Next Article in Journal
Assessing Virus Concentration Methods for Norovirus and SARS-CoV-2 Detection in Wastewater
Previous Article in Journal
The Association Between Serum Perfluorooctanoic Acid (PFOA) Above the Intervention Threshold Level and Vaccine Antibody Concentrations in an Environmentally Exposed Population
 
 
Font Type:
Arial Georgia Verdana
Font Size:
Aa Aa Aa
Line Spacing:
Column Width:
Background:
Article

Exploring Environmental Management Systems Effectiveness: Do Environmental Investments Effectively Lead to Performance Improvements?

DIATI, Department of Engineering for Environment, Land, and Infrastructures, Politecnico di Torino, Corso Duca degli Abruzzi 24, 10129 Turin, Italy
*
Author to whom correspondence should be addressed.
Environments 2026, 13(2), 85; https://doi.org/10.3390/environments13020085
Submission received: 23 November 2025 / Revised: 8 January 2026 / Accepted: 1 February 2026 / Published: 3 February 2026

Abstract

Industrial production is a cornerstone of modern economies but significantly impacts the environment. Environmental Management Systems (EMSs) aim to drive sustainable performance, yet their effectiveness remains questioned. This study quantitatively investigated the relationship between improvement objectives, allocated budgets, and environmental performance in 14 EMAS-registered natural gas thermal power plants in Italy (2014–2021). Using correlation analyses and a combined metric (CUF) encompassing improvement focus and plant utilization rate, the results show that investments alone did not directly drive performance improvements. However, increased plant utilization emerged as a critical factor, with strong correlations observed for CO2 emissions and fuel efficiency. The CUF metric outperformed standalone measures, underscoring the interplay between operational efficiency and targeted investments. This study offers new insights into the effectiveness of EMSs, demonstrating their potential to drive environmental performance improvements when combined with operational strategies. Future research should explore long-term impacts and qualitative factors, such as technological and managerial practices, to refine EMS effectiveness further.

1. Introduction

Industrial production is a cornerstone of modern economies, but it exerts profound environmental impacts. The processes involved in manufacturing, energy production, and resource extraction generate significant emissions, deplete natural resources, and contribute to widespread pollution. For instance, the energy used in industries and industrial processes account for approximately 33% of greenhouse gas (GHG) emissions, where industry is the fastest growing source since 1990 (+225%) [1]. The energy sector is emblematic of these challenges, as fossil fuels provide 79% of the global energy supply [2] and contribute to 28% of GHG emissions worldwide [3].
The escalating urgency of the climate crisis underscores the necessity of transitioning towards sustainable industrial practices. Investments in sustainability are needed to mitigate impacts on the environment and can often lead to significant benefits for the companies, offering long-term cost savings through enhanced efficiency and reduced regulatory penalties. Companies that integrate sustainability into their operations frequently benefit from improved reputation, increased competitiveness, and access to green financing opportunities [4,5]. In the context of energy production, such investments can include adopting cleaner technologies, improving energy efficiency, and transitioning to renewable energy sources. The prioritization of environmental sustainability by industries is paramount to fulfill global commitments such as the Paris Agreement, which aims to limit global warming to below 2 °C above pre-industrial levels [6]. Moreover, environmental sustainable practices contribute to the broader objectives of the United Nations Sustainable Development Goals (SDGs), particularly those targeting climate action (SDG 13) and sustainable consumption and production patterns (SDG 12) [7].
Environmental Management Systems (EMSs) serve as strategic tools for industries striving to enhance their sustainability. By providing a structured framework for identifying, monitoring, and mitigating environmental impacts, EMSs facilitate continuous improvement in environmental performance. They enable organizations to systematically address regulatory requirements, minimize resource consumption, and reduce waste and emissions. Two prominent EMS frameworks are ISO 14001 [8] and the Eco-Management and Audit Scheme (EMAS) [9]. EMAS, a voluntary European Union scheme, mandates organizations to publish validated Environmental Statements (ESs) that detail relevant environmental performance. These independently verified reports ensure data accuracy, transparency, and accountability, allowing stakeholders to assess organizations’ environmental progress.
The effectiveness of EMS adoption in driving environmental performance improvements has been the subject of extensive academic debate, where multiple reviews demonstrated mixed results [10,11,12,13,14]. These inconsistencies stem from variations in defining and measuring environmental performance, reliance on self-reported or biased data from managers, and limited consideration of contextual factors such as organizational commitment, stakeholder perceptions, and cultural differences [10,12,13].
Some studies assert that EMSs contribute to substantial environmental benefits. For instance, researchers have observed that EMS adoption enhances corporate sustainability [15], leads to lower air emission [16,17], minimizes waste production [18], improves overall environmental performance [19,20,21], and leads to compliance with legal environmental requirements [22,23].
However, the relationship between EMS adoption and performance improvements is not unequivocal. Critics argue that the implementation of EMSs does not guarantee tangible environmental benefits, with some organizations adopting EMSs primarily for reputational or regulatory compliance purposes [24]. Several studies found that the comprehensiveness and quality of EMS implementation is a decisive factor in determining its effectiveness. A more thorough EMS adoption has been correlated with lower toxic emissions [25] and better overall environmental performance [26,27].
Jeong and Lee [28] found that while EMSs can reduce pollution, they may also lead to decreased energy efficiency. Zobel [29] identified no significant differences in environmental performance improvement rates between certified and non-certified firms. However, he suggested EMS adoption may benefit energy use and waste reduction, while non-adopters performed better at managing air emissions. Other studies did not observe a significant correlation between EMS adoption and toxic releases or water pollution [30,31].
Concerning EMAS effectiveness, Testa et al. [32] highlighted that EMAS has a more significant impact on environmental performance in the long term compared with ISO 14001, as it fosters structured, transparent strategies and long-term environmental improvements through regulatory involvement and organizational learning. Their findings indicate that while certifications like EMAS and ISO 14001 can positively influence environmental performance, particularly in reducing CO2 emissions in the energy sector, the certification itself is a minor driver. The study emphasized once again that the quality and substantive adoption of EMS, supported by strong internal commitment across organizational levels, are critical for achieving meaningful and sustained improvements. Similarly, a recent review by [11] showed a mixed picture, although with a prevalence of studies underlining the positive impact of EMAS adoption on environmental performance. Overall, eleven studies were found to connect EMAS with an improvement in environmental performance, while six others found no significant relation. These results are consistent with literature reviews about ISO 14001. Finally, Heras-Saizarbitoria et al. [24] highlighted that while certifiable environmental management standards aim to enhance corporate environmental performance, their analysis of 414 EMAS-verified statements from Spanish organizations showed only weak improvements, with net gains observed in less than half of the reported indicators.
As noted in the latest systematic review on the adaptation and outcomes of EMSs [10], several studies use data from surveys or interviews with managers, thereby evaluating reported or perceived benefits of EMS implementation rather than its actual effectiveness [19,20,21,22,23].
While the existing literature provides valuable insights into the relationship between environmental investment and financial performance [33,34], notable gaps remain in understanding the mechanisms through which EMS adoption influences environmental performance. Long et al. [35] and Chen and Ma [36] found that green investments promote environmental performance, but their analyses relied on proxy indicators like environmental violations or surveys, which may not fully capture actual performance improvements. Matuszak-Flejszman et al. [37] examined the correlation between the establishment of environmental objectives and changes in performance indicators by focusing on the direction of improvement (increase, decrease, or stability) and only found a weak correlation. However, the analysis did not assess the magnitude of changes, and the weak correlation may stem from unsuitable objectives, external factors beyond organizational control, or temporary fluctuations caused by operational activities.
Two critical open questions concern the role of improvement objectives and investments outlined in EMSs in driving actual performance gains, as follows:
  • Do planned improvement objectives and investments effectively influence performance improvements?
  • Are there contextual factors, such as operational scale or technological capabilities, that mediate the relationship between environmental investment and performance outcomes?
This paper seeks to address these knowledge gaps by (i) investigating the correlation between environmental improvement objectives and related investments and actual performance outcomes and (ii) exploring whether other factors, such as plant utilization rates, influence the observed performance improvements in EMAS-certified thermal power plants in Italy.
Addressing the environmental impact of thermal power plants is crucial, as these installations originate significant emissions of carbon dioxide (CO2), nitrogen oxides (NOx), and other harmful pollutants while using large volumes of water and generating waste. Several features of EMAS make it particularly relevant for analyzing the relationship between environmental improvement objectives and performance outcomes. First, the mandatory publication of ESs ensures the availability over time of detailed data on improvement objectives, budgets, and performance metrics. Second, EMAS’s emphasis on third-party verification enhances the reliability and comparability of data across organizations. Lastly, its requirement for continual improvement aligns closely with the goals of this study, which seeks to explore how planned objectives and investments translate into measurable environmental performance gains.
The novelty of the study lies in its systematic analysis of the relationship between environmental improvement objectives, planned investments, and actual performance outcomes in EMAS-certified thermal power plants, addressing critical gaps in prior research. By utilizing verified ES data, this study applied robust quantitative methods and normalized performance metrics to assess tangible environmental gains across several parameters, unlike most previous studies relying on self-reported data or qualitative proxies. Furthermore, this research assessed the magnitude of performance improvements and explores the mediating role of operational factors, such as plant utilization rates, offering new insights into the effectiveness of EMAS in driving measurable environmental performance.

2. Methodology

2.1. Data Collection

ESs from selected thermal power plants served as the primary data source for this research. The first step involved compiling an inventory of EMAS-certified Italian thermal power plants by cross-referencing ISPRA’s National Register of EMAS-certified sites [38] and the European Commission’s EMAS Register [39]. ESs for facilities classified under NACE code “E35.11” (electricity production) were retrieved from company websites or direct contact with facility managers [40]. A rigorous screening process excluded sites that met the following conditions:
  • Operated activities unrelated to thermal power generation.
  • Conducted other operations alongside thermal power generation but disclosed only aggregate data.
  • Their latest ES was published before 2020, which was deemed outdated.
  • Registered with EMAS post-2022, indicating a recently implemented EMS.
After this screening step, 73 ESs were selected for further analysis. The selection process involved additional criteria to ensure data relevance and reliability:
  • Only plants that disclosed environmental performance and improvement objectives for the entire 2014–2021 period were included, reducing the sample to 32 plants.
  • Plants that experienced significant production increases or declines between 2014 and 2021 were excluded to avoid confounding environmental performance trends with structural operational changes, further reducing the sample to 18 plants. Specifically, plants that showed increases or decreases in fuel consumption from 2014–2016 to 2019–2021 above 65% of the 2014–2021 average were excluded. This criterion was intended as a stability condition aimed at isolating EMS-related performance dynamics. Large variations in fuel consumption reflect market-driven shifts, repowering, or changes in operational role that dominate normalized performance indicators. A conservative and symmetric threshold was therefore adopted, ensuring the exclusion of only extreme regime changes while retaining plants with typical interannual variability.
  • The analysis was limited to natural gas plants to ensure consistency by excluding the confounding variable of fuel type, resulting in a final sample of 14 thermal power plants.
The ESs published by the plants over the 8-year period (2014–2021) were analyzed to identify and extract information about the following:
  • Plant characteristics: Configuration, size, emission control techniques, and age.
  • Improvement programs: Improvement actions and allocated budget concerning selected environmental parameters.
  • Performance data: Fuel consumption data, as a plant utilization metric, and performance data on selected environmental parameters.
Seven environmental parameters were selected: Net Total Fuel Utilization (NTFU) for energy production efficiency, NOx emissions, CO emissions, CO2 emissions, water consumption, waste production, and electricity consumption from the grid. These parameters were chosen because they are representative of the main environmental impacts associated with thermal power plants and are widely reported in the Environmental Statements (ESs) or can often be calculated from data disclosed in the ESs. The number of plants included in the analysis (N) varied across environmental parameters due to parameter-specific data availability and completeness in the Environmental Statements, as not all plants consistently reported all indicators over the entire study period.
Objectives implemented between 2015 and 2020 were analyzed to assess their impact by 2021 while excluding objectives that may have influenced performance metrics before 2015 or after 2020.

2.2. Definition and Categorization of Improvement Objectives

Each improvement action planned by the company and described in its ESs was classified as a discrete improvement objective. When a single action targeted multiple environmental parameters (e.g., reducing both water consumption and waste production), it was allocated fractionally (e.g., 0.5 objectives for each parameter). For objectives with grouped actions in the ES, budgets were equally distributed between the respective actions. Budgets for human labor costs were generally negligible but nonetheless accounted for by estimating EUR 100 per man-day. For actions where the allocated budget was not disclosed (around 25% of the total actions), the budget was estimated based on the average budget allocated by the other initially selected 73 thermal power plants for the same type of action. While this introduces uncertainty, the estimation was parameter- and sector-specific, reducing systematic bias. This estimated budget is considered more precise as it fills data gaps with modeled values calculated across comparable plants. Importantly, this estimation pertains to the 2015–2020 period and enhances the accuracy of the dataset compared with relying solely on incomplete disclosures.
The number of objectives and the disclosed and estimated budgets per plant were also normalized by dividing by the average energy content of the fuel used by each plant from 2014 to 2021. The energy content of the fuel used by each plant was calculated by multiplying the annual fuel consumption by the net calorific value of the natural gas used.

2.3. Performance Improvement Calculation

Performances for the 7 environmental parameters (NTFU, NOx, CO and CO2 emissions, water consumption, waste production, and electricity consumption from the grid) were first normalized by dividing them by the yearly energy content of the fuel used by each plant.
Then, for a plant i, a parameter x, and a year y, the normalized performance deviation ( P e r f i , x , y ) was calculated using
P e r f i , x , y = P i , x , y P ¯ x , y P ¯ x , y
where P i , x , y is the performance value of parameter x for plant i in year y and P ¯ x , y is the average performance value of parameter x across all plants in year y.
Finally, the performance improvement in a specific parameter for a given plant was calculated by comparing the average performance of the parameter over two time periods. For a plant i and parameter x, the performance improvement was defined as
P e r f I m p i , x = ( P e r f ¯ i , x , 2019 2021 P e r f ¯ i , x , 2014 2016 )
where P e r f ¯ i , x , 2019 2021 is the average performance deviation of parameter x for plant i over the years 2019–2021, and P e r f ¯ i , x , 2014 2016 is the average performance deviation of parameter x for plant i over the years 2014–2016. The negative sign ensures that a positive value indicates performance improvement (i.e., a decrease in the parameter value, where smaller is better) and a larger positive value reflects greater improvement. For the parameter NTFU, the negative sign at the beginning is omitted to ensure consistency as higher P e r f I m p i , N T F U , y values indicate better performances while lower values mean better performances for other parameters.
This inter-plant normalization was adopted to express performance as a relative position within the sample in each year, allowing performance improvements to be interpreted as changes over time relative to the sectoral average.

2.4. Improvement Focus Metrics

Improvement focus was quantified across 2015–2020 using three direct metrics I i , x (considering the following 3 parameters for each plant: total number of objectives, total allocated budget, and total estimated budget) and the composite improvement focus metric ( I F i , x ). Each of the three direct metrics I i , x was normalized by the average energy content of the fuel used by every plant from 2014 to 2021. These metrics were also normalized for each plant using z-standardization to facilitate comparisons. For a plant i and a parameter x, the z-standardized performance was defined as
Z i , x = I i , x I ¯ x σ x
where I i , x is an improvement focus metric for the parameter x for plant i, I ¯ x is the average performance value for the improvement focus metric of parameter x across all plants, and σ x is the standard deviation of the improvement focus metric of parameter x across all plants.
The composite improvement focus metric ( I F i , x ) was calculated by equally weighting the z-standardized values of the number of objectives and the estimated budget. For a plant i and a parameter x, I F i , x was defined as
I F i , x = Z i , x , o b j + Z i , x , b u d g e t 2
This formulation provides a parameter-specific composite metric for each plant, integrating the dimensions of improvement focus in terms of the objectives and budget, normalized through z-standardization.

2.5. Plant Utilization Metrics

Two metrics were used to explore whether plant utilization rates influence the observed performance improvements: the direct metric plant utilization rate ( U R i ) and the combined utilization–focus ( C U F i , x ) metric.
U R i was defined as the difference in the average fuel consumption between the two periods 2014–2016 and 2019–2021. For a plant i and a parameter x, it is calculated using
U R i = F u e l C o n s E ¯ i , 2019 2021 F u e l C o n s E ¯ i , 2014 2016 F u e l C o n s E ¯ i , 2014 2016  
where F u e l C o n s ¯ i , 2019 2021 is the average fuel consumed by plant i over the years 2019–2021, and F u e l C o n s ¯ i , 2014 2016 is the average fuel consumed by plant i over the years 2014–2016.
This metric was z-standardized following Equation (3) and combined with the IF metric to create the combined utilization–focus metric C U F i , x . The C U F i , x for a plant i and parameter x integrates the plant utilization rate and the improvement focus metric using a weighting coefficient k. It is defined as
C U F i , x = k   ·   U R i U R ¯ σ + (   1 k   )   ·   I F i , x  
The weighting coefficient k represents the relative importance of the plant utilization rate compared with the improvement focus.

2.6. Correlation Analyses

The relationship between performance improvements, improvement focus, and plant utilization rate was analyzed using Kendall’s tau correlation. Correlations were evaluated for individual metrics (number of objectives, budgets, plant utilization rate) and the combined I F i , x and C U F i , x metrics. Scatter plots were used to visualize trends across the sample, with linear trend lines fitted to explore potential relationships. A 5% significance level (p < 0.05) was adopted to determine the statistical significance of the observed results.

3. Results and Discussion

3.1. Sample Description

The sample analyzed in this study includes 14 NG thermal power plants in Italy. Plant configurations primarily consisted of combined cycle systems (86% of the sample), followed by combined heat and power systems (36%), gas turbines, and other configurations (7%) (Figure 1). Larger plants, with capacities exceeding 500 MW, constituted a significant portion of the sample (71%), while small plants, under 100 MW, made up only 7%. Mid-sized facilities (100–500 MW) accounted for the remaining 22%.
Emission control technologies varied widely, but low NOx burners were the most prevalent, implemented by 71% of plants. Selective catalytic reduction systems were used by 36% of plants, and 21% of plants also utilized CO reduction technologies, reflecting a focus on mitigating NOx emissions rather than particulate or sulfur oxides.
The sample’s age distribution indicates a relatively modern infrastructure, with 71% of plants constructed or significantly renovated after 2001, while only 14% date back to before 1971. This temporal distribution may reflect the shift towards NG in Italy’s energy portfolio, driven by environmental considerations and the progressive phase-out of coal-fired plants [41]. Overall, the sample provides a comprehensive overview of Italy’s NG thermal power sector (the full sample characteristics are reported in Supplementary Materials Table S1).

3.2. Distribution of Improvement Objectives

A total of 183 objectives were identified across the 14 plants, with a combined reported budget of EUR 29.6 M and an estimated budget allocation of EUR 91.9 M. Despite accounting for only seven objectives, the NTFU parameter saw substantial budget allocations, with reported and estimated expenditures of EUR 2.6 M and EUR 27.9 M, respectively. This indicates a significant investment in enhancing fuel efficiency, which is critical for minimizing the environmental impact but also for cost reduction.
Efforts to reduce emissions were also a priority. There were five objectives aimed at reducing NOx emissions, supported by a budget of EUR 6.5 M (EUR 3.2 M reported and EUR 3.3 M estimated). In contrast, four objectives focused on CO emissions, with reported and estimated expenditures of EUR 3.2 M and EUR 6.2 M respectively. CO2 emissions reduction was targeted by eight objectives supported by a budget allocation of EUR 0.5 M (reported) and EUR 7.4 M (estimated), indicating a focused investment in technologies in reducing CO2 emissions, which are critical for reducing sector-specific impacts.
The analysis showed a weaker investment in resource management. Eight objectives were directed towards water conservation, with a EUR 0.7 M reported and estimated budget, even though water-use is a critical impact of thermal power plants. Waste reduction saw fewer objectives (3), with budgets of EUR 0.3 M (reported) and EUR 0.4 M (estimated), indicating a lower commitment to waste management likely reflected the lower environmental significance of waste in this sector compared to emissions and water use.
Interestingly, a significant number of objectives (23) were aimed at reducing electricity consumption from the grid. Despite this focus, the budget allocations were relatively low, with reported and estimated spendings of EUR 2.0 M and EUR 2.8 M, respectively. While energy consumption reduction was a consistent target, it did not receive the same level of financial prioritization as fuel efficiency or emission reductions.
The prioritization patterns observed suggest that NG thermal power plants have focused their investments on areas that directly impact operational efficiency and regulatory compliance. NTFU and emission reduction were clear priorities, likely due to their potential to improve environmental performance and cost efficiency.
Figure 2 illustrates the distribution of improvement objectives, actual budget, and estimated budget per plant, normalized by dividing by the average energy content of the fuel used by each plant from 2014 to 2021. This normalization provides a clearer comparison of the investment intensity and prioritization across different operational aspects at the plant level. The data confirms the conclusions drawn above, highlighting a greater emphasis on enhancing the fuel efficiency (NTFU) and reducing emissions, while objectives related to resource management, such as water conservation and waste production, received less focus. The full objectives dataset is reported in Supplementary Materials Table S3.

3.3. Performance Trends

The analysis of the P e r f I m p i , x metric reveals varying degrees of improvement across environmental parameters (Figure 3). On average, water consumption achieved the highest improvement (+29.9 ± 34.0%), followed by electricity from the grid (+12.9 ± 41.7%) and waste production (+12.2 ± 13.8%). Regarding air emissions, CO saw a +8.7 ± 41.6% improvement, contrasting with the worsening trend observed in NOx emissions (−7.1 ± 5.7%). CO2 emissions demonstrated minimal changes (+0.2 ± 2.5%), as well as NTFU (−0.8 ± 5.1%). The environmental performance data is reported in Supplementary Materials Table S2.
The substantial standard deviations highlight variability across plants, especially concerning CO emissions and electricity used from the grid, suggesting significant disparities in performance trends across different installations (Figure 3).
A correlation analysis was performed to assess whether average performance improvements correlate across parameters with the intensity of improvement efforts. The improvement focus I i , x was quantified using the total number of objectives, budget, and estimated budget set by each plant between 2015 and 2020 and normalized by the average energy content in the fuel used per plant from 2014 to 2021. Figure 4 illustrates the lack of correlation between performance improvement and improvement focus when comparing parameters. Notably, although plants prioritized NOx reduction, most of them experienced performance declines. Conversely, water consumption showed the highest overall improvement, despite limited improvement focus. This result provides a foundation for the more detailed correlation study at the plant level presented in subsequent sections using the composite I F i , x metric. This lack of correlation underscores the complexity of translating investments and improvement objectives into measurable performance gains, highlighting the need for a more nuanced understanding of how specific actions, technologies, and operational contexts influence environmental outcomes at the parameter level.

3.4. Correlation Between Improvement Focus and Performance Improvement

To better understand the interplay between improvement initiatives and their environmental outcomes, a correlation analysis was performed at the plant level for each environmental parameter. Improvement focus was quantified using the three individual metrics I i , x (number of objectives, allocated budget, and estimated budget; Figure 5, plots labeled with “1”), and the composite I F i , x metric (Figure 5, plots labeled with “2”), which combines the number of objectives and estimated budget to capture an holistic perspective.
No significant correlations were observed for any parameter, indicating that plants with a higher improvement focus did not consistently achieve better performance improvements. The only parameter approaching statistical significance with respect to improvement focus is water consumption (τ = 0.58, p = 0.071 for the combined I F i , x metric). This result suggests some influence of improvement focus on water efficiency, although it remained statistically insignificant. These results support the findings of Matuszak-Flejszman et al. [37], which did not evaluate the magnitude of improvement and the amount of objectives and budget set but only the performance change direction (increase, decrease, or stability) and whether objectives were established or not. They found a very weak correlation between establishing environmental objectives in specific areas and improvements in performance indicators in these areas.
The findings also highlighted considerable variability in the effectiveness of improvement initiatives. Plants prioritizing NTFU and emission reductions (e.g., NOx and CO2) allocated substantial budgets, yet these efforts did not translate into better performance gains for those plants. For NOx emissions, compliance with regulatory emission limits and the widespread adoption of mature abatement technologies (e.g., low-NOx burners, SCR systems) likely compress performance improvement margins. A considerable portion of the actions targeting NOx emissions involved the optimization of implemented abatement technologies, suggesting that once compliance is achieved, additional investments may have limited marginal impact. Similarly, the lack of association between CO2 performance improvements and improvement focus aligns with fundamental link to fuel consumption and thermodynamic efficiency, which are largely determined by operational load of full-scale plant redesign rather than incremental initiatives.
Notably, water conservation, despite receiving relatively low budget allocations, demonstrated potential responsiveness to targeted improvement efforts as some of the plants focusing on the parameter exhibited better outcomes. Unlike air emissions, water consumption is weakly regulated in terms of absolute performance limits and is less dependent on the plant load conditions, allowing managerial decisions and incremental investments to play a more direct role.
It must be noted that the analysis was limited to natural gas plants with stable production levels, excluding those with significant operational variability. Furthermore, although the analyzed 8-year period allowed us to identify performance trends, some improvements may require longer timeframes to yield measurable outcomes. This might be especially applicable to parameters like CO2 reduction that involve complex system changes.

3.5. Correlation Between Plant Utilization Rate and Performance Improvement

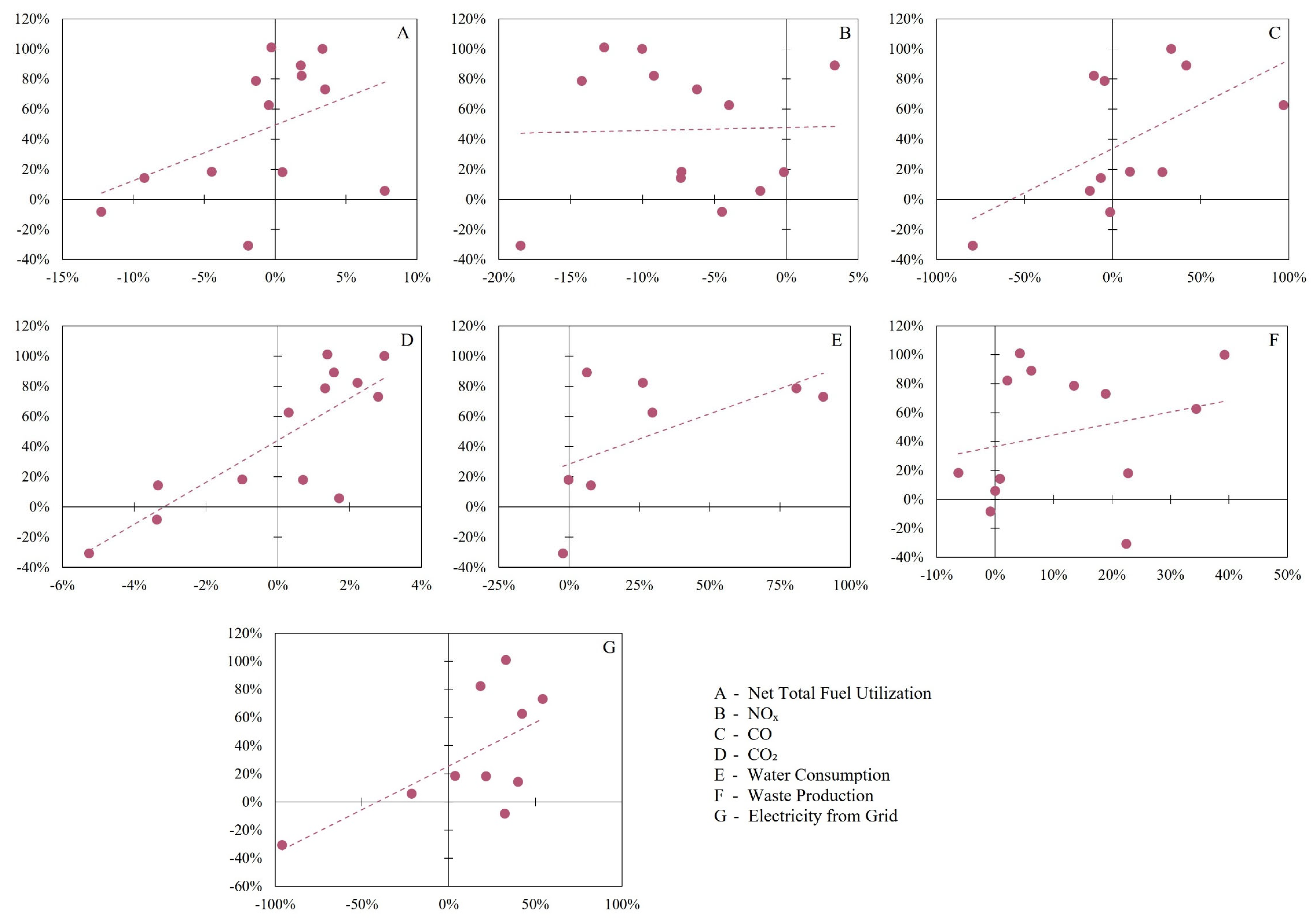
The absence of significant correlations between performance improvements and improvement focus suggests that other factors might drive variations in performance, such as the change in plant utilization over time. We assessed this potential driver at the plant level, evaluating the correlation between each environmental parameter performance change and the change in plant utilization rate (Figure 6), measured as the difference in the average fuel consumed between 2019–2021 and 2014–2016 ( U R i ).
The results reveal a weak influence of plant utilization rate on performance improvements for most parameters, with one notable exception. CO2 emissions demonstrated a significant and strong positive correlation with U R i (Kendall’s tau τ = 0.56, p = 0.007), suggesting that increased utilization may drive measurable improvements in CO2 emission performance. This relationship likely reflects systemic efficiencies gained at higher operational capacities, potentially due to optimized fuel combustion and reduced per-unit emissions under higher production conditions [42]. Moreover, CO emissions displayed a relationship with U R i approaching statistical significance (p = 0.073). Although inconclusive, this trend indicates the possibility of some influence of plant utilization on CO emissions, warranting further investigation.
The observed association between utilization rate and environmental performance is also consistent with existing literature showing that higher plant load is linked to improved operational and energy efficiency (e.g., through reduced part-load losses and auxiliary consumption) [43,44,45,46]. Nonetheless, other parameters, such as water consumption, waste production, and NTFU, exhibited no significant correlation with plant utilization rate, underscoring the complexity and variability of these factors across installations.

3.6. Combining Improvement Focus and Plant Utilization Rate

A correlation test between the performance improvements ( P e r f I m p i , x ) and the combined utilization–focus metric C U F i , x , representing the plant utilization rate and improvement focus at the plant level (Equation (6)), was finally conducted. The analysis revealed significant positive correlations between the C U F i , x metric and performance improvements for several environmental parameters (Figure 7).
The strongest correlation was again observed for CO2 performance improvement (τ = 0.69, p = 0.001, weighting coefficient k = 0.85) (Table 1). This result underscores the primary role of the plant utilization rate in driving CO2 emission reductions, likely due to increased operational efficiency at higher utilization levels [42]. A strong positive correlation was observed between NTFU and the C U F i , x metric (τ = 0.62, p = 0.003, with k = 0.75). This, again, suggests that improvements in fuel efficiency have a stronger link to plant utilization rates. Correlation with water consumption improvement was also strong (τ = 0.57, p = 0.048, k = 0.50), indicating that both plant utilization and targeted improvement efforts play a similar role. A moderate but still significant correlation (τ = 0.49, p = 0.036) was observed between CO emissions and the combined metric when using a high weighting for plant utilization (k = 0.90).
While the correlation for electricity consumption from the grid approached statistical significance (τ = 0.42, p = 0.089), it remained outside the threshold (Table 1). However, the combined metric C U F i , x outperformed plant utilization U R i and I F i , x as standalone metrics in correlating performance improvements. No significant correlations were observed for NOx emissions or waste production due to the lack of alignment between performance improvements and either the plant utilization rate for NOx emissions or the improvement focus for waste production (Figure 7).
The weighting coefficient k varied across the parameters, with values generally greater than 0.5, indicating that plant utilization rate was the dominant factor influencing performance improvements. For parameters such as CO2 emissions and NTFU, the influence of plant utilization rate is evident, probably reflecting the systemic efficiencies gained at higher operational levels. These results align with prior studies that emphasize the benefits of optimizing operational capacity to reduce per-unit emissions and improve resource efficiency [42,47]. However, the contribution of improvement focus remained essential, particularly for parameters such as water consumption. In this case, equal weighting yielded the best results (Table 1). These findings highlight the interplay between plant utilization rate and targeted improvement efforts in driving environmental performance improvements at NG thermal power plants. The findings underscore the importance of balanced strategies that consider both operational enhancements and targeted investments in environmental performance.
For NOx emissions and waste production, the lack of correlation suggests that other factors, such as specific technological or process-related variables, may overshadow the influence of plant utilization or improvement focus. The impact of these variables may persist, despite our efforts to narrow the analysis to natural gas plants with stable production levels and exclude those with significant operational variability. These results point to the need for further research to identify qualitative factors, such as the type and efficiency of emission control technologies or plant-specific operational practices, that may impact performance outcomes.
The partial estimation of improvement budgets may have smoothed inter-plant variability, potentially attenuating the strength of correlations involving I F i , x and C U F i , x . As such, the observed relationships can be interpreted as conservative estimates. Notably, the strongest correlations emerged for C U F i , x configurations with high weighting on plant utilization rate, suggesting that the main conclusions are not driven solely by estimated budget values. Nonetheless, future research would benefit from fully disclosed investment data.

Practical Relevance, Applicability, and Limitations of the C U F i , x Indicator

From a practical perspective, the C U F i , x metric can be used by plant operators and EMS auditors as a diagnostic tool to contextualize environmental performance trends. By integrating the improvement focus with the plant utilization rate, C U F i , x helps distinguish whether observed performance outcomes are primarily driven by operational conditions or by the effectiveness of targeted environmental initiatives, supporting more informed EMS evaluations.
C U F i , x may also support decision-making in the prioritization of environmental objectives by highlighting parameters for which performance improvements are strongly conditioned by utilization levels. In such cases, allocating additional resources to environmental objectives without addressing operational constraints may yield limited benefits, suggesting the need for coordinated operational and environmental strategies.
While this study focused on Italian natural gas thermal power plants, the C U F i , x framework is conceptually transferable to other energy technologies and industrial sectors characterized by variable utilization rates and structured EMS implementation. Its application beyond this context would require sector-specific performance indicators, appropriate normalization variables, and recalibration of the weighting coefficient. Future research could test the indicator in other sectors, such as waste management, manufacturing, or renewable energy facilities.
Nonetheless, the C U F i , x metric has several limitations. It is correlation-based and does not imply causality between utilization, investments, and performance outcomes. The results are sensitive to normalization choices and to the weighting coefficient k, which should be interpreted as context-specific rather than universal. Moreover, C U F i , x does not explicitly capture qualitative factors such as technological maturity, maintenance practices, or managerial effectiveness, which may influence environmental performance.

4. Conclusions

Industrial production plays a central role in modern economies while exerting significant environmental impacts. The relationship between improvement objectives, EMS adoption, and their impact on the environmental performance of industrial plants remains a critical area for exploration.
This study analyzed the relationship between improvement objectives, allocated budgets, and environmental performance across 14 EMAS-registered NG thermal power plants in Italy. The results revealed that while plants prioritize objectives aimed at fuel efficiency (NTFU) and emission reductions (CO2, NOx), there was no significant direct correlation between the improvement focus and performance improvements across most environmental parameters. The results suggest that while improvement objectives are indicative of a plant’s priorities, their direct impact on performance improvements is limited. However, when coupled with the plant utilization rate, they provide a more comprehensive explanation of observed performance changes.
The plant utilization rate emerged as a key contextual factor influencing performance improvements, particularly for CO2 emissions, NTFU, and water consumption, likely due to systemic efficiencies gained at higher operational capacities. Nonetheless, the combined metric C U F i , x , incorporating both plant utilization rate and improvement focus, demonstrated the strongest correlations with performance improvements, underscoring the interplay between operational efficiency and targeted investments. Beyond its empirical application, the C U F i , x metric provides a flexible analytical framework to support EMS evaluation and environmental decision-making, offering a structured way to integrate operational conditions with improvement efforts.
The results have important implications for policymakers, industry stakeholders, and plant operators. For policymakers, the findings highlight the need for incentives that promote both operational efficiency and targeted environmental investments. Policies encouraging optimized plant utilization, alongside investment in clean technologies, can enhance overall environmental performance.
For the industry, balancing plant utilization rates with specific performance improvement initiatives is crucial. Strategies prioritizing systemic efficiencies at higher capacities coupled with environmental investments are likely to yield the most significant performance gains. These strategies emphasize the role of EMS adoption, particularly through structured programs like EMAS, in driving targeted environmental investments.
This study focused on a sample of 14 NG thermal power plants in Italy with relatively stable production levels. While this approach allowed for isolating specific variables, the limited sample size poses constraints on generalizability. In particular, parameter-specific data availability resulted in smaller effective sample sizes for some environmental indicators (e.g., water consumption), occasionally reducing the number of observations to fewer than ten plants. These reduced sample sizes may limit the ability to detect moderate correlations and increase the risk of Type II errors, meaning that some relationships may remain undetected. For this reason, correlation results should be interpreted cautiously and primarily as indicative rather than definitive. To mitigate these limitations, the non-parametric Kendall’s tau correlation was adopted, as it is more robust for small samples and less sensitive to outliers. Moreover, the analysis mostly emphasized consistent patterns across parameters and metrics, rather than isolated statistically significant results.
Expanding the analysis to include plants in other geographical and regulatory contexts could introduce additional insights but may also complicate the assessment due to regional differences. Additionally, the timeframe of the study (2014–2021) may not capture the long-term impacts of improvement initiatives, particularly those involving systemic or technological changes.
Future studies should explore longer timeframes to better understand the lagged effects of environmental investments and objectives on performance improvements. Qualitative factors, such as technological compatibility, staff training, and maintenance practices, should also be examined to identify their role in influencing outcomes. Expanding the analysis to include other industrial sectors and geographical contexts would provide a broader understanding of the mechanisms driving environmental performance improvements.
In conclusion, this study contributes to the broader question of whether EMSs are effective by demonstrating their potential to drive environmental performance improvements when combined with operational strategies. This underscores the importance of investing in robust environmental programs within EMS frameworks, as they show a positive influence on measurable performance outcomes.

Supplementary Materials

The following supporting information can be downloaded from https://www.mdpi.com/article/10.3390/environments13020085/s1: Table S1. Full Sample Characteristics; Table S2. Environmental Performance Data. Table S3. Full Objectives Dataset.

Author Contributions

Conceptualization, S.C., C.C., and S.F.; methodology, S.C., C.C., and S.F.; formal analysis, S.C.; investigation, S.C.; data curation, S.C.; writing—original draft preparation, S.C.; writing—review and editing, C.C. and S.F.; visualization, S.C.; supervision, C.C. and S.F. All authors have read and agreed to the published version of the manuscript.

Funding

This research received no external funding.

Data Availability Statement

The original contributions presented in this study are included in the article/Supplementary Materials. Further inquiries can be directed to the corresponding author.

Conflicts of Interest

The authors declare no conflicts of interest.

References

  1. World Resources Institute. Climate Watch Historical Country Greenhouse Gas Emissions Data 2022; World Resources Institute: Washington, DC, USA, 2022. [Google Scholar]
  2. IEA. World Energy Outlook 2023 Dataset 2023; IEA: Paris, France, 2023. [Google Scholar]
  3. Joint Research Center; IEA; Crippa, M.; Guizzardi, D.; Pagani, F.; Banja, M.; Muntean, M.; Schaaf, E.; Monforti-Ferrario, F.; Becker, W.; et al. GHG Emissions of All World Countries; Publications Office of the European Union: Luxembourg, 2024. [Google Scholar]
  4. Gotschol, A.; De Giovanni, P.; Esposito Vinzi, V. Is Environmental Management an Economically Sustainable Business? J. Environ. Manag. 2014, 144, 73–82. [Google Scholar] [CrossRef]
  5. Quan, Y.; Wu, H.; Li, S.; Ying, S.X. Firm Sustainable Development and Stakeholder Engagement: The Role of Government Support. Bus. Strategy Environ. 2018, 27, 1145–1158. [Google Scholar] [CrossRef]
  6. European Union. Paris Agreement; European Union: Brussels, Belgium, 2016; p. 18. [Google Scholar]
  7. United Nations. Trasforming Our World: The 2030 Agenda for Sustainable Development; United Nations: New York, NY, USA, 2015. [Google Scholar]
  8. ISO 14001:2015; Environmental Management Systems. Requirements with Guidance for Use. 3rd ed. ISO: London, UK, 2015.
  9. Commission Regulation (EU). Amending Annex IV to Regulation (EC) No 1221/2009 of the European Parliament and of the Council on the Voluntary Participation by Organisations in a Community Eco-Management and Audit Scheme (EMAS). Off. J. Eur. Union 2018, 7, 1. [Google Scholar]
  10. Boiral, O.; Guillaumie, L.; Heras-Saizarbitoria, I.; Tayo Tene, C.V. Adoption and Outcomes of ISO 14001: A Systematic Review. Int. J. Manag. Rev. 2018, 20, 411–432. [Google Scholar] [CrossRef]
  11. García-Álvarez, M.; de Junguitu, A.D. Shedding Light on the Motivations and Performance of the Eco-Management and Audit Scheme (EMAS). Environ. Impact Assess. Rev. 2023, 99, 107045. [Google Scholar] [CrossRef]
  12. Heras-Saizarbitoria, I.; Boiral, O. ISO 9001 and ISO 14001: Towards a Research Agenda on Management System Standards. Int. J. Manag. Rev. 2013, 15, 47–65. [Google Scholar] [CrossRef]
  13. Nawrocka, D.; Parker, T. Finding the Connection: Environmental Management Systems and Environmental Performance. J. Clean. Prod. 2009, 17, 601–607. [Google Scholar] [CrossRef]
  14. Tourais, P.; Videira, N. Why, How and What Do Organizations Achieve with the Implementation of Environmental Management Systems?—Lessons from a Comprehensive Review on the Eco-Management and Audit Scheme. Sustainability 2016, 8, 283. [Google Scholar] [CrossRef]
  15. Ikram, M.; Zhou, P.; Shah, S.A.A.; Liu, G.Q. Do Environmental Management Systems Help Improve Corporate Sustainable Development? Evidence from Manufacturing Companies in Pakistan. J. Clean. Prod. 2019, 226, 628–641. [Google Scholar] [CrossRef]
  16. Comoglio, C.; Castelluccio, S.; Scarrone, A.; Onofrio, M.; Fiore, S. Assessing the Environmental Performances of Waste-to-Energy Plants: The Case-Study of the EMAS-Registered Waste Incinerators in Italy. Waste Manag. 2022, 153, 209–218. [Google Scholar] [CrossRef] [PubMed]
  17. Nguyen, Q.A.; Hens, L. Environmental Performance of the Cement Industry in Vietnam: The Influence of ISO 14001 Certification. J. Clean. Prod. 2015, 96, 362–378. [Google Scholar] [CrossRef]
  18. Singh, M.; Brueckner, M.; Padhy, P.K. Environmental Management System ISO 14001: Effective Waste Minimisation in Small and Medium Enterprises in India. J. Clean. Prod. 2015, 102, 285–301. [Google Scholar] [CrossRef]
  19. Johnstone, L.; Hallberg, P. ISO 14001 Adoption and Environmental Performance in Small to Medium Sized Enterprises. J. Environ. Manag. 2020, 266, 110592. [Google Scholar] [CrossRef]
  20. Lutfi, A.; Alqudah, H.; Alrawad, M.; Alshira’h, A.F.; Alshirah, M.H.; Almaiah, M.A.; Alsyouf, A.; Hassan, M.F. Green Environmental Management System to Support Environmental Performance: What Factors Influence SMEs to Adopt Green Innovations? Sustainability 2023, 15, 10645. [Google Scholar] [CrossRef]
  21. Martín-Peña, M.L.; Díaz-Garrido, E.; Sánchez-López, J.M. Analysis of Benefits and Difficulties Associated with Firms’ Environmental Management Systems: The Case of the Spanish Automotive Industry. J. Clean. Prod. 2014, 70, 220–230. [Google Scholar] [CrossRef]
  22. Mazzi, A.; Toniolo, S.; Mason, M.; Aguiari, F.; Scipioni, A. What Are the Benefits and Difficulties in Adopting an Environmental Management System? The Opinion of Italian Organizations. J. Clean. Prod. 2016, 139, 873–885. [Google Scholar] [CrossRef]
  23. McGuire, W. The Effect of ISO 14001 on Environmental Regulatory Compliance in China. Ecol. Econ. 2014, 105, 254–264. [Google Scholar] [CrossRef]
  24. Heras-Saizarbitoria, I.; Boiral, O.; Díaz de Junguitu, A. Environmental Management Certification and Environmental Performance: Greening or Greenwashing? Bus. Strat. Environ. 2020, 29, 2829–2841. [Google Scholar] [CrossRef]
  25. Anton, W.R.Q.; Deltas, G.; Khanna, M. Incentives for Environmental Self-Regulation and Implications for Environmental Performance. J. Environ. Econ. Manag. 2004, 48, 632–654. [Google Scholar] [CrossRef]
  26. Phan, T.N.; Baird, K. The Comprehensiveness of Environmental Management Systems: The Influence of Institutional Pressures and the Impact on Environmental Performance. J. Environ. Manag. 2015, 160, 45–56. [Google Scholar] [CrossRef]
  27. Tung, A.; Baird, K.; Schoch, H. The Relationship between Organisational Factors and the Effectiveness of Environmental Management. J. Environ. Manag. 2014, 144, 186–196. [Google Scholar] [CrossRef]
  28. Jeong, S.; Lee, J. Environment and Energy? The Impact of Environmental Management Systems on Energy Efficiency. Manuf. Serv. Oper. Manag. 2022, 24, 1311–1328. [Google Scholar] [CrossRef]
  29. Zobel, T. The Impact of ISO 14001 on Corporate Environmental Performance: A Study of Swedish Manufacturing Firms. J. Environ. Plan. Manag. 2016, 59, 587–606. [Google Scholar] [CrossRef]
  30. Gomez, A.; Rodriguez, M.A. The Effect of ISO 14001 Certification on Toxic Emissions: An Analysis of Industrial Facilities in the North of Spain. J. Clean. Prod. 2011, 19, 1091–1095. [Google Scholar] [CrossRef]
  31. Potoski, M.; Prakash, A. Do Voluntary Programs Reduce Pollution? Examining ISO 14001’s Effectiveness across Countries. Policy Stud. J. 2013, 41, 273–294. [Google Scholar] [CrossRef]
  32. Testa, F.; Rizzi, F.; Daddi, T.; Gusmerotti, N.M.; Frey, M.; Iraldo, F. EMAS and ISO 14001: The Differences in Effectively Improving Environmental Performance. J. Clean. Prod. 2014, 68, 165–173. [Google Scholar] [CrossRef]
  33. Pekovic, S.; Grolleau, G.; Mzoughi, N. Environmental Investments: Too Much of a Good Thing? Int. J. Prod. Econ. 2018, 197, 297–302. [Google Scholar] [CrossRef]
  34. Song, H.; Zhao, C.; Zeng, J. Can Environmental Management Improve Financial Performance: An Empirical Study of A-Shares Listed Companies in China. J. Clean. Prod. 2017, 141, 1051–1056. [Google Scholar] [CrossRef]
  35. Long, X.; Chen, Y.; Du, J.; Oh, K.; Han, I.; Yan, J. The Effect of Environmental Innovation Behavior on Economic and Environmental Performance of 182 Chinese Firms. J. Clean. Prod. 2017, 166, 1274–1282. [Google Scholar] [CrossRef]
  36. Chen, Y.; Ma, Y. Does Green Investment Improve Energy Firm Performance? Energy Policy 2021, 153, 112252. [Google Scholar] [CrossRef]
  37. Matuszak-Flejszman, A.; Szyszka, B.; Jóhannsdóttir, L. Effectiveness of EMAS: A Case Study of Polish Organisations Registered under EMAS. Environ. Impact Assess. Rev. 2019, 74, 86–94. [Google Scholar] [CrossRef]
  38. ISPRA List of Organizations Registered to EMAS. Available online: https://www.isprambiente.gov.it/en/activities/environmental-certifications/emas/list-of-the-organizations-registered-emas?set_language=en (accessed on 6 October 2024).
  39. European Commission EMAS Register. Available online: https://webgate.ec.europa.eu/emas2/public/registration/list (accessed on 3 August 2024).
  40. Castelluccio, S.; Fiore, S.; Comoglio, C. Environmental Reporting in Italian Thermal Power Plants: Insights from a Comprehensive Analysis of EMAS Environmental Statements. J. Environ. Manag. 2024, 359, 121035. [Google Scholar] [CrossRef]
  41. MASE. Integrated National Plan for Energy and Climate. Italian Ministry of the Environment and Energy Security; MASE: Rome, Italy, 2024.
  42. Wang, Y.; Chen, J. The Environmental Effect of Capacity Utilization in Thermal Power Plants: Evidence from Interprovincial Carbon Emissions in China. Environ. Sci. Pollut. Res. 2019, 26, 30399–30412. [Google Scholar] [CrossRef]
  43. Mandi, R.P.; Yaragatti, U.R. Energy Efficiency Improvement of Auxiliary Power Equipment in Thermal Power Plant through Operational Optimization. In Proceedings of the 2012 IEEE International Conference on Power Electronics, Drives and Energy Systems (PEDES), Bengaluru, India, 16–19 December 2012; pp. 1–8. [Google Scholar]
  44. Op, U.; Kumar, A.; Vk, S. Performance of Coal Based Thermal Power Plant at Full Load and Part Loads. Glob. J. Technol. Optim. 2017, 8, 1000205. [Google Scholar] [CrossRef]
  45. Kaewprapha, P.; Prempaneerach, P.; Singh, V.; Tinikul, T.; Intarangsi, N.; Kijkanjanarat, T. Predicting Full Load, Partial Load Efficiency of a Combined Cycle Power Plant Using Machine Learning Methods. In Proceedings of the 2022 7th International Conference on Computer and Communication Systems (ICCCS), Wuhan, China, 22 April 2022; pp. 11–16. [Google Scholar]
  46. Dolatabadi, A.M.; Faghih Aliabadi, M.A. Evaluating Sustainability Power Plant Efficiency: Unveiling the Impact of Power Plant Load Ratio on Holding Steam Ejector Performance. Energy 2024, 305, 132315. [Google Scholar] [CrossRef]
  47. Wu, C.; Oh, K.; Long, X.; Zhang, J. Effect of Installed Capacity Size on Environmental Efficiency across 528 Thermal Power Stations in North China. Environ. Sci. Pollut. Res. 2019, 26, 29822–29833. [Google Scholar] [CrossRef]
Figure 1. Characteristics of the sample, including plant configuration types (blue), emission control technologies (pink), plant size categories (orange, large ≥ 500 MWtot; 100 MWtot ≤ medium < 500 MWtot; small < 100 MWtot), and the construction or renovation period (purple).
Figure 1. Characteristics of the sample, including plant configuration types (blue), emission control technologies (pink), plant size categories (orange, large ≥ 500 MWtot; 100 MWtot ≤ medium < 500 MWtot; small < 100 MWtot), and the construction or renovation period (purple).
Environments 13 00085 g001
Figure 2. Distribution of improvement objectives set by natural gas thermal power plants between 2015 and 2020. The box plot illustrates the number of objectives (green, primary y-axis), allocated budget (orange, secondary y-axis), and estimated allocated budget (yellow, secondary y-axis) for various operational and environmental aspects: NTFU (Net Total Fuel Utilization), NOx emissions, CO emissions, CO2 reduction, water consumption, waste production, and electricity consumed from the grid. All parameters are normalized by dividing by the average energy content of the fuel used by each plant from 2014 to 2021. X—average, horizontal line—median.
Figure 2. Distribution of improvement objectives set by natural gas thermal power plants between 2015 and 2020. The box plot illustrates the number of objectives (green, primary y-axis), allocated budget (orange, secondary y-axis), and estimated allocated budget (yellow, secondary y-axis) for various operational and environmental aspects: NTFU (Net Total Fuel Utilization), NOx emissions, CO emissions, CO2 reduction, water consumption, waste production, and electricity consumed from the grid. All parameters are normalized by dividing by the average energy content of the fuel used by each plant from 2014 to 2021. X—average, horizontal line—median.
Environments 13 00085 g002
Figure 3. Bar charts illustrating the performance improvement (or decrease) by plant and parameter for various environmental metrics. The x-axis represents the performance improvement ( P e r f I m p i , x ). Positive values (green) indicate improvement, while negative values (red) indicate a decrease in performance. The blue bar represents the average improvement, with the direction indicating the general trend for each metric across the sample.
Figure 3. Bar charts illustrating the performance improvement (or decrease) by plant and parameter for various environmental metrics. The x-axis represents the performance improvement ( P e r f I m p i , x ). Positive values (green) indicate improvement, while negative values (red) indicate a decrease in performance. The blue bar represents the average improvement, with the direction indicating the general trend for each metric across the sample.
Environments 13 00085 g003
Figure 4. Scatter plots showing the correlation between average performance improvements ( P e r f I m p i , x ) and improvement focus (in terms of the I i , x metrics: total number of objectives—yellow dot, allocated budget—pink x, and estimated budget—purple triangle) for various environmental parameters. Trend lines indicate linear relationships. Improvement objectives and budgets between 2015 and 2020 were normalized by dividing by the average energy content in the fuel used per plant from 2014 to 2021.
Figure 4. Scatter plots showing the correlation between average performance improvements ( P e r f I m p i , x ) and improvement focus (in terms of the I i , x metrics: total number of objectives—yellow dot, allocated budget—pink x, and estimated budget—purple triangle) for various environmental parameters. Trend lines indicate linear relationships. Improvement objectives and budgets between 2015 and 2020 were normalized by dividing by the average energy content in the fuel used per plant from 2014 to 2021.
Environments 13 00085 g004
Figure 5. Scatter plots illustrating the relationships between performance improvements ( P e r f I m p i , x ) and improvement focus ( I i , x and I F i , x ) across environmental parameters. Each parameter was analyzed at the plant level for the 2015–2020 period. The x-axis represents performance improvement (positive for improvement, negative for worsening), while the y-axis measures improvement focus. Charts labeled as “1” show data points (plants) for the number of objectives set (yellow), allocated budget (pink), and estimated budget (purple), with linear trend lines for each I i , x metric. The number of objectives is plotted on the primary y-axis, while budget metrics on the secondary y-axis. Charts labeled as 2 use the combined metric Improvement Focus I F i , x derived from z-standardized values of the number of objectives and estimated budget (higher values indicate a higher focus).
Figure 5. Scatter plots illustrating the relationships between performance improvements ( P e r f I m p i , x ) and improvement focus ( I i , x and I F i , x ) across environmental parameters. Each parameter was analyzed at the plant level for the 2015–2020 period. The x-axis represents performance improvement (positive for improvement, negative for worsening), while the y-axis measures improvement focus. Charts labeled as “1” show data points (plants) for the number of objectives set (yellow), allocated budget (pink), and estimated budget (purple), with linear trend lines for each I i , x metric. The number of objectives is plotted on the primary y-axis, while budget metrics on the secondary y-axis. Charts labeled as 2 use the combined metric Improvement Focus I F i , x derived from z-standardized values of the number of objectives and estimated budget (higher values indicate a higher focus).
Environments 13 00085 g005
Figure 6. Scatter plots illustrate the correlation between performance improvement ( P e r f I m p i , x ) and plant utilization rate ( U R i ) at the plant level for various environmental parameters. The x-axis represents performance improvement (positive for improvement, negative for worsening). The y-axis measures the plant utilization rate, quantified as the change in the average fuel consumption, comparing 2019–2021 with 2014–2016. Each dot represents an individual plant. Trend lines indicate the strength and direction of the relationship.
Figure 6. Scatter plots illustrate the correlation between performance improvement ( P e r f I m p i , x ) and plant utilization rate ( U R i ) at the plant level for various environmental parameters. The x-axis represents performance improvement (positive for improvement, negative for worsening). The y-axis measures the plant utilization rate, quantified as the change in the average fuel consumption, comparing 2019–2021 with 2014–2016. Each dot represents an individual plant. Trend lines indicate the strength and direction of the relationship.
Environments 13 00085 g006
Figure 7. Scatter plots illustrating the relationship between performance improvement ( P e r f I m p i , x ) (x-axis) and a combined utilization–focus ( C U F i , x ) metric representing the plant utilization rate and improvement focus (y-axis) for individual natural gas thermal power plants. The plant utilization rate is quantified as the difference in the average fuel consumption between 2019–2021 and 2014–2016. The C U F i , x metric was calculated by normalizing plant utilization rate and improvement focus using z-standardization and combining them with a weighting coefficient. k (e.g., k for plant utilization and 1 − k for improvement focus). Each dot represents a single plant, with its position indicating both the level of performance improvement and its C U F i , x metric value.
Figure 7. Scatter plots illustrating the relationship between performance improvement ( P e r f I m p i , x ) (x-axis) and a combined utilization–focus ( C U F i , x ) metric representing the plant utilization rate and improvement focus (y-axis) for individual natural gas thermal power plants. The plant utilization rate is quantified as the difference in the average fuel consumption between 2019–2021 and 2014–2016. The C U F i , x metric was calculated by normalizing plant utilization rate and improvement focus using z-standardization and combining them with a weighting coefficient. k (e.g., k for plant utilization and 1 − k for improvement focus). Each dot represents a single plant, with its position indicating both the level of performance improvement and its C U F i , x metric value.
Environments 13 00085 g007
Table 1. Results of Kendall’s tau correlation tests evaluating the relationship between performance improvement and various metrics across different environmental parameters. Metrics analyzed include the Ii,x metrics (number of improvement objectives, allocated budget, estimated allocated budget), improvement focus ( I F i , x ) plant utilization rate ( U R i ), and the combined utilization–focus ( C U F i , x ) metric. Cell background colors indicate statistical significance of Kendall’s τ correlations: green (p < 0.05), orange (0.05 ≤ p < 0.10), and red (p ≥ 0.10). For the weighting coefficient k, colors represent its magnitude on a continuous scale from purple (k = 0) through white (k = 0.5) to blue (k = 1). The C U F i , x metric was calculated by normalizing plant utilization rate and improvement focus using z-standardization and combining them with a weighting coefficient. k (e.g., k for plant utilization and 1 − k for improvement focus).
Table 1. Results of Kendall’s tau correlation tests evaluating the relationship between performance improvement and various metrics across different environmental parameters. Metrics analyzed include the Ii,x metrics (number of improvement objectives, allocated budget, estimated allocated budget), improvement focus ( I F i , x ) plant utilization rate ( U R i ), and the combined utilization–focus ( C U F i , x ) metric. Cell background colors indicate statistical significance of Kendall’s τ correlations: green (p < 0.05), orange (0.05 ≤ p < 0.10), and red (p ≥ 0.10). For the weighting coefficient k, colors represent its magnitude on a continuous scale from purple (k = 0) through white (k = 0.5) to blue (k = 1). The C U F i , x metric was calculated by normalizing plant utilization rate and improvement focus using z-standardization and combining them with a weighting coefficient. k (e.g., k for plant utilization and 1 − k for improvement focus).
N. of ObjectivesBudgetEstimated Budget I F i , x U R i C U F i , x
Nτpτpτpτpτpτpk
NTFU13+0.120.580−0.100.652+0.330.125+0.120.580+0.310.143+0.620.0030.75
NOx13+0.260.262+0.180.452+0.260.262+0.320.161−0.130.542+0.320.1610.00
CO11+0.140.585−0.030.920+0.140.585+0.140.585+0.420.073+0.490.0360.90
CO213−0.180.393−0.280.197+0.050.807−0.150.464+0.560.007+0.690.0010.85
Water Consumption8+0.580.071+0.580.071+0.580.071+0.580.071+0.290.322+0.570.0480.50
Waste Production13−0.490.037−0.130.593−0.260.280−0.450.055+0.180.393+0.180.3931.00
Electricity from Grid10−0.320.204−0.130.631−0.230.364−0.320.204+0.380.128+0.420.0890.85
Disclaimer/Publisher’s Note: The statements, opinions and data contained in all publications are solely those of the individual author(s) and contributor(s) and not of MDPI and/or the editor(s). MDPI and/or the editor(s) disclaim responsibility for any injury to people or property resulting from any ideas, methods, instructions or products referred to in the content.

Share and Cite

MDPI and ACS Style

Castelluccio, S.; Fiore, S.; Comoglio, C. Exploring Environmental Management Systems Effectiveness: Do Environmental Investments Effectively Lead to Performance Improvements? Environments 2026, 13, 85. https://doi.org/10.3390/environments13020085

AMA Style

Castelluccio S, Fiore S, Comoglio C. Exploring Environmental Management Systems Effectiveness: Do Environmental Investments Effectively Lead to Performance Improvements? Environments. 2026; 13(2):85. https://doi.org/10.3390/environments13020085

Chicago/Turabian Style

Castelluccio, Stefano, Silvia Fiore, and Claudio Comoglio. 2026. "Exploring Environmental Management Systems Effectiveness: Do Environmental Investments Effectively Lead to Performance Improvements?" Environments 13, no. 2: 85. https://doi.org/10.3390/environments13020085

APA Style

Castelluccio, S., Fiore, S., & Comoglio, C. (2026). Exploring Environmental Management Systems Effectiveness: Do Environmental Investments Effectively Lead to Performance Improvements? Environments, 13(2), 85. https://doi.org/10.3390/environments13020085

Note that from the first issue of 2016, this journal uses article numbers instead of page numbers. See further details here.

Article Metrics

Back to TopTop