Improving S-Curve Bias Through Joint Compensation of HPA and Filter Distortions
Highlights
- This study reveals that the predistortion filter breaks the constant envelope characteristic of the signal, resulting in nonlinear distortion after passing through the HPA.
- To address the distortion introduced by both the filter and the power amplifier in the navigation signal transmission chain, this study proposes a joint compensation method, which effectively reduces the SCB.
- This study effectively enhances navigation signal quality and provides strong support for improving the stability and reliability of high-precision positioning services.
- The proposed compensation method serves as a reference for optimizing the design of navigation satellite payloads and provides a technical foundation for the evolution of future navigation systems toward high-fidelity signal generation.
Abstract
1. Introduction
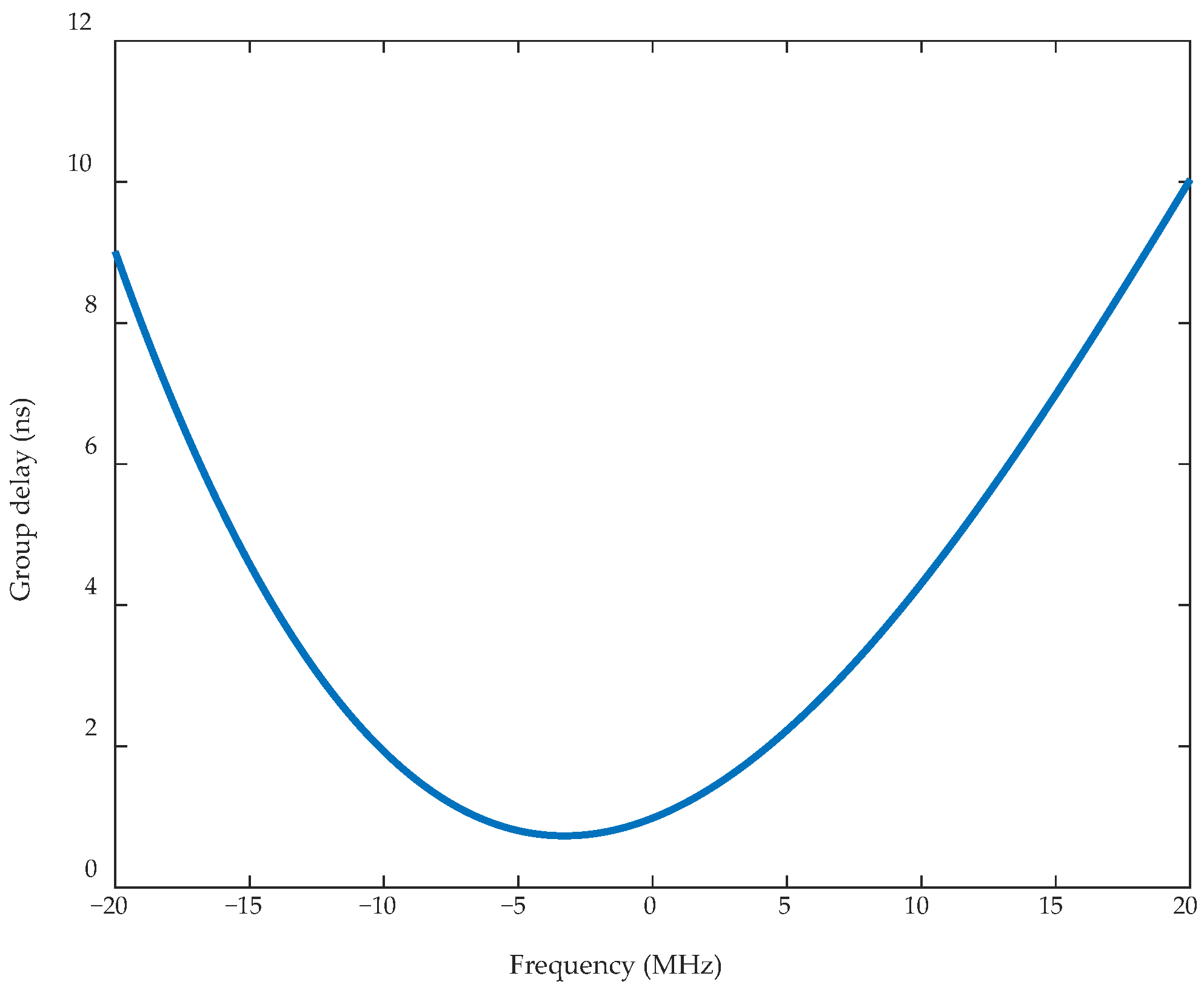
2. Modeling of Navigation Signal Transmission Channels and Analysis of SCB
3. Predistortion Design for Navigation Signal Transmission Channels
3.1. Design of an Iterative Piecewise Predistortion Filter
3.2. DPD for the HPA
3.2.1. Saleh Model and the QRD-RLS Algorithm
3.2.2. Principle of the LUT
3.3. Computational Complexity Analysis
4. Experimental Validation and Results Analysis
4.1. Performance Verification of Predistortion Filter
4.2. Performance Evaluation of the QRD-RLS Algorithm
4.3. Verification and Analysis of the Joint Compensation Method
4.4. Experimental Validation of the Joint Compensation Method
5. Discussion
5.1. Discussion of Results
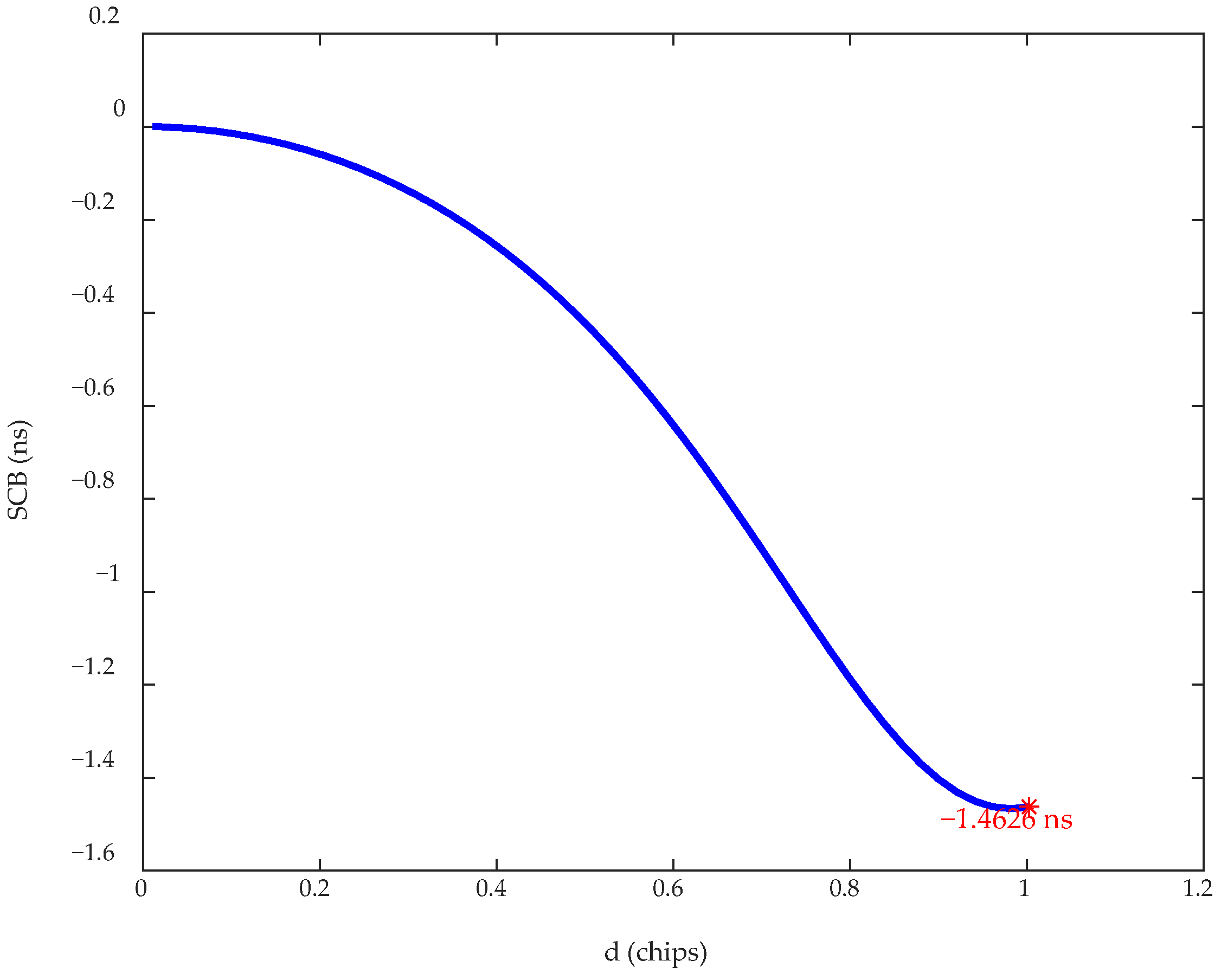
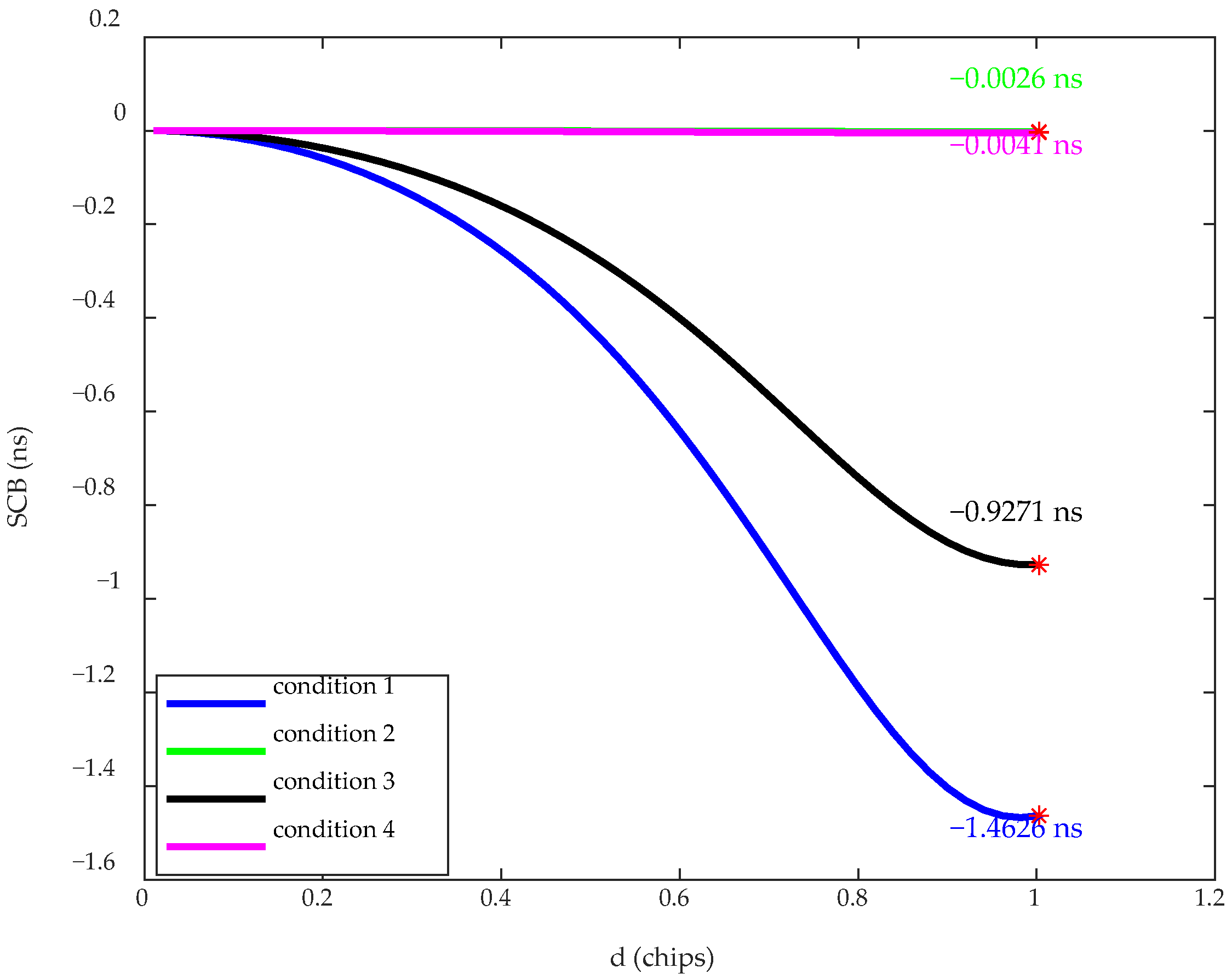
- The distortion caused by the post-filter leads to the asymmetry of the CCF, which affects the SCB result. However, after compensation by the predistortion filter, the SCB can be effectively compensated, reducing the pseudorange bias.
- The predistortion filter breaks the constant envelope characteristics of the signal, causing nonlinear distortion after the signal passing through the HPA, reducing the compensation performance of the predistortion filter.
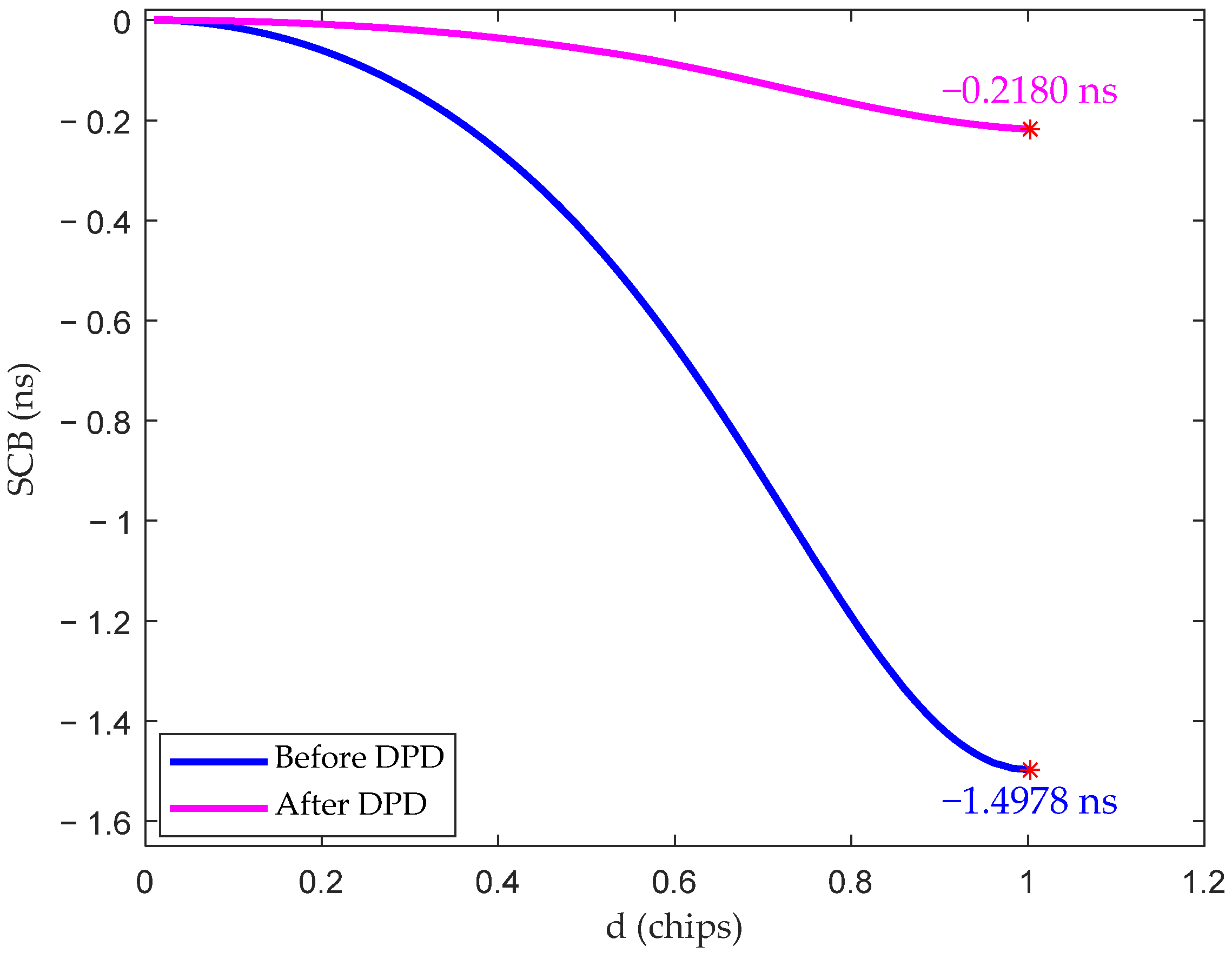
- After joint compensation of the filter and the HPA, the SCB is significantly reduced and effectively controlled.
5.2. Limitations and Future Work
Author Contributions
Funding
Institutional Review Board Statement
Informed Consent Statement
Data Availability Statement
Conflicts of Interest
Abbreviations
| GNSS | Global Navigation Satellite System |
| PNT | Positioning, Navigation, and Timing |
| SCB | S-curve Bias |
| HPA | High-power Amplifier |
| PA | Power Amplifier |
| DPD | Digital Predistortion |
| QRD-RLS | QR-Decomposition Recursive Least Squares |
| LUT | Lookup Table |
| EVM | Error Vector Magnitude |
| CCF | Cross-correlation Function |
| EMLP | Early-Mines-Late Power |
| AM-AM | Amplitude Modulation to Amplitude Modulation |
| AM-PM | Amplitude Modulation to Phase Modulation |
References
- Lu, S.; Pan, S.; Zheng, H. Beidou Navigation Satellite System Development, Application, and Prospects. Highlights Sci. Eng. Technol. 2025, 140, 1–4. [Google Scholar] [CrossRef]
- He, C.; Guo, J.; Lu, X.; Shi, J. GNSS Signal Quality Assessment Methods; Surveying and Mapping Publishing: Beijing, China, 2019. [Google Scholar]
- He, C. Research on Evaluation Methods of GNSS Signal Quality and the Influence of GNSS Signal on Ranging Performance. Ph.D. Thesis, University of Academy of Sciences, Beijing, China, 2013. [Google Scholar]
- Cheng, L.; Wang, W.; Liu, J.; Lv, Y.; Geng, T. GNSS Receiver-Related Pseudorange Biases: Characteristics and Effects on Wide-Lane Ambiguity Resolution. Remote Sens. 2021, 13, 428. [Google Scholar] [CrossRef]
- Wang, H.; Wan, L.; Dong, M.; Ota, K.; Wang, X. Assistant Vehicle Localization Based on Three Collaborative Base Stations via SBL-Based Robust DOA Estimation. IEEE Internet Things J. 2019, 6, 5766–5777. [Google Scholar] [CrossRef]
- Wang, X.; Wan, L.; Huang, M.; Shen, C.; Zhang, K. Polarization Channel Estimation for Circular and Non-Circular Signals in Massive MIMO Systems. IEEE J. Sel. Top. Signal Process. 2019, 13, 1001–1016. [Google Scholar] [CrossRef]
- Tan, X.; Li, Y.; Li, T. Simulation and Analysis of Influence of Group-Delay Distortion on Performance of QPSK Communication System. J. Syst. Simul. 2008, 20, 5976–5978. [Google Scholar] [CrossRef]
- Chen, L.; Zhao, W.; Xu, Q.; Zhang, X. The Effect Analysis of Filter group delay on QMBOC signal correlation peak. In Proceedings of the 11th China Satellite Navigation Annual Conference—S03 Navigation Signals and Signal Processing; China Satellite Navigation System Management Office: Chengdu, China, 2020; pp. 39–43. [Google Scholar]
- Liu, Y.; Chen, L.; Yang, Y.; Pan, H.; Ran, Y. Theoretical evaluation of group delay on pseudorange bias. GPS Solut. 2019, 23, 69. [Google Scholar] [CrossRef]
- Liu, Y.; Yang, Y.; Chen, L.; Pan, H.; Ran, Y. Analysis of phase bias between GNSS signal components caused by nonideal group delay. Navigation 2020, 67, 291–305. [Google Scholar] [CrossRef]
- Yang, Z.; Xu, Q.; Han, H.; Zhang, L. Research on Pre-distortion Technology for Navigation Transmitting Channel. In Proceedings of the 6th China Satellite Navigation Academic Annual Conference—S02 Satellite Navigation Signal Structure and Compatibility and Interoperability; China Satellite Navigation System Management Office Academic Exchange Center: Xi’an, China, 2015. [Google Scholar]
- Tian, Y.; Zhang, L.; Yan, T.; Yang, Z.; Zhang, Z. A Pre-distortion Filter Design Algorithm Based on Sparse Representation for BeiDou Navigation Satellite. In Proceedings of the 9th China Satellite Navigation Academic Annual Conference—S08 Testing and Evaluation Techniques; China Satellite Navigation System Management Office Academic Exchange Center: Harbin, China, 2018. [Google Scholar]
- Liu, H.; Yang, Z.; Xu, Q.; Chen, L.; Zhang, L. A piecewise pre-distortion optimization method based on spaceborne digital filter. Acta Geod. et Cartogr. Sin. 2020, 49, 1235–1242. [Google Scholar]
- Yang, Q.; He, C.; Wang, P.; Han, Z. Influence analysis of transmission channel phase distortion on the quality of non-constant envelope signal. Syst. Eng. Electron. 2023, 45, 1597–1605. [Google Scholar]
- Liu, X.; Chen, W.; Wu, H.; Feng, Z. Digital predistortion: Development trends and key techniques. Sci. Sin. Informationis 2022, 52, 569–595. (In Chinese) [Google Scholar] [CrossRef]
- Singla, R.; Sharma, S. Low complexity lookup table based adaptive digital predistorter with low memory requirements. J. Wirel. Commun. Netw. 2012, 2012, 43. [Google Scholar] [CrossRef][Green Version]
- Barkhordar-Pour, H. Real-Time FPGA-Based Testbed for Evaluating Digital Predistortion in Fully Digital MIMO Transmitters. Ph.D. Thesis, University of Waterloo, Waterloo, Canada, 2023. [Google Scholar]
- Feng, X.; Feuvrie, B.; Descamps, A.S.; Wang, Y. Improved baseband digital predistortion for line arising PAs with nonlinear memory effects using linearly interpolated LUT. Electron. Lett. 2013, 49, 1389–1391. [Google Scholar] [CrossRef]
- Hu, X.; Wang, G.; Wang, Z.-C.; Luo, J.-R. Wideband Adaptive Predistortion Algorithm Based on LUT and Memory-effect Compensation Techniques. J. Electron. Inf. Technol. 2012, 34, 733–738. [Google Scholar]
- Liu, R.; He, C.; Zhang, X.; Bai, Y. Research on digital pre-distortion compensation method of BDS B2 signal. Syst. Eng. Electron. 2024, 46, 3827–3834. [Google Scholar]
- Yang, Y. Design and Evaluation of Predistortion Algorithm for GNSS Signal. Master’s Thesis, Huazhong University of Science and Technology, Wuhan, China, 2014. [Google Scholar]
- Van Dierendonck, A.J.; Fenton, P.; Ford, T. Theory and Performance of Narrow Correlator Spacing in a GPS Receiver. J. Inst. Navig. 1992, 39, 265–283. [Google Scholar] [CrossRef]
- Guillard, A.; Thevenon, P.; Milner, C. Using Convolutional Neural Networks to Detect GNSS Multipath. Front. Robot. AI 2023, 10, 1106439. [Google Scholar] [CrossRef] [PubMed]
- Soellner, M.; Kurzhals, C.; Hechenblaikner, G.; Rapisarda, M.; Burger, T.; Erker, S.; Furthner, J.; Grunert, U.; Meurer, M.; Tholert, S. GNSS Offline Signal Quality Assessment. In Proceedings of the 21st International Technical Meeting of the Satellite Division of the Institute of Navigation (ION GNSS 2008), Savannah, GA, USA, 16–19 September 2008; pp. 909–920. [Google Scholar]
- Oppenheim, A.V. Signals and Systems, 2nd ed.; Liu, S., Translator; Electronics Industry Press: Beijing, China, 2013. [Google Scholar]
- Hu, X.; Li, X.; Li, F. Compensation method for group delay distortion of satellite channel based on predistortion. Foreign Electron. Meas. Technol. 2019, 38, 38–41. [Google Scholar] [CrossRef]
- Saleh, A.A.M. Frequency-independent and frequency-dependent nonlinear models of TWT amplifiers. IEEE Trans. Commun. 1981, 29, 1715–1720. [Google Scholar] [CrossRef]
- Ye, H.; Gao, Z.; Xiao, Z.; Chen, S. Memoryless Power Amplifier Behavioral Modeling and Simulation. Equip. Manuf. Technol. 2015, 3, 84–86. [Google Scholar] [CrossRef]
- Long, Z. Research on Predistortion and Equalization in Nonlinear Satellite Channels with Memory. Ph.D. Thesis, Beijing Institute of Technology, Beijing, China, 2017. [Google Scholar]










| Group Delay Error | Maximum Error | Mean Error |
|---|---|---|
| Before Optimization | 0.1158 | 0.04813 |
| After Optimization | 0.004565 | 0.001147 |
Disclaimer/Publisher’s Note: The statements, opinions and data contained in all publications are solely those of the individual author(s) and contributor(s) and not of MDPI and/or the editor(s). MDPI and/or the editor(s) disclaim responsibility for any injury to people or property resulting from any ideas, methods, instructions or products referred to in the content. |
© 2026 by the authors. Licensee MDPI, Basel, Switzerland. This article is an open access article distributed under the terms and conditions of the Creative Commons Attribution (CC BY) license.
Share and Cite
Chen, L.; Yang, Y.; Xiong, T.; Chen, L.; Liu, Y. Improving S-Curve Bias Through Joint Compensation of HPA and Filter Distortions. Sensors 2026, 26, 981. https://doi.org/10.3390/s26030981
Chen L, Yang Y, Xiong T, Chen L, Liu Y. Improving S-Curve Bias Through Joint Compensation of HPA and Filter Distortions. Sensors. 2026; 26(3):981. https://doi.org/10.3390/s26030981
Chicago/Turabian StyleChen, Longyu, Yi Yang, Tulin Xiong, Lin Chen, and Yuqi Liu. 2026. "Improving S-Curve Bias Through Joint Compensation of HPA and Filter Distortions" Sensors 26, no. 3: 981. https://doi.org/10.3390/s26030981
APA StyleChen, L., Yang, Y., Xiong, T., Chen, L., & Liu, Y. (2026). Improving S-Curve Bias Through Joint Compensation of HPA and Filter Distortions. Sensors, 26(3), 981. https://doi.org/10.3390/s26030981
