Sign in to use this feature.

Years

Between: -

Subjects

remove_circle_outline
remove_circle_outline
remove_circle_outline
remove_circle_outline

Journals

Article Types

Countries / Regions

Search Results (14)

Search Parameters:
Keywords = porcine collagen type 1

Order results
Result details
Results per page
Select all
Export citation of selected articles as:
14 pages, 8113 KB  
Article
Cellular and Matrix Organisation of the Human Aortic Valve Interleaflet Triangles
by Najma Latif, Padmini Sarathchandra, Albaraa Al-Holy, Sanida Vaz, Adrian H. Chester and Magdi H. Yacoub
Biology 2025, 14(7), 863; https://doi.org/10.3390/biology14070863 - 16 Jul 2025
Viewed by 1071
Abstract
(1) Background: The sophisticated function of the aortic root relies on the coordinated movement of its constituent components. This study examines the extracellular components of the interleaflet triangles (ILTs) and characterises the cells that are present within this region of the aortic root. [...] Read more.
(1) Background: The sophisticated function of the aortic root relies on the coordinated movement of its constituent components. This study examines the extracellular components of the interleaflet triangles (ILTs) and characterises the cells that are present within this region of the aortic root. (2) Methods: A total of 10 human aortic valves and 6 porcine aortic valves were processed for immunohistochemical staining, scanning, and transmission electron microscopy. (3) Results: The three ILTs differed in size and macroscopic appearance. Each triangle comprised up to five distinct layers of tissue: an innermost endothelial layer, an inner elastin-rich layer, a thicker outer layer comprising densely packed layers of collagen and glycosaminoglycans, and an outer layer of intermingled myocardial and adipose tissue. A band of cells near the luminal surfaces of all ILTs expressed smooth muscle cell α-actin with variable expression of smooth muscle myosin heavy chain. In all the ILTs, there was evidence of neurofilament staining, indicating the presence of nerve fibres. (4) Conclusions: Each ILT is unique in its structure and organisation, with differing amounts of elastin and collagen, as well as myocardial, adipose, and fibrous content. The ILTs contain multiple cell types in varying abundance. Functional studies are required to determine the role of the different cells and their organisation in contributing to the sophisticated, dynamic behaviour of the aortic root. Full article
(This article belongs to the Section Cell Biology)
Show Figures

Figure 1

16 pages, 4784 KB  
Article
In Vitro and In Vivo Testing of Decellularized Lung and Pancreas Matrices as Potential Islet Platforms
by Alexandra Bogomolova, Polina Ermakova, Arseniy Potapov, Artem Mozherov, Julia Tselousova, Ekaterina Vasilchikova, Alexandra Kashina and Elena Zagaynova
Int. J. Mol. Sci. 2025, 26(14), 6692; https://doi.org/10.3390/ijms26146692 - 12 Jul 2025
Viewed by 1472
Abstract
The treatment of type 1 diabetes through pancreatic islet transplantation faces significant limitations, including donor organ shortages and poor islet survival due to post-transplantation loss of extracellular matrix support and inadequate vascularization. Developing biocompatible scaffolds that mimic the native islet microenvironment could substantially [...] Read more.
The treatment of type 1 diabetes through pancreatic islet transplantation faces significant limitations, including donor organ shortages and poor islet survival due to post-transplantation loss of extracellular matrix support and inadequate vascularization. Developing biocompatible scaffolds that mimic the native islet microenvironment could substantially improve transplantation outcomes. This study aimed to create and evaluate decellularized (DCL) matrices from porcine organs as potential platforms for islet transplantation. Porcine lung and pancreatic tissues were decellularized using four different protocols combining detergents (Triton X-100, SDS and SDC) with optimized incubation times. The resulting matrices were characterized through DNA quantification and histological staining (H&E and Van Gieson). Islet viability was assessed in vitro using Live/Dead staining after 3 and 7 days of culture on the matrices. In vivo biocompatibility was evaluated by implanting matrices into rat omentum or peritoneum, with histological analysis at 1-, 4-, and 8 weeks post-transplantation. Protocols 3 (for lung tissue) and 4 (for pancreas tissue) demonstrated optimal decellularization efficiency with residual DNA levels below 8%, while preserving the collagen and elastin networks. In vitro, islets cultured on decellularized lung matrix had maintained 95% viability by day 7, significantly higher than the controls (60%) and pancreatic matrix (83%). The omentum showed superior performance as an implantation site, exhibiting minimal inflammation and fibrosis compared to the peritoneum sites throughout the 8-week study period. These findings establish DCL as a promising scaffold for islet transplantation due to its superior preservation of ECM components and excellent support of islet viability. This work provides a significant step toward developing effective tissue-engineered therapies for diabetes treatment. Full article
Show Figures

Figure 1

11 pages, 2829 KB  
Article
Biomimetic Full-Thickness Artificial Skin Using Stromal Vascular Fraction Cells and Autologous Keratinocytes in a Single Scaffold for Wound Healing
by Jung Huh, Seong-Ho Jeong, Eun-Sang Dhong, Seung-Kyu Han and Kyung-Chul Moon
Bioengineering 2025, 12(7), 736; https://doi.org/10.3390/bioengineering12070736 - 5 Jul 2025
Viewed by 1358
Abstract
We developed biomimetic full-thickness artificial skin using stromal vascular fraction (SVF) cells and autologous keratinocytes for the dermal and epidermal layers of skin, respectively. Full-thickness artificial skin scaffolds were fabricated using 4% porcine collagen and/or elastin in a low-temperature three-dimensional printer. Two types [...] Read more.
We developed biomimetic full-thickness artificial skin using stromal vascular fraction (SVF) cells and autologous keratinocytes for the dermal and epidermal layers of skin, respectively. Full-thickness artificial skin scaffolds were fabricated using 4% porcine collagen and/or elastin in a low-temperature three-dimensional printer. Two types of scaffolds with collagen-to-elastin ratios of 100:0 and 100:4 were printed and compared. The scaffolds were analyzed for collagenase degradation, tensile strength, and structural features using scanning electron microscopy. By 24 h, the collagen-only scaffolds showed gradual degradation, and the collagen-elastin scaffolds retained the highest structural integrity but were not degraded. In the tensile strength tests, the collagen-only scaffolds exhibited a tensile strength of 2.2 N, while the collagen-elastin scaffolds showed a tensile strength of 4.2 N. Cell viability tests for keratinocytes displayed an initial viability of 89.32 ± 3.01% on day 1, which gradually increased to 97.22 ± 4.99% by day 7. Similarly, SVF cells exhibited a viability of 93.68 ± 1.82% on day 1, which slightly improved to 97.12 ± 1.64% on day 7. This study presents a novel strategy for full-thickness artificial skin development, combining SVF and keratinocytes with an optimized single collagen scaffold and a gradient pore-density structure. Full article
(This article belongs to the Special Issue Advances and Innovations in Wound Repair and Regeneration)
Show Figures

Figure 1

17 pages, 2822 KB  
Article
Rat Islet pECM Hydrogel-Based Microencapsulation: A Protective Niche for Xenotransplantation
by Michal Skitel Moshe, Stasia Krishtul, Anastasia Brandis, Rotem Hayam, Shani Hamias, Mazal Faraj, Tzila Davidov, Inna Kovrigina, Limor Baruch and Marcelle Machluf
Gels 2025, 11(7), 517; https://doi.org/10.3390/gels11070517 - 2 Jul 2025
Viewed by 1371
Abstract
Type 1 diabetes (T1D) is caused by autoimmune-mediated destruction of pancreatic β-cells, resulting in insulin deficiency. While islet transplantation presents a potential therapeutic approach, its clinical application is impeded by limited donor availability and the risk of immune rejection. This study proposes an [...] Read more.
Type 1 diabetes (T1D) is caused by autoimmune-mediated destruction of pancreatic β-cells, resulting in insulin deficiency. While islet transplantation presents a potential therapeutic approach, its clinical application is impeded by limited donor availability and the risk of immune rejection. This study proposes an innovative islet encapsulation strategy that utilizes decellularized porcine pancreatic extracellular matrix (pECM) as the sole biomaterial to engineer bioactive, immunoprotective microcapsules. Rat islets were encapsulated within pECM-based microcapsules using the electrospray technology and were compared to conventional alginate-based microcapsules in terms of viability, function, and response to hypoxic stress. The pECM microcapsules maintained a spherical morphology, demonstrating mechanical robustness, and preserving essential ECM components (collagen I/IV, laminin, fibronectin). Encapsulated islets exhibited sustained viability and superior insulin secretion over a two-week period compared to alginate controls. The expression of key β-cell transcription factors (PDX1, MAFA) and structural integrity were preserved. Under hypoxic conditions, pECM microcapsules significantly reduced islet apoptosis, improved structural retention, and promoted functional recovery, likely due to antioxidant and ECM-derived cues inherent to the pECM. In vivo transplantation in immunocompetent mice confirmed the biocompatibility of pECM microcapsules, with minimal immune responses, stable insulin/glucagon expression, and no adverse systemic effects. These findings position pECM-based microencapsulation as a promising strategy for creating immunoprotective, bioactive niches for xenogeneic islet transplantation, with the potential to overcome current limitations in cell-based diabetes therapy. Full article
(This article belongs to the Special Issue Gels for Biomedical Applications)
Show Figures

Graphical abstract

12 pages, 1769 KB  
Article
Combined Oxygen–Ozone and Porcine Injectable Collagen Therapies Boosting Efficacy in Low Back Pain and Disability
by Manuela De Pascalis, Susanna Mulas and Liliana Sgarbi
Diagnostics 2024, 14(21), 2411; https://doi.org/10.3390/diagnostics14212411 - 29 Oct 2024
Cited by 2 | Viewed by 2152
Abstract
Background/Objectives: Intervertebral disc degeneration is the most common cause of low back pain (LBP), and lumbosciatica is a major challenge to healthcare systems worldwide. For years, ozone therapy has been used with excellent results in intervertebral disc disease and in patients with LBP. [...] Read more.
Background/Objectives: Intervertebral disc degeneration is the most common cause of low back pain (LBP), and lumbosciatica is a major challenge to healthcare systems worldwide. For years, ozone therapy has been used with excellent results in intervertebral disc disease and in patients with LBP. In vitro studies have demonstrated the positive action of porcine collagen in extracellular matrix remodeling and homeostasis. These tissue changes, associated with LBP, may suggest an indication for combined ozone/collagen treatment in patients with LBP. However, no studies have been reported regarding this combination of treatments. Methods: The present work compared retrospective data of two treatment groups (each of 10 LBP patients): (A) oxygen–ozone therapy (OOT) vs. (B) OOT plus porcine collagen type 1 injections (COL I). Pain intensity and physiological function were assessed by the numerical rating scale (NSR) method. The Roland–Morris questionnaire was used to assess disability. Patient data were acquired before, during, and at the six-month follow-up. Significant differences were assessed by ANOVA and Student’s t-test. Results: The analyses revealed significant statistical differences comparing the two arms, where the (OOT+COL I) treatment demonstrated a booster efficacy in pain (a reduction of 62% vs. 35%), while the questionnaire revealed a reduction in disability (70% vs. 31%). Conclusions: Therefore, this combination therapy (oxygen–ozone plus porcine injectable collagen) might be a promising approach for the management of patients with LBP. Full article
(This article belongs to the Special Issue Low Back Pain: Diagnosis and Management)
Show Figures

Figure 1

13 pages, 5243 KB  
Article
Improved Composite Hydrogel for Bioengineered Tracheal Graft Demonstrates Effective Early Angiogenesis
by Russell Seth Martins, Joanna Weber, Lauren Drake, M. Jawad Latif, Kostantinos Poulikidis, Syed Shahzad Razi, Jeffrey Luo and Faiz Y. Bhora
J. Clin. Med. 2024, 13(17), 5148; https://doi.org/10.3390/jcm13175148 - 30 Aug 2024
Cited by 1 | Viewed by 1817
Abstract
Background/Objectives: Collagen–agarose hydrogel blends currently used in tracheal graft bioengineering contain relatively high concentrations of collagen to withstand mechanical stresses associated with native trachea function (e.g., breathing). Unfortunately, the high collagen content restricts effective cell infiltration into the hydrogel. In this study, [...] Read more.
Background/Objectives: Collagen–agarose hydrogel blends currently used in tracheal graft bioengineering contain relatively high concentrations of collagen to withstand mechanical stresses associated with native trachea function (e.g., breathing). Unfortunately, the high collagen content restricts effective cell infiltration into the hydrogel. In this study, we created an improved hydrogel blend with lower concentrations of collagen (<5 mg/mL) and characterized its capacity for fibroblast invasion and angiogenesis. Methods: Four collagen–agarose hydrogel blends were created: 1 mg/mL type 1 collagen (T1C) and 0.25% agarose, 1 mg/mL T1C and 0.125% agarose, 2 mg/mL T1C and 0.25% agarose, and 2 mg/mL T1C and 0.125% agarose. The hydrogel surface was seeded with fibroblasts, while both endothelial cells and fibroblasts (3:1 ratio) were mixed within the hydrogel matrix. We assessed early angiogenesis by observing fibroblast migration and endothelial cell morphology (elongation and branching) at 7 days. In addition, we performed immunostaining for alpha-smooth muscle actin (aSMA) and explored the gene expression of various angiogenic markers (including vascular endothelial growth factor; VEGF). Results: Gels with lower agarose concentrations (0.125%) with 1 or 2 mg/mL T1C were more effective in allowing early attachment and migration of surface-applied fibroblasts compared to gels with higher (0.25%) agarose concentrations. The low-agarose gels also allowed cells to quickly adopt a spread morphology and self-assemble into elongated structures indicative of early angiogenesis, while demonstrating positive immunostaining for aSMA and increased gene expression of VEGF by day 7. Conclusions: Hydrogel blends with collagen and low agarose concentrations may be effective in allowing early cellular infiltration and angiogenesis, making such gels a suitable cell substrate for use in the development of composite bioengineered tracheal grafts. The collagen–agarose hydrogel blend is meant to be cast around a three-dimensional (3D) printed polycaprolactone support structure and wrapped in porcine small intestine submucosa ECM to create an off-the-shelf bioengineered tracheal implant. Full article
(This article belongs to the Special Issue Thoracic Surgery: Current Challenges and Future Perspectives)
Show Figures

Figure 1

13 pages, 21489 KB  
Article
Photodynamic Therapy with Aminolevulinic Acid Enhances the Cellular Activity of Cells Cultured on Porcine Acellular Dermal Matrix Membranes Used in Periodontology
by Morena Petrini, Emira D’Amico, Tania Vanessa Pierfelice, Gitana Maria Aceto, Maryia Karaban, Pietro Felice, Adriano Piattelli, Antonio Barone and Giovanna Iezzi
Gels 2023, 9(7), 584; https://doi.org/10.3390/gels9070584 - 20 Jul 2023
Cited by 5 | Viewed by 2424
Abstract
This study aims to test a photodynamic protocol based on a gel containing aminolevulinic acid followed by red-LED (ALAD-PDT) irradiation on human gingival fibroblasts (hGFs) and osteoblasts (hOBs) cultured on a porcine acellular dermal matrix membrane (PADMM). In the previous literature, ALAD-PDT showed [...] Read more.
This study aims to test a photodynamic protocol based on a gel containing aminolevulinic acid followed by red-LED (ALAD-PDT) irradiation on human gingival fibroblasts (hGFs) and osteoblasts (hOBs) cultured on a porcine acellular dermal matrix membrane (PADMM). In the previous literature, ALAD-PDT showed solid antibacterial activity and proliferative induction on HGFs cultured on plates and HOBs cultured on a cortical lamina. PADMMs are used in dentistry and periodontology to treat gingival recessions and to increase the tissue thickness in the case of a thin biotype without the risks or postoperative discomfort associated with connective tissue grafts. However, one of the possible complications in this type of surgery is represented by bacterial invasion and membrane exposition during the healing period. We hypothesized that the addition of ALAD-PDT to PADMMs could enhance more rapid healing and decrease the risks connected with bacterial invasion. In periodontal surgery, PADMMs are inserted after a full-thickness flap elevation between the bone and the flap. Consequently, all procedures were performed in parallel on hOBs and hGFs obtained by dental patients. The group control (CTRL) was represented by the unexposed cells cultured on the membranes, group LED (PDT) were the cells subjected to 7 min of red LED irradiation, and ALAD-PDT were the cells subjected to 45 min of ALAD incubation and then to 7 min of red LED irradiation. After treatments, all groups were analyzed for MTT assay and subjected to histological examination at 3 and 7 days and to the SEM observations at 3, 7, and 14 days. Different bone mineralization assays were performed to quantify the effects of ALAD-PDT on hOBs: ALP activity, ALP gene expression, osteocalcin, and alizarin red. The effects of ALAD-PDT on hGFs were evaluated by quantifying collagen 1, fibronectin, and MMP-8. Results showed that ALAD-PDT promoted cellular induction, forming a dense cellular network on hOBs and hGFs, and the assays performed showed statistically significantly higher values for ALAD-PDT with respect to LED alone and CTRLs. In conclusion, ALAD-PDT could represent a promising aid for enhancing the healing of gingival tissues after PADMM applications. Full article
(This article belongs to the Special Issue Hydrogel for Sustained Delivery of Therapeutic Agents)
Show Figures

Figure 1

21 pages, 4040 KB  
Article
Integrated Analysis of Transcriptome Expression Profiles Reveals miRNA-326–NKX3.2-Regulated Porcine Chondrocyte Differentiation
by Qiao Xu, Yabiao Luo, Zhe Chao, Jibin Zhang, Ximing Liu, Qiguo Tang, Kejun Wang, Shuyi Tan and Meiying Fang
Int. J. Mol. Sci. 2023, 24(8), 7257; https://doi.org/10.3390/ijms24087257 - 14 Apr 2023
Cited by 3 | Viewed by 2992
Abstract
The porcine body length trait is an essential factor affecting meat production and reproductive performance. It is evident that the development/lengthening of individual vertebrae is one of the main reasons for increases in body length; however, the underlying molecular mechanism remains unclear. In [...] Read more.
The porcine body length trait is an essential factor affecting meat production and reproductive performance. It is evident that the development/lengthening of individual vertebrae is one of the main reasons for increases in body length; however, the underlying molecular mechanism remains unclear. In this study, RNA-seq analysis was used to profile the transcriptome (lncRNA, mRNA, and miRNA) of the thoracic intervertebral cartilage (TIC) at two time points (1 and 4 months) during vertebral column development in Yorkshire (Y) and Wuzhishan pigs (W). There were four groups: 1- (Y1) and 4-month-old (Y4) Yorkshire pigs and 1- (W1) and 4-month-old (W4) Wuzhishan pigs. In total, 161, 275, 86, and 126 differentially expressed (DE) lncRNAs, 1478, 2643, 404, and 750 DE genes (DEGs), and 74,51, 34, and 23 DE miRNAs (DE miRNAs) were identified in the Y4 vs. Y1, W4 vs. W1, Y4 vs. W4, and Y1 vs. W1 comparisons, respectively. Functional analysis of these DE transcripts (DETs) demonstrated that they had participated in various biological processes, such as cellular component organization or biogenesis, the developmental process, the metabolic process, bone development, and cartilage development. The crucial bone development-related candidate genes NK3 Homeobox 2 (NKX3.2), Wnt ligand secretion mediator (WLS), gremlin 1 (GREM1), fibroblast growth factor receptor 3 (FGFR3), hematopoietically expressed homeobox (HHEX), (collagen type XI alpha 1 chain (COL11A1), and Wnt Family Member 16 (WNT16)) were further identified by functional analysis. Moreover, lncRNA, miRNA, and gene interaction networks were constructed; a total of 55 lncRNAs, 6 miRNAs, and 7 genes formed lncRNA–gene, miRNA–gene, and lncRNA–miRNA–gene pairs, respectively. The aim was to demonstrate that coding and non-coding genes may co-regulate porcine spine development through interaction networks. NKX3.2 was identified as being specifically expressed in cartilage tissues, and it delayed chondrocyte differentiation. miRNA-326 regulated chondrocyte differentiation by targeting NKX3.2. The present study provides the first non-coding RNA and gene expression profiles in the porcine TIC, constructs the lncRNA–miRNA–gene interaction networks, and confirms the function of NKX3.2 in vertebral column development. These findings contribute to the understanding of the potential molecular mechanisms regulating pig vertebral column development. They expand our knowledge about the differences in body length between different pig species and provide a foundation for future studies. Full article
(This article belongs to the Section Molecular Genetics and Genomics)
Show Figures

Figure 1

14 pages, 15984 KB  
Article
Functional Properties of Collagen Extracted from Catfish (Silurus triostegus) Waste
by Ayat A. Abbas, Khalida A. Shakir and Marie K. Walsh
Foods 2022, 11(5), 633; https://doi.org/10.3390/foods11050633 - 22 Feb 2022
Cited by 28 | Viewed by 5665
Abstract
Collagen is used for a variety of biomedical and pharmaceutical uses, such as osteoarthritis-related pain management, hypertension, tissue engineering, and human implants, and is generally derived from porcine or bovine. Collagen from these animals has limitations due to the risk of disease transmission [...] Read more.
Collagen is used for a variety of biomedical and pharmaceutical uses, such as osteoarthritis-related pain management, hypertension, tissue engineering, and human implants, and is generally derived from porcine or bovine. Collagen from these animals has limitations due to the risk of disease transmission and religious constraints. Therefore, this study investigated the extraction of collagen from catfish (Silurus triostegus) waste. Acid-solubilized collagen and pepsin-solubilized collagen were extracted from catfish skin, fin, head, bone, and muscle. SDS-PAGE patterns of the extracted collagen showed that the protein molecular weights ranged from 97 to 200 kDa and skin, bone, and fin collagen consisted of 2 distinct α chains, which is typical of type 1 collagen. The proximate composition (moisture, protein, fat, and ash) and yield of the obtained extracts were determined. Skin collagen extracts were selected for further investigation due to the high collagen yield. The effects of the pH and salt concentration on solubility, and the denaturation temperature, FTIR spectra, reverse-phase HPLC, and SEM analysis were investigated to characterize the collagen samples. Based on the characterization of catfish skin collagen, this waste material has potential for use in the pharmaceutical and food industries. Full article
(This article belongs to the Topic Bioactives and Ingredients from Agri-Food Wastes)
Show Figures

Figure 1

15 pages, 3143 KB  
Article
Platelet-Rich Fibrin Facilitates One-Stage Cartilage Repair by Promoting Chondrocytes Viability, Migration, and Matrix Synthesis
by Chin-Chean Wong, Keng-Liang Ou, Yun-Ho Lin, Ming-Fang Lin, Tsung-Lin Yang, Chih-Hwa Chen and Wing P. Chan
Int. J. Mol. Sci. 2020, 21(2), 577; https://doi.org/10.3390/ijms21020577 - 16 Jan 2020
Cited by 22 | Viewed by 3938
Abstract
The main aim of this study is to develop a one-stage method to combine platelet-rich fibrin (PRF) and autologous cartilage autografts for porcine articular cartilage repair. The porcine chondrocytes were treated with different concentrations of PRF-conditioned media and were evaluated for their cell [...] Read more.
The main aim of this study is to develop a one-stage method to combine platelet-rich fibrin (PRF) and autologous cartilage autografts for porcine articular cartilage repair. The porcine chondrocytes were treated with different concentrations of PRF-conditioned media and were evaluated for their cell viability and extracellular glycosaminoglycan (GAG) synthesis during six day cultivation. The chemotactic effects of PRF on chondrocytes on undigested cartilage autografts were revealed in explant cultures. For the in vivo part, porcine chondral defects were created at the medial femoral condyles of which were (1) left untreated, (2) implanted with PRF combined with hand-diced cartilage grafts, or (3) implanted with PRF combined with device-diced cartilage grafts. After six months, gross grades, histological, and immunohistochemical analyses were compared. The results showed that PRF promotes the viability and GAG expression of the cultured chondrocytes. Additionally, the PRF-conditioned media induce significant cellular migration and outgrowth of chondrocytes from undigested cartilage grafts. In the in vivo study, gross grading and histological scores showed significantly better outcomes in the treatment groups as compared with controls. Moreover, both treatment groups showed significantly more type II collagen staining and minimal type I collagen staining as compared with controls, indicating more hyaline-like cartilage and less fibrous tissue. In conclusion, PRF enhances the viability, differentiation, and migration of chondrocytes, thus, showing an appealing capacity for cartilage repair. The data altogether provide evidences to confirm the feasibility of a one-stage, culture-free method of combining PRF and cartilage autografts for repairing articular cartilage defects. From translational standpoints, these advantages benefit clinical applications by simplifying and potentiating the efficacy of cartilage autograft transplants. Full article
(This article belongs to the Section Molecular Pathology, Diagnostics, and Therapeutics)
Show Figures

Figure 1

17 pages, 3636 KB  
Article
Purification, Characterization, and Application for Preparation of Antioxidant Peptides of Extracellular Protease from Pseudoalteromonas sp. H2
by Dan Liu, Jiafeng Huang, Cuiling Wu, Congling Liu, Ran Huang, Weng Wang, Tingting Yin, Xiaotao Yan, Hailun He and Leilei Chen
Molecules 2019, 24(18), 3373; https://doi.org/10.3390/molecules24183373 - 16 Sep 2019
Cited by 13 | Viewed by 3334
Abstract
The study reported on the isolation of a metalloprotease named EH2 from Pseudoalteromonas sp. H2. EH2 maintained more than 80% activity over a wide pH range of 5–10, and the stability was also nearly independent of pH. Over 65% activity was detected at [...] Read more.
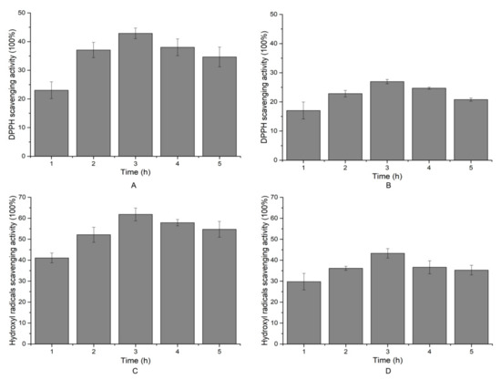
The study reported on the isolation of a metalloprotease named EH2 from Pseudoalteromonas sp. H2. EH2 maintained more than 80% activity over a wide pH range of 5–10, and the stability was also nearly independent of pH. Over 65% activity was detected at a wide temperature range of 20–70 °C. The high stability of the protease in the presence of different surfactants and oxidizing agents was also observed. Moreover, we also investigated the antioxidant activities of the hydrolysates generated from porcine and salmon skin collagen by EH2. The results showed that salmon skin collagen hydrolysates demonstrated higher DPPH (1,1-diphenyl-2-picrylhydrazyl) (42.88% ± 1.85) and hydroxyl radical (61.83% ± 3.05) scavenging activity than porcine skin collagen. For oxygen radical absorbance capacity, the hydrolysates from porcine skin collagen had higher efficiency (7.72 ± 0.13 μmol·TE/μmol). Even 1 nM mixed peptides could effectively reduce the levels of intracellular reactive oxygen species. The two types of substrates exerted the best antioxidant activity when hydrolyzed for 3 h. The hydrolysis time and type of substrate exerted important effects on the antioxidant properties of hydrolysates. The hydrolyzed peptides from meat collagens by proteases have good antioxidant activity, which may have implications for the potential application of marine proteases in the biocatalysis industry. Full article
(This article belongs to the Section Chemical Biology)
Show Figures

Figure 1

16 pages, 2293 KB  
Article
Dose-Dependent Effect of Mesenchymal Stromal Cell Recruiting Chemokine CCL25 on Porcine Tissue-Engineered Healthy and Osteoarthritic Cartilage
by Luise Lüderitz, Tilo Dehne, Michael Sittinger and Jochen Ringe
Int. J. Mol. Sci. 2019, 20(1), 52; https://doi.org/10.3390/ijms20010052 - 23 Dec 2018
Cited by 10 | Viewed by 3852
Abstract
Thymus-expressed chemokine (CCL25) is a potent cell attractant for mesenchymal stromal cells, and therefore it is a candidate for in situ cartilage repair approaches focusing on the recruitment of endogenous repair cells. However, the influence of CCL25 on cartilage is unknown. Accordingly, in [...] Read more.
Thymus-expressed chemokine (CCL25) is a potent cell attractant for mesenchymal stromal cells, and therefore it is a candidate for in situ cartilage repair approaches focusing on the recruitment of endogenous repair cells. However, the influence of CCL25 on cartilage is unknown. Accordingly, in this study, we investigated the effect of CCL25 on tissue-engineered healthy and osteoarthritic cartilage. Porcine chondrocytes were cultured in a three-dimensional (3D) micromass model that has been proven to mimic key-aspects of human cartilage and osteoarthritic alterations upon stimulation with tumor necrosis factor-α (TNF-α). Micromass cultures were stimulated with CCL25 (0, 0.05, 0.5, 5, 50, 500 nmol/L) alone or in combination with 0.6 nmol/L TNF-α for seven days. Effects were evaluated by life/dead staining, safranin O staining, histomorphometrical analysis of glycosaminoglycans (GAGs), collagen type II (COL2A1) real-time RT-PCR and Porcine Genome Array analysis. 500 nmol/L CCL25 led to a significant reduction of GAGs and COL2A1 expression and induced the expression of matrix metallopeptidases (MMP) 1, MMP3, early growth response protein 1 (EGR1), and superoxide dismutase 2 (SOD2). In concentrations lower than 500 nmol/L, CCL25 seems to be a candidate for in situ cartilage repair therapy approaches. Full article
(This article belongs to the Special Issue Head Tissues Regeneration)
Show Figures

Figure 1

17 pages, 2714 KB  
Article
Species Identification of Bovine, Ovine and Porcine Type 1 Collagen; Comparing Peptide Mass Fingerprinting and LC-Based Proteomics Methods
by Mike Buckley
Int. J. Mol. Sci. 2016, 17(4), 445; https://doi.org/10.3390/ijms17040445 - 24 Mar 2016
Cited by 67 | Viewed by 11194
Abstract
Collagen is one of the most ubiquitous proteins in the animal kingdom and the dominant protein in extracellular tissues such as bone, skin and other connective tissues in which it acts primarily as a supporting scaffold. It has been widely investigated scientifically, not [...] Read more.
Collagen is one of the most ubiquitous proteins in the animal kingdom and the dominant protein in extracellular tissues such as bone, skin and other connective tissues in which it acts primarily as a supporting scaffold. It has been widely investigated scientifically, not only as a biomedical material for regenerative medicine, but also for its role as a food source for both humans and livestock. Due to the long-term stability of collagen, as well as its abundance in bone, it has been proposed as a source of biomarkers for species identification not only for heat- and pressure-rendered animal feed but also in ancient archaeological and palaeontological specimens, typically carried out by peptide mass fingerprinting (PMF) as well as in-depth liquid chromatography (LC)-based tandem mass spectrometric methods. Through the analysis of the three most common domesticates species, cow, sheep, and pig, this research investigates the advantages of each approach over the other, investigating sites of sequence variation with known functional properties of the collagen molecule. Results indicate that the previously identified species biomarkers through PMF analysis are not among the most variable type 1 collagen peptides present in these tissues, the latter of which can be detected by LC-based methods. However, it is clear that the highly repetitive sequence motif of collagen throughout the molecule, combined with the variability of the sites and relative abundance levels of hydroxylation, can result in high scoring false positive peptide matches using these LC-based methods. Additionally, the greater alpha 2(I) chain sequence variation, in comparison to the alpha 1(I) chain, did not appear to be specific to any particular functional properties, implying that intra-chain functional constraints on sequence variation are not as great as inter-chain constraints. However, although some of the most variable peptides were only observed in LC-based methods, until the range of publicly available collagen sequences improves, the simplicity of the PMF approach and suitable range of peptide sequence variation observed makes it the ideal method for initial taxonomic identification prior to further analysis by LC-based methods only when required. Full article
(This article belongs to the Special Issue Advances in Proteomic Research)
Show Figures

Figure 1

16 pages, 574 KB  
Article
Epoxy Cross-Linked Collagen and Collagen-Laminin Peptide Hydrogels as Corneal Substitutes
by Li Buay Koh, Mohammad Mirazul Islam, Debbie Mitra, Christopher W. Noel, Kimberley Merrett, Silvia Odorcic, Per Fagerholm, William. Bruce Jackson, Bo Liedberg, Jaywant Phopase and May Griffith
J. Funct. Biomater. 2013, 4(3), 162-177; https://doi.org/10.3390/jfb4030162 - 28 Aug 2013
Cited by 52 | Viewed by 14459 | Correction
Abstract
A bi-functional epoxy-based cross-linker, 1,4-Butanediol diglycidyl ether (BDDGE), was investigated in the fabrication of collagen based corneal substitutes. Two synthetic strategies were explored in the preparation of the cross-linked collagen scaffolds. The lysine residues of Type 1 porcine collagen were directly cross-linked using [...] Read more.
A bi-functional epoxy-based cross-linker, 1,4-Butanediol diglycidyl ether (BDDGE), was investigated in the fabrication of collagen based corneal substitutes. Two synthetic strategies were explored in the preparation of the cross-linked collagen scaffolds. The lysine residues of Type 1 porcine collagen were directly cross-linked using l,4-Butanediol diglycidyl ether (BDDGE) under basic conditions at pH 11. Alternatively, under conventional methodology, using both BDDGE and 1-Ethyl-3-(3-dimethyl aminopropyl) carbodiimide (EDC)/N-hydroxysuccinimide (NHS) as cross-linkers, hydrogels were fabricated under acidic conditions. In this latter strategy, Cu(BF4)2·XH2O was used to catalyze the formation of secondary amine bonds. To date, we have demonstrated that both methods of chemical cross-linking improved the elasticity and tensile strength of the collagen implants. Differential scanning calorimetry and biocompatibility studies indicate comparable, and in some cases, enhanced properties compared to that of the EDC/NHS controls. In vitro studies showed that human corneal epithelial cells and neuronal progenitor cell lines proliferated on these hydrogels. In addition, improvement of cell proliferation on the surfaces of the materials was observed when neurite promoting laminin epitope, IKVAV, and adhesion peptide, YIGSR, were incorporated. However, the elasticity decreased with peptide incorporation and will require further optimization. Nevertheless, we have shown that epoxy cross-linkers should be further explored in the fabrication of collagen-based hydrogels, as alternatives to or in conjunction with carbodiimide cross-linkers. Full article
(This article belongs to the Special Issue Advances in Ophthalmic Biomaterials)
Show Figures

Figure 1

Back to TopTop