Sign in to use this feature.

Years

Between: -

Subjects

remove_circle_outline
remove_circle_outline
remove_circle_outline
remove_circle_outline
remove_circle_outline
remove_circle_outline
remove_circle_outline
remove_circle_outline
remove_circle_outline

Journals

remove_circle_outline
remove_circle_outline
remove_circle_outline
remove_circle_outline
remove_circle_outline
remove_circle_outline

Article Types

Countries / Regions

Search Results (143)

Search Parameters:
Keywords = psycho-physiological analysis

Order results
Result details
Results per page
Select all
Export citation of selected articles as:
19 pages, 1116 KB  
Article
Automated Pupil Dilation Tracking System Using Computer Vision for Task-Evoked Pupillary Response Analysis: A Low-Cost System Feasibility Study
by Hanna Jasińska and Andrzej Jasinski
Appl. Sci. 2026, 16(3), 1173; https://doi.org/10.3390/app16031173 - 23 Jan 2026
Abstract
This paper presents the design and feasibility evaluation of a low-cost, head-mounted pupil dilation tracking system based on computer vision. The proposed solution employs a standard webcam and active infrared illumination, enabling stable eye image acquisition under controlled lighting conditions. The developed image [...] Read more.
This paper presents the design and feasibility evaluation of a low-cost, head-mounted pupil dilation tracking system based on computer vision. The proposed solution employs a standard webcam and active infrared illumination, enabling stable eye image acquisition under controlled lighting conditions. The developed image processing pipeline incorporates adaptive contrast enhancement and geometric pupil detection, allowing for the estimation of relative changes in pupil diameter in real time. System evaluation was conducted in a controlled experiment involving 24 participants performing an N-back task with emotional modulation, a well-established paradigm for eliciting task-evoked pupillary responses under constant working-memory demands. The results revealed statistically significant changes in relative pupil dilation in response to stimuli with varying emotional valence during a working memory task, confirming the system’s ability to capture task-evoked pupillary responses (TEPRs). The proposed system constitutes a low-cost research tool for studies of task engagement and physiological responses in the context of human–computer interaction and psychophysiology, with a focus on the analysis of functional pupilometric changes. Full article
(This article belongs to the Special Issue Human-Computer Interaction: Advances, Challenges and Opportunities)
20 pages, 1569 KB  
Article
Cross-Sectional Investigation of Acute Stress Responses to Two Different Laboratory Stress Tests in Male and Female Athletes
by Peter Raidl, Barbara Wessner, Michael Methlagl and Robert Csapo
Physiologia 2026, 6(1), 2; https://doi.org/10.3390/physiologia6010002 - 26 Dec 2025
Viewed by 301
Abstract
Background: Regular exercise was previously shown to reduce glucocorticoid and cardiac-autonomic responses to psychosocial stressors. Specifically, laboratory-based stress induction procedures are recognized as valid experimental manipulations of the physiological stress response. Nevertheless, comparative research between different types of stressors is limited. This study [...] Read more.
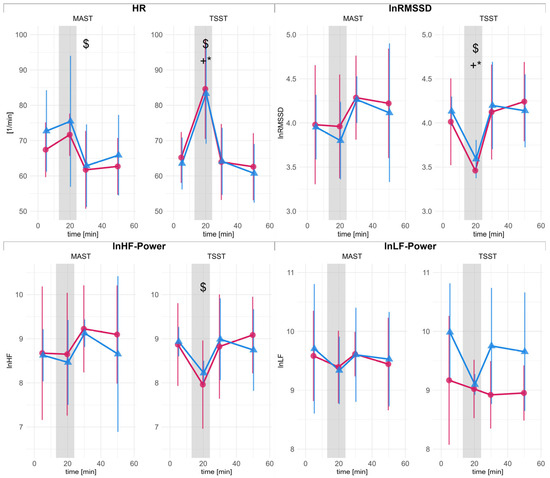
Background: Regular exercise was previously shown to reduce glucocorticoid and cardiac-autonomic responses to psychosocial stressors. Specifically, laboratory-based stress induction procedures are recognized as valid experimental manipulations of the physiological stress response. Nevertheless, comparative research between different types of stressors is limited. This study was designed to examine the multi-system psychophysiological response to two stress-induction procedures—psychosocial (Trier Social Stress Test; TSST) and psychophysical (Maastricht Acute Stress Test; MAST)—in male and female athletes. Methods: In a crossover pilot study, 12 athletes (6 female) underwent a TSST and a MAST, one month apart. Saliva hormones and cardiac-autonomic response (heart rate and HRV) were analyzed, besides an untargeted proteomics analysis. Results: The MAST revealed a lower elevation of heart rate (SMD = −1.47 [−2.51, −0.43]) and reduction in RMSSD (SMD = 0.98 [0.01, 1.95]) compared to the TSST. No statistically significant differences were found for hormones or subjective stress (all p < 0.05). Sex comparisons of the area under the curve exposed overall lower responses in women for aldosterone (SMD = −1.50, [−2.45, −0.51]), cortisol (SMD = −1.35, [−2.28, −0.39]), cortisone (SMD = −1.43, [−2.38, −0.46]), overall glucocorticoids (SMD = −1.44, [−2.38, −0.46]), and stronger reduction in testosterone-to-cortisone (SMD = 1.41, [0.44, 2.35]). Interestingly, sex differences were more evident in response to the TSST. Conclusions: Found sex differences underscore the importance of sex sensitive research in stress and exercise science. Our data support the presented methodological approach and encourage properly powered research on stressor comparison in relation to sports and physical fitness. Full article
Show Figures

Figure 1

13 pages, 404 KB  
Article
Salivary Stress Biomarkers (Chromogranin A and Secretory IgA): Associations with Anxiety and Depressive Symptoms in Healthcare Professionals
by Tanya Deneva, Youri Ianakiev and Snezhana Stoencheva
Nurs. Rep. 2026, 16(1), 3; https://doi.org/10.3390/nursrep16010003 - 23 Dec 2025
Viewed by 302
Abstract
Background/Objectives: Shift-working healthcare professionals are exposed to high psychophysiological demands associated with occupational stress, anxiety, and depressive symptoms. Salivary chromogranin A (sCgA) and secretory immunoglobulin A (sIgA) are non-invasive biomarkers reflecting sympathetic nervous system activation and mucosal immune function, respectively, and are [...] Read more.
Background/Objectives: Shift-working healthcare professionals are exposed to high psychophysiological demands associated with occupational stress, anxiety, and depressive symptoms. Salivary chromogranin A (sCgA) and secretory immunoglobulin A (sIgA) are non-invasive biomarkers reflecting sympathetic nervous system activation and mucosal immune function, respectively, and are increasingly used to assess biological stress responses. This study examined changes in these biomarkers and their associations with anxiety and depression. Methods: This cross-sectional comparative observational study was conducted among healthcare professionals working 12-h shifts (n = 95) and non-shift-working controls (n = 95) and included a within-shift pre-post assessment, with saliva samples collected before and after the work shift. Salivary biomarkers were determined using ELISA methods. Anxiety and depression were assessed using the State–Trait Anxiety Inventory and the Zung Self-Rating Depression Scale. Data were analyzed with t-tests, correlation, and multiple linear regression. Statistical analyses included between- and within-group comparisons, correlation analyses, and multiple linear regression models to examine independent associations between salivary biomarkers and psychological outcomes. Results: After a 12-h shift, healthcare professionals showed increased sCgA (3.82 ± 0.95 vs. 4.68 ± 1.02 ng/mL; p < 0.001) and decreased sIgA (165.3 ± 32.4 vs. 142.6 ± 29.8 mg/dL; p < 0.001). Psychological scores were higher in healthcare professionals than in controls (p < 0.001). Salivary sCgA correlated positively with anxiety and depression (r = 0.41 to 0.45), while sIgA correlated negatively (r = −0.29 to −0.36). Regression analysis confirmed occupational group (healthcare professionals vs. controls) as the strongest predictor, with independent contributions of sCgA and sIgA to psychological scores. Conclusions: A 12-h work shift in healthcare professionals leads to increased salivary chromogranin A, indicating sympathetic activation, and decreased secretory IgA, reflecting reduced mucosal immune activity. The combined assessment of sCgA and sIgA provides a sensitive and non-invasive approach for monitoring occupational stress and identifying early risks of anxiety and depressive symptoms among shift-working healthcare professionals. Full article
(This article belongs to the Section Mental Health Nursing)
Show Figures

Figure 1

13 pages, 341 KB  
Article
Effects of Shyness and Adiposity on Heart Rate Reactivity to Psychomotor Challenge in Adolescent Athletes: A Laboratory Study with AI-Supported Data Analysis
by Attila Rausz-Szabó, Veronika Vass, Piroska Béki, Beatrix Faragó and Attila Szabo
Appl. Sci. 2025, 15(24), 13026; https://doi.org/10.3390/app152413026 - 10 Dec 2025
Viewed by 330
Abstract
Background: Elevated heart rate (HR) reactivity to psychomotor challenge mirrors greater proneness to acute stress, which is a disadvantage in competitive sports. This study investigated whether temperament and adiposity predict HR reactivity during a reaction time (RT) task in adolescent athletes, with a [...] Read more.
Background: Elevated heart rate (HR) reactivity to psychomotor challenge mirrors greater proneness to acute stress, which is a disadvantage in competitive sports. This study investigated whether temperament and adiposity predict HR reactivity during a reaction time (RT) task in adolescent athletes, with a focus on identifying their role in psychophysiological vulnerability. Participants and procedure: The participants were 20 adolescent canoe athletes (15 boys, 5 girls; mean age = 14.3 ± 1.88 years). They were volunteers recruited from a canoe club, with the permission of their coaches and parents. The study was conducted in a controlled laboratory setting, where participants underwent anthropometric tests, completed a questionnaire, had a HR monitor fitted, and rested in an armchair until a relatively stable HR (±5 beats per minute) was recorded. Subsequently, their HR was monitored across three 5 min phases: baseline, RT task, and recovery. Reactivity was calculated as the difference between task and recovery, because pre-task HR was influenced by anticipation. Data analyses were performed using AI-assisted and verified Bootstrapped Spearman correlations, Lasso regression with five-fold cross-validation, and stability analysis with 25 repeated cross-validations. Results: Shyness and body fat percentage were positively related to HR reactivity, whereas other temperament traits and RT performance showed no statistically significant associations. The Lasso regression results revealed shyness and adiposity as significant predictors, with their interaction consistently identified as the strongest effect (selected in 76% of models). The independent measures did not affect HR in the recovery phase. Conclusions: Shy adolescents with higher adiposity demonstrate heightened stress responses, as evidenced by HR reactivity, underscoring the importance of addressing stress vulnerability in young athletes and extending this line of inquiry to a broader spectrum of junior athletes. Full article
Show Figures

Figure 1

27 pages, 11265 KB  
Article
Using Machine Learning Methods to Predict Cognitive Age from Psychophysiological Tests
by Daria D. Tyurina, Sergey V. Stasenko, Konstantin V. Lushnikov and Maria V. Vedunova
Healthcare 2025, 13(24), 3193; https://doi.org/10.3390/healthcare13243193 - 5 Dec 2025
Viewed by 358
Abstract
Background/Objectives: This paper presents the results of predicting chronological age from psychophysiological tests using machine learning regressors. Methods: Subjects completed a series of psychological tests measuring various cognitive functions, including reaction time and cognitive conflict, short-term memory, verbal functions, and color and spatial [...] Read more.
Background/Objectives: This paper presents the results of predicting chronological age from psychophysiological tests using machine learning regressors. Methods: Subjects completed a series of psychological tests measuring various cognitive functions, including reaction time and cognitive conflict, short-term memory, verbal functions, and color and spatial perception. The sample included 99 subjects, 68 percent of whom were men and 32 percent were women. Based on the test results, 43 features were generated. To determine the optimal feature selection method, several approaches were tested alongside the regression models using MAE, R2, and CV_R2 metrics. SHAP and Permutation Importance (via Random Forest) delivered the best performance with 10 features. Features selected through Permutation Importance were used in subsequent analyses. To predict participants’ age from psychophysiological test results, we evaluated several regression models, including Random Forest, Extra Trees, Gradient Boosting, SVR, Linear Regression, LassoCV, RidgeCV, ElasticNetCV, AdaBoost, and Bagging. Model performance was compared using the determination coefficient (R2) and mean absolute error (MAE). Cross-validated performance (CV_R2) was estimated via 5-fold cross-validation. To assess metric stability and uncertainty, bootstrapping (1000 resamples) was applied to the test set, yielding distributions of MAE and RMSE from which mean values and 95% confidence intervals were derived. Results: The study identified RidgeCV with winsorization and standardization as the best model for predicting cognitive age, achieving a mean absolute error of 5.7 years and an R2 of 0.60. Feature importance was evaluated using SHAP values and permutation importance. SHAP analysis showed that stroop_time_color and stroop_var_attempt_time were the strongest predictors, followed by several task-timing features with moderate contributions. Permutation importance confirmed this ranking, with these two features causing the largest performance drop when permuted. Partial dependence plots further indicated clear positive relationships between these key features and predicted age. Correlation analysis stratified by sex revealed that most features were significantly associated with age, with stronger effects generally observed in men. Conclusions: Feature selection revealed Stroop timing measures and task-related metrics from math and campimetry tests as the strongest predictors, reflecting core cognitive processes linked to aging. The results underscore the value of careful outlier handling, feature selection, and interpretable regularized models for analyzing psychophysiological data. Future work should include longitudinal studies and integration with biological markers to further improve clinical relevance. Full article
(This article belongs to the Special Issue AI-Driven Healthcare Insights)
Show Figures

Figure 1

11 pages, 604 KB  
Review
Personalized Nutritional Assessment and Intervention for Athletes: A Network Physiology Approach
by Ainhoa Prieto, Maria Antonia Lizarraga and Natàlia Balagué
Nutrients 2025, 17(23), 3657; https://doi.org/10.3390/nu17233657 - 23 Nov 2025
Viewed by 1188
Abstract
Nutritional assessment and intervention in athletes, a central focus of sports medicine and healthcare, has increasingly shifted in recent years toward precision nutrition—an approach that individualizes dietary recommendations according to genetic profile, microbiome composition, lifestyle factors, and health status. Despite its promising potential, [...] Read more.
Nutritional assessment and intervention in athletes, a central focus of sports medicine and healthcare, has increasingly shifted in recent years toward precision nutrition—an approach that individualizes dietary recommendations according to genetic profile, microbiome composition, lifestyle factors, and health status. Despite its promising potential, this approach faces significant limitations, including the challenge of integrating complex and dynamic interactions among multilevel indicators, and the relatively high costs associated with omics technologies. The aim of this paper is to propose a nutritional assessment and intervention model grounded in the Network Physiology of Exercise, an emerging scientific field that investigates the horizontal and vertical dynamic interactions among nested physiological levels and conceptualizes athletes as complex adaptive systems (CAS). The proposal integrates social, environmental, behavioral and psychobiological information, extracted particularly from semi-structured interviews based on CAS properties. Accordingly, the traditional dietary assessment tools are replaced by open and guided interviews that allow professionals and practitioners to co-construct meaningful insights and extract qualitative data through a reflexive thematic analysis. From a CAS perspective, the multidimensional and multi-timescale personal and environmental constrains affecting their eating behavior were integrated through a hierarchically nested organization. Eliciting the dynamics of emotional contexts, behavioral patterns, and psychophysiological states, the interviews become both a method of assessment and an intervention in itself. Full article
Show Figures

Figure 1

27 pages, 2768 KB  
Article
Psychophysiological and Neurobiological Responses to Deception and Emotional Stimuli: A Pilot Study on the Interplay of Personality Traits and Perceived Stress
by Andrei Teodor Bratu, Gabriela Carmen Calniceanu, Florin Zamfirache, Gabriela Narcisa Prundaru, Cristina Dumitru and Beatrice Mihaela Radu
Brain Sci. 2025, 15(12), 1252; https://doi.org/10.3390/brainsci15121252 - 21 Nov 2025
Viewed by 1032
Abstract
Background/Objectives: Deception engages both emotional and cognitive processes, yet individual variability in these responses remains insufficiently understood. This study aimed to investigate how personality traits, perceived stress, and empathic distress shape psychophysiological and neurobiological responses during deception and emotional processing. Methods: Thirty [...] Read more.
Background/Objectives: Deception engages both emotional and cognitive processes, yet individual variability in these responses remains insufficiently understood. This study aimed to investigate how personality traits, perceived stress, and empathic distress shape psychophysiological and neurobiological responses during deception and emotional processing. Methods: Thirty healthy young adults completed a protocol combining a deception task with emotional stimulus exposure, while heart rate (HR), heart rate variability (HRV), and electroencephalographic (EEG) activity were continuously recorded. Participants were characterized using measures of Dark Triad traits, perceived stress (PSS-10), and empathic distress. Results: The results showed increased HR and reduced HRV during deceptive responses, reflecting heightened cognitive effort and autonomic arousal. In contrast, morally or socially evaluative stimuli were associated with right-frontal EEG asymmetry, suggesting engagement of emotional regulation processes. Cluster analysis revealed distinct reactivity profiles: individuals with high stress and empathic distress exhibited amplified autonomic activation and reduced cortical inhibition, whereas those with higher Machiavellianism and psychopathy displayed attenuated HR/HRV modulation and stable EEG patterns, suggestive of emotional detachment and adaptive inhibition. These findings suggest that deception is a dynamic, context-dependent process influenced by individual personality traits and stress-regulation capacities. Conclusions: The study offers valuable insights into the psychophysiological mechanisms underlying deceptive behavior, with meaningful implications for both forensic and affective neuroscience. Full article
(This article belongs to the Special Issue Advances in Emotion Processing and Cognitive Neuropsychology)
Show Figures

Figure 1

44 pages, 3130 KB  
Article
Developing Design Recommendations for Meditation Centres Through a Mixed-Method Study
by Pearl Doshi and Francesco Aletta
Buildings 2025, 15(22), 4182; https://doi.org/10.3390/buildings15224182 - 19 Nov 2025
Viewed by 1203
Abstract
Meditation is a practice used to cultivate focused attention, emotional stability, and self-awareness. Evidence of its psychological, physiological, and social benefits warrants greater accessibility and further research. This study evaluates meditation centre design by identifying recurring design practices, highlighting the importance of indoor [...] Read more.
Meditation is a practice used to cultivate focused attention, emotional stability, and self-awareness. Evidence of its psychological, physiological, and social benefits warrants greater accessibility and further research. This study evaluates meditation centre design by identifying recurring design practices, highlighting the importance of indoor environmental qualities (IEQs), and developing design recommendations for future use. A mixed-method, exploratory sequential design using a scoping case study review, expert interviews, and user surveys provides a holistic understanding of design practices, rationale behind decision-making, and user feedback. Quantitative and qualitative patterns were found across case studies, thematic analysis was conducted on interview transcripts, and user surveys were statistically analysed. The research concludes that effective meditation centre design integrates spatial, contextual, and community-driven practices while prioritising key IEQs to minimise sensory distractions and promote introspection. A hierarchy of IEQ importance was identified—(1) acoustic environment, (2) indoor air quality and thermal environment, (3) biophilic elements, and (4) lighting environment—alongside the influence of materials and colour. These findings were consolidated into comprehensive design recommendations addressing contextual, spatial, sensory, experiential, inclusive, and sustainable strategies. This study provides foundational recommendations and highlights future research opportunities, including direct engagement with meditation centres, longitudinal investigations, and psychophysiological studies. Full article
(This article belongs to the Collection Sustainable Buildings in the Built Environment)
Show Figures

Figure 1

10 pages, 2794 KB  
Article
Dynamic Brain Activation and Connectivity in Elite Golfers During Distinct Golf Swing Phases: An fMRI Study
by Xueyun Shao, Dongsheng Tang, Yulong Zhou, Xinyi Zhou, Shirui Zhao, Qiaoling Xu and Zhiqiang Zhu
Brain Sci. 2025, 15(11), 1215; https://doi.org/10.3390/brainsci15111215 - 11 Nov 2025
Viewed by 775
Abstract
Background/Purpose: Skilled motor performance depends on the action–observation networks (AONs), which supports the internal simulation of perceived movements. While expertise effects are well-documented in sports, neuroimaging evidence in golf is scarce, particularly on temporal dynamics across swing phases. This study examines how golf [...] Read more.
Background/Purpose: Skilled motor performance depends on the action–observation networks (AONs), which supports the internal simulation of perceived movements. While expertise effects are well-documented in sports, neuroimaging evidence in golf is scarce, particularly on temporal dynamics across swing phases. This study examines how golf expertise modulates AON activation and functional connectivity during temporally distinct swing phases (pre-hitting vs. hitting) and assesses implications for predictive-coding models of motor skill. Methods: Fifty-seven participants (elite golfers: n = 28; controls: n = 29) underwent functional magnetic resonance imaging (fMRI) scanning while viewing golf swing videos segmented into pre-hitting and hitting phases. Data analysis employed generalized linear models (GLMs) with two-sample t-tests for group comparisons and generalized psychophysiological interaction (gPPI) to assess functional connectivity using GLM-identified activation clusters as seeds. Results: (1) Compared to controls, elite golfers showed stronger activation in right insula and posterior cingulate cortex during pre-hitting, and in right cerebellum and bilateral postcentral cortex during hitting phases. The hitting > pre-hitting contrast revealed enhanced bilateral postcentral gyrus activation in golfers. (2) gPPI analysis demonstrated significant group × phase interaction in functional connectivity between right postcentral gyrus and left precuneus. Conclusions: Elite golf expertise dynamically retunes AON across swing phases, shifting from anticipatory interoceptive processing to impact-centered sensorimotor–parietal circuitry. These findings refine predictive-coding models of motor skill and identify the postcentral–precuneus loop as a potential target for neurofeedback interventions aimed at optimizing golf performance. Full article
(This article belongs to the Section Neurotechnology and Neuroimaging)
Show Figures

Figure 1

21 pages, 6243 KB  
Protocol
The Psychophysiological Interrelationship Between Working Conditions and Stress of Harvester and Forwarder Drivers—A Study Protocol
by Vera Foisner, Christoph Haas, Katharina Göttlicher, Arnulf Hartl and Christoph Huber
Forests 2025, 16(11), 1693; https://doi.org/10.3390/f16111693 - 6 Nov 2025
Viewed by 457
Abstract
(1) Background: Austria’s use of fully mechanized harvesting systems has been continuously increasing. Technical developments, such as traction aid winches, have made it possible to drive on increasingly steep terrain. However, this has led to challenges and potential hazards for the operators, resulting [...] Read more.
(1) Background: Austria’s use of fully mechanized harvesting systems has been continuously increasing. Technical developments, such as traction aid winches, have made it possible to drive on increasingly steep terrain. However, this has led to challenges and potential hazards for the operators, resulting in higher stand damage rates and risks of workplace accidents. Since these systems and working environments involve a highly complex interplay of various parameters, the purpose of this protocol is to propose a new set of methodologies that can be used to obtain a holistic interpretation of the psychophysiological interrelationship between the working conditions and stress of harvester and forwarder drivers. (2) Methods: We developed a research protocol to analyse the (a) environmental and (b) machine-related parameters; (c) psychological and psychophysiological responses of the operators; and (d) technical outcome parameters. Within this longitudinal exploratory field study, experienced drivers were monitored for over an hour at the beginning and the end of their workday while operating in varying steep terrains with and without a traction aid winch. The analysis is based on macroscopic (collected using cameras), microscopic (eye-tracking glasses and AI-driven emotion recognition), quantitative (standardized questionnaires), and qualitative (interviews) data. This multimodal research protocol aims to improve the health and safety of forest workers, increase their productivity, and reduce damage to remaining trees. Full article
(This article belongs to the Section Forest Operations and Engineering)
Show Figures

Figure 1

21 pages, 1561 KB  
Article
Specific Neural Mechanisms Underlying Humans’ Processing of Information Related to Companion Animals: A Comparison with Domestic Animals and Objects
by Heng Liu, Xinqi Zhou, Jingyuan Lin and Wuji Lin
Animals 2025, 15(21), 3162; https://doi.org/10.3390/ani15213162 - 31 Oct 2025
Viewed by 1433
Abstract
Humans show neural specificity in processing animal-related information, especially regarding companion animals. However, the underlying cognitive mechanisms remain poorly understood. This study’s main objective is to investigate human neural specificity in processing companion animal-related information, compared to other animal types and inanimate objects. [...] Read more.
Humans show neural specificity in processing animal-related information, especially regarding companion animals. However, the underlying cognitive mechanisms remain poorly understood. This study’s main objective is to investigate human neural specificity in processing companion animal-related information, compared to other animal types and inanimate objects. Forty participants viewed four image types (companion animals, neutral animals, positive objects, neutral objects) during functional magnetic resonance imaging (fMRI) scans and judged image categories. T-test results showed: 1. Processing companion animal-related information elicited specific brain activation in the right Inferior Parietal Lobe (right IPL), right Middle Occipital Gyrus (right MOG), left Superior Frontal Gyrus (left SFG), and left Precuneus (left PCu) (<0.05). 2. Generalized Psychophysiological Interaction (gPPI) analysis revealed specific functional connectivity changes between relevant brain regions during companion animal info processing (<0.05). 3. Dynamic Causal Modelling (DCM) analysis showed significant intrinsic connectivity differences between pet owners and non-pet owners: specifically, left IPL to left PCu and right ACC to right MOG (posterior probability, Pp > 0.95). The results of this study demonstrate that humans exhibit distinct neural specificity when processing information related to companion animals compared with livestock and inanimate objects. This neural specificity involves brain regions linked to higher-order cognitive functions (e.g., visual processing, emotion, and attachment), all of which are integral components of the human attachment network. These regions are part of the human attachment network, and their functional role likely relates to attachment mechanisms. These findings help clarify companion animals’ impact on human neural activity during human–animal interactions and guide applications like animal-assisted therapy. Full article
(This article belongs to the Special Issue The Complexity of the Human–Companion Animal Bond)
Show Figures

Figure 1

27 pages, 2977 KB  
Article
Neurobiological Correlates of Coping Strategies in PTSD: The Role of IGF-1, CASP-9, nNOS, and IL-10 Based on Brief-COPE Assessment
by Barbara Paraniak-Gieszczyk and Ewa Alicja Ogłodek
Curr. Issues Mol. Biol. 2025, 47(10), 868; https://doi.org/10.3390/cimb47100868 - 21 Oct 2025
Viewed by 847
Abstract
Post-traumatic stress disorder (PTSD) is associated with long-term disturbances in stress regulation, neuroinflammation, and oxidative stress and reduced psychological coping capacity. The aim of the study was to assess the relationship between selected neurobiological biomarkers (Insulin-like Growth Factor 1—IGF-1; Caspase-9—CASP-9; Neuronal Nitric Oxide [...] Read more.
Post-traumatic stress disorder (PTSD) is associated with long-term disturbances in stress regulation, neuroinflammation, and oxidative stress and reduced psychological coping capacity. The aim of the study was to assess the relationship between selected neurobiological biomarkers (Insulin-like Growth Factor 1—IGF-1; Caspase-9—CASP-9; Neuronal Nitric Oxide Synthase—nNOS; and Interleukin-10—IL-10) and coping styles evaluated using the Brief Coping Orientation to Problems Experienced (Brief-COPE) questionnaire in men with trauma experience. Particular emphasis was placed on analyzing the effect of PTSD chronicity (≤5 years vs. >5 years) on these relationships. The study included 92 adult men with a history of life-threatening situations. Participants were divided into three groups: PTSD within the past ≤5 years (n = 33), PTSD within the past >5 years (n = 31), and a No PTSD group (n = 28). Biomarkers were measured in blood serum. Coping strategies were assessed using the Brief-COPE questionnaire, which includes four subscales: task-oriented, emotion-oriented, avoidant, and general coping. Due to the lack of normal distribution, the Kruskal–Wallis test and Dunn’s post hoc test were used. Correlations between biomarkers and Brief-COPE subscales were calculated using Spearman’s Rank Correlation Coefficient (Rho). Significant differences between groups were found in all four biomarkers (p < 0.001). IGF-1 and IL-10 reached the highest values in the No PTSD group and the lowest in the PTSD ≤ 5 years group, indicating neuroprotective and anti-inflammatory deficits in PTSD. Conversely, CASP-9 and nNOS levels (markers of apoptosis and oxidative stress) were highest in PTSD ≤ 5 years, with partial normalization in the PTSD > 5 years group. In terms of coping strategies, the No PTSD group displayed a highly adaptive profile (task-oriented: 30/32; emotion-oriented: 43/48; and avoidant: 12/32). Individuals with PTSD ≤ 5 years presented a maladaptive pattern (task-oriented: 13/32; avoidant: 26/32; and emotion-oriented: 27/48), while in PTSD > 5 years, a further decline in emotion-oriented (21/48) and general coping (59/112) was observed, suggesting progressive depletion of psychological resources. The strongest correlations between biomarkers and coping strategies occurred in PTSD groups. Low IGF-1 levels in PTSD ≤ 5 years correlated negatively with emotion-oriented coping (Rho = −0.39) and general coping (Rho = −0.35). High CASP-9 levels were associated with reduced task-oriented coping in PTSD > 5 years (Rho = −0.29). Similar trends were observed for nNOS and IL-10, indicating a disturbance in neurobiological balance that favors persistence of PTSD symptoms. PTSD, both in its acute and chronic phases, is associated with an abnormal profile of neuroprotective, apoptotic, and inflammatory biomarkers, which correlates with impaired adaptive coping capacity. Although partial normalization of biological parameters is observed in chronic PTSD, deficits in emotion-oriented and task-oriented coping persist. The Brief-COPE questionnaire, combined with biomarker analysis, may serve as a useful clinical tool for assessing psychophysiological balance and designing early interventions. These results highlight the potential of IGF-1, CASP-9, nNOS, and IL-10 as biomarkers of stress adaptation and therapeutic targets in PTSD. Full article
(This article belongs to the Section Molecular Medicine)
Show Figures

Figure 1

25 pages, 8808 KB  
Article
Beyond Shade Provision: Pedestrians’ Visual Perception of Street Tree Canopy Structure Characteristics in Guangzhou City, China
by Jiawei Wang, Jie Hu and Yuan Ma
Forests 2025, 16(10), 1576; https://doi.org/10.3390/f16101576 - 13 Oct 2025
Viewed by 1045
Abstract
This study examines the impact of canopy structural characteristics on pedestrians’ visual perception and psychophysiological responses along four roads in the subtropical city of Guangzhou: Huadi Avenue, Jixiang Road, Yuejiang Middle Road, and Huan Dao Road. A Canopy Structural Index (CSI) was innovatively [...] Read more.
This study examines the impact of canopy structural characteristics on pedestrians’ visual perception and psychophysiological responses along four roads in the subtropical city of Guangzhou: Huadi Avenue, Jixiang Road, Yuejiang Middle Road, and Huan Dao Road. A Canopy Structural Index (CSI) was innovatively developed by integrating tree height, crown width, diffuse non-interceptance, and leaf area index, establishing a five-tier quantitative grading system. The study used multimodal data fusion techniques combined with heart rate variability (HRV) analysis and eye-tracking experiments to quantitatively decipher the patterns of autonomic nervous regulation and visual attention allocation under different levels of CSI. The results demonstrate that CSI levels are significantly correlated with psychological relaxation states: as CSI levels increase, time-domain HRV metrics (SDNN and RMSSD) rise by 15%–43%, while the frequency-domain metric (LF/HF) decreases by 31%, indicating enhanced parasympathetic activity and a transition from stress to relaxation. Concurrently, the allocation of visual attention toward canopies intensifies. The proportion of fixation duration increases to nearly 50%, and the duration of the first fixation extends by 0.3–0.8 s. The study proposes CSI ≤ 0.15 as an optimization threshold, offering scientific guidance for designing and pruning subtropical urban street tree canopies. Full article
(This article belongs to the Section Urban Forestry)
Show Figures

Graphical abstract

13 pages, 7931 KB  
Article
Machine Learning Prediction of Agitation in Dementia Patients Using Sleep and Physiological Data
by Keshav Ramesh, Anna Yakoub, Youssef Ghoneim, Rehab Al Korabi, Jayroop Ramesh, Assim Sagahyroon and Fadi Aloul
Appl. Sci. 2025, 15(18), 9908; https://doi.org/10.3390/app15189908 - 10 Sep 2025
Viewed by 1866
Abstract
Dementia is a progressive condition that affects cognitive and functional abilities. Psycho-motor agitation represents a frequent and challenging manifestation in People Living with Dementia (PLwD). This behavior contributes to heightened distress and increased risk of harm for patients, while posing a significant burden [...] Read more.
Dementia is a progressive condition that affects cognitive and functional abilities. Psycho-motor agitation represents a frequent and challenging manifestation in People Living with Dementia (PLwD). This behavior contributes to heightened distress and increased risk of harm for patients, while posing a significant burden for caregivers, who must navigate the complexities of managing unpredictable and potentially harmful agitation episodes. Accurately predicting and promptly responding to agitation events is thus critical for enhancing the safety and well-being of PLwD. Leveraging artificial intelligence, tools can be used to monitor behavioral patterns and alert healthcare providers about potential agitation to facilitate timely and effective interventions. Despite the link between poor sleep quality and the likelihood of agitation, there remains a gap in utilizing sleep parameters for predictive analytics in this domain. This study explores the potential of integrating sleep and associated physiological data to predict the risk of agitation in dementia patients the next day, leveraging the Technology Integrated Health Management (TIHM) dataset. Our analysis reveals that the LightGBM model, enhanced with combined feature sets, delivers superior performance, achieving a weighted F1 score of 93.6% compared to standard baseline models. The findings underscore the value of incorporating sleep data into automated models and advocate for continued efforts to develop long-term agitation prediction methods. Full article
(This article belongs to the Special Issue AI Technologies for eHealth and mHealth, 2nd Edition)
Show Figures

Figure 1

24 pages, 19432 KB  
Article
Robot Learning from Teleoperated Demonstrations: A Pilot Study Towards Automating Mastic Deposition in Construction Sites
by Irati Rasines, Erlantz Loizaga, Rebecca Erlebach, Anurag Bansal, Sara Sillaurren, Patricia Rosen, Sascha Wischniewski, Arantxa Renteria and Itziar Cabanes
Robotics 2025, 14(8), 114; https://doi.org/10.3390/robotics14080114 - 19 Aug 2025
Cited by 1 | Viewed by 2237
Abstract
The construction industry faces significant challenges due to the physically demanding and hazardous nature of tasks such as manual filling of expansion joints with mastic. Automating mastic filling presents additional difficulties due to the variability of mastic density with temperature, which creates a [...] Read more.
The construction industry faces significant challenges due to the physically demanding and hazardous nature of tasks such as manual filling of expansion joints with mastic. Automating mastic filling presents additional difficulties due to the variability of mastic density with temperature, which creates a constantly changing environment that requires adaptive control strategies to ensure consistent application quality. This pilot study focuses on testing a new human–robot collaborative approach for automating the mastic application in concrete expansion joints. The system learns the task from demonstrations performed by expert construction operators teleoperating the robot. This study evaluates the usability, efficiency, and adoption of robotic assistance in joint-filling tasks compared to traditional manual methods. The study analyzes execution time and joint quality measurements, psychophysiological signal analysis, and post-task user feedback. This multi-source approach enables a comprehensive assessment of task performance and both objective and subjective evaluations of technology acceptance. The findings underscore the effectiveness of automated systems in improving safety and productivity on construction sites, while also identifying key areas for technological improvement. Full article
(This article belongs to the Section Industrial Robots and Automation)
Show Figures

Figure 1

Back to TopTop