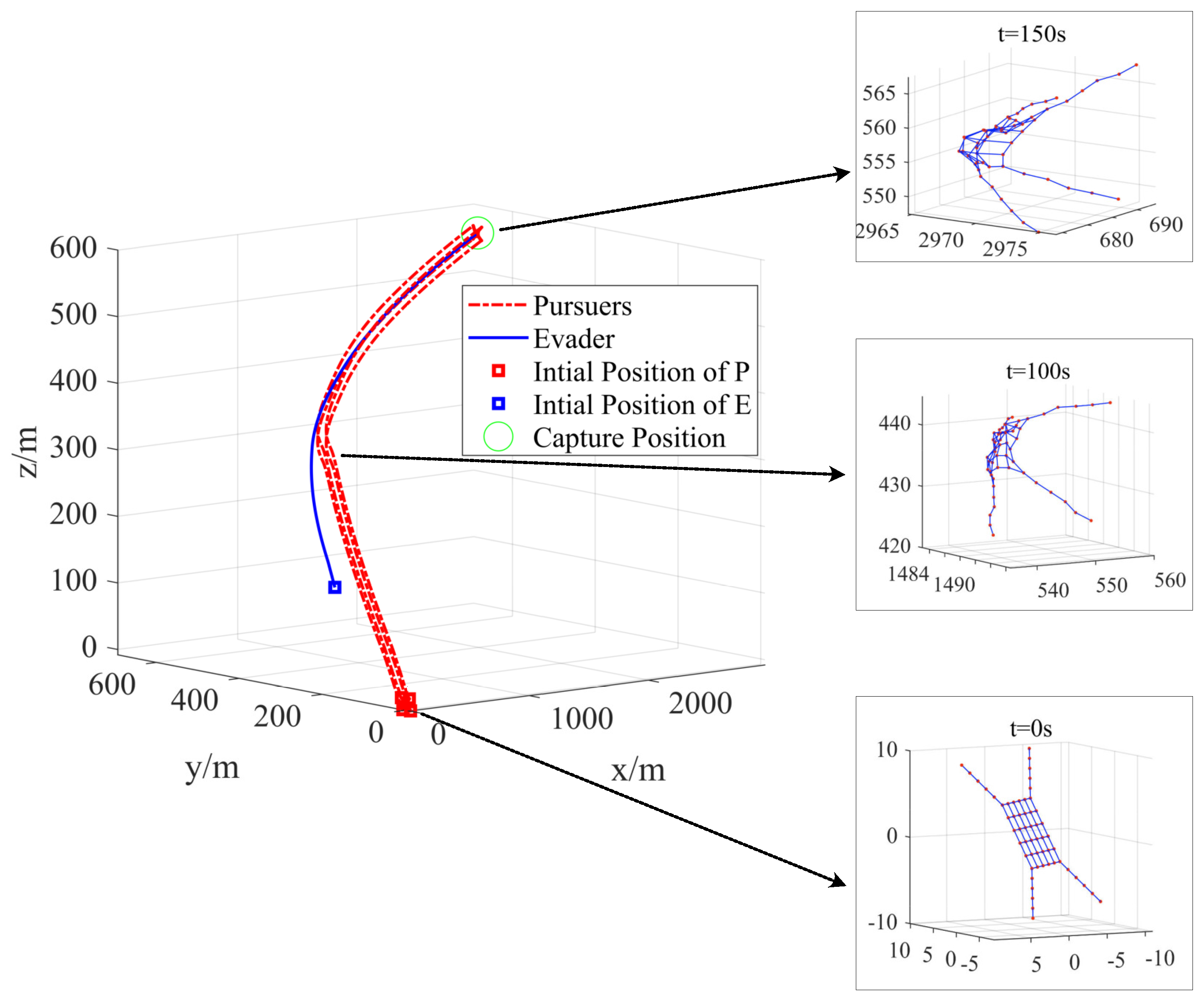
5. Simulation Results
6. Conclusions
Author Contributions
Funding
Data Availability Statement
Conflicts of Interest
References
- Aglietti, G.S.; Taylor, B.; Fellowes, S.; Salmon, T.; Retat, I.; Hall, A.; Steyn, W.H. The active space debris removal mission RemoveDebris. Part 2: In orbit operations. Acta Astronaut. 2020, 168, 310–322. [Google Scholar] [CrossRef]
- Svotina, V.V.; Cherkasova, M.V. Space debris removal–Review of technologies and techniques. Flexible or virtual connection between space debris and service spacecraft. Acta Astronaut. 2023, 204, 840–853. [Google Scholar] [CrossRef]
- Liu, Y.; Ma, Z.; Zhang, F.; Huang, P. Time-varying formation planning and scaling control for tethered space net robot. IEEE Trans. Aerosp. Electron. Syst. 2023, 59, 6717–6728. [Google Scholar] [CrossRef]
- Zhu, W.; Pang, Z.; Du, Z.; Gao, G.; Zhu, Z.H. Multi-debris capture by tethered space net robot via redeployment and assembly. J. Guid. Control Dyn. 2024, 10, 1359–1376. [Google Scholar] [CrossRef]
- Zhang, F.; Huang, P. Releasing dynamics and stability control of maneuverable tethered space net. IEEE/ASME Trans. Mechatron. 2016, 22, 983–993. [Google Scholar] [CrossRef]
- Ma, Y.; Zhang, Y.; Liu, Y.; Huang, P.; Zhang, F. An active energy management distributed formation control for tethered space net robot via cooperative game theory. Acta Astronaut. 2025, 227, 57–66. [Google Scholar] [CrossRef]
- Ma, Y.; Zhang, Y.; Huang, P.; Liu, Y.; Zhang, F. Game theory based finite-time formation control using artificial potentials for tethered space net robot. Chin. J. Aeronaut. 2024, 37, 358–372. [Google Scholar] [CrossRef]
- Du, Z.; Zhang, H.; Wang, Z.; Yan, H. Model predictive formation tracking-containment control for multi-UAVs with obstacle avoidance. IEEE Trans. Syst. Man Cybern. Syst. 2024, 54, 3404–3414. [Google Scholar] [CrossRef]
- Nie, Y.; Li, X. Antidisturbance distributed lyapunov-based model predictive control for quadruped robot formation tracking. IEEE Trans. Ind. Electron. 2025. [Google Scholar] [CrossRef]
- Li, J.; Li, C. Guidance strategy of motion camouflage for spacecraft pursuit-evasion game. Chin. J. Aeronaut. 2024, 37, 312–319. [Google Scholar] [CrossRef]
- Jia, Z.; Ye, D.; Xiao, Y.; Sun, Z. Closed-Loop Strategy Synthesis for Real-Time Spacecraft Pursuit-Evasion Games in Elliptical Orbits. IEEE Trans. Aerosp. Electron. Syst. 2025. [Google Scholar] [CrossRef]
- Liu, Y.; Zhang, Y.; Jiang, J.; Li, C. Multiple-to-one orbital pursuit: A computational game strategy. IEEE Trans. Aerosp. Electron. Syst. 2024, 61, 2213–2225. [Google Scholar] [CrossRef]
- Shen, H.; Casalino, L. Revisit of the three-dimensional orbital pursuit-evasion game. J. Guid. Control Dyn. 2018, 41, 1820–1831. [Google Scholar] [CrossRef]
- Shen, M.; Wang, X.; Zhu, S.; Wu, Z.; Huang, T. Data-driven event-triggered adaptive dynamic programming control for nonlinear systems with input saturation. IEEE Trans. Cybern. 2023, 54, 1178–1188. [Google Scholar] [CrossRef]
- Lv, Y.; Ren, X. Approximate Nash solutions for multiplayer mixed-zero-sum game with reinforcement learning. IEEE Trans. Syst. Man Cybern. Syst. 2018, 49, 2739–2750. [Google Scholar] [CrossRef]
- Zhang, T.; Zhang, S.; Li, H.; Zhao, X. Velocity-free prescribed-time orbit containment control for satellite clusters under actuator saturation. Adv. Space Res. 2025, 75, 5110–5123. [Google Scholar] [CrossRef]
- Yao, Q.; Li, Q.; Xie, S.; Jahanshahi, H. Distributed predefined-time robust adaptive control design for attitude consensus of multiple spacecraft. Adv. Space Res. 2025, 75, 7473–7486. [Google Scholar] [CrossRef]
- Wei, C.; Wu, X.; Xiao, B.; Wu, J.; Zhang, C. Adaptive leader-following performance guaranteed formation control for multiple spacecraft with collision avoidance and connectivity assurance. Aerosp. Sci. Technol. 2022, 120, 107266. [Google Scholar] [CrossRef]
- Xue, X.; Wang, X.; Han, N. Leader-Following Connectivity Preservation and Collision Avoidance Control for Multiple Spacecraft with Bounded Actuation. Aerospace 2024, 11, 612. [Google Scholar] [CrossRef]
- Grimm, F.; Kolahian, P.; Zhang, Z.; Baghdadi, M. A sphere decoding algorithm for multistep sequential model-predictive control. IEEE Trans. Ind. Appl. 2021, 57, 2931–2940. [Google Scholar] [CrossRef]
- Wu, J.; Dai, L.; Xia, Y. Iterative distributed model predictive control for heterogeneous systems with non-convex coupled constraints. Automatica 2024, 166, 111700. [Google Scholar] [CrossRef]
- Dai, L.; Cao, Q.; Xia, Y.; Gao, Y. Distributed MPC for formation of multi-agent systems with collision avoidance and obstacle avoidance. J. Franklin Inst. 2017, 354, 2068–2085. [Google Scholar] [CrossRef]
- Mu, C.; Wang, K. Approximate-optimal control algorithm for constrained zero-sum differential games through event-triggering mechanism. Nonlinear Dyn. 2019, 95, 2639–2657. [Google Scholar] [CrossRef]
- Jiang, Y.; Hu, S.; Damaren, C.; Luo, L.; Liu, B. Trajectory planning with collision avoidance for multiple quadrotor UAVs using DMPC. Int. J. Aeronaut. Space Sci. 2023, 24, 1403–1417. [Google Scholar] [CrossRef]
- Zhu, W.; Pang, Z.; Si, J.; Gao, G. Dynamics and configuration control of the Tethered Space Net Robot under a collision with high-speed debris. Adv. Space Res. 2022, 70, 1351–1361. [Google Scholar] [CrossRef]
- Yang, Y.; Fan, X.; Xu, C.; Wu, J.; Sun, B. State consensus cooperative control for a class of nonlinear multi-agent systems with output constraints via ADP approach. Neurocomputing 2021, 458, 284–296. [Google Scholar] [CrossRef]















| Symbol | Description |
|---|---|
| Assumed control | |
| Assumed state | |
| Feasible control | |
| Feasible state | |
| Optimal control | |
| Optimal state |
| x () | 0 | 0 ± 200 | 0 | −20 | 0 | 20 |
| y () | 0 | 0 ± 200 | 0 | 0 | 0 | 0 |
| z () | 0 | 0 ± 200 | 20 | 0 | −20 | 0 |
| () | 0.01 | 0 | 0 | 0 | 0 | 0 |
| () | 0 | 0 | 0 | 0 | 0 | 0 |
| () | 0 | 0 | 0 | 0 | 0 | 0 |
| Metric | SDMPC | APF |
|---|---|---|
| Control Effort () | 975.46 ± 101.78 | 1031.25 ± 106.19 |
| Maximum Formation Deviation () | 8.66 ± 2.65 | 11.56 ± 3.11 |
| Formation Error Convergence Time () | 39.56 ± 4.26 | 42.83 ± 5.67 |
Disclaimer/Publisher’s Note: The statements, opinions and data contained in all publications are solely those of the individual author(s) and contributor(s) and not of MDPI and/or the editor(s). MDPI and/or the editor(s) disclaim responsibility for any injury to people or property resulting from any ideas, methods, instructions or products referred to in the content. |
© 2025 by the authors. Licensee MDPI, Basel, Switzerland. This article is an open access article distributed under the terms and conditions of the Creative Commons Attribution (CC BY) license (https://creativecommons.org/licenses/by/4.0/).
Share and Cite
Zhu, Z.; Wang, C.; Luo, J. Game Theory-Based Leader–Follower Tracking Control for an Orbital Pursuit–Evasion System with Tethered Space Net Robots. Aerospace 2025, 12, 710. https://doi.org/10.3390/aerospace12080710
Zhu Z, Wang C, Luo J. Game Theory-Based Leader–Follower Tracking Control for an Orbital Pursuit–Evasion System with Tethered Space Net Robots. Aerospace. 2025; 12(8):710. https://doi.org/10.3390/aerospace12080710
Chicago/Turabian StyleZhu, Zhanxia, Chuang Wang, and Jianjun Luo. 2025. "Game Theory-Based Leader–Follower Tracking Control for an Orbital Pursuit–Evasion System with Tethered Space Net Robots" Aerospace 12, no. 8: 710. https://doi.org/10.3390/aerospace12080710
APA StyleZhu, Z., Wang, C., & Luo, J. (2025). Game Theory-Based Leader–Follower Tracking Control for an Orbital Pursuit–Evasion System with Tethered Space Net Robots. Aerospace, 12(8), 710. https://doi.org/10.3390/aerospace12080710

