Sign in to use this feature.

Years

Between: -

Subjects

remove_circle_outline
remove_circle_outline
remove_circle_outline
remove_circle_outline
remove_circle_outline
remove_circle_outline
remove_circle_outline
remove_circle_outline
remove_circle_outline

Journals

remove_circle_outline
remove_circle_outline
remove_circle_outline
remove_circle_outline
remove_circle_outline
remove_circle_outline
remove_circle_outline
remove_circle_outline
remove_circle_outline
remove_circle_outline
remove_circle_outline
remove_circle_outline
remove_circle_outline
remove_circle_outline
remove_circle_outline
remove_circle_outline
remove_circle_outline
remove_circle_outline
remove_circle_outline
remove_circle_outline
remove_circle_outline
remove_circle_outline
remove_circle_outline
remove_circle_outline
remove_circle_outline
remove_circle_outline
remove_circle_outline
remove_circle_outline
remove_circle_outline
remove_circle_outline
remove_circle_outline
remove_circle_outline
remove_circle_outline
remove_circle_outline
remove_circle_outline

Article Types

Countries / Regions

remove_circle_outline
remove_circle_outline
remove_circle_outline
remove_circle_outline
remove_circle_outline
remove_circle_outline
remove_circle_outline
remove_circle_outline
remove_circle_outline
remove_circle_outline
remove_circle_outline
remove_circle_outline
remove_circle_outline
remove_circle_outline

Search Results (6,436)

Search Parameters:
Keywords = preventable death

Order results
Result details
Results per page
Select all
Export citation of selected articles as:
26 pages, 4446 KB  
Article
Validation of a Wearable Photoplethysmography-Based Sensor for Compensatory Reserve Measurement Monitoring in Simulated Human Hemorrhage
by Jose M. Gonzalez, Ryan Ortiz, Krysta-Lynn Amezcua, Carlos Bedolla, Sofia I. Hernandez Torres, Erik K. Weitzel, Vijay S. Gorantla, Weihua Li, Alexander J. Aranyosi, John A. Rogers, Roozbeh Ghaffari, Victor A. Convertino and Eric J. Snider
Sensors 2026, 26(8), 2513; https://doi.org/10.3390/s26082513 (registering DOI) - 18 Apr 2026
Abstract
Hemorrhagic shock remains a leading cause of preventable death in trauma, yet traditional vital signs may fail to reflect early blood loss before physiological compensatory mechanisms are no longer able to maintain hemodynamic stability. The Compensatory Reserve Measurement (CRM) algorithm offers early detection [...] Read more.
Hemorrhagic shock remains a leading cause of preventable death in trauma, yet traditional vital signs may fail to reflect early blood loss before physiological compensatory mechanisms are no longer able to maintain hemodynamic stability. The Compensatory Reserve Measurement (CRM) algorithm offers early detection capability using physiological waveforms but requires testing with emerging wearable sensor technologies for operational deployment. This study tested the Epicore Epidermal Patch for Imperceptible Care (EPIC) wearable healthcare device (WHD) for CRM-based hemodynamic monitoring during progressive central hypovolemia induced by lower-body negative pressure (LBNP) to simulate hemorrhage. Twenty participants underwent progressive LBNP while photoplethysmography (PPG) signals were recorded from EPIC sensors placed at the clavicle and triceps alongside a clinical-grade finger pulse oximeter for reference. Signal quality, heart-rate accuracy, and CRM predictions were evaluated across multiple filtering approaches. The triceps placement achieved signal quality comparable to the pulse oximeter reference when Chebyshev Type II filtering was applied, as well as high heart-rate accuracy. CRM derived from the EPIC sensor placed at the triceps tracked compensatory trends during progressive hypovolemia, but prediction magnitudes were inaccurate compared to calculated CRM values. In contrast, the clavicle placement consistently performed poorly across all measurements, regardless of the signal-processing approach. These findings support the feasibility of soft, flexible wearable sensors for continuous hemorrhage monitoring at the triceps location in operational environments where traditional finger-based pulse oximetry is impractical. Full article
(This article belongs to the Special Issue Challenges and Future Trends in Biomedical Signal Processing)
19 pages, 8753 KB  
Article
Interferon-β Modulates Early Viral Replication Kinetics and Innate Responses to Non-Fatal Alphavirus Encephalomyelitis
by Benjamin H. Nguyen, Elise Stanley, Victoria K. Baxter and Diane E. Griffin
Pathogens 2026, 15(4), 441; https://doi.org/10.3390/pathogens15040441 (registering DOI) - 18 Apr 2026
Abstract
Alphaviruses are mosquito-borne viruses that can infect the central nervous system (CNS) and cause encephalomyelitis, which is a rare but dangerous complication from infection. In mice, this can be studied in a model of infection with Sindbis virus (SINV), which infects neurons and [...] Read more.
Alphaviruses are mosquito-borne viruses that can infect the central nervous system (CNS) and cause encephalomyelitis, which is a rare but dangerous complication from infection. In mice, this can be studied in a model of infection with Sindbis virus (SINV), which infects neurons and causes neurological disease. Due to the non-renewable nature of neurons, the immune response in the CNS is specialized to prevent neuronal damage or death, even if they are infected. Therefore, insights into the nuances of antiviral immunity in the CNS provide a better understanding of disease pathogenesis and mechanisms of recovery. Type I interferons (IFNs) are critically important for survival; they are an innate antiviral defense mechanism that consists mainly of IFNα and IFNβ. Although both use the same receptor, type-specific differences between IFNα and IFNβ have been described in other contexts. To this end, Ifnb−/− mice were used to elucidate the role of IFNβ in recovery from alphavirus encephalomyelitis. IFNβ-deficient mice have intact IFNα expression and downstream signaling, but symptomatic disease occurs earlier and is more severe. This is accompanied by increased virus replication in the early stages of infection. Microgliosis is reduced in Ifnb−/− mice compared to wildtype, but inflammatory cytokine/chemokine levels are higher and associated with alterations in monocyte and NK cell recruitment into the CNS. Ifnb−/− mice have no deficiencies in the expression of factors known to be required for viral clearance. Therefore, IFNβ modulates the early stages of the immune response and facilitates restriction of virus replication, contributing to delayed disease onset. Full article
(This article belongs to the Special Issue Arboviruses Infections and Pathogenesis)
Show Figures

Figure 1

17 pages, 735 KB  
Article
Comparative Cardiovascular Outcomes of SGLT2i Plus Low-Dose of Conventional Triple Therapy Versus High-Dose of Conventional Triple Therapy for Heart Failure with Reduced Ejection Fraction (HFrEF): A Retrospective Cohort Study
by Suwat Khamboonruang, Parita Bunditboondee, Pongpun Jittham and Surarong Chinwong
Medicina 2026, 62(4), 781; https://doi.org/10.3390/medicina62040781 - 17 Apr 2026
Abstract
Background and Objectives: Sodium-glucose cotransporter 2 inhibitors (SGLT2i) reduce cardiovascular (CV) death and heart failure hospitalizations (HFH) in patients with heart failure with reduced ejection fraction (HFrEF). However, data regarding their use in combination with different doses of guideline-directed medical therapy (GDMT) [...] Read more.
Background and Objectives: Sodium-glucose cotransporter 2 inhibitors (SGLT2i) reduce cardiovascular (CV) death and heart failure hospitalizations (HFH) in patients with heart failure with reduced ejection fraction (HFrEF). However, data regarding their use in combination with different doses of guideline-directed medical therapy (GDMT) remain limited. This study aimed to evaluate whether SGLT2i combined with low-dose conventional triple therapy is non-inferior to high-dose conventional triple therapy in preventing adverse cardiovascular outcomes. Materials and Methods: This retrospective observational study included 334 patients with HFrEF treated between 31 March 2018 and 31 March 2024. Of these, 110 received SGLT2i plus low-dose conventional triple therapy, and 224 received high-dose conventional triple therapy. A non-inferiority framework was applied to compare outcomes between groups. The primary endpoint was a composite of CV death and HFH, while secondary endpoints included the individual components. Results: The composite endpoint occurred more frequently in the SGLT2i plus low-dose group. After inverse probability of treatment weighting and multivariable Cox analysis, this group demonstrated a significantly higher risk of the composite outcome (adjusted HR 4.10, 95% CI 2.07–8.13; p < 0.001). CV death was similar between groups; however, HFH was significantly more frequent in the SGLT2i plus low-dose group. Conclusions: In patients with HFrEF, SGLT2i combined with low-dose conventional triple therapy did not demonstrate comparable clinical outcomes to high-dose conventional triple therapy in reducing CV death and HFH, particularly in patients with a higher baseline burden of disease severity. These findings underscore the importance of optimizing background GDMT dosing alongside the incorporation of SGLT2i into clinical practice. Full article
(This article belongs to the Special Issue New Insights into Heart Failure Management and Treatment)
Show Figures

Figure 1

20 pages, 7292 KB  
Article
DataDriven Spatial Mapping of Air Pollution Exposure and Mortality Burden in Lisbon Metropolitan Area
by Farzaneh Abedian Aval, Sina Ataee, Behrouz Nemati, Bárbara T. Silva, Diogo Lopes, Vânia Martins, Ana Isabel Miranda, Evangelia Diapouli and Hélder Relvas
Atmosphere 2026, 17(4), 408; https://doi.org/10.3390/atmos17040408 - 17 Apr 2026
Abstract
Air pollution remains a critical environmental and public health threat, particularly in highly populated urban areas such as the Lisbon Metropolitan Area (LMA). This study provides a refined and detailed assessment of the spatial distribution of air pollution and associated attributable mortality across [...] Read more.
Air pollution remains a critical environmental and public health threat, particularly in highly populated urban areas such as the Lisbon Metropolitan Area (LMA). This study provides a refined and detailed assessment of the spatial distribution of air pollution and associated attributable mortality across the LMA. High-resolution (1 km2) annual mean concentrations of key pollutants (PM2.5, PM10 and NO2) for 2022 and 2023 were estimated by integrating outputs from the URBAIR dispersion model with ground-based monitoring observations using advanced geostatistical data-fusion techniques. Air pollutant concentrations were combined with gridded population data and age-stratified baseline mortality rates within a Geographic Information System framework to quantify spatial variations in health impacts. Using the World Health Organization AirQ+ framework and established concentration–response functions, we estimated a total of 3195 air-pollution-attributable deaths across the Lisbon Metropolitan Area (LMA) in 2022, increasing to 4010 deaths in 2023. Fine particulate matter (PM2.5) was identified as the dominant contributor, accounting for more than 40% of the total health burden. At a high spatial resolution (1 km2 grid), estimated mortality exhibited substantial variability, ranging from 0 to 29 deaths per cell in 2022 and from 0 to 36 deaths per cell in 2023. These results highlight the importance of fine-scale spatial analysis, revealing intra-urban disparities that are not captured by aggregated estimates of total attributable mortality. The proposed methodological framework, integrating dispersion modelling, data fusion, and spatially explicit health impact assessment at fine spatial scales, provides a robust and transferable approach to support evidence-based air quality management and urban health policy development in European metropolitan contexts. This integrated approach enhances comparability, improves exposure assessment accuracy, and strengthens the scientific basis for designing targeted mitigation strategies that could prevent hundreds of premature deaths annually while addressing documented spatial inequalities in pollution exposure. Full article
(This article belongs to the Special Issue Urban Air Quality, Heat Islands and Public Health)
Show Figures

Figure 1

17 pages, 1507 KB  
Systematic Review
Prevalence and Associated Factors of Sarcopenic Obesity in the Community Elderly: Meta-Analysis and Systematic Review
by Xinyue Zhang, Ying Fan, Lijiangshan Hua, Yitao Zhou and Qiuhua Sun
Nutrients 2026, 18(8), 1267; https://doi.org/10.3390/nu18081267 - 16 Apr 2026
Abstract
Background: Through a meta-analysis and systematic review, the present study aimed to evaluate the prevalence, associated factors and prognosis of sarcopenic obesity in the elderly in the community. Methods: From database inception to 31 December 2025, this study performed a full [...] Read more.
Background: Through a meta-analysis and systematic review, the present study aimed to evaluate the prevalence, associated factors and prognosis of sarcopenic obesity in the elderly in the community. Methods: From database inception to 31 December 2025, this study performed a full database of PubMed, Web of Science, Embase, the Cochrane Library, CINAHL, CNKI, CBM, WANFANG, and VIP database. Two researchers undertook a systematic process of data extraction and literature quality evaluation. Stata 17 was used to evaluate the prevalence, associated factors and prognosis of sarcopenic obesity in the elderly in the community. Results: Our study included a total of 37 sources, encompassing 80,337 elderly individuals in the community. The results showed that the sarcopenic obesity prevalence in this population was 10%(95%CI: 8–11%), with a 95% prediction interval of 1.4–31.2%, and its occurrence was related to multiple associated factors such as age (OR = 1.83, 95%CI: 1.21–2.76), male (OR = 3.38, 95%CI: 1.53–7.49), low physical activity (OR = 1.56, 95%CI: 1.13–2.16), moderate-to-high physical activity (OR = 0.62, 95%CI: 0.51–0.77), low income (OR = 1.71, 95%CI: 1.04–2.83), unemployment (OR = 1.88, 95%CI: 1.29–2.75) and insufficient energy intake (OR = 1.23, 95%CI: 1.02–1.50). The poor prognosis of sarcopenic obesity in the elderly in the community, including falls, disability, increased risk of hospitalization, and death, seriously affects their quality of life. Conclusions: The prevalence of sarcopenic obesity in the elderly in the community is relatively high. Age, gender, income level and other factors are closely associated with the occurrence of sarcopenic obesity and can lead to serious adverse consequences. It is recommended that primary medical institutions should focus on people at a high risk of sarcopenic obesity. Community medical personnel can formulate targeted prevention and control measures according to their associated factors to achieve early screening, diagnosis and intervention. Full article
(This article belongs to the Section Geriatric Nutrition)
Show Figures

Figure 1

15 pages, 2123 KB  
Article
Evaluation of Performance Indicators for Malaria Control in Kinshasa from 2020 to 2023, the Democratic Republic of the Congo
by Bienvenu Bampenga Lutumbu, Kennedy Makola Mbanzulu, Germain Kieng Kapour, Madone Mandina Ndona, Josué Zanga, Jean Pierre Kambala Mukendi, Harry Kayembe, Andy Mbangama and Roger Wumba
Epidemiologia 2026, 7(2), 55; https://doi.org/10.3390/epidemiologia7020055 - 16 Apr 2026
Abstract
Background: In 2018, malaria remained a leading cause of morbidity and mortality in the Democratic Republic of the Congo, accounting for 44% of all outpatient visits and 22% of deaths. This led to the development of the strategic plan for 2020–2023. To meet [...] Read more.
Background: In 2018, malaria remained a leading cause of morbidity and mortality in the Democratic Republic of the Congo, accounting for 44% of all outpatient visits and 22% of deaths. This led to the development of the strategic plan for 2020–2023. To meet the objectives of this renewed plan, a monitoring and evaluation program focusing on performance indicators was established. This study aimed to assess the malaria control performance indicators in Kinshasa. Methods: A descriptive cross-sectional study used the National Malaria Control Program dataset of the period 2020–2023 to analyze malaria data from 23 HZ (Health Zone) in Kinshasa. Diagnostic, therapeutic, and preventive use of LLINs (long-lasting insecticidal nets) and sulfadoxine–pyrimethamin-based IPT (intermittent preventive treatment among pregnant women) indicators were evaluated following the targeted thresholds established in the strategic plan for 2020–2023. Results: Malaria was present in all studied HZ from 2020 to 2023, with a heterogeneous distribution. The malaria incidence during the study period was 30%, with an upward trend in both suspected and confirmed cases, peaking in 2022 and showing no further fluctuations thereafter. The proportion of LLINs distributed to pregnant women during antenatal care visits was 62%, 61%, 45%, and 88% in 2020, 2021, 2022, and 2023, respectively. A total of 83.1% of suspected malaria cases were diagnosed using RDT (Rapid Diagnosis Test), and confirmed malaria cases received antimalarial treatment. Conclusions: The objectives of the 2020–2023 strategic plan were only partially achieved, and no HZ reached 100% diagnosis by RDT, with only four HZs reaching at least 95% of the target. Thirty-four HZs were able to benefit from 95% treatment with antimalarial drugs. Full article
Show Figures

Figure 1

20 pages, 862 KB  
Review
Predicting Sudden Cardiac Death in Heart Failure with Mildly Reduced/Preserved Left Ventricular Ejection Fraction: A Clinical Review
by Mauro Feola, Federico Landra, Cosimo Angelo Greco, Roberto Lorusso and Gaetano Ruocco
J. Clin. Med. 2026, 15(8), 3041; https://doi.org/10.3390/jcm15083041 - 16 Apr 2026
Viewed by 46
Abstract
Cardiac arrest is a way of demise of patients who are affected by heart failure (HF), being more frequent in those with HF with a reduced left ventricular ejection fraction (HFrEF), and is, as such, responsible for 30–50% of cardiac death. Specific data [...] Read more.
Cardiac arrest is a way of demise of patients who are affected by heart failure (HF), being more frequent in those with HF with a reduced left ventricular ejection fraction (HFrEF), and is, as such, responsible for 30–50% of cardiac death. Specific data on the risk of sudden cardiac death (SCD) related to HF with a preserved ejection fraction (HFpEF) and HF with a mildly reduced ejection fraction (HFmrEF) are lacking, as well as data regarding ventricular arrhythmias in this population. Considering the 0.3% person/year incidence rate of investigator-reported ventricular tachycardia (VT) and ventricular fibrillation (VF), the rate of SCD in the analyzed population seems to be 1.3% per year. Age, gender, history of diabetes and myocardial infarction, left bundle branch block (LBBB) on electrocardiogram (ECG), and a natural logarithm of N-terminal pro B-type natriuretic peptide (NT-proBNP), identified a subgroup of HFpEF patients with a higher risk (5-year cumulative incidence of 11%) of sudden death (SD). In HFpEF patients, both glifozins and finerenone did not demonstrate a beneficial effect on SCD incidence in comparison to placebo. A significantly lower rate of SCD emerged in patients who were treated with dapaglifozin (10 vs. 26 pts) among patients with HF with an improved ejection fraction (HFimpEF), who were defined as patients with a previous left ventricular ejection fraction (LVEF) < 40%. Promising methods discussed include cardiac magnetic resonance, myocardial scintigraphy, genetic assessment, and electrophysiologic studies for predicting SCD in those patients. In conclusion, arrhythmic SCD in HFpEF patients should not be considered merely as an effect of VT/VF; bradyarrhythmia is probably more frequent and dangerous. The effects of drugs in preventing SCD in HFpEF have not been demonstrated yet. Full article
(This article belongs to the Special Issue Clinical Challenges in Heart Failure Management: 2nd Edition)
Show Figures

Figure 1

17 pages, 2313 KB  
Article
Effectiveness of COVID-19 Vaccine Boosters in Children Across Pandemic and Endemic Periods
by Eduardo A. Oliveira, Maria Christina L. Oliveira, Hercílio Martelli-Júnior, Fabrício Emanuel S. Oliveira, Daniella R. B. Martelli, Rayner Santos, Robert H. Mak, Ana Cristina Simões e Silva, Lilian M. Diniz, Cristiane S. Dias, Lays R. C. Foligno, Rafaela R. Herrerias, Ana Livia O. Andrade, Isabella O. Barbosa and Enrico A. Colosimo
Microorganisms 2026, 14(4), 883; https://doi.org/10.3390/microorganisms14040883 - 14 Apr 2026
Viewed by 247
Abstract
In the SARS-CoV-2 endemic phase, assessing the effectiveness of COVID-19 booster doses in children is essential for public health policy. This study evaluated the vaccine effectiveness (VE) of three doses (primary series plus booster) against severe outcomes, comparing the pandemic and endemic periods [...] Read more.
In the SARS-CoV-2 endemic phase, assessing the effectiveness of COVID-19 booster doses in children is essential for public health policy. This study evaluated the vaccine effectiveness (VE) of three doses (primary series plus booster) against severe outcomes, comparing the pandemic and endemic periods and children with and without comorbidities. We carried out a cohort study based on the population, utilizing comprehensive Brazilian data from individuals under 18 years of age with confirmed SARS-CoV-2 infection, spanning from February 2020 to June 2025. The primary exposure of interest was three or more doses of COVID-19 vaccines. The primary outcome of interest was COVID-19-related death. VE and the number needed to vaccinate (NNV) to prevent one death were estimated in a propensity score-matched cohort, with adjustments for confounders. Among 3,730,007 reported pediatric cases, 5472 (0.1%) died, 99% of whom did not receive a booster dose. During the pandemic, the VE against death was higher in children with comorbidities (92.7% [95% CI, 63.5–99.0]; NNV = 23 [19–30]) than in those without (68.2% [25.7–86.4]; NNV = 2000 [1111–9774]). During the endemic period, the VE against death remained high and was comparable between groups: 89.4% (29.8–98.7) and 75.8% (36.4–95.7) for children with and without comorbidities, respectively. Nevertheless, NNV levels were significantly lower in children with comorbidities, reflecting an increased risk at baseline. Although booster doses continue to offer substantial protection against fatal COVID-19 outcomes, the magnitude of this benefit is directly correlated with the baseline risk. Consequently, these findings support the implementation of risk-based prioritization strategies in public health decision-making for children. Full article
(This article belongs to the Section Public Health Microbiology)
Show Figures

Figure 1

18 pages, 1229 KB  
Review
Roles of the Chemokine Receptor CX3CR1 in the Pathogenesis of RSV Infections
by Robert Meineke, Martin Ludlow, Albert D. M. E. Osterhaus and Guus F. Rimmelzwaan
Viruses 2026, 18(4), 463; https://doi.org/10.3390/v18040463 - 13 Apr 2026
Viewed by 191
Abstract
CX3CR1 is a chemokine receptor expressed on respiratory epithelial and immune cells and has been identified as a host factor important for infections with respiratory syncytial virus (RSV). In this review, we discuss the roles CX3CR1 plays in the pathogenesis of RSV infections [...] Read more.
CX3CR1 is a chemokine receptor expressed on respiratory epithelial and immune cells and has been identified as a host factor important for infections with respiratory syncytial virus (RSV). In this review, we discuss the roles CX3CR1 plays in the pathogenesis of RSV infections as a viral entry receptor and regulator of immune cell trafficking. The conserved CX3C motif of the RSV G glycoprotein binds to CX3CR1 to mediate viral attachment and entry into respiratory epithelial cells. Furthermore, soluble G protein (sG) can bind to CX3CR1 and competitively interfere with cell signaling induced by the chemokine CX3CL1, resulting in inhibition of immune cell recruitment to the site of infection. In addition, sG engages TLR2 on epithelial cells, activating MyD88-NF-κB signaling and priming the NLRP3 inflammasome, which enhances viral dissemination through pyroptotic cell death. CX3CR1 signaling should be viewed as one of several overlapping host factors that—along with developmental changes in interferon and STAT3 signaling, airway anatomy, inflammasome activity, and tissue-resident memory responses—contribute to differential disease outcomes of RSV infection. A more complete molecular understanding of RSV-CX3CR1 interactions and downstream host responses may enable the development of improved prevention and treatment strategies. Full article
(This article belongs to the Special Issue Respiratory Syncytial Virus: Pathogenesis, Prevention and Treatment)
26 pages, 3302 KB  
Article
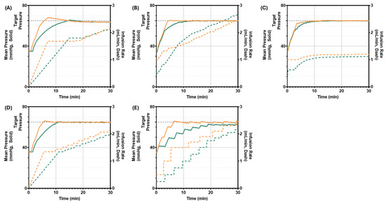
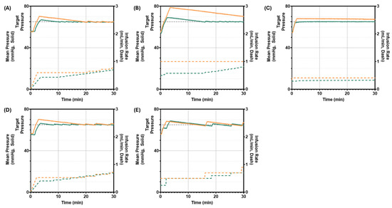
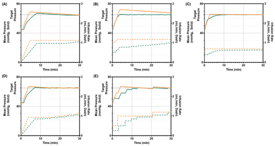
Comparison of Controller Logics for Automating Vasopressor Administration Using a Hardware-in-Loop Test Platform
by Michael D. Lopez, Jonathan Marrero Bermudez, David Berard, Lawrence Holland, Austin J. Ruiz, Jose M. Gonzalez, Sofia I. Hernandez Torres and Eric J. Snider
Bioengineering 2026, 13(4), 454; https://doi.org/10.3390/bioengineering13040454 - 13 Apr 2026
Viewed by 247
Abstract
Hemorrhagic shock remains one of the leading causes of preventable death for both civilian and military trauma. Fluid resuscitation is the primary treatment but requires constant monitoring, particularly for volume non-responsive patients susceptible to fluid overload, pulmonary edema, and other life-threatening conditions. To [...] Read more.
Hemorrhagic shock remains one of the leading causes of preventable death for both civilian and military trauma. Fluid resuscitation is the primary treatment but requires constant monitoring, particularly for volume non-responsive patients susceptible to fluid overload, pulmonary edema, and other life-threatening conditions. To overcome fluid non-responsiveness, vasoactive drugs or vasopressors can be necessary adjuvants to fluid therapy but require tedious titrations that can be difficult to manage during mass-casualty situations. This study developed and evaluated automated closed-loop vasopressor controllers for hemorrhage scenarios. Ten physiological closed-loop controller (PCLC) configurations with different underlying functionalities were tuned to be either more aggressive or conservative to reach the target mean arterial pressure. A hardware-in-loop test platform with fluid-pressure responsiveness, derived from animal data, tested each controller across three different starting pressure scenarios. The platform successfully differentiated controller designs based on performance metrics. While some configurations overshot the target and others could not reach the target pressure, strong-performing PCLCs consistently reached and maintained the target quickly. Three candidate PCLCs outperformed the rest and will be evaluated across wider scenarios to develop a robust controller design. This work accelerates PCLC-driven vasopressor administration development, providing a necessary fluid resuscitation adjuvant for precise hemodynamic management in hemorrhagic trauma. Full article
(This article belongs to the Section Biomedical Engineering and Biomaterials)
Show Figures

Figure 1

27 pages, 1626 KB  
Article
Clinical and Psychological Impact of COVID-19 on Maintenance Hemodialysis Patients: Hospitalization Burden, De Novo Anxiolytic Use, and Long-Term Survival
by Ioana Adela Ratiu, Danut Dejeu, Ozana Hocopan, Corina Moisa, Gabriel Cristian Bako, Nicu Olariu, Mihaela Pal, Edy Hagi-Islai, Anamaria Ratiu, Mirela Indries, Elena Emilia Babeș and Cristian Adrian Ratiu
Medicina 2026, 62(4), 744; https://doi.org/10.3390/medicina62040744 - 13 Apr 2026
Viewed by 234
Abstract
Background and Objectives: Hemodialysis (HD) patients represented a highly vulnerable population during the COVID-19 pandemic, both clinically and psychologically. Data regarding acute anxiety requiring pharmacologic treatment in this setting are limited. The aim of the study was to assess factors influencing clinical [...] Read more.
Background and Objectives: Hemodialysis (HD) patients represented a highly vulnerable population during the COVID-19 pandemic, both clinically and psychologically. Data regarding acute anxiety requiring pharmacologic treatment in this setting are limited. The aim of the study was to assess factors influencing clinical evolution, psycho-emotional disturbances reflected by “de novo” anxiolytic use, and vital prognosis of hospitalized COVID-19 patients on HD. Materials and Methods: The study included 211 patients followed between 2020 and 2023 (149 were COVID-19 positive and 80 required hospitalization) and comprised two sequential phases: an in-hospital phase during COVID-19, in which disease severity factors, in-hospital mortality, and the requirement for de novo anxiolytic therapy were assessed, and a follow-up phase, which evaluated overall mortality and the impact of vaccination on long-term outcomes. Results. Hospitalized patients were older, had lower dialysis adequacy, and a lower rate of COVID-19 vaccination. Severe COVID-19, associated with elevated inflammatory markers, prolonged hospitalization, and an increased need for anxiolytic therapy to control acute psychopathological disturbances, was significantly more frequent in patients with underlying oncological comorbidities. Patients who died from COVID-19 during hospitalization were older (69.364 ± 1.973 vs. 66.426 ± 1.546, p = 0.239), predominantly male (66.69% vs. 48.93%, p = 0.064), had similar BMI (26.836 ± 1.120 vs. 26.909 ± 0.943, p = 0.961), and had shorter duration on HD (5.182 ± 4.733 vs. 7.383 ± 6.060, p = 0.085). Patients who received anxiolytic therapy during hospitalization for COVID-19 were younger, predominantly male, and had a longer dialysis vintage as well as a higher body mass index. Although the de novo need for anxiolytics during COVID hospitalization was associated with multiple parameters in the linear regression analysis, the multivariable regression model showed a significant and strong association only with corticosteroid therapy (OR = 16.403, 95% CI = 4.433–62.111, p < 0.001). COVID-19 vaccination was associated with a significant reduction in mortality risk, with vaccinated patients exhibiting a 58% lower hazard of death compared with unvaccinated individuals (HR = 0.42; 95% CI: 0.28–0.62; p < 0.001). Conclusions: COVID-19 in HD patients is a multidimensional pathology, in which clinical severity and preventive strategies, such as vaccination, significantly influence survival. Acute anxiety requiring pharmacologic intervention was highly prevalent in hospitalized HD patients with COVID-19, but was not associated with worse survival (p = 0.903). Psychological burden should be recognized as an important component of care in this population. Full article
(This article belongs to the Special Issue The Burden of COVID-19 Pandemic on Mental Health, 2nd Edition)
Show Figures

Figure 1

19 pages, 4636 KB  
Article
The Effect and Molecular Mechanism of Fto Gene Knockout on Cadmium-Induced Injury in Pancreatic β-Cells
by Sina Yang, Wenhong Li, Shunrong Ma, Ning Xu, Kaiyan Shen, Jiamin Yuan, Yanying Hu, Shiyan Gu and Zuoshun He
Curr. Issues Mol. Biol. 2026, 48(4), 397; https://doi.org/10.3390/cimb48040397 - 13 Apr 2026
Viewed by 210
Abstract
Cadmium exposure results in the impairment of pancreatic β-cells. The FTO protein, the product of the Fto gene, is a key regulator of diverse pathophysiological processes, including oxidative damage and cell death. However, it remains unclear whether Fto gene knockout affects cadmium-induced pancreatic [...] Read more.
Cadmium exposure results in the impairment of pancreatic β-cells. The FTO protein, the product of the Fto gene, is a key regulator of diverse pathophysiological processes, including oxidative damage and cell death. However, it remains unclear whether Fto gene knockout affects cadmium-induced pancreatic β-cell damage, and the precise mechanisms involved are yet to be elucidated. Under conditions of cadmium exposure, Fto gene knockout was found to alleviate pancreatic β-cell damage significantly. Specifically, Fto gene knockout counteracted cadmium-induced cytotoxicity—manifested as reduced cell viability, increased apoptosis, and heightened lactate dehydrogenase (LDH) release—while simultaneously suppressing DNA damage and preserving cellular membrane integrity. On a molecular level, Fto gene knockout markedly mitigated cadmium-induced oxidative stress. This was achieved by curbing excessive reactive oxygen species (ROS) accumulation, lowering malondialdehyde (MDA) generation, and reducing 8-hydroxy-2′-deoxyguanosine (8-OHdG) levels, alongside restoring superoxide dismutase (SOD) activity. Furthermore, ER-Tracker Red staining revealed that cadmium treatment induced clustered aggregation of the endoplasmic reticulum (ER) and increased fluorescence intensity, suggesting the activation of endoplasmic reticulum stress (ERS). Conversely, Fto knockout ameliorated ER morphological abnormalities, thereby effectively antagonizing the excessive activation of ERS. In summary, our study elucidates the impact and underlying molecular mechanisms of the Fto gene in cadmium-induced toxicity in pancreatic β-cells from the perspectives of oxidative damage, ERS, and apoptosis. These findings identify the Fto gene as a potential molecular target for mitigating cadmium-induced toxicity in pancreatic β-cells, thereby providing a new theoretical basis for the prevention and treatment of cadmium-induced pancreatic β-cell injury. Full article
(This article belongs to the Section Biochemistry, Molecular and Cellular Biology)
Show Figures

Figure 1

10 pages, 653 KB  
Case Report
Multidrug-Resistant Escherichia coli Causing Respiratory and Systemic Infection in a Guinea Pig (Cavia porcellus) in Romania: A Case Report
by Alexandru Gligor, Vlad Iorgoni, Paula Nistor, Sebastian Alexandru Popa, Ionela Popa, Ionica Iancu, Ileana Nichita, Kalman Imre, Emil Tîrziu and Viorel Herman
Vet. Sci. 2026, 13(4), 370; https://doi.org/10.3390/vetsci13040370 - 11 Apr 2026
Viewed by 222
Abstract
Background/Objectives: Multidrug-resistant (MDR) Escherichia coli has increasingly been recognized as a pathogen capable of causing severe systemic infections in various animal species. However, reports describing respiratory and septicemic infections caused by MDR E. coli in guinea pigs remain scarce. The objective of this [...] Read more.
Background/Objectives: Multidrug-resistant (MDR) Escherichia coli has increasingly been recognized as a pathogen capable of causing severe systemic infections in various animal species. However, reports describing respiratory and septicemic infections caused by MDR E. coli in guinea pigs remain scarce. The objective of this report was to describe the clinical, pathological, and microbiological findings associated with a fatal infection in a domestic guinea pig. Case Study: A 10-month-old female guinea pig (Cavia porcellus), kept as a companion animal in a household environment, presented with acute respiratory distress, lethargy, and anorexia, progressing rapidly to death within approximately 36 h of onset. Post-mortem examination revealed severe pulmonary congestion, diffuse inflammatory lesions in the trachea, and generalized vascular congestion in multiple organs. Bacteriological cultures obtained from lung and bone marrow samples yielded pure growth of Escherichia coli. Identification was confirmed using MALDI-TOF mass spectrometry. Antimicrobial susceptibility testing demonstrated resistance to several antibiotic classes, including β-lactams, fluoroquinolones, tetracyclines, sulfonamides, and phenicols, while susceptibility was retained only to aminoglycosides. Molecular analysis revealed the presence of virulence genes involved in adhesion and iron acquisition, supporting the pathogenic potential of the isolate. Conclusions: This report highlights the ability of MDR E. coli to cause severe respiratory and systemic infections in guinea pigs. The findings underline the importance of early diagnosis, appropriate antimicrobial stewardship, and improved husbandry conditions in preventing such infections. From a One Health perspective, the circulation of resistant strains in companion animals may represent a potential risk for both environmental and human health. Full article
Show Figures

Figure 1

20 pages, 1752 KB  
Review
Oxalate as an Emerging Contributor to Cardiovascular Disease: Links to Inflammation, Immunity, and Oxidative Stress
by Mary A. E. M. Doamekpor, Vivek Verma, Christine M. Wright, Breanna Young, Diksha S. Saini, Gregory A. Payne, Clintoria R. Williams and Tanecia Mitchell
Nutrients 2026, 18(8), 1190; https://doi.org/10.3390/nu18081190 - 10 Apr 2026
Viewed by 460
Abstract
Cardiovascular disease (CVD) is the world’s leading cause of death and continues to rise in prevalence, contributing to healthcare and economic costs. Following diagnosis, patients are advised to adopt medication regimens, increase physical activity, and modify dietary intake to reduce disease progression and [...] Read more.
Cardiovascular disease (CVD) is the world’s leading cause of death and continues to rise in prevalence, contributing to healthcare and economic costs. Following diagnosis, patients are advised to adopt medication regimens, increase physical activity, and modify dietary intake to reduce disease progression and prevent additional comorbidities. Oxalate is a small molecule in plant-derived foods such as spinach, potatoes, almonds, and peanuts and is also produced endogenously. Although oxalate is traditionally studied in the context of kidney stone disease, recent evidence suggests that it may be a dietary contributor to inflammation and oxidative stress in CVD. Elevated systemic oxalate levels promote reactive oxygen species (ROS) generation and activate inflammatory pathways such as nuclear factor-kappa B (NF-κB), mitogen-activated protein kinase (MAPK), and the NLRP3 inflammasome, which are key players in CVD. In this narrative review, we discuss the current literature describing the role of inflammation in CVD and evaluate emerging evidence that dietary oxalate may influence immune, oxidative, and vascular mechanisms contributing to CVD development and progression. In addition, we highlight populations that may be most vulnerable to oxalate-mediated vascular effects. We conclude by describing existing gaps in knowledge and potential future directions for the field. Understanding these mechanisms further may guide dietary recommendations and delineate oxalate’s potential role as a modifiable risk factor for CVD. Full article
(This article belongs to the Section Nutrition and Metabolism)
Show Figures

Figure 1

15 pages, 1789 KB  
Article
Impact of Oral Pre-Exposure Secretory IgA Prophylactic Produced in Rice on Gut Microbiome Homeostasis
by Ravi Bharadwaj, Carlos Gaspar, Tyler D. Moeller, Doyle Ward, Mark S. Klempner, Yang Wang and Lisa A. Cavacini
Pharmaceutics 2026, 18(4), 457; https://doi.org/10.3390/pharmaceutics18040457 - 9 Apr 2026
Viewed by 388
Abstract
Background/Objectives: Enterotoxigenic Escherichia coli (ETEC) is a leading cause of diarrheal illness worldwide, resulting in approximately 380,000 deaths annually, with significant morbidity in children and travelers to endemic regions. ETEC infection begins with the attachment of the bacterium to the small intestine [...] Read more.
Background/Objectives: Enterotoxigenic Escherichia coli (ETEC) is a leading cause of diarrheal illness worldwide, resulting in approximately 380,000 deaths annually, with significant morbidity in children and travelers to endemic regions. ETEC infection begins with the attachment of the bacterium to the small intestine via filamentous colonization factors (CF), followed by the production of heat-labile (LT) and heat-stable (ST) toxins that induce watery diarrhea. Targeting CF to prevent ETEC attachment is challenging due to strain heterogeneity. Methods: In previous studies, we developed a class-switched human monoclonal antibody, 68–90, expressed as secretory IgA (SIgA) in rice for cost-effective and stable storage. Rice-produced SIgA exhibited comparable binding efficiency to CfaE, a component of CF, compared to CHO-produced SIgA in vitro. Results: In this work, we showed that oral administration of 68–90 SIgA to Aotus nancymaae did not alter gut microbiome distribution or show signs of systemic exposure. Conclusions: These findings suggest that oral delivery of ETEC-specific SIgA is safe and does not disrupt the gut microbial population, highlighting its potential as an effective and targeted therapeutic strategy. Full article
(This article belongs to the Section Biologics and Biosimilars)
Show Figures

Figure 1

Back to TopTop