Sign in to use this feature.

Years

Between: -

Subjects

remove_circle_outline
remove_circle_outline
remove_circle_outline
remove_circle_outline
remove_circle_outline
remove_circle_outline
remove_circle_outline

Journals

Article Types

Countries / Regions

Search Results (51)

Search Parameters:
Keywords = predistortion linearizer

Order results
Result details
Results per page
Select all
Export citation of selected articles as:
16 pages, 1954 KB  
Communication
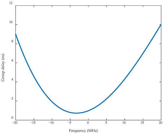
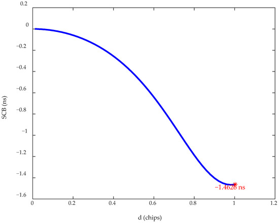
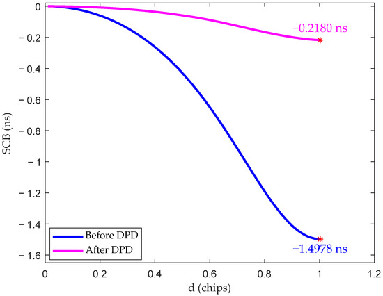
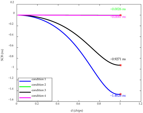
Improving S-Curve Bias Through Joint Compensation of HPA and Filter Distortions
by Longyu Chen, Yi Yang, Tulin Xiong, Lin Chen and Yuqi Liu
Sensors 2026, 26(3), 981; https://doi.org/10.3390/s26030981 - 3 Feb 2026
Viewed by 168
Abstract
Navigation signals are simultaneously affected by nonlinear distortion from the high-power amplifier (HPA) and linear distortion from the filter in the navigation signal transmission channel, which reduce the signal quality and degrade the performance in high-precision positioning services. To address the limitation of [...] Read more.
Navigation signals are simultaneously affected by nonlinear distortion from the high-power amplifier (HPA) and linear distortion from the filter in the navigation signal transmission channel, which reduce the signal quality and degrade the performance in high-precision positioning services. To address the limitation of traditional compensation methods under nonlinear conditions, this proposes a joint compensation approach. The approach first employs an iterative piecewise optimization method to design a predistortion filter to enhance the compensation ability for linear distortion. Then a QR-decomposition recursive least squares parameter extraction algorithm is used to extract the actual HPA model and construct a lookup table, enabling adaptive compensation of nonlinear distortion. With S-curve bias (SCB) as the performance evaluation index, the results show that this method can significantly reduce the SCB and effectively compensate for the distortion. The findings indicate that the proposed method improves navigation signal quality and provides reliable support for high-precision positioning services. Full article
(This article belongs to the Section Navigation and Positioning)
Show Figures

Figure 1

14 pages, 2117 KB  
Article
Optimized DPD Design with Peak-Detection-Based Loop-Delay Estimation for Power Amplifier Linearization: Addressing High–Low Power Distortion via Memory-Clustering Biased Polynomial
by Fei Yang, Gang Yang and Yanan Luo
Electronics 2026, 15(2), 252; https://doi.org/10.3390/electronics15020252 - 6 Jan 2026
Viewed by 345
Abstract
This paper proposes an optimized digital predistortion (DPD) framework. Firstly, a peak-detection-based loop-delay estimation is developed by leveraging the unique peak distribution of Orthogonal Frequency Division Multiplexing (OFDM) signals. It reduces the required number of samples to as small as two without compromising [...] Read more.
This paper proposes an optimized digital predistortion (DPD) framework. Firstly, a peak-detection-based loop-delay estimation is developed by leveraging the unique peak distribution of Orthogonal Frequency Division Multiplexing (OFDM) signals. It reduces the required number of samples to as small as two without compromising estimation accuracy. Then, a Biased Memory Polynomial (BMP) model is proposed for power amplifier modeling. It addresses low-power inaccuracies caused by circuit imperfections (e.g., DC offsets) by adding a bias term to conventional memory polynomials, improving linearization accuracy in low-power regime. Last, to improve the accuracy of coefficient derivation, Memory-Clustering Biased Memory Polynomial (MBMP) is proposed by grouping signals into clusters based on memory-attenuated input vectors and processing them with dedicated sub-models. It improves linearization accuracy in high-power regime. Experimental results demonstrate that the MBMP model reduces normalized mean square error (NMSE) by 16.12 dB, and reduces adjacent channel power ratio (ACPR) by about 12 dBm compared to conventional MP. Full article
Show Figures

Figure 1

10 pages, 1745 KB  
Article
Multi-Band FMCW Signal Generator with a Tunable Sweep-Frequency Bandwidth and Inter-Band Interval
by Md Mamun-Ur-Rashid, Qiupin Wang, Xin Tong, Pu Ou, Guangqiong Xia and Zhengmao Wu
Photonics 2026, 13(1), 48; https://doi.org/10.3390/photonics13010048 - 5 Jan 2026
Viewed by 338
Abstract
In this work, we experimentally demonstrate a scheme for generating a multi-band FMCW signal with a tunable sweep bandwidth and inter-band interval. For such a scheme, an original FMCW signal is first acquired by directly current-modulating a master distributed feedback semiconductor laser (DFB-SCL) [...] Read more.
In this work, we experimentally demonstrate a scheme for generating a multi-band FMCW signal with a tunable sweep bandwidth and inter-band interval. For such a scheme, an original FMCW signal is first acquired by directly current-modulating a master distributed feedback semiconductor laser (DFB-SCL) using a pre-distorted triangular waveform. Then, the original FMCW signal is injected into a slave DFB-SCL, in which a multi-band FMCW signal is generated via the four-wave mixing (FWM) effect. The experiment results show that, under appropriate injection parameters, a tri-band FMCW signal can be obtained, which is composed of a regenerated original FMCW signal (named as main band) and two newly generated FMCW signals originating from idler waves (named as upper band and lower band, respectively). Under the optical injection with negative frequency detuning, the sweep-frequency bandwidth for upper band is the same as that of the original FMCW signal, and the sweep-frequency bandwidth for lower band is twice that of the original FMCW signal. Meanwhile, the interval between the central frequencies of two adjacent bands depends on the frequency detuning between two DFB-SCLs operating at free-running. By adjusting the sweep-frequency bandwidth of the original FMCW signal and the temperature of the slave DFB-SCL, the sweep-frequency bandwidth of each band and the interval between two adjacent bands of the generated FMCW signal can be tuned. For demonstration of a proof of concept, we inspect the case that the original FMCW signal with a sweep-frequency bandwidth varied within 3 GHz~7 GHz and the frequency detuning varied within 44 GHz~59 GHz. The corresponding results demonstrate that each band with the different sweep-frequency bandwidth possesses high linearity of R2 > 0.990 under the frequency detuning fixing at 59 GHz. Such a scheme offers a simplified architecture for generating multi-band FMCW signals with a tunable sweep-frequency bandwidth and inter-band interval. Full article
(This article belongs to the Special Issue Advanced Lasers and Their Applications, 3rd Edition)
Show Figures

Figure 1

25 pages, 5626 KB  
Article
Universal Digital Calibration of Mismatched DACs: Enabling Sub-0.02 mm2 Area with Redundancy and Segmented Correction
by Ekaniyere Oko-Odion, Isaac Bruce, Emmanuel Nti Darko, Matthew Crabb and Degang Chen
Signals 2025, 6(4), 65; https://doi.org/10.3390/signals6040065 - 12 Nov 2025
Viewed by 2898
Abstract
This paper presents a novel methodology for the design and calibration of ultra-compact digital-to-analog converters (DACs), integrating architectural redundancy and a digital calibration algorithm. The proposed calibration approach generates pre-distortion codes that correct both positive and negative nonlinearity errors, even in designs with [...] Read more.
This paper presents a novel methodology for the design and calibration of ultra-compact digital-to-analog converters (DACs), integrating architectural redundancy and a digital calibration algorithm. The proposed calibration approach generates pre-distortion codes that correct both positive and negative nonlinearity errors, even in designs with severe mismatch or relaxed layout constraints. This enables the use of aggressively scaled devices while maintaining high linearity and spectral fidelity. The algorithm is architecture-agnostic and compatible with resistor-string, current-steering, and hybrid DAC structures. It operates with minimal memory, low latency, and supports both foreground and background calibration modes. The method is validated through simulation and silicon measurement of three 14-bit DAC architectures fabricated in TSMC 180 nm CMOS. Post-calibration results demonstrate linearity within ±0.5–1.2 LSB, ENOB up to 13.8 bits, and significant improvements in SNR, SFDR, and THD. The compact layouts—occupying as little as 0.0169 mm2—highlight the scalability of the proposed method for applications such as analog AI accelerators and high-density mixed-signal SoCs. Full article
Show Figures

Figure 1

29 pages, 1341 KB  
Article
GaN Power Amplifier with DPD for Enhanced Spectral Integrity in 2.3–2.5 GHz Wireless Systems
by Mfonobong Uko
Technologies 2025, 13(7), 299; https://doi.org/10.3390/technologies13070299 - 11 Jul 2025
Cited by 1 | Viewed by 2232
Abstract
The increasing need for high-data-rate wireless applications in 5G and IoT networks requires sophisticated power amplifier (PA) designs in the sub-6 GHz spectrum. This work introduces a high-efficiency Gallium Nitride (GaN)-based power amplifier optimized for the 2.3–2.5 GHz frequency band, using digital pre-distortion [...] Read more.
The increasing need for high-data-rate wireless applications in 5G and IoT networks requires sophisticated power amplifier (PA) designs in the sub-6 GHz spectrum. This work introduces a high-efficiency Gallium Nitride (GaN)-based power amplifier optimized for the 2.3–2.5 GHz frequency band, using digital pre-distortion (DPD) to improve spectral fidelity and reduce distortion. The design employs load modulation and dynamic biasing to optimize power-added efficiency (PAE) and linearity. Simulation findings indicate a gain of 13 dB, a 3 dB compression point at 29.7 dBm input power, and 40 dBm output power, with a power-added efficiency of 60% and a drain efficiency of 65%. The power amplifier achieves a return loss of more than 15 dB throughout the frequency spectrum, ensuring robust impedance matching and consistent performance. Electromagnetic co-simulations confirm its stability under high-frequency settings, rendering it appropriate for next-generation high-efficiency wireless communication systems. Full article
(This article belongs to the Section Information and Communication Technologies)
Show Figures

Figure 1

16 pages, 3101 KB  
Article
Enhanced High-Resolution and Long-Range FMCW LiDAR with Directly Modulated Semiconductor Lasers
by Luís C. P. Pinto and Maria C. R. Medeiros
Sensors 2025, 25(13), 4131; https://doi.org/10.3390/s25134131 - 2 Jul 2025
Cited by 4 | Viewed by 4026
Abstract
Light detection and ranging (LiDAR) sensors are essential for applications where high-resolution distance and velocity measurements are required. In particular, frequency-modulated continuous wave (FMCW) LiDAR, compared with other LiDAR implementations, provides superior receiver sensitivity, enhanced range resolution, and the capability to measure velocity. [...] Read more.
Light detection and ranging (LiDAR) sensors are essential for applications where high-resolution distance and velocity measurements are required. In particular, frequency-modulated continuous wave (FMCW) LiDAR, compared with other LiDAR implementations, provides superior receiver sensitivity, enhanced range resolution, and the capability to measure velocity. Integrating LiDARs into electronic and photonic semiconductor chips can lower their cost, size, and power consumption, making them affordable for cost-sensitive applications. Additionally, simple designs are required, such as FMCW signal generation by the direct modulation of the current of a semiconductor laser. However, semiconductor lasers are inherently nonlinear, and the driving waveform needs to be optimized to generate linear FMCW signals. In this paper, we employ pre-distortion techniques to compensate for chirp nonlinearity, achieving frequency nonlinearities of 0.0029% for the down-ramp and the up-ramp at 55 kHz. Experimental results demonstrate a highly accurate LiDAR system with a resolution of under 5 cm, operating over a 210-m range through single-mode fiber, which corresponds to approximately 308 m in free space, towards meeting the requirements for long-range autonomous driving. Full article
(This article belongs to the Special Issue Feature Papers in Optical Sensors 2025)
Show Figures

Figure 1

10 pages, 28452 KB  
Article
Highly Linear 2.6 GHz Band InGaP/GaAs HBT Power Amplifier IC Using a Dynamic Predistorter
by Hyeongjin Jeon, Jaekyung Shin, Woojin Choi, Sooncheol Bae, Kyungdong Bae, Soohyun Bin, Sangyeop Kim, Yunhyung Ju, Minseok Ahn, Gyuhyeon Mun, Keum Cheol Hwang, Kang-Yoon Lee and Youngoo Yang
Electronics 2025, 14(11), 2300; https://doi.org/10.3390/electronics14112300 - 5 Jun 2025
Viewed by 1093
Abstract
This paper presents a highly linear two-stage InGaP/GaAs power amplifier integrated circuit (PAIC) using a dynamic predistorter for 5G small-cell applications. The proposed predistorter, based on a diode-connected transistor, utilizes a supply voltage to accurately control the linearization characteristics by adjusting its dc [...] Read more.
This paper presents a highly linear two-stage InGaP/GaAs power amplifier integrated circuit (PAIC) using a dynamic predistorter for 5G small-cell applications. The proposed predistorter, based on a diode-connected transistor, utilizes a supply voltage to accurately control the linearization characteristics by adjusting its dc current. It is connected in parallel with an inter-stage of the two-stage PAIC through a series configuration of a resistor and an inductor, and features a shunt capacitor at the base of the transistor. These passive components have been optimized to enhance the linearization performance by managing the RF signal’s coupling to the diode. Using these optimized components, the AM−AM and AM−PM nonlinearities arising from the nonlinear resistance and capacitance in the diode can be effectively used to significantly flatten the AM−AM and AM−PM characteristics of the PAIC. The proposed predistorter was applied to the 2.6 GHz two-stage InGaP/GaAs HBT PAIC. The IC was tested using a 5 × 5 mm2 module package based on a four-layer laminate. The load network was implemented off-chip on the laminate. By employing a continuous-wave (CW) signal, the AM−AM and AM−PM characteristics at 2.55–2.65 GHz were improved by approximately 0.05 dB and 3°, respectively. When utilizing the new radio (NR) signal, based on OFDM cyclic prefix (CP) with a signal bandwidth of 100 MHz and a peak-to-average power ratio (PAPR) of 9.7 dB, the power-added efficiency (PAE) reached at least 11.8%, and the average output power was no less than 24 dBm, achieving an adjacent channel leakage power ratio (ACLR) of −40.0 dBc. Full article
(This article belongs to the Section Microwave and Wireless Communications)
Show Figures

Figure 1

12 pages, 1326 KB  
Article
A Wideband Digital Pre-Distortion Algorithm Based on Edge Signal Correction
by Yan Lu, Hongwei Zhang and Zheng Gong
Electronics 2025, 14(11), 2170; https://doi.org/10.3390/electronics14112170 - 27 May 2025
Viewed by 1802
Abstract
With the continuous expansion of communication bandwidth, accurately modeling the non-linear characteristics of power amplifiers has become increasingly challenging, directly affecting the performance of digital pre-distortion (DPD) technology. The high peak-to-average power ratio and complex modulation schemes of wideband signals further exacerbate the [...] Read more.
With the continuous expansion of communication bandwidth, accurately modeling the non-linear characteristics of power amplifiers has become increasingly challenging, directly affecting the performance of digital pre-distortion (DPD) technology. The high peak-to-average power ratio and complex modulation schemes of wideband signals further exacerbate the difficulty of DPD implementation, necessitating more efficient algorithms. To address these challenges, this paper proposes a wideband DPD algorithm based on edge signal correction. By acquiring signals near the center frequency and comparing them with equally band-limited feedback signals, the algorithm effectively reduces the required processing bandwidth. The incorporation of cross-terms for model calibration enhances the model fitting accuracy, leading to significant improvement in pre-distortion performance. Simulation results demonstrate that compared with traditional DPD algorithms, the proposed method reduces the error vector magnitude (EVM) from 1.112% to 0.512%. Experimental validation shows an average improvement of 11.75 dBm in adjacent channel power at a 2 MHz frequency offset compared to conventional memory polynomial DPD. These improvements provide a novel solution for power amplifier linearization in wideband communication systems. Full article
(This article belongs to the Section Circuit and Signal Processing)
Show Figures

Figure 1

15 pages, 12762 KB  
Review
Advanced Doherty Power Amplifier Architectures for 5G Handset Applications: A Comprehensive Review of Linearity, Back-Off Efficiency, Bandwidth, and Thermal Management
by Shihai He and Huan Chen
Chips 2025, 4(2), 20; https://doi.org/10.3390/chips4020020 - 6 May 2025
Cited by 2 | Viewed by 4007
Abstract
This paper presents a comprehensive review of GaAs HBT-based Doherty power amplifiers (DPAs) targeting 5G New Radio (NR) handset applications. Focusing on the critical challenges of linearity enhancement, back-off efficiency improvement, bandwidth extension under low-voltage (3.4 V) operation, and chip thermal management, the [...] Read more.
This paper presents a comprehensive review of GaAs HBT-based Doherty power amplifiers (DPAs) targeting 5G New Radio (NR) handset applications. Focusing on the critical challenges of linearity enhancement, back-off efficiency improvement, bandwidth extension under low-voltage (3.4 V) operation, and chip thermal management, the authors analyze state-of-the-art DPAs published in recent years. Key innovations including dynamic power division technique, third order intermodulation (IM3) cancellation technology, and compact output combiners are comparatively studied. Using 5G NR signals, the critical performance of the latest reported PA such as maximum linear power, back-off efficiency, bandwidth, and operating voltage are quantitatively investigated. The measurement results demonstrated that the best performance in recent DPAs achieved high linear power of 31 dBm with 34% PAE and 30 dBm with 31% PAE at the N78 and N77 bands, respectively. The corresponding adjacent channel leakage ratios (ACLRs) were lower than −36.5 dBc without digital pre-distortion (DPD). This review provides a comprehensive understanding of the latest advancements and future directions in highly efficient and linear DPA designs for 5G handset front-end modules. Full article
(This article belongs to the Special Issue IC Design Techniques for Power/Energy-Constrained Applications)
Show Figures

Figure 1

15 pages, 3373 KB  
Article
Wavelet Decomposition Prediction for Digital Predistortion of Wideband Power Amplifiers
by Shaocheng Peng and Jing You
Appl. Sci. 2025, 15(7), 3599; https://doi.org/10.3390/app15073599 - 25 Mar 2025
Viewed by 1306
Abstract
Digital predistortion (DPD) is essential for improving the efficiency and linearity of power amplifiers (PAs), particularly in radio frequency communication systems. We propose a wavelet decomposition prediction (WDP) framework that better adapts to the highly nonlinear characteristics of PAs. In this framework, the [...] Read more.
Digital predistortion (DPD) is essential for improving the efficiency and linearity of power amplifiers (PAs), particularly in radio frequency communication systems. We propose a wavelet decomposition prediction (WDP) framework that better adapts to the highly nonlinear characteristics of PAs. In this framework, the input data are first decomposed using wavelet transformation, allowing for a more effective representation of nonlinear features. Next, a nonlinear modeling process is conducted on the PA to capture its distortion characteristics. Once the nonlinear model is trained, it is frozen to preserve its learned features. Based on this frozen nonlinear model, DPD is then applied to the PA to compensate for nonlinear distortions. Experimental results demonstrate the effectiveness of our proposed method, achieving the best ACPR and EVM performance on the OpenDPD dataset. Full article
Show Figures

Figure 1

19 pages, 40150 KB  
Article
Optical Frequency Sweeping Nonlinearity Measurement Based on a Calibration-free MZI
by Pengwei Sun, Bin Zhao and Bo Liu
Remote Sens. 2024, 16(24), 4766; https://doi.org/10.3390/rs16244766 - 20 Dec 2024
Cited by 3 | Viewed by 2059
Abstract
Frequency sweeping linearity is essential for Frequency-Modulated Continuous Wave (FMCW) Light Detection and Ranging (LIDAR), as it impacts the ranging resolution and accuracy of the system. Pre-distortion methods can correct for frequency sweeping nonlinearity; however, residual minor nonlinearities can still degrade the system [...] Read more.
Frequency sweeping linearity is essential for Frequency-Modulated Continuous Wave (FMCW) Light Detection and Ranging (LIDAR), as it impacts the ranging resolution and accuracy of the system. Pre-distortion methods can correct for frequency sweeping nonlinearity; however, residual minor nonlinearities can still degrade the system ranging resolution, especially at far distances. Therefore, the precise measurement of minor nonlinearities is particularly essential for long-range FMCW LIDAR. This paper proposes a calibration-free MZI for measuring optical frequency sweeping nonlinearity, which involves alternately inserting two short polarization-maintaining fibers with different delays into one arm of an MZI, and after two rounds of beat collection, the optical frequency sweep curve of the light source is accurately measured for nonlinearity evaluation. Using the proposed method, the nonlinearity of a frequency-swept laser source is measured to be 0.2113%, and the relative nonlinearity is 5.3560 × 10−5. With the measured frequency sweep curve, we simulate the beat signal and compare it with the collected beat signal in time and frequency domain, to verify the accuracy of the proposed method. A test conducted at 24.1 °C, 30.4 °C, 39.5 °C and 44.0 °C demonstrate the method’s insensitivity to temperature fluctuations. Based on the proposed MZI, a tunable laser is pre-distorted and then used as light source of a FMCW lidar. A wall at 45 m and a building at 1.2 km are ranged by the lidar respectively. Before and after laser pre-distortion, the FWHM of echo beat spectrum are 25.635 kHz and 9.736 kHz for 45 m, 747.880 kHz and 22.012 kHz for 1.2 km. Full article
Show Figures

Figure 1

13 pages, 3887 KB  
Article
A Low-Computational-Complexity Digital Predistortion Model for Wideband Power Amplifier
by Xu Lu, Qiang Zhou, Lei Zhu, Zhihu Wei, Yaqi Wu, Zunyan Liu and Zhang Chen
Sensors 2024, 24(21), 6941; https://doi.org/10.3390/s24216941 - 29 Oct 2024
Cited by 4 | Viewed by 3119
Abstract
This paper proposes a Composition Piecewise Memory Polynomial (CPMP) digital predistortion model based on a Vector Switched (VS) behavioral model to address the challenges of severe nonlinearity and strong memory effects in wideband power amplifiers (PAs). To tackle this issue, two thresholds are [...] Read more.
This paper proposes a Composition Piecewise Memory Polynomial (CPMP) digital predistortion model based on a Vector Switched (VS) behavioral model to address the challenges of severe nonlinearity and strong memory effects in wideband power amplifiers (PAs). To tackle this issue, two thresholds are calculated and used to segment the envelope values of the input signal according to the nonlinear distortion characteristics of the PA. In this approach, a Generalized Memory Polynomial (GMP) model is employed for the lower segment, a Memory Polynomial (MP) model is employed for the middle segment, and a higher-order GMP model is employed for the upper segment. By sharing the fundamental MP among the proposed segmented models and leveraging a design methodology that configures different cross terms, memory depths, and polynomial orders for each segment, this model achieves superior linearization performance while simultaneously reducing the computational complexity associated with model extraction. The experimental results demonstrate that the adjacent channel power ratio (ACPR) of the predistorted PA output signal using the proposed model improves from −36 dBc to −54 dBc, matching the performance of the GMP model. Furthermore, this performance is 0.5 dBc better than the Piecewise Dynamic Deviation Reduction (PDDR) and Decomposed Vector Rotation (DVR) models. Notably, the complexity of the proposed parameter extraction process is 28.8% of the DVR model, 21.79% of the GMP model, and 12.83% of the PDDR model. Full article
Show Figures

Figure 1

21 pages, 3979 KB  
Article
Modeling, Design, and Application of Analog Pre-Distortion for the Linearity and Efficiency Enhancement of a K-Band Power Amplifier
by Tommaso Cappello, Sarmad Ozan, Andy Tucker, Peter Krier, Tudor Williams and Kevin Morris
Electronics 2024, 13(19), 3818; https://doi.org/10.3390/electronics13193818 - 27 Sep 2024
Cited by 4 | Viewed by 2656
Abstract
This paper presents the theory, design, and application of a dual-branch series-diode analog pre-distortion (APD) linearizer to improve the linearity and efficiency of a K-band high-power amplifier (HPA). A first-of-its-kind, frequency-dependent large-signal APD model is presented. This model is used to evaluate different [...] Read more.
This paper presents the theory, design, and application of a dual-branch series-diode analog pre-distortion (APD) linearizer to improve the linearity and efficiency of a K-band high-power amplifier (HPA). A first-of-its-kind, frequency-dependent large-signal APD model is presented. This model is used to evaluate different phase relationships between the linear and nonlinear branches, suggesting independent gain and phase expansion characteristics with this topology. This model is used to assess the impact of diode resistance, capacitance, and ideality factors on the APD characteristics. This feature is showcased with two similar GaAs diodes to find the best fit for the considered HPA. The selected diode is characterized and modeled between 1 and 26.5 GHz. A comprehensive APD design and simulation workflow is reported. Before fabrication, the simulated APD is evaluated with the measured HPA to verify linearity improvements. The APD prototype achieves a large-signal bandwidth of 6 GHz with 3 dB gain expansion and 8° phase rotation. This linearizer is demonstrated with a 17–21 GHz GaN HPA with 41 dBm output power and 35% efficiency. Using a wideband 750 MHz signal, this APD improves the noise–power ratio (NPR) by 6.5–8.2 dB over the whole HPA bandwidth. Next, the HPA output power is swept to compare APD vs. power backoff for the same NPR. APD improves the HPA output power by 1–2 W and efficiency by approximately 5–9% at 19 GHz. This efficiency improvement decreases by only 1–2% when including the APD post-amplifier consumption, thus suggesting overall efficiency and output power improvements with APD at K-band frequencies. Full article
Show Figures

Figure 1

16 pages, 57288 KB  
Article
Ultra-Generalized Continuous Class F Power Amplifier with Finite Third-Harmonic Load Impedance
by Feifei Li and Cuiping Yu
Electronics 2024, 13(12), 2284; https://doi.org/10.3390/electronics13122284 - 11 Jun 2024
Cited by 2 | Viewed by 2272
Abstract
This paper proposes the ultra−generalized continuous class F (UCCF) mode, which combines the influences of the drain current conduction angle and overdriven transistor on the drain current waveform to achieve a broader finite third-harmonic load impedance space. The UCCF mode uses α to [...] Read more.
This paper proposes the ultra−generalized continuous class F (UCCF) mode, which combines the influences of the drain current conduction angle and overdriven transistor on the drain current waveform to achieve a broader finite third-harmonic load impedance space. The UCCF mode uses α to describe the magnitude of the drain current conduction angle and pcr to describe the drain current peak-clipped ratio. An analysis of the effects of pcr and α on the linearity and efficiency of the UCCF model is presented, establishing a robust theoretical foundation for achieving a balance between these two characteristics. Additionally, an examination of how pcr and α influence the load impedance design space is conducted, demonstrating that the UCCF mode not only offers a broader finite third-harmonic load impedance space but also expands the fundamental and second-harmonic load impedance design space. For practical validation, a PA with frequency of 2.05–2.65 GHz is designed based on CGH40010F. The test results show that S11 is less than −15 dB, the drain efficiency is 67.0–73.2%, and the output power is 40.1–41.0 dBm. The linearity is tested using a 5G NR (New Radio) signal with a bandwidth of 100 MHz and a peak-to-average power ratio of 8 dB at 2.35 GHz. The worst adjacent channel power ratio (ACPR) is −34.8 dBc without digital predistortion (DPD), and −57.8 dBc with DPD. An average output power (Pave) of around 32.4 dBm and an average DE (DEave) of 34.39% were obtained. Full article
Show Figures

Figure 1

23 pages, 8188 KB  
Article
Power Amplifier Predistortion Using Reduced Sampling Rates in the Forward and Feedback Paths
by Serien Ahmed, Majid Ahmed, Souheil Bensmida and Oualid Hammi
Sensors 2024, 24(11), 3439; https://doi.org/10.3390/s24113439 - 27 May 2024
Cited by 3 | Viewed by 2717
Abstract
The feasibility of implementing digital predistortion for next-generation wireless communication is faced with a dilemma due to the ever-increasing demand for faster data rates. This causes the utilized bandwidth to increase significantly, as seen in the 5G NR standard in which bandwidths as [...] Read more.
The feasibility of implementing digital predistortion for next-generation wireless communication is faced with a dilemma due to the ever-increasing demand for faster data rates. This causes the utilized bandwidth to increase significantly, as seen in the 5G NR standard in which bandwidths as high as 400 MHz are utilized. Hence, the development of new predistortion techniques in which the forward and feedback paths operate at lower sampling rates is of utmost importance to realize efficient and practical predistortion solutions. In this work, a novel predistortion technique is presented by which the predistortion is divided between the digital and analog domains. The predistorter is composed of a memoryless AM/AM gain function that is implementable in the analog domain, and a nonlinear model with memory effects in the digital domain to relax the sampling rate requirements on both the forward and feedback paths. Experimental validation was carried out with a 20 MHz and a 40 MHz 5G signal, and the results indicate minimal linearization degradation with a sampling rate reduction of 50% and 30%, respectively. This sampling rate reduction is concurrently applied in the digital-to-analog converter of the forward path and the analog-to-digital converter of the feedback path. Full article
Show Figures

Figure 1

Back to TopTop