Sign in to use this feature.

Years

Between: -

Subjects

remove_circle_outline
remove_circle_outline
remove_circle_outline
remove_circle_outline
remove_circle_outline
remove_circle_outline
remove_circle_outline
remove_circle_outline
remove_circle_outline

Journals

Article Types

Countries / Regions

Search Results (38)

Search Parameters:
Keywords = polycaprolactone diol

Order results
Result details
Results per page
Select all
Export citation of selected articles as:
16 pages, 7517 KB  
Article
The Development and Toxicological Evaluation of Novel Polyurethane Materials
by Maolan Zhang, Xuanran Luo, Maocai Jiang, Yu Wen, Peng Wang, Peixing Chen and Da Sun
Toxics 2025, 13(6), 512; https://doi.org/10.3390/toxics13060512 - 18 Jun 2025
Cited by 2 | Viewed by 1757
Abstract
Polyurethane (PU) is widely employed in the biomedical field. As application scenarios become increasingly complex, it is essential to modify PU to meet diverse requirements. Additionally, the degradation of PU is closely linked to the sustainability of its function, with degradation products having [...] Read more.
Polyurethane (PU) is widely employed in the biomedical field. As application scenarios become increasingly complex, it is essential to modify PU to meet diverse requirements. Additionally, the degradation of PU is closely linked to the sustainability of its function, with degradation products having a direct impact on adjacent tissues. In this study, a novel PU containing double bonds in its main chain was developed. We investigated the influence of various ratios of soft segment composition on the degradation performance of PU, maintaining a fixed ratio of soft to hard segments and utilizing specific synthesis methods. The structure and molecular weight of the PU were analyzed using FTIR, NMR, and GPC techniques. The results of physical and chemical performance tests indicated that an increase in polycaprolactone diol (PCL diol) content within the soft segment enhanced the mechanical properties, hydrophobicity, and degradation performance of the PU. A further assessment of the degradation toxicity of PU was carried out using zebrafish as a model organism. The findings indicated that the degradation solution of PU exhibited slight toxicity to zebrafish embryonic development over prolonged degradation periods. However, it also significantly enhanced the hatching of zebrafish embryos. In summary, the novel PU developed in this study demonstrates favorable biocompatibility, and the approach of introducing reaction sites or modifying the composition of its soft segments within the molecular structure offers a promising and effective strategy to address specific application requirements. Full article
Show Figures

Graphical abstract

20 pages, 6742 KB  
Article
Encapsulation of Rose Extract in Polyurethane Structures Modified for Enhanced Aqueous Solubility
by Ramona-Carmen Albulescu, Livia-Cristina Borcan, Florin Borcan and Camelia-Alexandrina Szuhanek
Appl. Sci. 2025, 15(5), 2526; https://doi.org/10.3390/app15052526 - 26 Feb 2025
Viewed by 1035
Abstract
Background: The volatile compounds present in rose extracts exhibit significant potential applications in medicine and cosmetics due to their capacity to enhance skin hydration and barrier function, two factors that are crucial for anti-aging and skin protection. The antimicrobial, anti-inflammatory, and analgesic properties [...] Read more.
Background: The volatile compounds present in rose extracts exhibit significant potential applications in medicine and cosmetics due to their capacity to enhance skin hydration and barrier function, two factors that are crucial for anti-aging and skin protection. The antimicrobial, anti-inflammatory, and analgesic properties of these extracts also suggest their potential utility in oral health applications. The aim of the current study was to obtain a new type of polyurethane delivery system based on a polyaddition process in the presence of a surfactant. Methods: Lysine-diisocyanate, polyethylene glycol, polycaprolactone diol, hexanediol, glycerol-1,2-diacetate, Tween® 20, and caffeine were used to synthesize two samples of PU structures, one with and one without rose extract. The structures’ shape, size and surface charge, encapsulation efficacy, pH, solubility, release kinetics, and permeation rate were all assessed; the irritation potential of samples was verified by skin parameters testing the cytotoxicity by in vitro cell viability assay. Results: Within our findings, structures measuring between 98 and 203 nm were found, while the sample containing the rose extract showed an entrapment efficacy of 71.76%. Almost 90% of the structures penetrated the membrane in 48 h, and around 45% were released from the carrier in the same period. Biosafety evaluations conducted both in vivo and in vitro confirmed that PU structures are safe as delivery vehicles. Conclusions: This study shows the potential of polyurethane structures with rose extracts for use in biomedical applications and cosmetics. However, more research is needed to examine the clinical testing of polyurethane delivery systems and optimize release kinetics and permeation rates for particular therapeutic uses. Full article
Show Figures

Figure 1

18 pages, 6206 KB  
Article
Exploring the Effect of the Polyol Structure and the Incorporation of Lignin on the Properties of Bio-Based Polyurethane
by Bomin Kim, Jihoon Lee, Sunjin Jang, Jaehyeon Park, Jinsil Choi, Seungyeol Lee, Joonhoo Jung and Jaehyung Park
Polymers 2025, 17(5), 604; https://doi.org/10.3390/polym17050604 - 24 Feb 2025
Cited by 9 | Viewed by 3245
Abstract
This study developed bio-based waterborne polyurethane (BWPU) dispersions containing lignin as a sustainable filler with castor oil (CO), polycaprolactone diol (PCL), or poly(trimethylene ether) glycol (PO3G). The effects of the polyol structure and the presence of lignin on the mechanical performance, thermal stability, [...] Read more.
This study developed bio-based waterborne polyurethane (BWPU) dispersions containing lignin as a sustainable filler with castor oil (CO), polycaprolactone diol (PCL), or poly(trimethylene ether) glycol (PO3G). The effects of the polyol structure and the presence of lignin on the mechanical performance, thermal stability, water absorption, ethanol resistance, and UV-blocking capabilities of the resulting BWPU samples were evaluated. The results revealed that lignin affects the molecular packing and interchain interactions of CO-based BWPU, thus improving its tensile strength and thermal stability while reducing its water absorption and ethanol permeability. In the PCL-based BWPU, lignin had a minimal impact on water absorption and ethanol resistance but led to greater UV-blocking ability due to interactions between the semi-crystalline matrix of PCL and the aromatic structure of the lignin. In the PO3G-based BWPU, lignin disrupted the polymer network, increasing its water absorption and reducing its ethanol resistance but significantly improving its elongation and UV-shielding behavior. These results highlight the dual role of lignin as a sustainable reinforcing agent and functional additive in enhancing the properties of BWPU. By tailoring the polyol structure and optimizing lignin use, this study demonstrates a framework for the development of eco-friendly PU composites suitable for use as coatings, barriers, UV-shielding films, and packaging Full article
(This article belongs to the Section Biobased and Biodegradable Polymers)
Show Figures

Graphical abstract

17 pages, 3933 KB  
Article
Polyurethane Microstructures for 2′-Deoxycytidinic Acid Delivery: Preparation and Preliminary Characterization
by Roxana Maria Jeleriu, Bogdana Cavaloiu, Lidia Manuela Onofrei, Florin Borcan, Ramona Carmen Albulescu and Maria Puiu
Medicina 2024, 60(3), 491; https://doi.org/10.3390/medicina60030491 - 16 Mar 2024
Cited by 1 | Viewed by 2039
Abstract
Background and Objectives: Nucleotide delivery has emerged as a noteworthy research trend in recent years because of its potential utility in addressing a range of genetic defects resulting in the presence of incorrect nucleotides. The primary goals of this research were to [...] Read more.
Background and Objectives: Nucleotide delivery has emerged as a noteworthy research trend in recent years because of its potential utility in addressing a range of genetic defects resulting in the presence of incorrect nucleotides. The primary goals of this research were to create and to characterize polyurethane microstructures, with the aim of utilizing them for nucleotide transport. Materials and Methods: Two samples were prepared using an aliphatic diisocyanate in reaction with a mixture of polyethylene glycol and polycaprolactone diol, where 2′-deoxycytidinic acid was used as the active agent and glycerol 1,2-diacetate was used as an enhancer of the aqueous solubility. The solubility, pH, size distribution, and surface charge of the samples were measured, and encapsulation efficacy and release, cell proliferation, and irritation tests on mouse skin were conducted. Results: The results showed almost neutral acidic–basic structures with a high heterogeneity, and a medium tendency to form clusters with non-cytotoxic and non-irritative potentials. Conclusions: Future research could explore the efficacy of this carrier in delivering other nucleotides, as well as investigating the long-term effects and safety of these microstructures in vivo. Full article
(This article belongs to the Section Pharmacology)
Show Figures

Figure 1

14 pages, 23554 KB  
Article
Preparation and Characterization of PHBV/PCL-Diol Blend Films
by Tamara Erceg, Sanja Rackov, Pal Terek and Branka Pilić
Polymers 2023, 15(24), 4694; https://doi.org/10.3390/polym15244694 - 13 Dec 2023
Cited by 19 | Viewed by 3678
Abstract
Biodegradable thin films based on poly(3-hydroxybutyrate-co-3-hydroxyvalerate) (PHBV) and poly(caprolactone diol) (PCL-diol) blend were developed using the solution casting method. PHBV is biodegradable, biocompatible, and produced naturally by bacterial activity, but its use is restricted by high crystallinity and low resistance to thermal degradation [...] Read more.
Biodegradable thin films based on poly(3-hydroxybutyrate-co-3-hydroxyvalerate) (PHBV) and poly(caprolactone diol) (PCL-diol) blend were developed using the solution casting method. PHBV is biodegradable, biocompatible, and produced naturally by bacterial activity, but its use is restricted by high crystallinity and low resistance to thermal degradation with melting temperatures close to degradation thus narrowing the processing window. Solution casting was chosen as a cost-effective method reducing energy consumption and avoiding thermal degradation during processing. The increase in PCL-diol in blend composition (40–60 wt%) enhances the film-forming ability of PHBV and the wettability along with the decrease in the roughness of the resulting materials as revealed by contact angle measurements, scanning electron microscopy (SEM), and atomic force microscopy (AFM). Optimal composition in terms of filmogenity and surface structure has been achieved by the addition of PCL-diol in the amount of 60 wt%. FTIR confirmed the expected chemical structures with no evidence of chemical interactions between the two polymers. Full article
(This article belongs to the Special Issue Advances in Functional Polymer Films)
Show Figures

Figure 1

21 pages, 12860 KB  
Article
Fabrication and In Vitro Biological Assay of Thermo-Mechanically Tuned Chitosan Reinforced Polyurethane Composites
by Nadia Akram, Iram Shahzadi, Khalid Mahmood Zia, Muhammad Saeed, Akbar Ali, Rashad Al-Salahi, Hatem A. Abuelizz and Francis Verpoort
Molecules 2023, 28(20), 7218; https://doi.org/10.3390/molecules28207218 - 22 Oct 2023
Cited by 5 | Viewed by 2606
Abstract
The progressive trend of utilizing bioactive materials constitutes diverse materials exhibiting biocompatibility. The innovative aspect of this research is the tuning of the thermo-mechanical behavior of polyurethane (PU) composites with improved biocompatibility for vibrant applications. Polycaprolactone (CAPA) Mn = 2000 g-mol−1 was [...] Read more.
The progressive trend of utilizing bioactive materials constitutes diverse materials exhibiting biocompatibility. The innovative aspect of this research is the tuning of the thermo-mechanical behavior of polyurethane (PU) composites with improved biocompatibility for vibrant applications. Polycaprolactone (CAPA) Mn = 2000 g-mol−1 was used as a macrodiol, along with toluene diisocyanate (TDI) and hexamethylene diisocyanate (HMDI), to develop prepolymer chains, which were terminated with 1,4 butane diol (BD). The matrix was reinforced with various concentrations of chitosan (1–5 wt %). Two series of PU composites (PUT/PUH) based on aromatic and aliphatic diisocyanate were prepared by varying the hard segment (HS) ratio from 5 to 30 (wt %). The Fourier-transformed infrared (FTIR) spectroscopy showed the absence of an NCO peak at 1730 cm−1 in order to confirm polymer chain termination. Thermal gravimetric analysis (TGA) showed optimum weight loss up to 500 °C. Dynamic mechanical analysis (DMA) showed the complex modulus (E*) ≥ 200 MPa. The scanning electron microscope (SEM) proved the ordered structure and uniform distribution of chain extender in PU. The hemolytic activities were recorded up to 15.8 ± 1.5% for the PUH series. The optimum values for the inhibition of biofilm formation were recorded as 46.3 ± 1.8% against E. coli and S. aureus (%), which was supported by phase contrast microscopy. Full article
Show Figures

Figure 1

25 pages, 9258 KB  
Article
The Influence of an Isocyanate Structure on a Polyurethane Delivery System for 2′-Deoxycytidine-5′-monophosphate
by Florin Borcan, Titus Vlase, Gabriela Vlase, Roxana Popescu and Codruta M. Soica
J. Funct. Biomater. 2023, 14(10), 526; https://doi.org/10.3390/jfb14100526 - 18 Oct 2023
Cited by 5 | Viewed by 3477
Abstract
The delivery of nucleosides represents an interesting research trend in recent years due to their application in various viral infections. The main aims of this study were to develop and to characterize polyurethane particles that are intended to be used for the transport [...] Read more.
The delivery of nucleosides represents an interesting research trend in recent years due to their application in various viral infections. The main aims of this study were to develop and to characterize polyurethane particles that are intended to be used for the transport of nucleosides. Three samples have been prepared using aliphatic diisocyanates, a mixture of polyethylene glycol, polycaprolactone, and diols, respectively. The samples were characterized through refractivity measurements, drug loading efficacy, release and penetration rate investigations, FTIR and Raman spectroscopy, thermal analyses, Zetasizer, SEM, HDFa cells viability, and irritation tests on mice skin. The results indicate the obtaining of particles with sizes between 132 and 190 nm, positive Zeta potential values (28.3–31.5 mV), and a refractivity index around 1.60. A good thermal stability was found, and SEM images show a medium tendency to agglomerate. The samples’ color, pH, and electrical conductivity have changed only to a small extent over time, and the evaluations indicate an almost 70% encapsulation efficacy, a prolonged release, and that around 70% of particles have penetrated an artificial membrane in the first 24 h. The synthesized products should be tested in further clinical trials, and the current tests on cell cultures and mice skin revealed no side effects. Full article
(This article belongs to the Section Biomaterials for Drug Delivery)
Show Figures

Figure 1

14 pages, 2972 KB  
Article
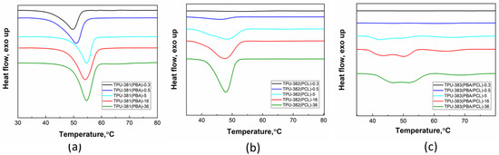
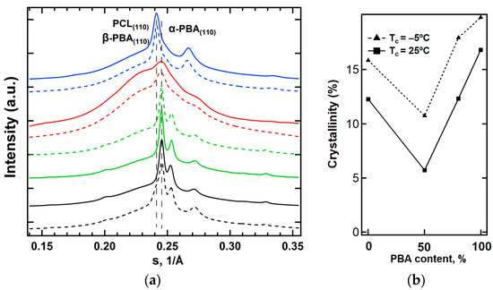
Impact of Soft Segment Composition on Phase Separation and Crystallization of Multi-Block Thermoplastic Polyurethanes Based on Poly(butylene adipate) Diol and Polycaprolactone Diol
by Marina Gorbunova, Denis V. Anokhin, Ainur Abukaev and Dimitri Ivanov
Crystals 2023, 13(10), 1447; https://doi.org/10.3390/cryst13101447 - 28 Sep 2023
Cited by 9 | Viewed by 3428
Abstract
In this work, we explore the influence of soft segment structure on the crystallinity and phase separation of semicrystalline multi-block thermoplastic polyurethanes (TPUs) based on poly(butylene adipate) diol, polycaprolactone diol, and their mixture. According to thermal and structural analyses, the crystal growth rate [...] Read more.
In this work, we explore the influence of soft segment structure on the crystallinity and phase separation of semicrystalline multi-block thermoplastic polyurethanes (TPUs) based on poly(butylene adipate) diol, polycaprolactone diol, and their mixture. According to thermal and structural analyses, the crystal growth rate and degree of crystallinity decrease with an increase in the PCL/PBA ratio and reach a minimum at the equimolar composition of polyesters. A reduction in crystal phase content leads to an improvement in elastomeric behavior. TPU samples with high PCL content demonstrate enhanced crystallinity but a lower melting temperature compared to TPU with PBA crystals. Crystallization of TPU below room temperature results in an enhancement of total crystallinity and a change in the phase composition of the PBA block. The difference in semicrystalline morphology and crystallization kinetics can be explained by the efficiency of phase separation and the density of hydrogen bonding between soft and hard segments. Our findings show that the ratio of the two crystallizable polyesters, combined with the choice of crystallization temperature, allows for independent control over the melting temperature and the overall degree of crystallinity of the TPUs. This significantly impacts the mechanical characteristics of the materials. The effect of adding a second crystallizable polyester on the crystallization behavior, phase composition, and mechanical properties of TPU is discussed for the first time. Full article
(This article belongs to the Section Crystal Engineering)
Show Figures

Figure 1

14 pages, 3335 KB  
Article
The Influence of Soft Segment Structure on the Properties of Polyurethanes
by Ivan Ristić, Suzana Cakić, Nevena Vukić, Vesna Teofilović, Jelena Tanasić and Branka Pilić
Polymers 2023, 15(18), 3755; https://doi.org/10.3390/polym15183755 - 14 Sep 2023
Cited by 50 | Viewed by 6308
Abstract
A series of polyurethanes (PU) were synthesised via one-step polymerisation without a chain extender, using toluene diisocyanate as well as a variety of soft segments composed of different macrodiols. Poly(D,L-lactide) (PDLLA) and polycaprolactone diol (PCL) were synthesised as a polyester type polyols to [...] Read more.
A series of polyurethanes (PU) were synthesised via one-step polymerisation without a chain extender, using toluene diisocyanate as well as a variety of soft segments composed of different macrodiols. Poly(D,L-lactide) (PDLLA) and polycaprolactone diol (PCL) were synthesised as a polyester type polyols to obtain soft segments. The process of varying the molar ratio of newly synthesised PDLLA in soft segments has been confirmed as a powerful tool for fine-tuning the final properties of PU. Fourier-transformed infrared spectroscopy was used for evaluation of molecular structures of synthesised PDLLA polyol and final PU. Nuclear magnetic resonance spectrometry was used to confirm the presumed structure of PU. The influence of soft segment composition on polyurethane thermal characteristics was examined using thermogravimetric analysis and differential scanning calorimetry. The composition of soft segments had little impact on the thermal stability of PU materials, which is explained by the comparable structures of both polyester polyols. Wide-angle X-ray scattering was utilised to evaluate the effect of amorphous PDLLA on the degree of crystallinity of PCL in soft PU segments. It was discovered that not only did the PDLLA ratio in the soft segment have a substantial influence on the degree of microphase separation in the soft and hard segments, but it also influenced the crystallisation behaviour of the materials. Furthermore, the restriction of crystallisation of the PCL soft segment has been verified to be dependent on the hard segment concentration and the ratio of PDLLA/PCL polyols. The sample with pure PCL as the polyol component achieved the highest degree of crystallinity (34.8%). The results demonstrated that the composition of soft segments directly affected the properties of obtained polyurethane films. These results can be utilised to easily achieve a desirable set of properties required for application in biomaterials. Full article
(This article belongs to the Section Smart and Functional Polymers)
Show Figures

Graphical abstract

17 pages, 5382 KB  
Article
Fabrication of 3D Printed Polylactic Acid/Polycaprolactone Nanocomposites with Favorable Thermo-Responsive Cyclic Shape Memory Effects, and Crystallization and Mechanical Properties
by Hao Liu, Chengdi Li, Simin Chen, Ping Chen, Jinbo Li, Huihua Jian, Guoyi Guo, Xiao Chen, Xiaofeng Zhu and Jun Wu
Polymers 2023, 15(6), 1533; https://doi.org/10.3390/polym15061533 - 20 Mar 2023
Cited by 16 | Viewed by 3710
Abstract
In this work, 3D printed polylactic acid (PLA)/polycaprolactone (PCL) nanocomposites with favorable thermo-responsive cyclic shape memory effects (SMEs) and crystallization and mechanical properties were fabricated using a two-step method. First, an isocyanate-terminated PCL diol (PCL-NCO) was synthesized through the reaction between isocyanate groups [...] Read more.
In this work, 3D printed polylactic acid (PLA)/polycaprolactone (PCL) nanocomposites with favorable thermo-responsive cyclic shape memory effects (SMEs) and crystallization and mechanical properties were fabricated using a two-step method. First, an isocyanate-terminated PCL diol (PCL-NCO) was synthesized through the reaction between isocyanate groups of hexamethylene diisocyanate and active hydroxyl groups of PCL diol, and its physicochemical properties were characterized. A PLA/PCL blend with a PCL content of 50 wt% was fabricated via fused filament fabrication (FFF) 3D printing, and the influence of the PCL-NCO on the SME of the PLA/PCL blend was studied. The results indicated that the PCL-NCO significantly improved the cyclic shape memory performance of 3D printed PLA/PCL blends and was proved to be an effective interface compatibilizer for the blend system. Subsequently, the structure and properties of 3D printed PLA/PCL nanocomposites were investigated in detail by adding cellulose nanocrystal-organic montmorillonite (CNC-OMMT) hybrid nanofillers with different contents. It was found that the hybrid nanofillers greatly enhanced crystallization and mechanical properties of the nanocomposites due to adequate dispersion. The modification of the PLA/PCL blend and the preparation of the 3D printed nanocomposite can not only prolong the service life of a shape memory polymer product, but also broaden its application scope in advanced fields. Full article
(This article belongs to the Section Polymer Analysis and Characterization)
Show Figures

Graphical abstract

14 pages, 2496 KB  
Article
Poly(ε-caprolactone)-poly(ethylene glycol) Tri-Block Copolymer as Quercetin Delivery System for Human Colorectal Carcinoma Cells: Synthesis, Characterization and In Vitro Study
by Nancy Ferrentino, Maria Preziosa Romano, Silvia Zappavigna, Marianna Abate, Vitale Del Vecchio, Dario Romano, Chiara Germinario, Celestino Grifa, Rosanna Filosa and Daniela Pappalardo
Polymers 2023, 15(5), 1179; https://doi.org/10.3390/polym15051179 - 26 Feb 2023
Cited by 18 | Viewed by 3720
Abstract
Quercetin is a hydrophobic molecule with short blood circulation times and instability. The development of a nano-delivery system formulation of quercetin may increase its bioavailability, resulting in greater tumor suppressing effects. Triblock ABA type polycaprolactone-polyethylenglycol- polycaprolactone (PCL-PEG-PCL) copolymers have been synthetized using ring-opening [...] Read more.
Quercetin is a hydrophobic molecule with short blood circulation times and instability. The development of a nano-delivery system formulation of quercetin may increase its bioavailability, resulting in greater tumor suppressing effects. Triblock ABA type polycaprolactone-polyethylenglycol- polycaprolactone (PCL-PEG-PCL) copolymers have been synthetized using ring-opening polymerization of caprolactone from PEG diol. The copolymers were characterized by nuclear magnetic resonance (NMR), diffusion-ordered NMR spectroscopy (DOSY), and gel permeation chromatography (GPC). The triblock copolymers self-assembled in water forming micelles consisting of a core of biodegradable polycaprolactone (PCL) and a corona of polyethylenglycol (PEG). The core-shell PCL-PEG-PCL nanoparticles were able to incorporate quercetin into the core. They were characterized by dynamic light scattering (DLS) and NMR. The cellular uptake efficiency of human colorectal carcinoma cells was quantitatively determined by flow cytometry using nanoparticles loaded with Nile Red as hydrophobic model drug. The cytotoxic effect of quercetin-loaded nanoparticles was evaluated on HCT 116 cells, showing promising results. Full article
Show Figures

Figure 1

22 pages, 4172 KB  
Article
Green Biodegradable Polylactide-Based Polyurethane Triblock Copolymers Reinforced with Cellulose Nanowhiskers
by Mohamed Khattab, Noha Abdel Hady and Yaser Dahman
J. Funct. Biomater. 2023, 14(3), 118; https://doi.org/10.3390/jfb14030118 - 21 Feb 2023
Cited by 3 | Viewed by 2883
Abstract
A novel series of biodegradable polylactide-based triblock polyurethane (TBPU) copolymers covering a wide range of molecular weights and compositions were synthesized for potential use in biomedical applications. This new class of copolymers showed tailored mechanical properties, improved degradation rates, and enhanced cell attachment [...] Read more.
A novel series of biodegradable polylactide-based triblock polyurethane (TBPU) copolymers covering a wide range of molecular weights and compositions were synthesized for potential use in biomedical applications. This new class of copolymers showed tailored mechanical properties, improved degradation rates, and enhanced cell attachment potential compared to polylactide homopolymer. Triblock copolymers, (TB) PL-PEG-PL, of different compositions were first synthesized from lactide and polyethylene glycol (PEG) via ring-opening polymerization in the presence of tin octoate as the catalyst. After which, polycaprolactone diol (PCL-diol) reacted with TB copolymers using 1,4-butane diisocyanate (BDI) as a nontoxic chain extender to form the final TBPUs. The final composition, molecular weight, thermal properties, hydrophilicity, and biodegradation rates of the obtained TB copolymers, and the corresponding TBPUs were characterized using 1H-NMR, GPC, FTIR, DSC, and SEM, and contact angle measurements. Results obtained from the lower molecular weight series of TBPUs demonstrated potential use in drug delivery and imaging contrast agents due to their high hydrophilicity and degradation rates. On the other hand, the higher molecular weight series of TBPUs exhibited improved hydrophilicity and degradation rates compared to PL-homopolymer. Moreover, they displayed improved tailored mechanical properties suitable for utilization as bone cement, or in regeneration medicinal applications of cartilage, trabecular, and cancellous bone implants. Furthermore, the polymer nanocomposites obtained by reinforcing the TBPU3 matrix with 7% (w/w) bacterial cellulose nanowhiskers (BCNW) displayed a ~16% increase in tensile strength, and 330% in % elongation compared with PL-homo polymer. Full article
(This article belongs to the Special Issue Functionalized Polymeric Biomaterials: Design and Applications)
Show Figures

Figure 1

19 pages, 6891 KB  
Article
Valorization of Agricultural Waste as a Chemiresistor H2S-Gas Sensor: A Composite of Biodegradable-Electroactive Polyurethane-Urea and Activated-Carbon Composite Derived from Coconut-Shell Waste
by Aamna Bibi, Karen S. Santiago, Jui-Ming Yeh and Hsiu-Hui Chen
Polymers 2023, 15(3), 685; https://doi.org/10.3390/polym15030685 - 29 Jan 2023
Cited by 9 | Viewed by 4149 | Correction
Abstract
In this study, a high-performance H2S sensor that operates at RT was successfully fabricated using biodegradable electroactive polymer-polyurethane-urea (PUU) and PUU-activated-carbon (AC) composites as sensitive material. The PUU was synthesized through the copolymerization of biodegradable polycaprolactone diol and an electroactive amine-capped [...] Read more.
In this study, a high-performance H2S sensor that operates at RT was successfully fabricated using biodegradable electroactive polymer-polyurethane-urea (PUU) and PUU-activated-carbon (AC) composites as sensitive material. The PUU was synthesized through the copolymerization of biodegradable polycaprolactone diol and an electroactive amine-capped aniline trimer. AC, with a large surface area of 1620 m2/g and a pore diameter of 2 nm, was derived from coconut-shell waste. The composites, labeled PUU-AC1 and PUU-AC3, were prepared using a physical mixing method. The H2S-gas-sensing performance of PUU-AC0, PUU-AC1, and PUU-AC3 was evaluated. It was found that the PUU sensor demonstrated good H2S-sensing performance, with a sensitivity of 0.1269 ppm−1 H2S. The H2S-gas-sensing results indicated that the PUU-AC composites showed a higher response, compared with PUU-AC0. The enhanced H2S-response of the PUU-AC composites was speculated to be due to the high surface-area and abounding reaction-sites, which accelerated gas diffusion and adsorption and electron transfer. When detecting trace levels of H2S gas at 20 ppm, the sensitivity of the sensors based on PUU-AC1 and PUU-AC3 increased significantly. An observed 1.66 and 2.42 times’ enhancement, respectively, in the sensors’ sensitivity was evident, compared with PUU-AC0 alone. Moreover, the as-prepared sensors exhibited significantly high selectivity toward H2S, with minimal to almost negligible responses toward other gases, such as SO2, NO2, NH3, CO, and CO2. Full article
(This article belongs to the Section Polymer Composites and Nanocomposites)
Show Figures

Figure 1

13 pages, 2610 KB  
Article
The Influence of Long-Time Storage on the Structure and Properties of Multi-Block Thermoplastic Polyurethanes Based on Poly(butylene adipate) Diol and Polycaprolactone Diol
by Marina A. Gorbunova, Denis V. Anokhin, Ainur F. Abukaev and Dimitri A. Ivanov
Materials 2023, 16(2), 818; https://doi.org/10.3390/ma16020818 - 14 Jan 2023
Cited by 10 | Viewed by 4008
Abstract
A series of semi-crystalline multi-block thermoplastic polyurethanes (TPU), containing poly(butylene adipate) (PBA), polycaprolactone (PCL) and their equimolar mixture (PBA/PCL) as a soft segment was synthesized. The changes in the physical-mechanical and thermal properties of the materials observed in the course of a 36-month [...] Read more.
A series of semi-crystalline multi-block thermoplastic polyurethanes (TPU), containing poly(butylene adipate) (PBA), polycaprolactone (PCL) and their equimolar mixture (PBA/PCL) as a soft segment was synthesized. The changes in the physical-mechanical and thermal properties of the materials observed in the course of a 36-month storage at room temperature were related to the corresponding structural evolution. The latter was monitored using Fourier transform infrared spectroscopy (FTIR), differential scanning calorimetry (DSC), wide-angle X-ray diffraction (WAXS) and mechanical tests (tensile strength test). The effects of the composition of the soft segment on the phase separation and crystallization of the soft segment were analyzed in detail. It was found that the melting temperature of the crystalline phase increases with storage time, which is associated with hindering of the phase separation of the hard and soft segments of the TPU samples as it was detected by FTIR. Full article
(This article belongs to the Section Materials Chemistry)
Show Figures

Figure 1

15 pages, 5826 KB  
Article
Anti-Fouling and Anti-Biofilm Performance of Self-Polishing Waterborne Polyurethane with Gemini Quaternary Ammonium Salts
by Yi Zhang, Tao Ge, Yifan Li, Jinlin Lu, Hao Du, Ling Yan, Hong Tan, Jiehua Li and Yansheng Yin
Polymers 2023, 15(2), 317; https://doi.org/10.3390/polym15020317 - 7 Jan 2023
Cited by 16 | Viewed by 4880
Abstract
Biofilms are known to be difficult to eradicate and control, complicating human infections and marine biofouling. In this study, self-polishing and anti-fouling waterborne polyurethane coatings synthesized from gemini quaternary ammonium salts (GQAS), polyethylene glycol (PEG), and polycaprolactone diol (PCL) demonstrate excellent antibiofilm efficacy. [...] Read more.
Biofilms are known to be difficult to eradicate and control, complicating human infections and marine biofouling. In this study, self-polishing and anti-fouling waterborne polyurethane coatings synthesized from gemini quaternary ammonium salts (GQAS), polyethylene glycol (PEG), and polycaprolactone diol (PCL) demonstrate excellent antibiofilm efficacy. Their anti-fouling and anti-biofilm performance was confirmed by a culture-based method in broth media, with the biofilm formation factor against Gram-positive (S. aureus) and Gram-negative bacterial strains (E. coli) for 2 days. The results indicate that polyurethane coatings have excellent anti-biofilm activity when the content of GQAS reached 8.5 wt% against S. aureus, and 15.8 wt% against E. coli. The resulting waterborne polyurethane coatings demonstrate both hydrolytic and enzymatic degradation, and the surface erosion enzymatic degradation mechanism enables them with good self-polishing capability. The extracts cyto-toxicity of these polyurethane coatings and degradation liquids was also systematically studied; they could be degraded to non-toxic or low toxic compositions. This study shows the possibility to achieve potent self-polishing and anti-biofilm efficacy by integrating antibacterial GQAS, PEG, and PCL into waterborne polyurethane coatings. Full article
Show Figures

Graphical abstract

Back to TopTop