Sign in to use this feature.

Years

Between: -

Subjects

remove_circle_outline
remove_circle_outline
remove_circle_outline
remove_circle_outline
remove_circle_outline
remove_circle_outline
remove_circle_outline
remove_circle_outline

Journals

Article Types

Countries / Regions

Search Results (35)

Search Parameters:
Keywords = polyoxometalate complex

Order results
Result details
Results per page
Select all
Export citation of selected articles as:
17 pages, 11377 KB  
Article
A New [PMo12O40]3−-Based NiII Compound: Electrochemical and Photocatalytic Properties for Water Pollutant Removal
by Guoqing Lin, Shufeng Liu, Dai Shi, Ying Yang, Fangle Yu, Tong Lu, Xiao-Yang Yu and Yuguang Zhao
Molecules 2025, 30(10), 2172; https://doi.org/10.3390/molecules30102172 - 15 May 2025
Viewed by 525
Abstract
A polyoxometalate-based metal–organic complex with the ability to treat pollutants in water was obtained under hydrothermal conditions, namely [Ni(H2L)(HL)2](PMo12O40)·3H3O·4H2O (1) (H2L = 4,4′-(1H,1′H-[2,2′-biimidazole]-1,1′-diyl)dibenzoicacid). Structural analysis reveals that [...] Read more.
A polyoxometalate-based metal–organic complex with the ability to treat pollutants in water was obtained under hydrothermal conditions, namely [Ni(H2L)(HL)2](PMo12O40)·3H3O·4H2O (1) (H2L = 4,4′-(1H,1′H-[2,2′-biimidazole]-1,1′-diyl)dibenzoicacid). Structural analysis reveals that the [Ni(H2L)(HL)2] units are interconnected into a 2D layer via hydrogen bonds between adjacent carboxyl groups and water molecules of crystallization. [PMo12O40]3− anions are embedded within the larger pores of the layer and are connected to the adjacent layers through hydrogen bonds, ultimately expanding the structure into a 3D supramolecular architecture. The intermolecular interactions were studied via Hirshfeld surface (HS) analysis. Electrochemical performance tests reveal that 1 exhibits electrocatalytic activity toward the oxidation and reduction of diverse pollutants in water, including NO2, Cr(VI), BrO3, Fe(III), and ascorbic acid (AA). Additionally, it can also serve as an amperometric sensor for the detection of BrO3 and Cr(VI). Photocatalytic studies reveal that compound 1 functions as a bifunctional photocatalyst, which not only achieves efficient degradation of organic dyes but also demonstrates remarkable reduction efficiency for toxic Cr(VI). Compound 1 demonstrates significant potential for practical water remediation applications. Full article
(This article belongs to the Section Inorganic Chemistry)
Show Figures

Graphical abstract

8 pages, 2987 KB  
Data Descriptor
Curated Polyoxometalate Formula Dataset
by Aleksandar Kondinski, Nadiia Gumerova and Annette Rompel
Data 2024, 9(11), 124; https://doi.org/10.3390/data9110124 - 29 Oct 2024
Cited by 1 | Viewed by 1803
Abstract
Reticular and cluster materials often feature complex formulas, making a comprehensive overview challenging due to the need to consult various resources. While datasets have been collected for metal-organic frameworks (MOFs), covalent organic frameworks (COFs), and zeolites, among others, there remains a gap in [...] Read more.
Reticular and cluster materials often feature complex formulas, making a comprehensive overview challenging due to the need to consult various resources. While datasets have been collected for metal-organic frameworks (MOFs), covalent organic frameworks (COFs), and zeolites, among others, there remains a gap in systematically organized information for polyoxometalates. This paper introduces a carefully curated dataset of 1984 polyoxometalate (POM) and related cluster metal oxide formula instances, currently connecting over 2500 POM material instances. These POM instances incorporate 75 different chemical elements, with compositions ranging from binary to octonary element clusters. This dataset not only enhances accessibility to polyoxometalate data but also aims to facilitate further research and development in the study of these complex inorganic compounds. Full article
(This article belongs to the Section Chemoinformatics)
Show Figures

Graphical abstract

16 pages, 3336 KB  
Article
Water-Soluble Polyoxometal Clusters of Molybdenum (V) with Pyrazole and Triazole: Synthesis and Study of Cytotoxicity and Antiviral Activity
by Anna V. Konkova, Iulia V. Savina, Darya V. Evtushok, Tatiana N. Pozmogova, Maria V. Solomatina, Alina R. Nokhova, Alexander Y. Alekseev, Natalia V. Kuratieva, Ilia V. Eltsov, Vadim V. Yanshole, Aleksander M. Shestopalov, Anton A. Ivanov and Michael A. Shestopalov
Molecules 2023, 28(24), 8079; https://doi.org/10.3390/molecules28248079 - 14 Dec 2023
Cited by 6 | Viewed by 2090
Abstract
Among well-studied and actively developing compounds are polyoxometalates (POMs), which show application in many fields. Extending this class of compounds, we introduce a new subclass of polyoxometal clusters (POMCs) [Mo12O28(μ-L)8]4− (L = pyrazolate (pz) or triazolate [...] Read more.
Among well-studied and actively developing compounds are polyoxometalates (POMs), which show application in many fields. Extending this class of compounds, we introduce a new subclass of polyoxometal clusters (POMCs) [Mo12O28(μ-L)8]4− (L = pyrazolate (pz) or triazolate (1,2,3-trz or 1,2,4-trz)), structurally similar to POM, but containing binuclear Mo2O4 clusters linked by bridging oxo- and organic ligands. The complexes obtained by ampoule synthesis from the binuclear cluster [Mo2O4(C2O4)2(H2O)2]2− in a melt of an organic ligand are soluble and stable in aqueous solutions. In addition to the detailed characterization in solid state and in aqueous solution, the biological properties of the compounds on normal and cancer cells were investigated, and antiviral activity against influenza A virus (subtype H5N1) was demonstrated. Full article
(This article belongs to the Special Issue Metal Clusters – Past, Current and Future Aspects)
Show Figures

Figure 1

12 pages, 4442 KB  
Article
A Nanoscale Cobalt Functionalized Strandberg-Type Phosphomolybdate with β-Sheet Conformation Modulation Ability in Anti-Amyloid Protein Misfolding
by Man Wang, Jiai Hua, Pei Zheng, Yuanzhi Tian, Shaodan Kang, Junjun Chen, Yifan Duan and Xiang Ma
Inorganics 2023, 11(11), 442; https://doi.org/10.3390/inorganics11110442 - 18 Nov 2023
Cited by 1 | Viewed by 2299
Abstract
For decades, amyloid β-peptide (Aβ) misfolding aggregates with β-sheet structures have been linked to the occurrence and advancement of Alzheimer’s disease (AD) development and progression. As a result, modulating the misfolding mode of Aβ has been regarded as [...] Read more.
For decades, amyloid β-peptide (Aβ) misfolding aggregates with β-sheet structures have been linked to the occurrence and advancement of Alzheimer’s disease (AD) development and progression. As a result, modulating the misfolding mode of Aβ has been regarded as an important anti-amyloid protein misfolding strategy. A polyoxometalate based on {Co(H2O)4}2+ complex and [P2Mo5O23]6− fragments, K8{[Co(H2O)4][HP2Mo5O23]2}·8H2O (abbreviated as CoPM), has been synthesized and structurally characterized using elemental analysis, single-crystal X-ray diffraction (SXRD), IR, UV spectra, bond valence sums (Σs) calculation, and powder XRD (PXRD). CoPM’s primary component, as revealed by structural analysis, is a nanoscale polyoxoanion made of [Co(H2O)4]2+ sandwiched between two [P2Mo5O23]6− pieces. Notably, it is demonstrated that CoPM efficiently modulates Aβ aggregates’ β-sheet-rich conformation. Full article
Show Figures

Figure 1

17 pages, 8233 KB  
Article
Polyoxometalate-Stabilized Silver Nanoparticles and Hybrid Electrode Assembly Using Activated Carbon
by Sara Goberna-Ferrón, Laia Cots, Marta Perxés Perich, Jun-Jie Zhu and Pedro Gómez-Romero
Nanomaterials 2023, 13(15), 2241; https://doi.org/10.3390/nano13152241 - 3 Aug 2023
Cited by 4 | Viewed by 2523
Abstract
The intersection between the field of hybrid materials and that of electrochemistry is a quickly expanding area. Hybrid combinations usually consist of two constituents, but new routes toward more complex and versatile electroactive hybrid designs are quickly emerging. The objective of the present [...] Read more.
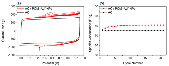
The intersection between the field of hybrid materials and that of electrochemistry is a quickly expanding area. Hybrid combinations usually consist of two constituents, but new routes toward more complex and versatile electroactive hybrid designs are quickly emerging. The objective of the present work is to explore novel triple hybrid material integrating polyoxometalates (POMs), silver nanoparticles (Ag0 NPs), and activated carbon (AC) and to demonstrate its use as a hybrid electrode in a symmetric supercapacitor. The tri-component nanohybrid (AC/POM-Ag0 NPs) was fabricated through the combination of AC with pre-synthesized ∼27 nm POM-protected Ag0 NPs (POM-Ag0 NPs). The POM-Ag0 NPs were prepared using a green electrochemical method and characterized via UV-vis and IR spectroscopy, electron microscopy, dynamic light scattering (DLS), X-ray diffraction (XRD), X-ray photoelectron spectroscopy (XPS), and cyclic voltammetry (CV). Afterward, the AC/POM-Ag0 NPs ternary nanocomposite material was constructed and characterized. The electrochemical behavior of AC/POM-Ag0 NPs’ modified electrodes reveal that the nanomaterial is electroactive and exhibits a moderately higher specific capacitance (81 F/g after 20 cycles) than bare AC electrodes (75 F/g) in a symmetrical supercapacitor configuration in the voltage range 0 to 0.75 V and 20 mV/s, demonstrating the potential use of this type of tri-component nanohybrid for electrochemical applications. Full article
Show Figures

Figure 1

10 pages, 2860 KB  
Article
A Series of Lanthanide Complexes with Keggin-Type Monolacunary Phosphotungstate: Synthesis and Structural Characterization
by Vladimir S. Korenev, Taisiya S. Sukhikh and Maxim N. Sokolov
Inorganics 2023, 11(8), 327; https://doi.org/10.3390/inorganics11080327 - 1 Aug 2023
Cited by 4 | Viewed by 2198
Abstract
The coordination of rare-earth metal ions (Ln3+) to polyoxometalates (POM) is regarded as a way of modifying and controlling their properties, such as single-molecular magnetism or luminescent behavior. The half-sandwich complexes of Ln3+ with monolacunary Keggin POMs (Ln3+/POM [...] Read more.
The coordination of rare-earth metal ions (Ln3+) to polyoxometalates (POM) is regarded as a way of modifying and controlling their properties, such as single-molecular magnetism or luminescent behavior. The half-sandwich complexes of Ln3+ with monolacunary Keggin POMs (Ln3+/POM = 1:1) are of particular interest, since the Ln3+ retains its ability to coordinate extra ligands. Thus, the knowledge of the exact structures of 1:1 Ln/POM complexes is important for the development of reliable synthetic protocols for hybrid complexes. In this work, we isolated three 1:1 Gd3+/POM complexes of the general formula Cat4Gd(PW11O39)·xH2O (Cat = K+ or Me4N+). Complex (Me4N)2K2[Gd(H2O)2PW11O39]·5H2O (1) is polymeric, revealing a layered structural motif via bridging Gd3+ and K+ ions. Complexes (Me4N)6K2[Gd(H2O)3PW11O39]2·20H2O (2) and (Me4N)7K[Gd(H2O)3PW11O39]2·12H2O (3) are classified as dimeric; the difference between them consists of the different crystal packing of the polyoxometalates, which is induced by a variation in the cationic composition. Isostructural complexes have also been characterized for praseodymium, europium, terbium and dysprosium. The coordination number of Ln3+ (8) persists in all the compounds, while the binding mode of the POM varies, giving rise to different architectures with two or three H2O co-ligands per Ln3+. However, whatever the particular structure and exact composition, the {Ln(PW11O39)} moieties are always involved in bonding with each other with the formation either of polymeric chains or dimeric units. In water, these aggregates can dissociate with the formation of [Ln(H2O)4PW11O39]4-. This behavior must be taken into account when choosing L for the design of hybrid {Ln(L)POM} complexes. Full article
Show Figures

Graphical abstract

13 pages, 3599 KB  
Article
Supramolecular Host–Guest Assemblies of [M6Cl14]2–, M = Mo, W, Clusters with γ-Cyclodextrin for the Development of CLUSPOMs
by Anton A. Ivanov, Pavel A. Abramov, Mohamed Haouas, Yann Molard, Stéphane Cordier, Clément Falaise, Emmanuel Cadot and Michael A. Shestopalov
Inorganics 2023, 11(2), 77; https://doi.org/10.3390/inorganics11020077 - 7 Feb 2023
Cited by 5 | Viewed by 2896
Abstract
Host–guest assemblies open up opportunities for developing novel functional CLUSPOM multicomponent systems based on transition metal clusters (CLUS), polyoxometalates (POMs) and macrocyclic organic ligands. In water–ethanol solution γ-cyclodextrin (γ-CD) interacts with halide metal clusters [M6Cl14]2– (M = Mo, [...] Read more.
Host–guest assemblies open up opportunities for developing novel functional CLUSPOM multicomponent systems based on transition metal clusters (CLUS), polyoxometalates (POMs) and macrocyclic organic ligands. In water–ethanol solution γ-cyclodextrin (γ-CD) interacts with halide metal clusters [M6Cl14]2– (M = Mo, W) to form sandwich-type structures. The supramolecular association between the clusters and CDs, however, remains weak in solution, and the interactions are not strong enough to prevent the hydrolysis of the inorganic guest. Although analysis of the resulting crystal structures reveals inclusion complexation, 1H NMR experiments in solution show no specific affinity between the two components. The luminescent properties of the host–guest compounds in comparison with the initial cluster complexes are also studied to evaluate the influence of CD. Full article
Show Figures

Graphical abstract

19 pages, 3937 KB  
Article
Ligand-Modulated Nuclearity and Geometry in Nickel(II) Hydrazone Complexes: From Mononuclear Complexes to Acetato- and/or Phenoxido-Bridged Clusters
by Višnja Vrdoljak, Tomica Hrenar, Mirta Rubčić, Gordana Pavlović, Tomislav Friganović and Marina Cindrić
Int. J. Mol. Sci. 2023, 24(3), 1909; https://doi.org/10.3390/ijms24031909 - 18 Jan 2023
Cited by 4 | Viewed by 2827
Abstract
The propensity of 4-hydroxybenzhydrazone-related ligands derived from 3-methoxysalicylaldehyde (H2L3OMe), 4-methoxysalicylaldehyde (H2L4OMe), and salicylaldehyde (H2LH) to act as chelating and/or bridging ligands in Ni(II) complexes was investigated. Three clusters of different nuclearities, [...] Read more.
The propensity of 4-hydroxybenzhydrazone-related ligands derived from 3-methoxysalicylaldehyde (H2L3OMe), 4-methoxysalicylaldehyde (H2L4OMe), and salicylaldehyde (H2LH) to act as chelating and/or bridging ligands in Ni(II) complexes was investigated. Three clusters of different nuclearities, [Ni3(L3OMe)2(OAc)2(MeOH)2]∙2MeOH∙MeCN (1∙2MeOH∙MeCN), [Ni2(HL4OMe)(L4OMe)(OAc)(MeOH)2]∙4.7MeOH (2∙4.7MeOH), and [Ni4(HLH)2(LH)2(OAc)2]∙4MeOH·0.63H2O·0.5MeCN·HOAc (3∙4MeOH·0.63H2O·0.5MeCN·HOAc), were prepared from Ni(OAc)2∙4H2O and the corresponding ligand in the presence of Et3N. The hydrazones in these acetato- and phenoxido-bridged clusters acted as singly or doubly deprotonated ligands. When pyridine was used, mononuclear complexes with the square-planar geometry seemed to be favoured, as found for complexes [Ni(L3OMe)(py)] (4), [Ni(L4Ome)(py)] (5) and [Ni(LH)(py)] (6). Ligand substituent effects and the stability of square-planar complexes were investigated and quantified by extensive quantum chemical analysis. Obtained results showed that standard Gibbs energies of binding were lower for square-planar than for octahedral complexes. Starting from [MoO2(L)(EtOH)] complexes as precursors and applying the metal-exchange procedure, the mononuclear complexes [Ni(HL3OMe)2]∙MeOH (7∙MeOH) and [Ni(HLH)]∙2MeOH (9∙2MeOH) and hybrid organic–inorganic compound [Ni2(HL4OMe)2(CH3OH)4][Mo4O10(OCH3)6] (10) were achieved. The octahedral complexes [Ni(HL)2] (79) can also be obtained by the direct synthesis from Ni(Oac)2∙4H2O and the appropriate ligand under specific reaction conditions. Crystal and molecular structures of 1∙2MeOH∙MeCN, 2∙4.7MeOH, 3∙4MeOH∙0.63H2O∙0.5MeCN∙HOAc, 4, 5, 9∙2MeOH, and 10 were determined by the single-crystal X-ray diffraction method. Full article
(This article belongs to the Special Issue Oligonuclear Metal Complexes with Schiff Base Ligands 2.0)
Show Figures

Graphical abstract

12 pages, 3405 KB  
Article
Association of Keplerate-Type Polyoxometalate {Mo72Fe30} with Tetracycline: Nature of Binding Sites and Antimicrobial Action
by Kirill Grzhegorzhevskii, Margarita Tonkushina, Pavel Gushchin, Ilya Gagarin, Alexander Ermoshin, Kseniya Belova, Anna Prokofyeva, Alexander Ostroushko and Alexander Novikov
Inorganics 2023, 11(1), 9; https://doi.org/10.3390/inorganics11010009 - 25 Dec 2022
Cited by 4 | Viewed by 3111
Abstract
The association process between the tetracycline (TC) antibiotic molecule and Keplerate-type nanocluster polyoxometalate (POM) {Mo72Fe30} was studied in aqueous solution. The novel supramolecular ensemble {Mo72Fe30}@TC12.5 was produced, its composition and structure were revealed by [...] Read more.
The association process between the tetracycline (TC) antibiotic molecule and Keplerate-type nanocluster polyoxometalate (POM) {Mo72Fe30} was studied in aqueous solution. The novel supramolecular ensemble {Mo72Fe30}@TC12.5 was produced, its composition and structure were revealed by means of elemental analysis (C, N, H) and vibrational spectroscopy (IR and Raman). Based on the spectral data, the POM structure’s integrity was confirmed and binding sites of TC with the Keplerate {Mo72Fe30} surface were found. Due to thermogravimetric analysis (TG) and in-situ Raman spectroscopy during the process of {Mo72Fe30}@TC12.5 thermal destruction, we showed a significant change in the phase composition of POM’s destruction products after association with TC. The antibacterial activity of the obtained complex {Mo72Fe30}@TC12.5 was examined. The experimental results allowed us to note the partial inhibition of TC’s antibacterial activity owing to the coordination of TC to FeIII centers, in turn, which hinders the participation of TC in coordination via Mg2+ of ribosomal subunits 30S in bacteria. Full article
(This article belongs to the Special Issue Inorganics: 10th Anniversary)
Show Figures

Figure 1

14 pages, 4528 KB  
Article
A Cyclen-Functionalized Cobalt-Substituted Sandwich-Type Tungstoarsenate with Versatility in Removal of Methylene Blue and Anti-ROS-Sensitive Tumor Cells
by Jiai Hua, Xueman Wei, Yifeng Li, Lingzhi Li, Hui Zhang, Feng Wang, Changli Zhang and Xiang Ma
Molecules 2022, 27(19), 6451; https://doi.org/10.3390/molecules27196451 - 30 Sep 2022
Cited by 8 | Viewed by 2362
Abstract
Oxidative degradation by using reactive oxygen species (ROS) is an effective method to treat pollutants. The synthesis of artificial oxidase for the degradation of dyes is a hot spot in molecular science. In this study, a nanoscale sandwich-type polyoxometalate (POM) on the basis [...] Read more.
Oxidative degradation by using reactive oxygen species (ROS) is an effective method to treat pollutants. The synthesis of artificial oxidase for the degradation of dyes is a hot spot in molecular science. In this study, a nanoscale sandwich-type polyoxometalate (POM) on the basis of a tetra-nuclear cobalt cluster and trivacant B-α-Keggin-type tungstoarsenate {[Co(C8H20N4)]4}{Co4(H2O)2[HAsW9O34]2}∙4H2O (abbreviated as CAW, C8H20N4 = cyclen) has been synthesized and structurally examined by infrared (IR) spectrum, ultraviolet–visible (UV–Vis) spectrum, X-ray photoelectron spectrum (XPS), single-crystal X-ray diffraction (SXRD), and bond valence sum (Σs) calculation. According to the structural analysis, the principal element of the CAW is derived from modifying sandwich-type polyanion {Co4(H2O)2 [HAsW9O34]2}8 with four [Co(Cyclen)]2+, in which 1,4,7,10-tetraazacyclododecane (cyclen) is firstly applied to modify POM. It is also demonstrated that CAW is capable of efficiently catalyzing the production of ROS by the synergistic effects of POM fragments and Co–cyclen complexes. Moreover, CAW can interfere with the morphology and proliferation of sensitive cells by producing ROS and exhibits ability in specifically eliminating methylene blue (MB) dyes from the solution system by both adsorption and catalytic oxidation. Full article
(This article belongs to the Special Issue Nanomaterials for Bioremediation and Environmental Catalysis)
Show Figures

Figure 1

26 pages, 4026 KB  
Review
Molybdenum, Vanadium, and Tungsten-Based Catalysts for Sustainable (ep)Oxidation
by Jana Pisk and Dominique Agustin
Molecules 2022, 27(18), 6011; https://doi.org/10.3390/molecules27186011 - 15 Sep 2022
Cited by 16 | Viewed by 4064
Abstract
This article gives an overview of the research activity of the LAC2 team at LCC developed at Castres in the field of sustainable chemistry with an emphasis on the collaboration with a research team from the University of Zagreb, Faculty of Science, Croatia. [...] Read more.
This article gives an overview of the research activity of the LAC2 team at LCC developed at Castres in the field of sustainable chemistry with an emphasis on the collaboration with a research team from the University of Zagreb, Faculty of Science, Croatia. The work is situated within the context of sustainable chemistry for the development of catalytic processes. Those processes imply molecular complexes containing oxido-molybdenum, -vanadium, -tungsten or simple polyoxometalates (POMs) as catalysts for organic solvent-free epoxidation. The studies considered first the influence of the nature of complexes (and related ligands) on the reactivity (assessing mechanisms through DFT calculations) with model substrates. From those model processes, the work has been enlarged to the valorization of biomass resources. A part concerns the activity on vanadium chemistry and the final part concerns the use of POMs as catalysts, from molecular to grafted catalysts, (ep)oxidizing substrates from fossil and biomass resources. Full article
(This article belongs to the Special Issue Sustainable Chemistry in France)
Show Figures

Graphical abstract

11 pages, 3172 KB  
Article
Covalent Organic Frameworks Composites Containing Bipyridine Metal Complex for Oxygen Evolution and Methane Conversion
by Xin Liu, Lijuan Feng, Yongpeng Li, Tian Xia, Zhuyin Sui and Qi Chen
Molecules 2022, 27(16), 5193; https://doi.org/10.3390/molecules27165193 - 15 Aug 2022
Cited by 17 | Viewed by 3686
Abstract
Novel covalent organic framework (COF) composites containing a bipyridine multimetal complex were designed and obtained via the coordination interaction between bipyridine groups and metal ions. The obtained Pt and polyoxometalate (POM)–loaded COF complex (POM–Pt@COF–TB) exhibited excellent oxidation of methane. In addition, the resultant [...] Read more.
Novel covalent organic framework (COF) composites containing a bipyridine multimetal complex were designed and obtained via the coordination interaction between bipyridine groups and metal ions. The obtained Pt and polyoxometalate (POM)–loaded COF complex (POM–Pt@COF–TB) exhibited excellent oxidation of methane. In addition, the resultant Co/Fe–based COF composites achieved great performance in an electrocatalytic oxygen evolution reaction (OER). Compared with Co–modified COFs (Co@COF–TB), the optimized bimetallic modified COF composites (Co0.75Fe0.25@COF–TB) exhibited great performance for electrocatalytic OER activity, showing a lower overpotential of 331 mV at 10 mA cm−2. Meanwhile, Co0.75Fe0.25@COF–TB also possessed a great turnover frequency (TOF) value (0.119 s−1) at the overpotential of 330 mV, which exhibited high efficiency in the utilization of metal atoms and was better than that of many reported COF-based OER electrocatalysts. This work provides a new perspective for the future coordination of COFs with bimetallic or polymetallic ions, and broadens the application of COFs in methane conversion and electrocatalytic oxygen evolution. Full article
(This article belongs to the Special Issue Porous Organic Materials: Design and Applications)
Show Figures

Graphical abstract

12 pages, 3550 KB  
Article
A Novel Tri-Coordination Zinc Complex Functionalized Silicotungstate with ROS Catalytic Ability and Anti-Tumor Cells Activity
by Xiang Ma, Jiai Hua, Man Wang, Deqiang Zhang, Xinyao Pei, Xiaoyu Zhao, Yulan Niu and Yanqing Wang
Catalysts 2022, 12(7), 695; https://doi.org/10.3390/catal12070695 - 24 Jun 2022
Cited by 6 | Viewed by 2330
Abstract
Reactive oxygen species (ROS) can be used as an effective method to treat tumors. Artificial oxidase has received increasing attention as a catalyst for ROS generation in fields ranging from bioinorganic chemistry to pharmaceutical chemistry. In this study, an artificial oxidase based on [...] Read more.
Reactive oxygen species (ROS) can be used as an effective method to treat tumors. Artificial oxidase has received increasing attention as a catalyst for ROS generation in fields ranging from bioinorganic chemistry to pharmaceutical chemistry. In this study, an artificial oxidase based on a binuclear zinc complex and Keggin-type silicotungstate [Zn2(4,4′-bpy)(Phen)2][SiW12O40] (ZSW) (4,4′-bpy = 4,4′-bipyridine; Phen = 1,10-phenanthroline) was synthesized and structurally featured in terms of its X-ray photoelectron spectrum (XPS), bond valence sum (Σs) calculation, IR spectra, and single-crystal X-ray diffraction (SXRD). ZSW is an ionic compound in which the cation is a binuclear zinc complex [Zn2(4,4′-bpy)(Phen)2]4+ and the anion is a α-Keggin-type silicotungstate [SiW12O40]4– cluster. Notably, the Zn ions in the [Zn2(4,4′-bpy)(Phen)2] exist in tri-coordination, which was first obtained in polyoxometalate (POM) chemistry. It was also demonstrated that ZSW is capable of efficiently catalyzing the production of ROS, which, according to the computational calculations, may be due to the synergistic action of zinc complexes and POM building blocks. Furthermore, ZSW exhibited inhibition ability toward ROS-sensitive tumor cells, such as PC12 cells. Full article
Show Figures

Figure 1

13 pages, 2195 KB  
Article
Polymeric Surfactant P84/Polyoxometalate α-PW12O403−—A Model System to Investigate the Interplay between Chaotropic and Hydrophobic Effects
by Philipp Schmid, Xaver Graß, Pratap Bahadur, Isabelle Grillo, Olivier Diat, Arno Pfitzner and Pierre Bauduin
Colloids Interfaces 2022, 6(1), 16; https://doi.org/10.3390/colloids6010016 - 1 Mar 2022
Cited by 7 | Viewed by 4624
Abstract
Low charge density nanometric ions were recently shown to bind strongly to neutral hydrated matter in aqueous solution. This phenomenon, called the (super-)chaotropic effect, arises from the partial dehydration of both the nano-ion and the solute, leading to a significant gain in enthalpy. [...] Read more.
Low charge density nanometric ions were recently shown to bind strongly to neutral hydrated matter in aqueous solution. This phenomenon, called the (super-)chaotropic effect, arises from the partial dehydration of both the nano-ion and the solute, leading to a significant gain in enthalpy. Here, we investigate the chaotropic effect of the polyoxometalate α-PW12O403− on the triblock copolymer P84: (EO)19(PO)43(EO)19 with (EO)19 the polyethoxylated and (PO)43 the polypropoxylated chains. The combination of phase diagrams, spectroscopic (nuclear magnetic resonance) and scattering (small angle neutron/X-ray scattering) techniques revealed that: (i) below the micellization temperature of P84, PW12O403− exclusively binds to the propylene oxide moiety of P84 unimers; and (ii) above the micellization temperature, PW12O403− mostly adsorbs on the ethylene oxide micellar corona. The preferential binding of the PW12O403− to the PPO chain over the PEO chains suggests that the binding is driven by the chaotropic effect and is reinforced by the hydrophobic effect. At higher temperatures, copolymer micellization leads to the displacement of PW12O403− from the PPO chain to the PEO chains. This study deepens our understanding of the subtle interplay between the chaotropic and hydrophobic effects in complex salt-organic matter solutions. Full article
Show Figures

Graphical abstract

24 pages, 1911 KB  
Article
Trends in Widely Used Catalysts for Fatty Acid Methyl Esters (FAME) Production: A Review
by Shafaq Nisar, Muhammad Asif Hanif, Umer Rashid, Asma Hanif, Muhammad Nadeem Akhtar and Chawalit Ngamcharussrivichai
Catalysts 2021, 11(9), 1085; https://doi.org/10.3390/catal11091085 - 9 Sep 2021
Cited by 66 | Viewed by 11261
Abstract
The effective transesterification process to produce fatty acid methyl esters (FAME) requires the use of low-cost, less corrosive, environmentally friendly and effective catalysts. Currently, worldwide biodiesel production revolves around the use of alkaline and acidic catalysts employed in heterogeneous and homogeneous phases. Homogeneous [...] Read more.
The effective transesterification process to produce fatty acid methyl esters (FAME) requires the use of low-cost, less corrosive, environmentally friendly and effective catalysts. Currently, worldwide biodiesel production revolves around the use of alkaline and acidic catalysts employed in heterogeneous and homogeneous phases. Homogeneous catalysts (soluble catalysts) for FAME production have been widespread for a while, but solid catalysts (heterogeneous catalysts) are a newer development for FAME production. The rate of reaction is much increased when homogeneous basic catalysts are used, but the main drawback is the cost of the process which arises due to the separation of catalysts from the reaction media after product formation. A promising field for catalytic biodiesel production is the use of heteropoly acids (HPAs) and polyoxometalate compounds. The flexibility of their structures and super acidic properties can be enhanced by incorporation of polyoxometalate anions into the complex proton acids. This pseudo liquid phase makes it possible for nearly all mobile protons to take part in the catalysis process. Carbonaceous materials which are obtained after sulfonation show promising catalytic activity towards the transesterification process. Another promising heterogeneous acid catalyst used for FAME production is vanadium phosphate. Furthermore, biocatalysts are receiving attention for large-scale FAME production in which lipase is the most common one used successfully This review critically describes the most important homogeneous and heterogeneous catalysts used in the current FAME production, with future directions for their use. Full article
Show Figures

Figure 1

Back to TopTop