Sign in to use this feature.

Years

Between: -

Subjects

remove_circle_outline
remove_circle_outline
remove_circle_outline
remove_circle_outline
remove_circle_outline
remove_circle_outline
remove_circle_outline
remove_circle_outline

Journals

remove_circle_outline
remove_circle_outline
remove_circle_outline
remove_circle_outline
remove_circle_outline
remove_circle_outline
remove_circle_outline
remove_circle_outline
remove_circle_outline
remove_circle_outline
remove_circle_outline
remove_circle_outline
remove_circle_outline
remove_circle_outline
remove_circle_outline

Article Types

Countries / Regions

remove_circle_outline
remove_circle_outline
remove_circle_outline
remove_circle_outline
remove_circle_outline
remove_circle_outline
remove_circle_outline

Search Results (1,021)

Search Parameters:
Keywords = pulmonary injury

Order results
Result details
Results per page
Select all
Export citation of selected articles as:
20 pages, 931 KB  
Review
Cellular and Molecular Mechanisms of SARS-CoV-2 Spike Protein-Induced Endothelial Dysfunction
by Kelsey C. Muir, Dwight D. Harris, Meghamsh Kanuparthy, Jiayu Hu, Ju-Woo Nho, Christopher Stone, Debolina Banerjee, Frank W. Sellke and Jun Feng
Cells 2026, 15(3), 234; https://doi.org/10.3390/cells15030234 - 26 Jan 2026
Abstract
Severe acute respiratory syndrome coronavirus 2 (SARS-CoV-2) infection is initiated by the viral spike proteins, which are key structural components that mediate host cell binding and entry and alter downstream signaling through multiple interactions with endothelial surface receptors. Endothelial dysfunction is a central [...] Read more.
Severe acute respiratory syndrome coronavirus 2 (SARS-CoV-2) infection is initiated by the viral spike proteins, which are key structural components that mediate host cell binding and entry and alter downstream signaling through multiple interactions with endothelial surface receptors. Endothelial dysfunction is a central consequence of COVID-19, contributing to vascular inflammation, barrier disruption, thrombosis, and multi-organ injury affecting the pulmonary, cardiovascular, cerebral, and renal systems. Emerging evidence demonstrates that spike protein-mediated effects, independent of productive viral infection, disrupt endothelial homeostasis through angiotensin-converting enzyme 2 (ACE2) dysregulation, integrin engagement, altered calcium signaling, junctional protein remodeling, oxidative stress, and pro-inflammatory and pro-apoptotic pathways. This review is intentionally focused on spike (S) protein-driven mechanisms of endothelial dysfunction; pathogenic vascular effects attributed to other SARS-CoV-2 structural proteins, including the nucleocapsid (N) protein, are beyond the scope of this discussion. In this review, we synthesize current experimental and translational data detailing the molecular mechanisms by which the SARS-CoV-2 spike protein drives endothelial dysfunction across multiple organ systems and discuss potential therapeutic strategies aimed at preserving endothelial integrity in acute COVID-19 and its long-term vascular sequela. Full article
(This article belongs to the Special Issue Endothelial Dysfunction in Vascular Diseases)
Show Figures

Figure 1

24 pages, 10802 KB  
Article
NRICM102, a TCM Formula, Attenuates COPD-Relevant Inflammatory Lung Injury in Mice by Improving Pulmonary Function and Reversing Immune Dysregulation
by Yuh-Chiang Shen, Kuo-Tong Liou, Yea-Hwey Wang, Geng-You Liao, Wen-Chi Wei, Cher-Chia Chang, Wen-Fei Chiou, Keng-Chang Tsai, Chun-Tang Chiou, Yaw-Dong Lang, Chia-Ching Liaw and Yi-Chang Su
Pharmaceuticals 2026, 19(2), 199; https://doi.org/10.3390/ph19020199 - 23 Jan 2026
Viewed by 99
Abstract
Background: Chronic obstructive pulmonary disease (COPD) is a progressive inflammatory lung disorder with limited effective therapies. NRICM102, a traditional multi-herbal formulation originally developed for COVID-19, exhibits anti-inflammatory and immunomodulatory potential. Objectives: The aim of this study was to investigate the therapeutic efficacy of [...] Read more.
Background: Chronic obstructive pulmonary disease (COPD) is a progressive inflammatory lung disorder with limited effective therapies. NRICM102, a traditional multi-herbal formulation originally developed for COVID-19, exhibits anti-inflammatory and immunomodulatory potential. Objectives: The aim of this study was to investigate the therapeutic efficacy of NRICM102 in a COPD-relevant inflammatory lung injury mice model. Methods: Mice were exposed to lipopolysaccharide (LPS) and benzo[a]pyrene (B[a]P) to induce chronic airway inflammation and structural lung damage and treated with NRICM102 (1.5–3.0 g/kg) or dexamethasone. Lung function, histopathology, transcriptomic profiling, and protein expression of key inflammatory markers were assessed. Results: NRICM102 significantly restored LPS+B[a]P-induced enhanced pause (Penh) and arterial oxygen saturation (aO2%), similar to the effect of dexamethasone. Histological analysis revealed marked alveolar damage, inflammatory cell infiltration, and fibrosis in the model group, all of which were significantly attenuated by NRICM102 in a dose-dependent manner, with high-dose (3.0 g/kg) treatment showing pronounced structural preservation. Transcriptomic profiling revealed that NRICM102, particularly at 3.0 g/kg, partially reversed COPD-associated gene expression patterns, characterized by reduced activation of cytokine signaling, chemokine activity, and antigen presentation pathways. GO, DO, and KEGG enrichment analyses indicated selective modulation of immune-related pathways, with high-dose NRICM102 affecting genes involved in adaptive immunity and cytokine receptor interactions, including a subset of 150 reverted genes. Immunofluorescence analysis confirmed dose-dependent reductions in key inflammatory, immune, and mucus-related markers, including IL-1β, NLRP3, Muc5ac, and MMP12 expression. Conclusions: NRICM102 confers significant protective effects against COPD-relevant inflammatory lung injury by improving pulmonary function, preserving lung architecture, and selectively modulating immune and inflammatory pathways. These results provide preclinical evidence supporting the potential of NRICM102 to modulate inflammation and immune responses associated with COPD-related pathology, although further studies are needed to establish its therapeutic relevance. Full article
(This article belongs to the Section Natural Products)
16 pages, 2123 KB  
Article
Effects of Modified Gamchogeongang-Tang on Lung Injury in a Chronic Obstructive Pulmonary Disease Mice Model: An Experimental Study
by Won-Kyung Yang, Jin Hoo Kim, Seung-Hyung Kim, Su Won Lee, In Chul Jung, Seong-Cheon Woo and Yang Chun Park
Pharmaceuticals 2026, 19(1), 187; https://doi.org/10.3390/ph19010187 - 21 Jan 2026
Viewed by 69
Abstract
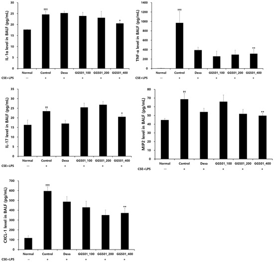
Objectives: This study evaluated the effects of modified Gamchogeongang-tang (GGS01) on lung injury using a COPD mouse model. Methods: C57BL/6 mice were exposed to cigarette smoke extract and lipopolysaccharide and treated with GGS01 (100, 200, or 400 mg/kg). Bronchoalveolar lavage fluid (BALF) and [...] Read more.
Objectives: This study evaluated the effects of modified Gamchogeongang-tang (GGS01) on lung injury using a COPD mouse model. Methods: C57BL/6 mice were exposed to cigarette smoke extract and lipopolysaccharide and treated with GGS01 (100, 200, or 400 mg/kg). Bronchoalveolar lavage fluid (BALF) and lung tissue were analyzed using cytospin, enzyme-linked immunosorbent assay, real-time polymerase chain reaction (PCR), flow cytometry analysis, hematoxylin and eosin (H&E) and Masson’s trichrome staining, and immune histology fluorescent staining. Results: GGS01 significantly inhibited the increase in neutrophils in BALF, decreased immune cell activity in BALF and lung tissue, and inhibited the increase in the levels of IL-1α, TNF-α, IL-17A, MIP2, and CXCL-1 in BALF. Conclusions: Real-time PCR analysis showed that MUC5AC mRNA expression in lung tissue significantly decreased compared with the control group. The score of histological analysis of lung tissue damage was significantly reduced, and a decrease in IRAK1 and TNF-α expression in lung tissue was observed. Full article
(This article belongs to the Section Pharmacology)
Show Figures

Graphical abstract

15 pages, 775 KB  
Article
Serum CCL5 in Liver Transplant Candidates: A Potential Marker of Portal Hypertension, Not Cardiovascular Risk
by Teodora Radu, Speranța M. Iacob, Ioana Manea and Liliana S. Gheorghe
Gastrointest. Disord. 2026, 8(1), 7; https://doi.org/10.3390/gidisord8010007 - 21 Jan 2026
Viewed by 96
Abstract
Background: Chemokine CCL5 may drive inflammation and vascular risk in advanced liver disease, but its cardiovascular implications are unclear. Secreted by hepatic, endothelial, macrophage, and lymphocytic cells, CCL5 is involved in cytokine regulation. Its serum levels rise in acute liver injury and hepatocellular [...] Read more.
Background: Chemokine CCL5 may drive inflammation and vascular risk in advanced liver disease, but its cardiovascular implications are unclear. Secreted by hepatic, endothelial, macrophage, and lymphocytic cells, CCL5 is involved in cytokine regulation. Its serum levels rise in acute liver injury and hepatocellular carcinoma (HCC), but decline with fibrosis progression in end-stage liver disease (ESLD). CCL5 has also been linked to atherosclerosis. This study aimed to evaluate serum CCL5 levels in ESLD patients listed for liver transplantation (LT) and to assess their potential role as markers of cardiovascular (CV) risk and portal hypertension. Methods: We conducted an observational cohort study. Between 2019 and 2022, patients with ESLD evaluated for LT were enrolled. Data on liver pathology, CV risk, and laboratory parameters were collected. Serum CCL5 concentrations were measured using Sigma Aldrich® CCL5 ELISA kits (MilliporeSigma, St. Louis, MO, USA). The database was analyzed with IBM® SPSS® Statistics version 20 (Chicago, IL, USA). Results: Overall, 46 patients were included, 50% with viral hepatitis and 28.3% with alcohol-related liver disease. HCC was present in 37% of cases. The median CV risk scores (CAD_LT = 7, mCAD_LT = 7, CAR_OLT = 18) placed the population at moderate CV risk. Serum CCL5 levels did not vary significantly between viral vs. non-viral cirrhosis (5511.8 vs. 6272.5 pg/mL, p = 0.15) and were not influenced by the presence of HCC (6098.4 vs. 5771.3 pg/mL, p = 0.55). We did not detect a correlation with MELD score (p = 0.21) or CV risk scores (CAD_LT: p = 0.58; mCAD_LT: p = 0.70; CAR_OLT: p = 0.22). Patients with thrombocytopenia (<100,000/µL, 54.3%) or a history of esophageal variceal ligation had lower CCL5 levels (5170.9 vs. 6750.8 pg/mL, p = 0.002 and 4252.0 vs. 6237.5 pg/mL, p = 0.003, respectively). Similarly, patients with a history of previous variceal bleeding and spontaneous bacterial peritonitis (SBP) had lower levels of CCL5 (4373.8 vs. 6119.9 pg/mL, p = 0.02 and 3404.3 vs. 6606.7 pg/mL, p = 0.01, respectively). We found a negative correlation between CCL5 and QTc interval duration (τ = −0.216, p = 0.037), left ventricle size (LV: τ = −0.235, p = 0.027), and pulmonary artery pressure (RV/RA gradient: τ = −0.225, p = 0.03). CCL5 correlated positively with the inflammatory markers C-reactive protein (CRP) (τ = 0.246, p = 0.018) and fibrinogen (r = 0.216, p = 0.04). Conclusions: In liver transplant candidates, serum CCL5 is not associated with cardiovascular risk scores or coronary atherosclerotic burden, but is inversely associated with clinical markers of portal hypertension severity. These findings suggest that CCL5 may serve as a potential non-invasive surrogate marker of portal hypertension rather than a cardiovascular risk biomarker in ESLD. Full article
Show Figures

Figure 1

26 pages, 5310 KB  
Review
Neutrophil Extracellular Traps: Potential Therapeutic Targets of Traditional Chinese Medicine and Natural Products for Cardiovascular Diseases
by Yichen Liu, Yunhe Guo, Xinru Wu, Peiyu Yan and Yan Wei
Pharmaceuticals 2026, 19(1), 183; https://doi.org/10.3390/ph19010183 - 20 Jan 2026
Viewed by 219
Abstract
Cardiovascular disease (CVD) remains a leading cause of global morbidity and mortality, and its initiation and progression are closely associated with multiple molecular mechanisms. Neutrophil extracellular traps (NETs) are mesh-like structures composed of DNA, histones, and antimicrobial proteins that are released by neutrophils [...] Read more.
Cardiovascular disease (CVD) remains a leading cause of global morbidity and mortality, and its initiation and progression are closely associated with multiple molecular mechanisms. Neutrophil extracellular traps (NETs) are mesh-like structures composed of DNA, histones, and antimicrobial proteins that are released by neutrophils during inflammation or infection. They play a crucial role in innate immune defense. However, when the dynamic balance of NETs is disrupted by excessive formation, persistent accumulation, or impaired clearance, NETs are no longer merely bystanders. Instead, they actively drive pathological processes in multiple CVDs and serve as a critical link between inflammation and cardiovascular injury. Given the central role of NETs in CVD pathogenesis, including atherosclerosis, myocardial ischemia–reperfusion injury, pulmonary arterial hypertension, atrial fibrillation, and heart failure, therapeutic strategies targeting NETs, such as inhibiting aberrant formation, enhancing clearance, or neutralizing toxic components, have emerged as promising approaches. In recent years, traditional Chinese medicine (TCM) and natural products have shown potential therapeutic value by modulating NET formation and promoting NET degradation, owing to their multitarget, multipathway regulatory effects. This article reviews the mechanisms by which NETs operate in CVDs and explores potential pathways through which TCM and natural active ingredients prevent and treat CVDs by regulating NETs. This review provides theoretical support for further research and clinical application. Full article
(This article belongs to the Section Natural Products)
Show Figures

Figure 1

16 pages, 3921 KB  
Article
Immune Dysregulation and Cytokine Profiling in Acute Mycoplasma pneumoniae Pneumonia
by Ying Wen, Yanfang Zhai, Shuli Sang, Chen Cao, Yunyun Mao, Enbo Hu, Lina Zhai, Xuanqi Ye, Kai Li, Yanchun Wang and Rui Yu
Microorganisms 2026, 14(1), 229; https://doi.org/10.3390/microorganisms14010229 - 19 Jan 2026
Viewed by 229
Abstract
Mycoplasma pneumoniae pneumonia (MPP) is a common respiratory infection characterized by significant inflammatory responses and lung tissue injury. However, the precise immunological mechanisms and temporal dynamics of key cytokines driving pulmonary inflammation in MPP are still unclear. This study aimed to investigate the [...] Read more.
Mycoplasma pneumoniae pneumonia (MPP) is a common respiratory infection characterized by significant inflammatory responses and lung tissue injury. However, the precise immunological mechanisms and temporal dynamics of key cytokines driving pulmonary inflammation in MPP are still unclear. This study aimed to investigate the underlying immunological mechanisms and cytokine dynamics in MPP. We established an acute MPP murine model via intranasal administration of M. pneumoniae. This model recapitulates key features of human MPP, such as robust airway inflammation and cytokine production. Comprehensive analyses were conducted, including histopathology, flow cytometry, and cytokine profiling. Results showed severe inflammatory responses with prominent infiltration of neutrophils and macrophages in lung tissue, whereas monocyte populations were significantly reduced, indicating a shift towards myeloid cell predominance. Notably, 36 cytokines, including pro-inflammatory interleukins (IL-1β, IL-6, IL-17A) and chemokines, were statistically significantly upregulated in bronchoalveolar lavage fluid compared to the normal group, highlighting a cytokine storm associated with lung inflammation and tissue damage. Gene Ontology (GO) and Kyoto Encyclopedia of Genes and Genomes (KEGG) signaling pathway analysis further revealed enriched pathways related to cytokine-cytokine receptor interactions and IL-17 signaling, suggesting potential therapeutic targets. In conclusion, this study preclinical provides insights into the innate immune response and cytokine-driven pathology in acute MPP, underscoring the pivotal roles of myeloid cells and pro-inflammatory cytokines. Future research should focus on clinical validation of these findings to assess their translational potential and the exploration of immunomodulatory strategies informed by this model to mitigate MPP severity. Full article
(This article belongs to the Section Molecular Microbiology and Immunology)
Show Figures

Figure 1

17 pages, 4749 KB  
Article
The Protective Effect and Molecular Mechanism of Tetrandrine on Male Reproductive Damage Caused by Silicon Dioxide
by Hong-Mei Li, Xiao-Qi Zeng, Qing Chang, Yu-Xin Sheng, Ya-Jia Pu, Yi Wang, Bin Cheng, Hong-Hui Li, Jie Xuan, Ling Zhang and Hai-Ming Xu
Toxics 2026, 14(1), 87; https://doi.org/10.3390/toxics14010087 - 18 Jan 2026
Viewed by 162
Abstract
The long-term inhalation of free silica dust causes silicosis—a prevalent occupational hazard—yet its systemic effect on male reproductive toxicity remains underexplored. Tetrandrine (Tet) is the only plant-derived anti-silicosis drug approved in China. This study investigates silica (SiO2) -induced male reproductive damage [...] Read more.
The long-term inhalation of free silica dust causes silicosis—a prevalent occupational hazard—yet its systemic effect on male reproductive toxicity remains underexplored. Tetrandrine (Tet) is the only plant-derived anti-silicosis drug approved in China. This study investigates silica (SiO2) -induced male reproductive damage and evaluates Tet’s protective effects. Sixty male C57BL/6 mice (6–8 weeks) were divided into control, SiO2 exposure, and SiO2 + Tet groups. SiO2 was administered via intranasal infusion and Tet via gavage. Mice were sacrificed at day 7 (male reproductive injury model corresponding to the pulmonary inflammation stage) and day 42 (male reproductive injury model corresponding to the pulmonary fibrosis stage). Analyses included sperm morphology, testicular transcriptome sequencing, RT-qPCR, and immunofluorescence. At day 7, SiO2 exposure upregulated testicular inflammatory markers, which were partially mitigated by Tet. At day 42, SiO2 increased sperm deformity and testicular fibrosis markers (fibronectin and vimentin); Tet intervention reduced these abnormalities. Transcriptome analysis revealed distinct gene expression patterns at day 7 versus day 42, indicating time-dependent injury mechanisms. Tetrandrine alleviates silica-induced reproductive damage in male mice, suggesting potential therapeutic applications for occupational silica exposure and expanding the understanding of silica toxicity beyond the respiratory system. Full article
(This article belongs to the Section Reproductive and Developmental Toxicity)
Show Figures

Graphical abstract

14 pages, 1350 KB  
Review
Current and Emerging Energy Sources for Atrial Fibrillation Ablation: A Comparative Analysis of Clinical Efficacy, Safety, and Procedural Implementation
by Cristian Martignani, Giulia Massaro, Alberto Spadotto, Jennifer Oppimitti, Maria Carelli, Andrea Angeletti, Alessandro Carecci, Igor Diemberger and Mauro Biffi
J. Clin. Med. 2026, 15(2), 751; https://doi.org/10.3390/jcm15020751 - 16 Jan 2026
Viewed by 169
Abstract
Atrial fibrillation (AF) management has historically relied on thermal ablation modalities—radiofrequency (RF) and cryoballoon—which have established a high benchmark for pulmonary vein isolation (PVI). However, the inherent risk of collateral thermal injury and lesion inconsistency has driven the search for alternative energy sources. [...] Read more.
Atrial fibrillation (AF) management has historically relied on thermal ablation modalities—radiofrequency (RF) and cryoballoon—which have established a high benchmark for pulmonary vein isolation (PVI). However, the inherent risk of collateral thermal injury and lesion inconsistency has driven the search for alternative energy sources. The recent clinical adoption of pulsed-field ablation (PFA), based on irreversible electroporation, represents a significant technological evolution. This narrative review provides a critical appraisal of the transition from thermal to pulsed-field technologies. We synthesized data from pivotal trials and recent health-economic analyses to evaluate the biophysical mechanisms, clinical efficacy, and safety profiles of contemporary devices. We conduct a head-to-head comparison of all modalities regarding critical safety endpoints (esophageal, neurological, and vascular), real-world procedural challenges (anesthesia, lesion assessment), and economic sustainability. While PFA offers distinct advantages in procedural speed and tissue selectivity, we highlight that thermal modalities—particularly cryoballoon and very-high-power RF—retain competitive profiles in terms of cost-effectiveness and established long-term durability. This review aims to provide a balanced roadmap for clinicians navigating the complex choice between established thermal efficacy and the promising, yet evolving, landscape of electroporation. Full article
Show Figures

Figure 1

32 pages, 510 KB  
Review
Perioperative Blood Biomarkers of Infectious and Non-Infectious Postoperative Pulmonary Complications: A Narrative Review
by Simona Gigliotti, Giuseppe Guerriero, Giuseppe Mazza, Eugenio Garofalo, Grazia Pavia, Angela Amaddeo, Antonia Rizzuto, Nadia Marascio, Angela Quirino, Federico Longhini and Giovanni Matera
J. Clin. Med. 2026, 15(2), 699; https://doi.org/10.3390/jcm15020699 - 15 Jan 2026
Viewed by 181
Abstract
Background/Objectives: Postoperative pulmonary complications (PPCs) remain frequent and increase morbidity, mortality, and resource use. Preoperative risk scores (ARISCAT, NSQIP-derived calculators) use mostly static variables and may miss the dynamic perioperative host response preceding respiratory deterioration or infection. We address the gap in clinically [...] Read more.
Background/Objectives: Postoperative pulmonary complications (PPCs) remain frequent and increase morbidity, mortality, and resource use. Preoperative risk scores (ARISCAT, NSQIP-derived calculators) use mostly static variables and may miss the dynamic perioperative host response preceding respiratory deterioration or infection. We address the gap in clinically interpretable syntheses of perioperative blood biomarker trajectories that distinguish infectious from non-infectious PPCs and clarify bedside-ready versus exploratory markers. Methods: We conducted a narrative review with a structured Medline search (inception to 1 November 2025) plus reference screening. We included English-language adult surgical studies (observational or interventional) evaluating perioperative blood biomarkers in relation to PPCs or postoperative pulmonary infection; case reports, editorials, and reviews were excluded. No formal risk-of-bias assessment or quantitative meta-analysis was performed. Results: Across 298 cited publications, serial patterns of routinely available biomarkers (C-reactive protein, procalcitonin, lactate, albumin, and leukocyte-derived indices) were most consistently associated with PPC risk and helped separate expected postoperative inflammation from evolving infection when interpreted longitudinally rather than as single values. Mechanistic biomarkers (cytokines/immune-function assays, endothelial injury and coagulation/fibrinolysis markers, oxidative stress indicators) add biological insight but are limited by assay availability, heterogeneous sampling windows, and absent standardized cut-offs. Omics signatures and machine learning models combining biomarker kinetics with clinical variables are promising but require prospective, transportable validation. Conclusions: Key barriers to implementation include biological variability, non-specificity across postoperative syndromes, heterogeneous sampling windows, and lack of standardized cut-offs. Integrating multimarker panels into validated, dynamic predictive frameworks represents a promising direction for perioperative precision medicine. Full article
(This article belongs to the Section Anesthesiology)
12 pages, 737 KB  
Article
Hitting the Target: Model-Informed Precision Dosing of Tobramycin in Pediatric Patients with Cystic Fibrosis
by Jake M. Brockmeyer, Laura Bio, Carlos Milla and Adam Frymoyer
Pharmaceuticals 2026, 19(1), 150; https://doi.org/10.3390/ph19010150 - 14 Jan 2026
Viewed by 292
Abstract
Background: Tobramycin is a key therapy for pulmonary exacerbations in children and adolescents with cystic fibrosis (CF), yet its variable pharmacokinetics (PK) combined with narrow therapeutic index necessitates therapeutic drug monitoring (TDM) during clinical care to optimize exposure while minimizing toxicity. Model-informed precision [...] Read more.
Background: Tobramycin is a key therapy for pulmonary exacerbations in children and adolescents with cystic fibrosis (CF), yet its variable pharmacokinetics (PK) combined with narrow therapeutic index necessitates therapeutic drug monitoring (TDM) during clinical care to optimize exposure while minimizing toxicity. Model-informed precision dosing (MIPD) is a potentially powerful tool to support dose individualization in clinical care that leverages population PK models and Bayesian forecasting. Herein, we evaluated the performance of an MIPD initiative at our hospital for once-daily tobramycin in pediatric patients with CF. Methods: Tobramycin practices at a single CF center before (2016–2018) and after (2019–2025) implementation of an MIPD initiative in CF patients < 21 years were evaluated. TDM during the pre-MIPD period used traditional log-linear AUC calculations, while the post-MIPD period used a commercial MIPD software platform integrated within the electronic health record. Outcomes included attainment of the target 24 h area-under-the-curve (AUC24 80–120 mg·h/L), number of TDM samples and dose adjustments during the first 7 days of treatment, and rates of acute kidney injury (AKI). Results: A total of 114 treatment courses were analyzed (77 pre-MIPD, 37 post-MIPD). Post-MIPD target attainment was 75.7% at TDM1, 89.2% at TDM2, and 100% at TDM3, significantly higher than pre-MIPD at corresponding cycles. The post-MIPD period required fewer TDM samples (4.2 vs. 7.1; p < 0.001) and dose adjustments (0.7 vs. 1.8; p < 0.001) in the first 7 days. AKI incidence remained low and comparable between periods. Conclusions: Implementation of an MIPD initiative for tobramycin in pediatric patients with CF led to the early attainment of therapeutic AUC24 targets while reducing TDM burden and dose adjustments. Full article
(This article belongs to the Special Issue Pediatric Drug Therapy: Safety, Efficacy, and Personalized Medicine)
Show Figures

Graphical abstract

16 pages, 1822 KB  
Article
A Comparative Study of Glucocorticoids Efficacy in Acute Respiratory Distress Syndrome
by Marian S. Boshra, Mahmoud Ezzat, Mona Ibrahim, Mona Y. Alsheikh, Raghda R. S. Hussein and Marwa Kamal
Pharmaceuticals 2026, 19(1), 147; https://doi.org/10.3390/ph19010147 - 14 Jan 2026
Viewed by 243
Abstract
Background: Acute respiratory distress syndrome (ARDS), recognized as an inflammatory and life-threatening lung injury, is typified by severe hypoxaemia, lack of heart-related pulmonary edema, and bilateral lung infiltrates. Glucocorticoids are anti-inflammatory and immunoregulatory agents that are considered a viable treatment for ARDS. This [...] Read more.
Background: Acute respiratory distress syndrome (ARDS), recognized as an inflammatory and life-threatening lung injury, is typified by severe hypoxaemia, lack of heart-related pulmonary edema, and bilateral lung infiltrates. Glucocorticoids are anti-inflammatory and immunoregulatory agents that are considered a viable treatment for ARDS. This study sought to contrast the effects of methylprednisolone, hydrocortisone, and dexamethasone at equivalent doses in ARDS. Methods: About 195 ARDS patients were allocated at random to take methylprednisolone (1 mg/kg/day), hydrocortisone (350 mg/day), or dexamethasone (13 mg/day). The primary and secondary outcomes over 28 days following the initiation of glucocorticoid therapy involved mortality, ventilator-free days, duration of hospitalization, duration of intensive care unit (ICU), total number of patients requiring invasive mechanical ventilation, and changes in the means of arterial oxygen partial pressure to inspired oxygen fraction (PaO2/FiO2) and oxygen saturation percentage to inspired oxygen fraction (SpO2/FiO2) ratios. Results: Over the 28-day follow-up, regarding mortality, there was a significant difference between dexamethasone and hydrocortisone, as well as between methylprednisolone and hydrocortisone. However, methylprednisolone exhibited the lowest mortality. There were no significant differences among study groups in ventilator-free days, hospitalization duration, ICU duration, and requirement for invasive mechanical ventilation. On the other hand, methylprednisolone had the lowest means of both durations of hospitalization and ICU, and the lowest requirement for invasive mechanical ventilation. Each study group exhibited a significant increase in both PaO2/FiO2 and SpO2/FiO2 ratios at follow-up time. However, dexamethasone showed the highest means of both PaO2/FiO2 and SpO2/FiO2 ratios at follow-up time. There was a significant difference in PaO2/FiO2 and SpO2/FiO2 ratios at follow-up assessment between dexamethasone and hydrocortisone. Conclusions: At equivalent doses, treating ARDS with methylprednisolone may be more successful than using dexamethasone and hydrocortisone. Full article
(This article belongs to the Section Pharmacology)
Show Figures

Figure 1

23 pages, 1463 KB  
Review
Acute Lung Injury Induced by Hyperbaric Oxygen or Other External Factors, with a Focus on Exosomes
by Jing Shi, Houyu Zhao, Chenyang Yan, Ping Zhu, Qi Zhu, Wei Ding, Longfei Wang, Yunpeng Zhao, Yue Wang and Yiqun Fang
Int. J. Mol. Sci. 2026, 27(2), 836; https://doi.org/10.3390/ijms27020836 - 14 Jan 2026
Viewed by 163
Abstract
Acute lung injury (ALI) is in part precipitated by hyperbaric oxygen or other mechanical insults. It constitutes the fundamental pathological process underlying acute respiratory distress syndrome (ARDS). The manifestation of the condition is characterized by an uncontrolled inflammatory response and alveolar edema, consequent [...] Read more.
Acute lung injury (ALI) is in part precipitated by hyperbaric oxygen or other mechanical insults. It constitutes the fundamental pathological process underlying acute respiratory distress syndrome (ARDS). The manifestation of the condition is characterized by an uncontrolled inflammatory response and alveolar edema, consequent to the disruption of the alveolar–capillary barrier. This phenomenon is associated with elevated morbidity and mortality rates. The current therapeutic interventions for ALI are not well researched or articulated. However, recent studies have indicated that stem cells may possess therapeutic potential in the context of ALI. The present study demonstrates that these exosome preparations have the capacity to significantly ameliorate radiographic findings, histological parameters, and vascular permeability in murine models of ALI. Concurrently, they attenuate the inflammatory response to a certain extent. The present review commences with an examination of the pathogenic mechanisms and manifestations of pulmonary injury induced by hyperbaric oxygen or other external factors. The subsequent sections of the text provide detailed accounts of the latest advances in exosome-based therapies for mitigating such injury, including their mechanisms of action and future translational prospects. While exosome-based treatments have demonstrated considerable advancement in preclinical research, numerous challenges must be surmounted before their widespread implementation in clinical settings can be realized, underscoring the necessity for sustained research in this domain. Full article
Show Figures

Figure 1

23 pages, 924 KB  
Review
Beyond the Lungs: Cardiovascular Risk in COPD Patients with a History of Tuberculosis—A Narrative Review
by Ramona Cioboata, Mihai Olteanu, Denisa Maria Mitroi, Simona-Maria Roșu, Maria-Loredana Tieranu, Silviu Gabriel Vlasceanu, Simona Daniela Neamtu, Eugen Nicolae Tieranu, Rodica Padureanu and Mara Amalia Balteanu
J. Clin. Med. 2026, 15(2), 661; https://doi.org/10.3390/jcm15020661 - 14 Jan 2026
Viewed by 162
Abstract
Chronic obstructive pulmonary disease (COPD) and tuberculosis (TB) increasingly co-occur in low- and middle-income countries and aging populations. Prior pulmonary TB is a robust, smoking-independent determinant of COPD and is linked to persistent systemic inflammation, endothelial dysfunction, dyslipidemia, and hypercoagulability axes that also [...] Read more.
Chronic obstructive pulmonary disease (COPD) and tuberculosis (TB) increasingly co-occur in low- and middle-income countries and aging populations. Prior pulmonary TB is a robust, smoking-independent determinant of COPD and is linked to persistent systemic inflammation, endothelial dysfunction, dyslipidemia, and hypercoagulability axes that also amplify cardiovascular disease (CVD) risk. We conducted a targeted narrative non-systematic review (2005–2025) of PubMed/MEDLINE, Embase, Scopus, and Web of Science, selecting studies for clinical relevance across epidemiology, clinical phenotypes, pathobiology, biomarkers, risk scores, sleep-disordered breathing, and management. No quantitative synthesis or formal risk-of-bias assessment was performed. Accordingly, findings should be interpreted as a qualitative synthesis rather than pooled estimates. Prior TB is associated with a distinctive COPD phenotype characterized by mixed obstructive–restrictive defects, reduced diffusing capacity (DLCO), radiographic sequelae, and higher exacerbation/hospitalization burden. Mechanistic insights: Convergent mechanisms chronic immune activation, endothelial injury, prothrombotic remodeling, molecular mimicry, and epigenetic reprogramming provide biologic plausibility for excess CVD, venous thromboembolism, and pulmonary hypertension. Multimarker panels spanning inflammation, endothelial injury, myocardial strain/fibrosis, and coagulation offer incremental prognostic value beyond clinical variables. While QRISK4 now includes COPD, it does not explicitly model prior TB or COPD-TB outcomes, but data specific to post-TB cohorts remain limited. Clinical implications: In resource-constrained settings, pragmatic screening, prioritized PAP access, guideline-concordant pharmacotherapy, and task-shifting are feasible adaptations. A history of TB is a clinically meaningful modifier of cardiopulmonary risk in COPD. An integrated, multimodal assessment history, targeted biomarkers, spirometry/lung volumes, DLCO, 6 min walk test, and focused imaging should guide individualized care while TB-aware prediction models and implementation studies are developed and validated in high-burden settings. Full article
Show Figures

Graphical abstract

16 pages, 317 KB  
Review
Artificial Intelligence-Driven Integration of ECG and Molecular Biomarkers in Pulmonary Embolism
by Bojana Uzelac and Sanja Stanković
Int. J. Mol. Sci. 2026, 27(2), 813; https://doi.org/10.3390/ijms27020813 - 14 Jan 2026
Viewed by 287
Abstract
Pulmonary embolism (PE) is a serious cardiovascular condition and the third leading cause of cardiovascular mortality worldwide. However, its clinical presentation is often non-specific, making timely detection challenging. Biomarkers are commonly used to support early diagnosis and risk stratification. Molecular biomarkers provide information [...] Read more.
Pulmonary embolism (PE) is a serious cardiovascular condition and the third leading cause of cardiovascular mortality worldwide. However, its clinical presentation is often non-specific, making timely detection challenging. Biomarkers are commonly used to support early diagnosis and risk stratification. Molecular biomarkers provide information related to coagulation, inflammation, and cardiac injury. Electrocardiography (ECG) reflects cardiac functional changes caused by right ventricular (RV) stress and dilation secondary to increased pulmonary vascular resistance. Individually, these biomarkers have limited diagnostic accuracy. A promising approach to improving PE management involves integrating multimodal clinical data using Artificial Intelligence (AI). AI-based models can detect subtle patterns in ECG signals and molecular biomarker profiles that may be missed by conventional analysis. Combining these data sources may enhance diagnostic accuracy, refine risk assessment, and support personalized treatment. Despite ongoing challenges, including data quality, interpretability, and ethical considerations, AI-driven integration of ECG and molecular biomarkers represents a significant step forward in PE diagnosis and management. Further validation in large, prospective clinical studies is required. Full article
(This article belongs to the Special Issue Molecular Biomarkers for Targeted Therapies)
Show Figures

Graphical abstract

22 pages, 2780 KB  
Review
Hippo Signaling in the Lung: A Tale of Two Effectors—Yap Drives Airway Fate and Taz Drives Alveolar Differentiation
by Rachel Warren and Stijn P. J. De Langhe
Cells 2026, 15(2), 143; https://doi.org/10.3390/cells15020143 - 13 Jan 2026
Viewed by 430
Abstract
The mammalian lung operates under a biological paradox, requiring architectural fragility for gas exchange while maintaining robust regenerative plasticity to withstand injury. The Hippo signaling pathway has emerged as a central “rheostat” in orchestrating these opposing needs, yet the distinct roles of its [...] Read more.
The mammalian lung operates under a biological paradox, requiring architectural fragility for gas exchange while maintaining robust regenerative plasticity to withstand injury. The Hippo signaling pathway has emerged as a central “rheostat” in orchestrating these opposing needs, yet the distinct roles of its downstream effectors remain underappreciated. This review synthesizes recent genetic and mechanobiological advances to propose a “Tale of Two Effectors” model, arguing for the functional non-redundancy of YAP and TAZ. We posit that YAP functions to drive airway progenitor expansion, mechanical force generation, and maladaptive remodeling. Conversely, TAZ—regulated uniquely via transcriptional mechanisms and mechanotransduction—acts as an obligate driver of alveolar differentiation and adaptive repair through an NKX2-1 feed-forward loop. Furthermore, we introduce the “See-Saw” model of tissue fitness, where mesenchymal niche collapse releases the mechanical brake on the epithelium, triggering the bronchiolization characteristic of pulmonary fibrosis. Finally, we extend this framework to malignancy, illustrating how Small Cell Lung Cancer (SCLC) subtypes mirror these developmental and regenerative states. This integrated framework offers new therapeutic distinct targets for modulating tissue fitness and resolving fibrosis. Full article
(This article belongs to the Special Issue Mechanisms of Lung Growth and Regeneration)
Show Figures

Figure 1

Back to TopTop