Fabrication and In Vitro Biological Assay of Thermo-Mechanically Tuned Chitosan Reinforced Polyurethane Composites
Abstract
:1. Introduction
2. Results and Discussion
2.1. Confirmation of Linkages of PU Composites by FTIR Analysis
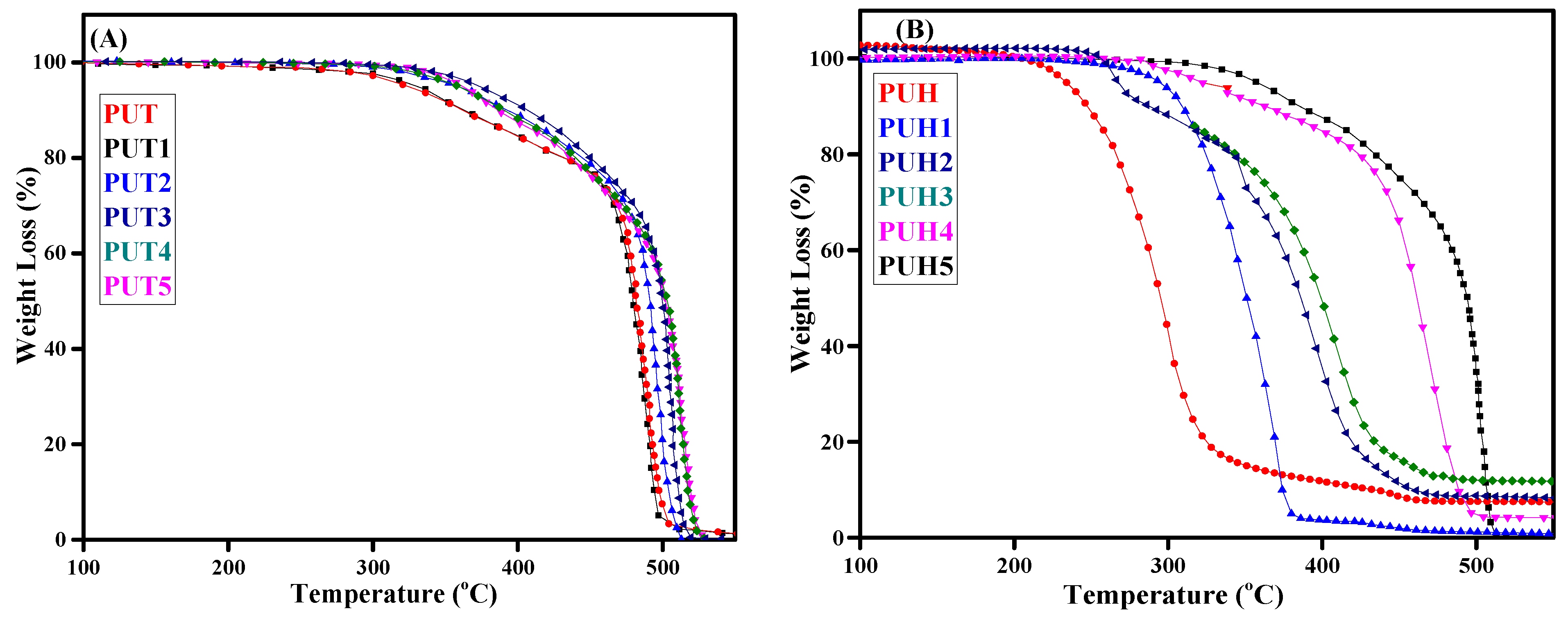
2.2. Estimation of Thermal Stability of PU Composites by TGA
2.3. Analysis of Mechanical/Viscoelastic Behavior of PU Composites by DMA
2.4. Solvent Absorption Tendency of PU Composites by the Swelling Test
2.5. Investigation of In Vitro Biological Activities Representing the Biocompatibility of Polyurethanes
2.5.1. Hemolytic Assay of PU Composites as a Biocompatibility Test
2.5.2. Biofilm Inhibition of PU Composites as the Biocompatibility Test
2.5.3. Phase Contrast Microscopic Analysis of PU Composites as the Biocompatibility Test
2.6. Scanning Electron Microscopy (SEM)
2.7. Conclusions
3. Experimental
3.1. Chemical
3.2. Fabrication of Chitosan-Reinforced Polyurethane Composites
3.3. Characterization
3.3.1. Fourier-Transform Infrared Spectroscopy (FTIR)
3.3.2. Thermal Gravimetric Analysis (TGA)
3.3.3. Dynamic Mechanical Analysis (DMA)
3.3.4. Swelling Test
3.3.5. Scanning Electron Microscopy (SEM)
3.3.6. Biological Activity Tests
Hemolytic Activity
Biofilm Inhibition Assay
Biofilm Inhibition through Phase Contrast Microscopy
Author Contributions
Funding
Institutional Review Board Statement
Informed Consent Statement
Data Availability Statement
Acknowledgments
Conflicts of Interest
Sample Availability
References
- Javaid, M.A.; Zia, K.M.; Iqbal, A.; Ahmad, S.; Akram, N.; Liu, X.; Nawaz, H.; Khosa, M.K.; Awais, M. Synthesis and molecular characterization of chitosan/starch blends based polyurethanes. Int. J. Biol. Macromol. 2020, 148, 415. [Google Scholar] [CrossRef] [PubMed]
- Akram, N.; Saleem, S.; Zia, K.M.; Saeed, M.; Usman, M.; Maqsood, S.; Mumtaz, N.; Khan, W.G. Stoichiometric-architectural impact on thermo-mechanical and morphological behavior of segmented Polyurethane elastomers. J. Polym. Res. 2021, 28, 238. [Google Scholar] [CrossRef]
- Khalid, M.Y.; Arif, Z.U.; Ahmed, W.; Arshad, H. Recent trends in recycling and reusing techniques of different plastic polymers and their composite materials. Sustain. Mater. Technol. 2022, 31, e00382. [Google Scholar] [CrossRef]
- Pandya, H. Fundamental Insight into Anionic Aqueous Polyurethane Dispersions. Adv. Ind. Eng. Polym. Res. 2020, 3, 102–110. [Google Scholar] [CrossRef]
- Sharmin, E.; Zafar, F. Polyurethane: An Introduction; INTECH: Vienna, Austria, 2012; pp. 3–16. [Google Scholar]
- Barikani, M.; Honarkar, H.; Barikani, M. Synthesis and characterization of polyurethane elastomers based on chitosan and poly ε-caprolactone. J. Appl. Polym. Sci. 2009, 112, 3157–3165. [Google Scholar] [CrossRef]
- Bhattacharyya, A.; Nasim, F.; Mishra, R.; Bharti, R.P.; Kundu, P.P. Polyurethane-incorporated chitosan/alginate core–shell nano-particles for controlled oral insulin delivery. J. Appl. Polym. Sci. 2018, 135, 46365. [Google Scholar] [CrossRef]
- Akram, N.; Usman, M.; Haider, S.; Akhtar, M.S.; Gul, K. Impact of Diisocyanates on Morphological and In Vitro Biological Efficacy of Eco-Friendly Castor-Oil-Based Water-Borne Polyurethane Dispersions. Polymers 2022, 14, 3701. [Google Scholar] [CrossRef]
- Arif, Z.U.; Khalid, M.Y.; Sheikh, M.F.; Zolfagharian, A.; Bodaghi, M. Biopolymeric sustainable materials and their emerging applications. J. Environ. Chem. Eng. 2022, 10, 108159. [Google Scholar] [CrossRef]
- Arif, Z.U.; Khalid, M.Y.; Noroozi, R.; Hossain, M.; Shi, H.H.; Tariq, A.; Ramakrishna, S.; Umer, R. Additive manufacturing of sustainable biomaterials for biomedical applications. Asian. J. Pharm. Sci. 2023, 18, 100812. [Google Scholar] [CrossRef]
- Khalid, M.Y.; Arif, Z.U. Novel biopolymer-based sustainable composites for food packaging applications: A narrative review, Food Packag. Shelf Life 2022, 33, 100892. [Google Scholar] [CrossRef]
- Giannakas, A.; Vlacha, M.; Salmas, C.; Leontiou, A.; Katapodis, P.; Stamatis, H.; Barkoula, N.-M.; Ladavos, A. Preparation, characterization, mechanical, barrier and antimicrobial properties of chitosan/PVOH/clay nanocomposites. Carbohydr. Polym. 2016, 140, 408–415. [Google Scholar] [CrossRef]
- Indumathi, M.P.; Rajarajeswari, G.R. Mahua oil-based polyurethane/chitosan/nano ZnO composite films for biodegradable food packaging applications. Int. J. Biol. Macromol. 2019, 124, 163–174. [Google Scholar]
- Javaid, M.A.; Younas, M.; Zafar, I.; Khera, R.A.; Zia, K.M.; Jabeen, S. Mathematical modeling and experimental study of mechanical properties of chitosan based polyurethanes: Effect of diisocyanate nature by mixture design approach. Int. J. Biol. Macromol. 2019, 124, 321–330. [Google Scholar] [CrossRef]
- Javaid, M.A.; Zia, K.M.; Ilyas, H.N.; Sidra; Yaqub, N.; Bhatti, I.A.; Rehan, M.; Shoaib, M.; Bahadur, A. Influence of chitosan/1, 4-butanediol blends on the thermal and surface behavior of polycaprolactone diol-based polyurethanes. Int. J. Biol. Macromol. 2019, 141, 1022–1034. [Google Scholar] [CrossRef] [PubMed]
- Karlsen, J.; Skaugrud, O. Excipient properties of chitosan. Manuf. Chem. 1991, 62, 18–19. [Google Scholar]
- Khan, M.S.J.; Kamal, T.; Ali, F.; Asiri, A.M.; Khan, S.B. Chitosan-coated polyurethane sponge supported metal nanoparticles for catalytic reduction of organic pollutants. Int. J. Biol. Macromol. 2019, 132, 772–783. [Google Scholar] [CrossRef]
- Hu, L.; Pu, Z.; Zhong, Y.; Liu, L.; Cheng, J.; Zhong, J. Effect of different carboxylic acid group contents on microstructure and properties of waterborne polyurethane dispersions. J. Polym. Res. 2020, 27, 1–9. [Google Scholar] [CrossRef]
- Lee, D.I.; Kim, S.H.; Lee, D.S. Synthesis of Self-Healing Waterborne Polyurethane Systems Chain Extended with Chitosan. Polymers 2019, 11, 503. [Google Scholar] [CrossRef] [PubMed]
- Mehravar, S.; Ballard, N.; Tomovska, R.; Asua, J.M. Polyurethane/Acrylic Hybrid Waterborne Dispersions: Synthesis, Properties and Applications. Ind. Eng. Chem. Res. 2019, 58, 20902–20922. [Google Scholar] [CrossRef]
- Li, Q.; Zhou, J.; Zhang, L. Structure and properties of the nanocomposite films of chitosan reinforced with cellulose whiskers. J. Polym. Sci. B Polym. Phys. 2009, 47, 1069–1077. [Google Scholar] [CrossRef]
- Liu, X.; Sun, J.; Zhang, S.; Guo, J.; Tang, W.; Li, H.; Gu, X. Effects of carboxymethyl chitosan microencapsulated melamine polyphosphate on the flame retardancy and water resistance of thermoplastic polyurethane. Polym. Degrad. Stab. 2019, 160, 168–176. [Google Scholar] [CrossRef]
- Liu, Y.; Cai, Z.; Sheng, L.; Ma, M.; Xu, Q. Influence of nanosilica on inner structure and performance of chitosan based films. Carbohydr. Polym. 2019, 212, 421–429. [Google Scholar] [CrossRef]
- Gawlikowski, M.; El, F.M.; Janiczak, K.; Zawidlak-Węgrzyńska, B.; Kustosz, R. In-Vitro Biocompatibility and Hemocompatibility Study of New PET Copolyesters Intended for Heart Assist Devices. Polymers 2020, 12, 2857. [Google Scholar] [CrossRef] [PubMed]
- Venegas-Cervera, G.A.; Oliva, A.I.; Avila-Ortega, A.; Cervantes-Uc, J.M.; Carrillo-Cocom, L.M.; Juarez-Moreno, J.A. Biocompatibility studies of polyurethane electrospun membranes based on arginine as chain extender. J. Mater. Sci. Mater. Med. 2021, 32, 104. [Google Scholar] [CrossRef]
- Xie, W.; Ouyang, R.; Wang, H.; Zhou, C. Construction and Biocompatibility of Three-Dimensional Composite Polyurethane Scaffolds in Liquid Crystal State. ACS Biomater. Sci. Eng. 2020, 6, 2312–2322. [Google Scholar] [CrossRef] [PubMed]
- Alyamaç, E.; Teke, E.; Kuru, C.; Seydibeyoğlu, M.Ö. Novel polyurethane foams with titanium powder and collagen for medical uses. Polym. Polym. Compos. 2022, 30, 1–11. [Google Scholar] [CrossRef]
- Baysal, G.; Aydın, H.; Hoşgören, H.; Uzan, S.; Karaer, H. Improvement of Synthesis and Dielectric Properties of Polyurethane/Mt-QASs+ (Novel Synthesis). J. Polym. Environ. 2016, 24, 139. [Google Scholar] [CrossRef]
- Zhao, Y.; Jing, J.; Chen, L.; Xu, F.; Hou, H. Current Research Status of Interface of Ceramic-Metal Laminated Composite Material for Armor Protection. Jinshu Xuebao/Acta Metall. Sin. 2021, 57, 1107. [Google Scholar]
- Li, M.; Guo, Q.; Chen, L.; Li, L.; Hou, H.; Zhao, Y. Microstructure and properties of graphene nanoplatelets reinforced AZ91D matrix composites prepared by electromagnetic stirring casting. J. Mater. Res. Technol. 2022, 21, 4138. [Google Scholar] [CrossRef]
- Shen, B.; Sun, S.; Zhu, L.; Yu, J.; Jiang, L. Intelligent Bio-FeS-loaded chitosan films with H2O2 rapid response for advanced waterproof and antibacterial food packaging. Food Packag. Shelf Life 2023, 37, 101083. [Google Scholar] [CrossRef]
- Cui, G.; Bai, Y.; Li, W.; Gao, Z.; Chen, S.; Qiu, N.; Satoh, T.; Kakuchi, T.; Duan, Q. Synthesis and characterization of Eu(III) complexes of modified d-glucosamine and poly(N-isopropylacrylamide). Mater. Sci. Eng. C 2017, 78, 603. [Google Scholar] [CrossRef] [PubMed]
- Yang, K.; Qin, N.; Yu, H.; Zhou, C.; Deng, H.; Tian, W.; Cai, S.; Wu, Z.; Guan, J. Correlating multi-scale structure characteristics to mechanical behavior of Caprinae horn sheaths. J. Mater. Res. Technol. 2022, 21, 2191. [Google Scholar] [CrossRef]
- Yang, K.; Guan, J.; Numata, K.; Wu, C.; Wu, S.; Shao, Z.; Ritchie, R.O. Integrating tough Antheraea pernyi silk and strong carbon fibres for impact-critical structural composites. Nat. Commun. 2019, 10, 3786. [Google Scholar] [CrossRef]
- Piotrowska-Kirschling, A.; Brzeska, J. The Effect of Chitosan on the Chemical Structure, Morphology, and Selected Properties of Polyurethane/Chitosan Composites. Polymers 2020, 12, 1205. [Google Scholar] [CrossRef] [PubMed]
- Ikram, R.; Mohamed Jan, B.; Abdul Qadir, M.; Sidek, A.; Stylianakis, M.M.; Kenanakis, G. Recent Advances in Chitin and Chitosan/Graphene-Based Bio-Nanocomposites for Energetic Applications. Polymers 2021, 13, 3266. [Google Scholar] [CrossRef]
- Ji, W.; Zhang, Q.; Alvarez-Borges, F.; Yuan, G.; Duijneveldt, J.V.; Briscoe, W.H.; Scarpa, F. Composite sepiolite/chitosan layer-by-layer coated flexible polyurethane foams with superior mechanical properties and energy absorption. Compos. Struct. 2023, 322, 117419. [Google Scholar] [CrossRef]
- Moustafa, H.; Darwish, N.A.; Youssef, A.M. Rational formulations of sustainable polyurethane/chitin/rosin composites reinforced with ZnO-doped-SiO2 nanoparticles for green packaging applications. Food Chem. 2022, 371, 131193. [Google Scholar] [CrossRef]
- Mahanta, A.K.; Mittal, V.; Singh, N.; Dash, D.; Malik, S.; Kumar, M.; Maiti, P. Polyurethane-Grafted Chitosan as New Biomaterials for Controlled Drug Delivery. Macromolecules 2015, 48, 2654. [Google Scholar] [CrossRef]
- Maamoun, A.A.; Mahmoud, A.A. Exploring the mechanical and bacterial prospects of flexible polyurethane foam with chitosan. Cellulose 2022, 29, 6323. [Google Scholar] [CrossRef]
- Akram, N.; Saeed, M.; Usman, M.; Mansha, A.; Anjum, F.; Zia, K.M.; Mahmood, I.; Mumtaz, N.; Khan, W.G. Infuence of graphene oxide contents on mechanical behavior of polyurethane composites fabricated with diferent diisocyanates. Polymers 2021, 13, 444. [Google Scholar] [CrossRef]
- Shahzadi, T.; Zaib, M.; Riaz, T.; Shehzadi, S.; Abbasi, M.A.; Shahid, M. Synthesis of Eco-friendly Cobalt Nanoparticles Using Celosia argentea Plant Extract and their Efficacy Studies as Antioxidant, Antibacterial, Hemolytic and Catalytical Agent. Arab. J. Sci. Eng. 2019, 44, 6435–6444. [Google Scholar] [CrossRef]
- Jhon, Y.K.; Cheong, I.W.; Kim, J.H. Chain Extension Study of Aqueous Polyurethane Dispersions. Colloids Surfaces A 2001, 179, 71–78. [Google Scholar] [CrossRef]
- Mostafavi, A.; Daemi, H.; Rajabi, S.; Baharvand, H. Highly tough and ultrafast self-healable dual physically crosslinked sulfated alginate-based polyurethane elastomers for vascular tissue engineering. Carbohydr. Polym. 2021, 257, 117632. [Google Scholar] [CrossRef] [PubMed]
- Mou, J.; Wang, X.; Yu, D.; Wang, S.; Miao, Y.; Liu, Q.; Chen, B. Practical Two-Step Chain Extension Method to Prepare Sulfonated Waterborne Polyurethanes based on Aliphatic Diamine Sulphonate. J. Appl. Polym. Sci. 2020, 138, e50353. [Google Scholar] [CrossRef]
- Isa, S.A.B.M.; Mohamed, R. Physical And Mechanical Properties Of Chitosan And Polyethylene Blend For Food Packaging Film. Int. J. Mech. Prod. Eng. 2015, 3, 10. [Google Scholar]
- Sun, L.; Jiang, H. Design, Preparation and Properties of Polyurethane Dispersions via Prepolymer Method. Molecules 2023, 28, 625. [Google Scholar] [CrossRef]
- Shahid, M.; Munir, H.; Akhter, N.; Akram, N.; Anjum, F.; Iqbal, Y.; Afzal, M. Nanoparticles encapsulation of Phoenix dactylifera (date palm) mucilage for colonic drug delivery. Int. J. Biol. Macromol. 2021, 191, 861–871. [Google Scholar] [CrossRef]
- Shahid, S.A.; Anwar, F.; Shahid, M.; Majeed, N.; Azam, M.; Bashir, M.; Amin, M.; Mahmmod, Z.; Shakir, I. Laser-assisted synthesis of Mn0.50Zn0.50Fe2O4 nanomaterial: Characterization and in-vitro inhibition activity towards Bacillus subtilis biofilm. J. Nanomater. 2015, 44, 1–6. [Google Scholar] [CrossRef]
- Madbouly, S.A. Waterborne Polyurethane Dispersions and Thin Films: Biodegradation and Antimicrobial Behaviors. Molecules 2021, 26, 961. [Google Scholar] [CrossRef]
- Susana, R.; Marita, D.; Carmen, R.L.; Ana, G. Biocompatibility of Chitosan Carriers with Application in Drug Delivery. J. Funct. Biomater. 2012, 3, 615. [Google Scholar]
- Qasim, N.; Shahid, M.; Yousaf, F.; Riaz, m.; Anjum, F.; Faryad, M.A.; Shabbir, R. Therapeutic Potential of Selected Varieties of Phoenix Dactylifera L. against Microbial Biofilm and Free Radical Damage to DNA, Dose. Response 2020, 18, 1559325820962609. [Google Scholar]
- Chen, J.; Dong, R.; Ge, J.; Guo, B.; Ma, P.X. Biocompatible, Biodegradable, and Electroactive Polyurethane-Urea Elastomers with Tunable Hydrophilicity for Skeletal Muscle Tissue Engineering. ACS Appl. Mater. Interfaces 2015, 7, 28273–28285. [Google Scholar] [CrossRef] [PubMed]
- Parcheta, P.; Głowińska, E.; Datta, J. Effect of bio-based components on the chemical structure, thermal stability and mechanical properties of green thermoplastic polyurethane elastomers. Eur. Polym. J. 2020, 123, 109422. [Google Scholar] [CrossRef]









| Sample Code | HS Contents a (wt %) | Optimum Swelling (%) | T @10% wt Loss (°C) | T @90% wt Loss (°C) | Complex Modulus′@25 °C (MPa) | Sample Code | HS Contents a * (wt %) | Optimum Swelling (%) | T @10% wt Loss (°C) | T @90% wt Loss (°C) | Complex Modulus′@25 °C (MPa) |
|---|---|---|---|---|---|---|---|---|---|---|---|
| PUT | 5.0 | 10.0 ± 0.9 | 351 | 494 | 83 | PUH | 5.0 | 8.5 ± 0.5 | 380 | 506 | 236 |
| PUT1 | 10.0 | 11.1 ± 1.0 | 353 | 497 | 46 | PUH1 | 10.0 | 12.5 ± 0.5 | 246 | 415 | 3.36 |
| PUT2 | 15.0 | 11.0 ± 1.0 | 384 | 503 | 135 | PUH2 | 15.0 | 16.6 ± 0.4 | 311 | 374 | 2.73 |
| PUT3 | 20.0 | 25.0 ± 0.8 | 388 | 518 | 221 | PUH3 | 20.0 | 25 ± 0.3 | 362 | 488 | 57.5 |
| PUT4 | 25.0 | 28.5 ± 1.0 | 386 | 517 | 322 | PUH4 | 25.0 | 28.5 ± 0.2 | 317 | 504 | 64.9 |
| PUT5 | 30.0 | 33.3 ± 1.0 | 403 | 510 | 64 | PUH5 | 30.0 | 33.3 ± 1.0 | 286 | 454 | 50.9 |
| Significant FTIR Peaks | |||||||||||
| N-H (str) 3400–3325 | CH2 (sym) 2882–2867 | CH2 (Asym) 2954–2882 | C=O (str) 1740–1709 | N-H (bend) 1631–1549 | C-H (wag) 960–940 | C-O 1124–1096 | W C–H (aromatic) 814–675 | υC–O–C 1060–1049 | υC–N 1231–1220 | H–C=O 1716–1700 | δC–H (aromatic) 1224–963 |
| Sample Code | Hemolytic Activity (%) | Inhibition of Biofilm Formation against E. coli (%) | Inhibition of Biofilm Formation against S. aureus (%) | Sample Code | Hemolytic Activity (%) | Inhibition of Biofilm Formation against E. coli (%) | Inhibition of Biofilm Formation against S. aureus (%) |
|---|---|---|---|---|---|---|---|
| PUT | 1.0 ± 0.5 | 1.4 ± 0.4 | 3.3 ± 0.8 | PUH | 1.7 ± 1.0 | 2.4 ± 0.5 | 3.3 ± 0.7 |
| PUT1 | 8.2 ± 1.0 | 19.3 ± 1.0 | 20.2 ± 1.3 | PUH1 | 5.2 ± 1.0 | 10.0 ± 1.0 | 13.5 ± 1.0 |
| PUT2 | 10.0 ± 1.0 | 24.6 ± 1.2 | 24.6 ± 1.4 | PUH2 | 8.2 ± 0.8 | 14.4 ± 1.0 | 19.3 ± 1.3 |
| PUT3 | 10.5 ± 0.9 | 25.6 ± 1.5 | 36.2 ± 1.8 | PUH3 | 9.4 ± 0.9 | 40.5 ± 1.4 | 27.0 ± 1.5 |
| PUT4 | 11.1 ± 1.0 | 35.2 ± 1.5 | 37.6 ± 1.9 | PUH4 | 14.1 ± 1.2 | 41.5 ± 1.5 | 29.9 ± 1.7 |
| PUT5 | 12.3 ± 1.5 | 45.8 ± 1.8 | 42.0 ± 1.9 | PUH5 | 15.8 ± 1.5 | 46.3 ± 1.8 | 46.3 ± 1.8 |
| Triton X-100(Positive Control) | 94.1 ± 0.28 | - | - | Triton X-100(Positive Control) | 94.1 ± 0.28 | - | - |
| PBS(Negative control) | 0.41 ± 0.10 | - | - | PBS(Negative control) | 0.41 ± 0.10 | - | - |
| Ciprofloxacin (positive control) | - | 82.65 ± 2.74 | 77.57 ± 2.37 | 82.65 ± 2.74 | 77.57 ± 2.37 |
| Series-I | Series-II | |||||||
|---|---|---|---|---|---|---|---|---|
| Sample Code | Composition CAPA/TDI/BD 1:2:1 NCO/OH | Chitosan (%) | HS Contents a (wt %) | SS Contents b (wt %) | Sample Code | Composition CAPA/HMDI/BD 1:2:1 NCO/OH | Chitosan (%) | HS Contents a* (wt %) |
| PUT | 1/1 | 0.0 | 5.0 | 95 | PUH | 1/1 | 0.0 | 5.0 |
| PUT1 | 1/1 | 1.0 | 10.0 | 90 | PUH1 | 1/1 | 1.0 | 10.0 |
| PUT2 | 1/1 | 2.0 | 15.0 | 85 | PUH2 | 1/1 | 2.0 | 15.0 |
| PUT3 | 1/1 | 3.0 | 20.0 | 80 | PUH3 | 1/1 | 3.0 | 20.0 |
| PUT4 | 1/1 | 4.0 | 25.0 | 75 | PUH4 | 1/1 | 4.0 | 25.0 |
| PUT5 | 1/1 | 5.0 | 30.0 | 70 | PUH5 | 1/1 | 5.0 | 30.0 |
Disclaimer/Publisher’s Note: The statements, opinions and data contained in all publications are solely those of the individual author(s) and contributor(s) and not of MDPI and/or the editor(s). MDPI and/or the editor(s) disclaim responsibility for any injury to people or property resulting from any ideas, methods, instructions or products referred to in the content. |
© 2023 by the authors. Licensee MDPI, Basel, Switzerland. This article is an open access article distributed under the terms and conditions of the Creative Commons Attribution (CC BY) license (https://creativecommons.org/licenses/by/4.0/).
Share and Cite
Akram, N.; Shahzadi, I.; Zia, K.M.; Saeed, M.; Ali, A.; Al-Salahi, R.; Abuelizz, H.A.; Verpoort, F. Fabrication and In Vitro Biological Assay of Thermo-Mechanically Tuned Chitosan Reinforced Polyurethane Composites. Molecules 2023, 28, 7218. https://doi.org/10.3390/molecules28207218
Akram N, Shahzadi I, Zia KM, Saeed M, Ali A, Al-Salahi R, Abuelizz HA, Verpoort F. Fabrication and In Vitro Biological Assay of Thermo-Mechanically Tuned Chitosan Reinforced Polyurethane Composites. Molecules. 2023; 28(20):7218. https://doi.org/10.3390/molecules28207218
Chicago/Turabian StyleAkram, Nadia, Iram Shahzadi, Khalid Mahmood Zia, Muhammad Saeed, Akbar Ali, Rashad Al-Salahi, Hatem A. Abuelizz, and Francis Verpoort. 2023. "Fabrication and In Vitro Biological Assay of Thermo-Mechanically Tuned Chitosan Reinforced Polyurethane Composites" Molecules 28, no. 20: 7218. https://doi.org/10.3390/molecules28207218
APA StyleAkram, N., Shahzadi, I., Zia, K. M., Saeed, M., Ali, A., Al-Salahi, R., Abuelizz, H. A., & Verpoort, F. (2023). Fabrication and In Vitro Biological Assay of Thermo-Mechanically Tuned Chitosan Reinforced Polyurethane Composites. Molecules, 28(20), 7218. https://doi.org/10.3390/molecules28207218

