Sign in to use this feature.

Years

Between: -

Subjects

remove_circle_outline
remove_circle_outline
remove_circle_outline
remove_circle_outline
remove_circle_outline
remove_circle_outline
remove_circle_outline
remove_circle_outline
remove_circle_outline

Journals

remove_circle_outline
remove_circle_outline
remove_circle_outline
remove_circle_outline
remove_circle_outline
remove_circle_outline
remove_circle_outline
remove_circle_outline
remove_circle_outline
remove_circle_outline
remove_circle_outline
remove_circle_outline
remove_circle_outline
remove_circle_outline

Article Types

Countries / Regions

remove_circle_outline
remove_circle_outline
remove_circle_outline
remove_circle_outline
remove_circle_outline

Search Results (778)

Search Parameters:
Keywords = plant refining

Order results
Result details
Results per page
Select all
Export citation of selected articles as:
13 pages, 748 KB  
Article
Dietary Trends and Lifestyle Habits Among University Students: Analysis of Consumption Patterns and Nutritional Risks
by Alejandra Vázquez-Aguilar, Juan Manuel Ballesteros-Torres, Anayansi Escalante-Aburto, César Huerta-Canseco, Karla Lizbet Jiménez-López and Cindy Joanna Caballero-Prado
Nutrients 2026, 18(3), 532; https://doi.org/10.3390/nu18030532 - 5 Feb 2026
Abstract
Background/Objectives: The global prevalence of overweight and obesity among young adults has doubled since 1975, primarily due to unhealthy dietary habits and sedentary lifestyles. Understanding dietary patterns (DPs) in this population is essential for designing effective prevention strategies. This study aimed to [...] Read more.
Background/Objectives: The global prevalence of overweight and obesity among young adults has doubled since 1975, primarily due to unhealthy dietary habits and sedentary lifestyles. Understanding dietary patterns (DPs) in this population is essential for designing effective prevention strategies. This study aimed to characterize the dietary patterns and diet quality of university students and to examine their physical activity and associated health risks. Methods: A convenience sample of 136 participants (77.9% females, 22.1% males) was recruited. Data on clinical history, lifestyle behaviors, and physical activity were collected using a structured questionnaire. Dietary intake was assessed using a food frequency questionnaire and three 24-h dietary recalls. Intake was analyzed by food groups, total energy, and macronutrient and fiber composition. Principal component analysis was applied to identify DPs. Results: Three major DPs were identified: Ultra-Processed Foods, Variety Foods, and Traditional Mixed Mexican. Overall, participants showed low consumption of fiber, legumes, and nuts, coupled with high intake of animal-based foods. The mean daily energy intake was 2278 kcal for men and 2008 kcal for women. Although participants demonstrated higher adherence to the Traditional Mixed Mexican pattern, a strong tendency toward the Ultra-Processed Foods pattern was observed, which is linked to an increased risk of chronic diseases and poor nutritional outcomes. Conclusions: The findings highlight the urgent need for targeted dietary interventions among university students. Strategies should emphasize increased intake of fiber-rich plant foods, moderation of protein consumption, and reduction in refined carbohydrates and added sugars to promote healthier dietary habits and prevent chronic disease development. Full article
Show Figures

Figure 1

22 pages, 2292 KB  
Article
Exploring Environmental Management Systems Effectiveness: Do Environmental Investments Effectively Lead to Performance Improvements?
by Stefano Castelluccio, Silvia Fiore and Claudio Comoglio
Environments 2026, 13(2), 85; https://doi.org/10.3390/environments13020085 - 3 Feb 2026
Abstract
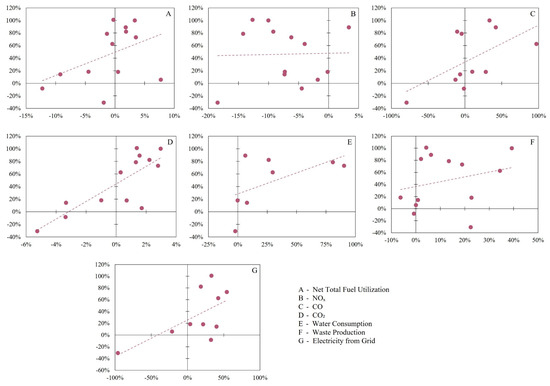
Industrial production is a cornerstone of modern economies but significantly impacts the environment. Environmental Management Systems (EMSs) aim to drive sustainable performance, yet their effectiveness remains questioned. This study quantitatively investigated the relationship between improvement objectives, allocated budgets, and environmental performance in 14 [...] Read more.
Industrial production is a cornerstone of modern economies but significantly impacts the environment. Environmental Management Systems (EMSs) aim to drive sustainable performance, yet their effectiveness remains questioned. This study quantitatively investigated the relationship between improvement objectives, allocated budgets, and environmental performance in 14 EMAS-registered natural gas thermal power plants in Italy (2014–2021). Using correlation analyses and a combined metric (CUF) encompassing improvement focus and plant utilization rate, the results show that investments alone did not directly drive performance improvements. However, increased plant utilization emerged as a critical factor, with strong correlations observed for CO2 emissions and fuel efficiency. The CUF metric outperformed standalone measures, underscoring the interplay between operational efficiency and targeted investments. This study offers new insights into the effectiveness of EMSs, demonstrating their potential to drive environmental performance improvements when combined with operational strategies. Future research should explore long-term impacts and qualitative factors, such as technological and managerial practices, to refine EMS effectiveness further. Full article
Show Figures

Figure 1

24 pages, 2957 KB  
Article
Development of a PM2.5 Emission Factor Prediction Model for Shrubs in the Xiao Xing’an Mountains Based on Coupling Effects of Physical Factors
by Tianbao Zhang, Xiaoying Han, Haifeng Gao, Hui Huang, Zhiyuan Wu, Yu Gu, Bingbing Lu and Zhan Shu
Forests 2026, 17(2), 199; https://doi.org/10.3390/f17020199 - 2 Feb 2026
Viewed by 136
Abstract
Over recent years, the intensity of forest fires has escalated, with wildfire-emitted pollutants exerting substantial impacts on the environment, ecosystems, and human well-being. This study developed a robust predictive framework to quantify wildfire-induced PM2.5 emission factors (EFs) using seven shrub species—Corylus [...] Read more.
Over recent years, the intensity of forest fires has escalated, with wildfire-emitted pollutants exerting substantial impacts on the environment, ecosystems, and human well-being. This study developed a robust predictive framework to quantify wildfire-induced PM2.5 emission factors (EFs) using seven shrub species—Corylus mandshurica, Eleutherococcus senticosus, Philadelphus schrenkii, Sorbaria sorbifolia, Syringa reticulata, Spiraea salicifolia, and Lonicera maackii. These species represent ecological cornerstones of Northeast Asian forests and hold global relevance as widely introduced or invasive taxa in North America and Europe. The novelty of this research lies in the integration of traditional statistical inference with machine learning to resolve the complex coupling between fuel traits and emissions. We conducted 1134 laboratory-controlled burns in the Liangshui National Nature Reserve, evaluating two continuous and three categorical variables. Initial screening via Analysis of Variance (ANOVA) and stepwise linear regression (Step-AIC) identified the primary drivers of emissions and revealed that interspecific differences among the seven shrubs did not significantly affect the EF (p = 0.0635). To ensure statistical rigor, a log-transformation was applied to the EF data to correct for right-skewness and heteroscedasticity inherent in raw observations. Linear Mixed-effects Models (LMMs) and Gradient Boosting Machines (GBMs) were subsequently employed to quantify factor effects and capture potential nonlinearities. The LMM results consistently identified burning type and plant part as the dominant determinants: smoldering combustion and leaf components exerted strong positive effects on PM2.5 emissions compared to flaming and branch components. Fuel load was positively correlated with emissions, while moisture content showed a significant negative effect. Notably, the model identified a significant negative quadratic effect for moisture content, indicating a non-linear inhibitory trend as moisture increases. While interspecific differences among the seven shrubs did not significantly affect EFs suggesting that physical fuel traits exert a more consistent influence than species-specific genetic backgrounds, complex interactions were captured. These include a negative synergistic effect between leaves and smoldering, and a positive interaction between moisture content and leaves that significantly amplified emissions. This research bridges the gap between physical fuel traits and chemical smoke production, providing a high-resolution tool for refining global biomass burning emission inventories and assisting international forest management in similar temperate biomes. Full article
Show Figures

Figure 1

12 pages, 1290 KB  
Review
Bridging the Structural Gap: A Methodological Review of Cryo-Electron Microscopy for Underrepresented Viruses
by Yoon Ho Park, Hyun Suk Jung, Sungjin Moon and Chihong Song
Viruses 2026, 18(2), 195; https://doi.org/10.3390/v18020195 - 1 Feb 2026
Viewed by 113
Abstract
Cryo-electron microscopy (cryo-EM) has revolutionized structural virology, enabling routine structure determination at 2–4 Å resolution, with exceptional cases reaching 1.56 Å. The structural diversity of viruses across vertebrate, plant, and insect hosts provides fundamental insights into infection mechanisms, host–pathogen coevolution, and therapeutic target [...] Read more.
Cryo-electron microscopy (cryo-EM) has revolutionized structural virology, enabling routine structure determination at 2–4 Å resolution, with exceptional cases reaching 1.56 Å. The structural diversity of viruses across vertebrate, plant, and insect hosts provides fundamental insights into infection mechanisms, host–pathogen coevolution, and therapeutic target identification. However, analysis of Electron Microscopy Data Bank entries reveals notable disparities in structural coverage: among 11,717 eukaryotic virus structures (excluding bacteriophages), vertebrate viruses constitute 97.6% (n = 11,432) of deposited entries, while plant viruses (1.0%; n = 117) and insect viruses (1.4%; n = 168) remain significantly underrepresented. This bias stems from distinct technical barriers including size limitations for giant viruses exceeding 200 nm, the loss of asymmetric information during symmetry-imposed processing, and the morphological complexity of filamentous and pleomorphic viruses. Each barrier has driven the development of specialized methodological solutions: block-based local refinement overcomes through-focus variations in giant viruses, cryo-electron tomography (cryo-ET) validates and reveals asymmetric features lost in symmetrized reconstructions, and subtomogram averaging enables structural analysis of pleomorphic assemblies. This review synthesizes recent methodological advances, critically evaluates their capacity to address specific technical barriers, and proposes strategies for expanding structural investigations across underrepresented host systems to achieve comprehensive understanding of viral structural biology. Full article
(This article belongs to the Special Issue Microscopy Methods for Virus Research)
Show Figures

Graphical abstract

20 pages, 4296 KB  
Article
Occlusion-Aware Multi-Object Tracking in Vineyards via SAM-Based Visibility Modeling
by Yanan Wang, Hagsong Kim, Muhammad Fayaz, Lien Minh Dang, Hyeonjoon Moon and Kang-Won Lee
Electronics 2026, 15(3), 621; https://doi.org/10.3390/electronics15030621 - 1 Feb 2026
Viewed by 109
Abstract
Multi-object tracking (MOT) in vineyard environments remains challenging due to frequent and long-term occlusions caused by dense foliage, overlapping grape clusters, and complex plant structures. These characteristics often result in identity switches and fragmented trajectories when using conventional tracking methods. This paper proposes [...] Read more.
Multi-object tracking (MOT) in vineyard environments remains challenging due to frequent and long-term occlusions caused by dense foliage, overlapping grape clusters, and complex plant structures. These characteristics often result in identity switches and fragmented trajectories when using conventional tracking methods. This paper proposes OATSAM-Track, an occlusion-aware multi-object tracking framework designed for vineyard fruit monitoring. The framework integrates lightweight MobileSAM-assisted instance segmentation to estimate target visibility and occlusion severity. Occlusion-state reasoning is further incorporated into temporal association, appearance memory updating, and identity recovery. An adaptive temporal memory mechanism selectively updates appearance features according to predicted occlusion states, reducing identity drift under partial and severe occlusions. To facilitate occlusion-aware evaluation, an extended vineyard multi-object tracking dataset (GrapeOcclusionMOTS) with SAM-refined instance masks and fine-grained occlusion annotations is constructed. The experimental results demonstrate that OATSAM-Track improves identity consistency and tracking robustness compared to representative baseline trackers, particularly under medium and severe occlusion scenarios. These results indicate that explicit occlusion modeling is beneficial for reliable fruit monitoring in precision agriculture. Full article
Show Figures

Figure 1

33 pages, 5754 KB  
Article
Novel Freshwater Ascomycetes from Submerged Plant Debris in the Zújar River (Extremadura Community, Spain)
by María Barnés-Guirado, Alberto Miguel Stchigel and José Francisco Cano-Lira
J. Fungi 2026, 12(2), 102; https://doi.org/10.3390/jof12020102 - 31 Jan 2026
Viewed by 148
Abstract
Freshwater fungi remain insufficiently documented in the Mediterranean river systems despite their key roles in organic-matter turnover. Here, we surveyed filamentous fungi associated with submerged decaying plant debris in the Zújar River (Extremadura, southwestern Spain) using a culture-based approach combined with phenotypic characterization [...] Read more.
Freshwater fungi remain insufficiently documented in the Mediterranean river systems despite their key roles in organic-matter turnover. Here, we surveyed filamentous fungi associated with submerged decaying plant debris in the Zújar River (Extremadura, southwestern Spain) using a culture-based approach combined with phenotypic characterization and multilocus phylogenetic analyses (ITS, LSU, rpb1, rpb2 and tef-1α). A total of 49 strains were isolated and identified, revealing a diverse assemblage of Ascomycota. Five taxa are described as new to science: Arachnopeziza torrehermosensis, Conioscypha clavatispora, Neoanungitea torrehermosensis, Ophioceras diversisporum and Polyscytalum submersum. Notably, Polyscytalum submersum represents the first record of the genus for the Iberian Peninsula, while Arachnopeziza torrehermosensis, Neoanungitea torrehermosensis and Ophioceras diversisporum constitute the first records of their respective genera for Spain (and Neoanungitea torrehermosensis also for Europe). In addition, phylogenetic evidence supports taxonomic refinements within the orders Magnaporthales and Conioscyphales, including the establishment of Protophioceras to accommodate Ophioceras sichuanense and the establishment of Protoconioscypha for two previously misclassified Conioscypha species. Overall, this first mycological report of submerged plant debris in the Zújar River substantially expands knowledge of freshwater fungal diversity in the region and provides a refined framework for the taxonomy of several lineages of aquatic-associated ascomycetes. Full article
(This article belongs to the Special Issue Ascomycota: Diversity, Taxonomy and Phylogeny, 3rd Edition)
Show Figures

Figure 1

35 pages, 5035 KB  
Review
Progress in the Expression, Purification, and Characterization of Recombinant Collagen
by Youlin Deng, Jiyao Kang, Xiaoqun Duan, Yingjun Kong, Weiquan Xie, Dongjie Lei, Tingchun Wang and Guifeng Zhang
Bioengineering 2026, 13(2), 159; https://doi.org/10.3390/bioengineering13020159 - 28 Jan 2026
Viewed by 180
Abstract
Synthesized by expressing natural collagen sequences in specific hosts, recombinant collagen exhibits multiple advantages, encompassing a higher content of bioactive domains, enhanced antioxidant activity, the absence of viral pathogens, favorable hydrophilicity, reproducible production, and low immunogenicity. Consequently, it has found extensive use in [...] Read more.
Synthesized by expressing natural collagen sequences in specific hosts, recombinant collagen exhibits multiple advantages, encompassing a higher content of bioactive domains, enhanced antioxidant activity, the absence of viral pathogens, favorable hydrophilicity, reproducible production, and low immunogenicity. Consequently, it has found extensive use in applications ranging from biomaterials and pharmaceuticals to skincare. This review systematically explores various expression systems for recombinant collagen, including those utilizing Escherichia coli, Pichia pastoris, plants, insect baculovirus, and mammalian cells. It provides a detailed comparison of their differences and commonalities in terms of production efficiency, post-translational modification capability, and cost-effectiveness. Key separation and purification techniques for recombinant collage-notably precipitation, affinity chromatography, ion-exchange chromatography, and gel filtration chromatography are further introduced, with an in-depth analysis of the applicable scenarios and purification outcomes for each method. Finally, the review comprehensively summarizes the characterization methods for both the physicochemical properties and biological functions of recombinant collagen. For physicochemical properties, techniques covered include scanning electron microscopy, micro-differential thermal analysis, circular dichroism spectroscopy, SDS-PAGE, mass spectrometry, and Fourier-transform infrared spectroscopy. For biological functions, the focus is on its roles and the corresponding assessment methods in processes such as cell proliferation, migration, adhesion, and wound healing. Building upon this comprehensive overview, current challenges facing recombinant collagen are identified, and future directions are proposed, emphasizing the need to reduce R&D costs, refine testing methods for cosmetic products, and improve safety evaluation protocols to advance the field. Full article
(This article belongs to the Topic Advances in Biomaterials—2nd Edition)
10 pages, 812 KB  
Proceeding Paper
Hybrid Quantum-Fuzzy Control for Intelligent Steam Heating Management in Thermal Power Plants
by Noilakhon Yakubova, Ayhan Istanbullu, Isomiddin Siddiqov and Komil Usmanov
Eng. Proc. 2025, 117(1), 33; https://doi.org/10.3390/engproc2025117033 - 26 Jan 2026
Viewed by 110
Abstract
In recent years, intelligent control of complex thermodynamic systems has gained increasing attention due to global demands for higher energy efficiency and reduced environmental impact in industrial settings. This study explores the integration of quantum control methodologies-grounded in established principles of quantum mechanics—into [...] Read more.
In recent years, intelligent control of complex thermodynamic systems has gained increasing attention due to global demands for higher energy efficiency and reduced environmental impact in industrial settings. This study explores the integration of quantum control methodologies-grounded in established principles of quantum mechanics—into the automation of thermal processes in power plant operations. Specifically, it investigates a hybrid quantum-fuzzy control system for managing steam heating processes, a critical subsystem in thermal power generation. Unlike conventional control strategies that often struggle with nonlinearity, time delays, and parameter uncertainty, the proposed method incorporates quantum-inspired optimization algorithms to enhance adaptability and robustness. The quantum component, based on recognized models of coherent control and quantum interference, is utilized to refine the inference mechanisms within the fuzzy logic framework, allowing more precise handling of state transitions in multivariable environments. A simulation model was constructed using validated physical parameters of a pilot-scale steam heating unit, and the methodology was tested against baseline scenarios with conventional proportional-integral-derivative (PID) control. Experimental protocols and statistical analysis confirmed measurable improvements: up to 25% reduction in fuel usage under specific operational conditions, with an average of 1 to 2% improvement in energy efficiency. The results suggest that quantum-enhanced intelligent control offers a feasible pathway for bridging the gap between quantum theoretical models and macroscopic thermal systems, contributing to the development of more energy-resilient industrial automation solutions. Full article
Show Figures

Figure 1

18 pages, 555 KB  
Article
Formulation and Nutritional Evaluation of Instant Vegan Mushroom (Pleurotus ostreatus) Soup Powder Enriched with Moringa (Moringa oleifera), Mung Bean (Vigna radiata), and Pumpkin (Cucurbita maxima)
by Chamodi Pamalka, Melani Raymond, Nadeera Gayan, Iain A. Brownlee and Geethika Savindhi Gammeddegoda Liyanage
Foods 2026, 15(3), 445; https://doi.org/10.3390/foods15030445 - 26 Jan 2026
Viewed by 349
Abstract
Although plant-based convenience foods have gained significant market share, many are high in fat, salt, and sugar while low in nutrients. The current study aimed to develop a vegan oyster mushroom soup powder enriched with moringa, mung bean, and pumpkin. These ingredients were [...] Read more.
Although plant-based convenience foods have gained significant market share, many are high in fat, salt, and sugar while low in nutrients. The current study aimed to develop a vegan oyster mushroom soup powder enriched with moringa, mung bean, and pumpkin. These ingredients were chosen for their high nutritional value and availability. Four soup formulas, each containing varying amounts of moringa (0%, 1%, 2%, and 3%), were prepared, and a sensory evaluation, proximate analysis, and total aerobic plate count were carried out. The 1% moringa formulation showed the highest consumer acceptance. In this formula, moisture, ash, protein, fat, fiber, carbohydrate, and energy content were reported as 13.6%, 7.6%, 16.3%, 2.2%, 9.8%, 50.5%, and 287 kcal/100 g, respectively. The novel powdered soup product had higher amounts of phenolic compounds, total antioxidants, and iron compared to local, commercially available equivalents. Total aerobic plate counts remained below 105 CFU/g; a common acceptability limit for dried soups, throughout the 4-month storage study under ambient conditions. Overall, the developed soup powder demonstrated superior nutritional quality and could support consumers in meeting their daily nutrient requirements. With further refinement, particularly by optimizing the drying process to better retain heat-sensitive nutrients, this product shows potential as an affordable and nutritious option to address inadequate protein intake and iron deficiency in Sri Lanka. Full article
(This article belongs to the Special Issue Edible Mushroom: Nutritional Properties and Its Utilization in Foods)
Show Figures

Figure 1

14 pages, 259 KB  
Review
The Role of Plant-Based Diets for Cancer Survivors and Planetary Health
by Kaitlyn H. Kwok, Thomas E. Hedley and Caroline J. Mariano
Curr. Oncol. 2026, 33(2), 72; https://doi.org/10.3390/curroncol33020072 - 26 Jan 2026
Viewed by 266
Abstract
Purpose: A growing body of evidence has emerged on the role of diet for health outcomes in cancer survivors. Patients transitioning to post-treatment care may seek guidance on dietary changes, and summaries of the evidence for dietary patterns recommended by guidelines can support [...] Read more.
Purpose: A growing body of evidence has emerged on the role of diet for health outcomes in cancer survivors. Patients transitioning to post-treatment care may seek guidance on dietary changes, and summaries of the evidence for dietary patterns recommended by guidelines can support providers in effectively answering questions. Increasing evidence suggests that food choices impact planetary health. Plant-based diets are one eating pattern that may improve patient outcomes and planetary health. Methods: We performed a literature review and used narrative reporting to summarize evidence for plant-based diets and offer specific guidance for breast, colorectal, and prostate cancer patients who are post-diagnosis. Specifically, we reviewed impacts on recurrence, all-cause, and cancer-specific mortality. Results: Increased fibre intake by consuming foods like fruits, vegetables, and whole grains is associated with a decreased risk of breast cancer-specific and all-cause mortality, as well as reduced colon cancer-specific mortality. Replacing refined grains with whole grains is associated with improved disease-free survival for colon cancer survivors. Higher tree nut consumption is associated with improved disease-free survival for breast, colorectal, and prostate cancer survivors. Soy is safe to consume for breast cancer survivors and is associated with a reduced risk of recurrence. Conversely, more Western dietary patterns high in processed meat intake are associated with an increased risk of colon cancer recurrence and prostate cancer mortality. There are also environmental benefits of a shift towards plant-based diets to address the adverse health outcomes associated with climate change and its potential impact on cancer care delivery as previously outlined in a 2024 ASCO policy statement. Conclusions: Based on the best existing evidence, providers can suggest that patients consider plant-based dietary patterns in the post-treatment phase of their cancer care to support health outcomes and planetary health. Full article
(This article belongs to the Section Palliative and Supportive Care)
Show Figures

Graphical abstract

13 pages, 1405 KB  
Article
Biorational Pesticides for the Control of Brevipalpus yothersi (Acari: Tenuipalpidae) and Their Compatibility with Predatory Mites
by Poliane S. Argolo, Amy L. Roda, Alexandra M. Revynthi and Daniel Carrillo
Agronomy 2026, 16(3), 291; https://doi.org/10.3390/agronomy16030291 - 24 Jan 2026
Viewed by 171
Abstract
Recently, ornamental plants in urban and unmanaged landscapes were found to be infected with several plant viruses transmitted by Brevipalpus mites. The main purpose of this research was to identify suitable tools for managing Brevipalpus yothersi in these environments by evaluating the efficacy, [...] Read more.
Recently, ornamental plants in urban and unmanaged landscapes were found to be infected with several plant viruses transmitted by Brevipalpus mites. The main purpose of this research was to identify suitable tools for managing Brevipalpus yothersi in these environments by evaluating the efficacy, persistence, and rainfastness of selected biorational pesticides, as well as their compatibility with the predatory mite Amblyseius largoensis. We found that horticultural oils (i.e., petroleum distillates with varying levels of refinement, marketed as mineral or paraffinic oils) and Beauveria bassiana (Strain GHA) suppressed all developmental stages of B. yothersi at levels comparable to spirodiclofen, a commonly used acaricide for controlling B. yothersi. The paraffinic oil provided the best overall performance across the rainfastness, residuality, and greenhouse evaluations. This food-grade horticultural oil is exempt from residue tolerances and could be readily adopted for B. yothersi control in urban landscapes. Paraffinic oil had adverse effects on predatory mites. However, predator populations recovered after paraffinic oil application, and the combined treatment of paraffinic oil + A. largoensis ultimately provided better control than either the predators or the oil alone. When properly applied, horticultural oils provide a practical option for controlling populations of viruliferous Brevipalpus mites in urban and unmanaged landscapes. Full article
(This article belongs to the Special Issue Integrated Mite Management in Agriculture)
Show Figures

Figure 1

25 pages, 4273 KB  
Article
A Multi-Task Learning and GCN-Transformer-Based Forecasting Method for Day-Ahead Power of Wind-Solar Clusters
by Jianhong Jiang, Yi He, Yumo Zhang, Jian Yan, Zhiwei Lv, Zifan Liu, Haonan Dai and Zhao Zhen
Electronics 2026, 15(2), 462; https://doi.org/10.3390/electronics15020462 - 21 Jan 2026
Viewed by 109
Abstract
With the rapid increase in renewable energy penetration and the expansion of multi-regional interconnected power systems, there is a growing need to forecast the power output of renewable energy power plant clusters within a region. Existing methods primarily utilize spatio-temporal correlations between stations [...] Read more.
With the rapid increase in renewable energy penetration and the expansion of multi-regional interconnected power systems, there is a growing need to forecast the power output of renewable energy power plant clusters within a region. Existing methods primarily utilize spatio-temporal correlations between stations to directly predict cluster output, but they still have the following shortcomings: (1) lack of analysis and utilization of the similar output characteristics between wind and solar power stations; and (2) inadequate integration of individual plant characteristics and adaptability across different prediction spatial scales. Therefore, this study proposes a method for forecasting and correcting daily power generation zones of wind–solar clusters based on output similarity clustering. First, the output similarity characteristics of wind and solar plants within the cluster are evaluated, and a similarity matrix is constructed to cluster the plants into sub-clusters. Second, a single-site power prediction model based on the BiLSTM model and multi-task learning is constructed to aggregate preliminary power prediction results from individual sites within sub-clusters. Finally, a cluster power prediction correction model based on the GCN-Transformer model is developed to refine preliminary predictions using spatio-temporal correlations between sub-clusters. Simulation results demonstrate that the proposed method, through its integrated approach combining clustering partitioning, multi-task learning, and spatio-temporal correlation correction within a comprehensive forecasting workflow, achieves improvements of 15.2323%, 19.0581%, and 0.0283% over the baseline GCN model in terms of MAE, RMSE, and R-score, respectively. This effectively enhances the accuracy of power forecasting for wind-solar power plant clusters. Full article
Show Figures

Figure 1

30 pages, 1039 KB  
Review
Molecular Identification and RNA-Based Management of Fungal Plant Pathogens: From PCR to CRISPR/Cas9
by Rizwan Ali Ansari, Younes Rezaee Danesh, Ivana Castello and Alessandro Vitale
Int. J. Mol. Sci. 2026, 27(2), 1073; https://doi.org/10.3390/ijms27021073 - 21 Jan 2026
Viewed by 204
Abstract
Fungal diseases continue to limit global crop production and drive major economic losses. Conventional diagnostic and control approaches depend on time-consuming culture-based methods and broad-spectrum chemicals, which offer limited precision. Advances in molecular identification have changed this landscape. PCR, qPCR, LAMP, sequencing and [...] Read more.
Fungal diseases continue to limit global crop production and drive major economic losses. Conventional diagnostic and control approaches depend on time-consuming culture-based methods and broad-spectrum chemicals, which offer limited precision. Advances in molecular identification have changed this landscape. PCR, qPCR, LAMP, sequencing and portable platforms enable rapid and species-level detection directly from plant tissue. These tools feed into RNA-based control strategies, where knowledge of pathogen genomes and sRNA exchange enables targeted suppression of essential fungal genes. Host-induced and spray-induced gene silencing provide selective control without the long-term environmental costs associated with chemical use. CRISPR/Cas9 based tools now refine both diagnostics and resistance development, and bioinformatics improves target gene selection. Rising integration of artificial intelligence indicates a future in which disease detection, prediction and management connect in near real time. The major challenge lies in limited field validation and the narrow range of fungal species with complete molecular datasets, yet coordinated multi-site trials and expansion of annotated genomic resources can enable wider implementation. The combined use of molecular diagnostics and RNA-based strategies marks a shift from disease reaction to disease prevention and moves crop protection towards a precise, sustainable and responsive management system. This review synthesizes the information related to current molecular identification tools and RNA-based management strategies, and evaluates how their integration supports precise and sustainable approaches for fungal disease control under diverse environmental settings. Full article
(This article belongs to the Special Issue Fungal Genetics and Functional Genomics Research)
Show Figures

Figure 1

16 pages, 9211 KB  
Article
Inorganic Arsenic in Rice-Based Beverages: Occurrence in Products Available on the Italian Market and Dietary Exposure Assessment
by Marilena D’Amato, Anna Chiara Turco, Teresa D’Amore, Francesco Vitale, Federico Marini, Paolo Stacchini and Angela Sorbo
Foods 2026, 15(2), 383; https://doi.org/10.3390/foods15020383 - 21 Jan 2026
Viewed by 276
Abstract
Arsenic occurs in food in both inorganic (iAs) and organic (oAs) forms. Inorganic arsenic is highly toxic and classified as carcinogenic to humans, whereas oAs species, such as arsenobetaine (AB), monomethylarsonic acid (MMA), and dimethylarsinic acid (DMA), generally exhibit lower toxicity. Rice and [...] Read more.
Arsenic occurs in food in both inorganic (iAs) and organic (oAs) forms. Inorganic arsenic is highly toxic and classified as carcinogenic to humans, whereas oAs species, such as arsenobetaine (AB), monomethylarsonic acid (MMA), and dimethylarsinic acid (DMA), generally exhibit lower toxicity. Rice and rice-based products represent major contributors to dietary iAs exposure. Within this context, the present study provides an updated assessment of the occurrence of iAs and oAs in rice-based beverages available on the Italian market. A method for the simultaneous determination of iAs, AB, DMA, and MMA was developed and validated, and it exhibits adequate sensitivity to ensure robust occurrence data, eliminating left-censoring for iAs. A comprehensive analysis of twenty-five representative rice-based beverages was conducted, revealing that the contamination profiles exhibited a high degree of homogeneity, with iAs as the predominant species. All samples complied with the European maximum level for iAs in non-alcoholic rice-based beverages. When combined with recent Italian consumption data, these results enabled age-specific dietary exposure assessment. Although rice drinks contribute marginally to overall population exposure, estimated intakes for regular consumers in early childhood are associated with a small margin of exposure, raising potential concern for vulnerable subgroups. The increasing diversification of dietary habits and the rising consumption of plant-based beverages point to the necessity of continuous monitoring of iAs. Ongoing efforts in monitoring studies, updated food consumption surveys, and effective risk communication are essential to refine exposure assessment and thereby enhance public health protection. Full article
Show Figures

Graphical abstract

24 pages, 1456 KB  
Review
Genome Editing and Integrative Breeding Strategies for Climate-Resilient Grapevines and Sustainable Viticulture
by Carmine Carratore, Alessandra Amato, Mario Pezzotti, Oscar Bellon and Sara Zenoni
Horticulturae 2026, 12(1), 117; https://doi.org/10.3390/horticulturae12010117 - 21 Jan 2026
Viewed by 271
Abstract
Climate change introduces a critical threat to global viticulture, compromising grape yield, quality, and the long-term sustainability of Vitis vinifera cultivation. Addressing these challenges requires innovative strategies to enhance grapevine resilience. The integration of multi-omics data, predictive breeding, and physiological insights into ripening [...] Read more.
Climate change introduces a critical threat to global viticulture, compromising grape yield, quality, and the long-term sustainability of Vitis vinifera cultivation. Addressing these challenges requires innovative strategies to enhance grapevine resilience. The integration of multi-omics data, predictive breeding, and physiological insights into ripening and stress responses is refining our understanding of grapevine adaptation mechanisms. In parallel, recent advances in plant biotechnology have accelerated progress from marker-assisted and genomic selection to targeted genome editing, with CRISPR/Cas systems and other New Genomic Techniques (NGTs) offering advanced precision tools for sustainable improvement. This review synthesizes the major achievements in grapevine genetic improvement over time, tracing the evolution of strategies from traditional breeding to modern genome editing technologies. Overall, we highlight how combining genetics, biotechnology, and physiology is reshaping grapevine breeding towards more sustainable viticulture. The convergence of these disciplines establishes a new integrated framework for developing resilient, climate-adapted grapevines that maintain yield and quality while preserving varietal identity in the face of environmental change. Full article
Show Figures

Figure 1

Back to TopTop