Sign in to use this feature.

Years

Between: -

Subjects

remove_circle_outline
remove_circle_outline
remove_circle_outline
remove_circle_outline
remove_circle_outline

Journals

Article Types

Countries / Regions

Search Results (19)

Search Parameters:
Keywords = ping-pong algorithm

Order results
Result details
Results per page
Select all
Export citation of selected articles as:
20 pages, 4802 KB  
Article
How Efficient Are Handovers in Mobile Networks? A Data-Driven Approach
by Viviana Parraga-Villamar, Pablo Lupera-Morillo and Felipe Grijalva
Electronics 2025, 14(16), 3208; https://doi.org/10.3390/electronics14163208 - 13 Aug 2025
Viewed by 914
Abstract
This work analyzes handover (HO) efficiency in mobile networks using real-world data, addressing key challenges that affect connection stability, latency, and network load. Unsuccessful HOs—often caused by suboptimal parameter settings, network congestion, or rapid user movement—are identified as a major problem. To address [...] Read more.
This work analyzes handover (HO) efficiency in mobile networks using real-world data, addressing key challenges that affect connection stability, latency, and network load. Unsuccessful HOs—often caused by suboptimal parameter settings, network congestion, or rapid user movement—are identified as a major problem. To address these issues, the study evaluates key radio frequency indicators such as Received Signal Strength Indicator (RSSI), Reference Signal Received Quality (RSRQ), Signal to Interference plus Noise Ratio (SINR), and the HO ratio, along with mobility-related factors including user direction and the ping-pong effect. A set of key performance indicators (KPIs) is used to quantify performance: Handover Rate (HOR), Handover Ping-Pong (HOPP), and Unnecessary Handover (UHO).The evaluation, based on real-world network data, shows an average HOR of 79.9%, an HOPP rate of 72.45%, and 14.83% of HOs classified as unnecessary. These findings reveal the limitations of traditional static threshold-based strategies and emphasize the need for adaptive, data-driven optimization approaches.The results demonstrate that a comprehensive HO strategy integrating multiple real-time parameters is essential for efficient mobility management and improving overall network reliability and user experience. This study reinforces the importance of leveraging real operational data to refine and validate mobility algorithms in modern cellular systems. Full article
(This article belongs to the Special Issue Wireless Communications Channel)
Show Figures

Figure 1

27 pages, 6389 KB  
Article
FPGA-Accelerated Lightweight CNN in Forest Fire Recognition
by Youming Zha and Xiang Cai
Forests 2025, 16(4), 698; https://doi.org/10.3390/f16040698 - 18 Apr 2025
Cited by 1 | Viewed by 1143
Abstract
Using convolutional neural networks (CNNs) to recognize forest fires in complex outdoor environments is a hot research direction in the field of intelligent forest fire recognition. Due to the storage-intensive and computing-intensive characteristics of CNN algorithms, it is difficult to implement them at [...] Read more.
Using convolutional neural networks (CNNs) to recognize forest fires in complex outdoor environments is a hot research direction in the field of intelligent forest fire recognition. Due to the storage-intensive and computing-intensive characteristics of CNN algorithms, it is difficult to implement them at edge terminals with limited memory and computing resources. This paper uses a FPGA (Field-Programmable Gate Array) to accelerate CNNs to realize forest fire recognition in the field environment and solves the problem of the difficulty in giving consideration to the accuracy and speed of a forest fire recognition network in the implementation of edge terminal equipment. First, a simple seven-layer lightweight network, LightFireNet, is designed. The network is compressed using a knowledge distillation method and the classical network ResNet50 is used as the teacher network to supervise the learning of LightFireNet so that its accuracy rate reaches 97.60%. Compared with ResNet50, the scale of LightFireNet is significantly reduced. Its model parameter amount is 24 K and its calculation amount is 9.11 M, which are 0.1% and 1.2% of ResNet50, respectively. Secondly, the hardware acceleration circuit of LightFireNet is designed and implemented based on the FPGA development board ZYNQ Z7-Lite 7020. In order to further compress the network and speed up the forest fire recognition circuit, the following three methods are used to optimize the circuit: (1) the network convolution layer adopts a depthwise separable convolution structure; (2) the BN (batch normalization) layer is fused with the upper layer (or full connection layer); (3) half float or ap_fixed<16,6>-type data is used to express feature data and model parameters. After the circuit function is realized, the LightFireNet terminal circuit is obtained through the circuit parallel optimization method of loop tiling, ping-pong operation, and multi-channel data transmission. Finally, it is verified on the test dataset that the accuracy of the forest fire recognition of the FPGA edge terminal of the LightFireNet model is 96.70%, the recognition speed is 64 ms per frame, and the power consumption is 2.23 W. The results show that this paper has realized a low-power-consumption, high-accuracy, and fast forest fire recognition terminal, which can thus be better applied to forest fire monitoring. Full article
Show Figures

Figure 1

20 pages, 3488 KB  
Article
Sea-Based UAV Network Resource Allocation Method Based on an Attention Mechanism
by Zhongyang Mao, Zhilin Zhang, Faping Lu, Yaozong Pan, Tianqi Zhang, Jiafang Kang, Zhiyong Zhao and Yang You
Electronics 2024, 13(18), 3686; https://doi.org/10.3390/electronics13183686 - 17 Sep 2024
Viewed by 1336
Abstract
As humans continue to exploit the ocean, the number of UAV nodes at sea and the demand for their services are increasing. Given the dynamic nature of marine environments, traditional resource allocation methods lead to inefficient service transmission and ping-pong effects. This study [...] Read more.
As humans continue to exploit the ocean, the number of UAV nodes at sea and the demand for their services are increasing. Given the dynamic nature of marine environments, traditional resource allocation methods lead to inefficient service transmission and ping-pong effects. This study enhances the alignment between network resources and node services by introducing an attention mechanism and double deep Q-learning (DDQN) algorithm that optimizes the service-access strategy, curbs action outputs, and improves service-node compatibility, thereby constituting a novel method for UAV network resource allocation in marine environments. A selective suppression module minimizes the variability in action outputs, effectively mitigating the ping-pong effect, and an attention-aware module is designed to strengthen node-service compatibility, thereby significantly enhancing service transmission efficiency. Simulation results indicate that the proposed method boosts the number of completed services compared with the DDQN, soft actor–critic (SAC), and deep deterministic policy gradient (DDPG) algorithms and increases the total value of completed services. Full article
(This article belongs to the Special Issue Parallel, Distributed, Edge Computing in UAV Communication)
Show Figures

Figure 1

18 pages, 13002 KB  
Article
A Robust Handover Optimization Based on Velocity-Aware Fuzzy Logic in 5G Ultra-Dense Small Cell HetNets
by Hamidullah Riaz, Sıtkı Öztürk and Ali Çalhan
Electronics 2024, 13(17), 3349; https://doi.org/10.3390/electronics13173349 - 23 Aug 2024
Cited by 3 | Viewed by 2331
Abstract
In 5G networks and beyond, managing handovers (HOs) becomes complex because of frequent user transitions through small coverage areas. The abundance of small cells (SCs) also complicates HO decisions, potentially leading to inefficient resource utilization. To optimize this process, we propose an intelligent [...] Read more.
In 5G networks and beyond, managing handovers (HOs) becomes complex because of frequent user transitions through small coverage areas. The abundance of small cells (SCs) also complicates HO decisions, potentially leading to inefficient resource utilization. To optimize this process, we propose an intelligent algorithm based on a method that utilizes a fuzzy logic controller (FLC), leveraging prior expertise to dynamically adjust the time-to-trigger (TTT), and handover margin (HOM) in a 5G ultra-dense SC heterogeneous network (HetNet). FLC refines TTT based on the user’s velocity to improve the response to movement. Simultaneously, it adapts HOM by considering inputs such as the reference signal received power (RSRP), user equipment (UE) speed, and cell load. The proposed approach enhances HO decisions, thereby improving the overall system performance. Evaluation using metrics such as handover rate (HOR), handover failure (HOF), radio link failure (RLF), and handover ping-pong (HOPP) demonstrate the superiority of the proposed algorithm over existing approaches. Full article
Show Figures

Figure 1

23 pages, 5651 KB  
Article
Enhancing Wireless Network Efficiency with the Techniques of Dynamic Distributed Load Balancing: A Distance-Based Approach
by Mustafa Mohammed Hasan Alkalsh and Adrian Kliks
Sensors 2024, 24(16), 5406; https://doi.org/10.3390/s24165406 - 21 Aug 2024
Cited by 1 | Viewed by 2853
Abstract
The unique combination of the high data rates, ultra-low latency, and massive machine communication capability of 5G networks has facilitated the development of a diverse range of applications distinguished by varying connectivity needs. This has led to a surge in data traffic, driven [...] Read more.
The unique combination of the high data rates, ultra-low latency, and massive machine communication capability of 5G networks has facilitated the development of a diverse range of applications distinguished by varying connectivity needs. This has led to a surge in data traffic, driven by the ever-increasing number of connected devices, which poses challenges to the load distribution among the network cells and minimizes the wireless network performance. In this context, maintaining network balance during congestion periods necessitates effective interaction between various network components. This study emphasizes the crucial role that mobility management plays in mitigating the uneven load distribution across cells. This distribution is a significant factor impacting network performance, and effectively managing it is essential for ensuring optimal network performance in 5G and future networks. The study investigated the complexities associated with congested cells in wireless networks to address this challenge. It proposes a Dynamic Distance-based Load-Balancing (DDLB) algorithm designed to facilitate efficient traffic distribution among contiguous cells and utilize available resources more efficiently. The algorithm reacts with congested cells and redistributes traffic to its neighboring cells based on specific network conditions. As a result, it alleviates congestion and enhances overall network performance. The results demonstrate that the DDLB algorithm significantly improves key metrics, including load distribution and rates of handover and radio link failure, handover ping-pong, and failed attached requests. Full article
(This article belongs to the Special Issue Future Wireless Communication Networks (Volume II))
Show Figures

Figure 1

25 pages, 13951 KB  
Article
1D-CNN-Transformer for Radar Emitter Identification and Implemented on FPGA
by Xiangang Gao, Bin Wu, Peng Li and Zehuan Jing
Remote Sens. 2024, 16(16), 2962; https://doi.org/10.3390/rs16162962 - 12 Aug 2024
Cited by 5 | Viewed by 5725
Abstract
Deep learning has brought great development to radar emitter identification technology. In addition, specific emitter identification (SEI), as a branch of radar emitter identification, has also benefited from it. However, the complexity of most deep learning algorithms makes it difficult to adapt to [...] Read more.
Deep learning has brought great development to radar emitter identification technology. In addition, specific emitter identification (SEI), as a branch of radar emitter identification, has also benefited from it. However, the complexity of most deep learning algorithms makes it difficult to adapt to the requirements of the low power consumption and high-performance processing of SEI on embedded devices, so this article proposes solutions from the aspects of software and hardware. From the software side, we design a Transformer variant network, lightweight convolutional Transformer (LW-CT) that supports parameter sharing. Then, we cascade convolutional neural networks (CNNs) and the LW-CT to construct a one-dimensional-CNN-Transformer(1D-CNN-Transformer) lightweight neural network model that can capture the long-range dependencies of radar emitter signals and extract signal spatial domain features meanwhile. In terms of hardware, we design a low-power neural network accelerator based on an FPGA to complete the real-time recognition of radar emitter signals. The accelerator not only designs high-efficiency computing engines for the network, but also devises a reconfigurable buffer called “Ping-pong CBUF” and two-level pipeline architecture for the convolution layer for alleviating the bottleneck caused by the off-chip storage access bandwidth. Experimental results show that the algorithm can achieve a high recognition performance of SEI with a low calculation overhead. In addition, the hardware acceleration platform not only perfectly meets the requirements of the radar emitter recognition system for low power consumption and high-performance processing, but also outperforms the accelerators in other papers in terms of the energy efficiency ratio of Transformer layer processing. Full article
Show Figures

Figure 1

20 pages, 3424 KB  
Article
Relationship between Cumulative Temperature and Light Intensity and G93 Parameters of Isoprene Emission for the Tropical Tree Ficus septica
by Hirosuke Oku, Asif Iqbal, Shigeki Oogai, Masashi Inafuku and Ishmael Mutanda
Plants 2024, 13(2), 243; https://doi.org/10.3390/plants13020243 - 15 Jan 2024
Cited by 2 | Viewed by 2564
Abstract
The most widely used isoprene emission algorithm, G93 formula, estimates instantaneous leaf-level isoprene emission using the basal emission factor and light and temperature dependency parameters. The G93 parameters have been suggested to show variation depending on past weather conditions, but no study has [...] Read more.
The most widely used isoprene emission algorithm, G93 formula, estimates instantaneous leaf-level isoprene emission using the basal emission factor and light and temperature dependency parameters. The G93 parameters have been suggested to show variation depending on past weather conditions, but no study has closely examined the relationship between past meteorological data and the algorithm parameters. Here, to examine the influence of the past weather on these parameters, we monitored weather conditions, G93 parameters, isoprene synthase transcripts and protein levels, and MEP pathway metabolites in the tropical tree Ficus septica for 12 days and analyzed their relationship with cumulative temperature and light intensity. Plants were illuminated with varying (ascending and descending) light regimes, and our previously developed Ping-Pong optimization method was used to parameterize G93. The cumulative temperature of the past 5 and 7 days positively correlated with CT2 and α, respectively, while the cumulative light intensity of the past 10 days showed the highest negative correlation with α. Concentrations of MEP pathway metabolites and IspS gene expression increased with increasing cumulative temperature. At best, the cumulative temperature of the past 2 days positively correlated with the MEP pathway metabolites and IspS gene expression, while these factors showed a biphasic positive and negative correlation with cumulative light intensity. Optimized G93 captured well the temperature and light dependency of isoprene emission at the beginning of the experiment; however, its performance significantly decreased for the latter stages of the experimental duration, especially for the descending phase. This was successfully improved through separate optimization of the ascending and descending phases, emphasizing the importance of the optimization of formula parameters and model improvement. These results have important implications for the improvement of isoprene emission algorithms, particularly under the predicted increase in future global temperatures. Full article
Show Figures

Figure 1

17 pages, 3418 KB  
Article
A Fast and Low-Power Detection System for the Missing Pin Chip Based on YOLOv4-Tiny Algorithm
by Shiyi Chen, Wugang Lai, Junjie Ye and Yingjie Ma
Sensors 2023, 23(8), 3918; https://doi.org/10.3390/s23083918 - 12 Apr 2023
Cited by 6 | Viewed by 3170
Abstract
In the current chip quality detection industry, detecting missing pins in chips is a critical task, but current methods often rely on inefficient manual screening or machine vision algorithms deployed in power-hungry computers that can only identify one chip at a time. To [...] Read more.
In the current chip quality detection industry, detecting missing pins in chips is a critical task, but current methods often rely on inefficient manual screening or machine vision algorithms deployed in power-hungry computers that can only identify one chip at a time. To address this issue, we propose a fast and low-power multi-object detection system based on the YOLOv4-tiny algorithm and a small-size AXU2CGB platform that utilizes a low-power FPGA for hardware acceleration. By adopting loop tiling to cache feature map blocks, designing an FPGA accelerator structure with two-layer ping-pong optimization as well as multiplex parallel convolution kernels, enhancing the dataset, and optimizing network parameters, we achieve a 0.468 s per-image detection speed, 3.52 W power consumption, 89.33% mean average precision (mAP), and 100% missing pin recognition rate regardless of the number of missing pins. Our system reduces detection time by 73.27% and power consumption by 23.08% compared to a CPU, while delivering a more balanced boost in performance compared to other solutions. Full article
(This article belongs to the Special Issue AI Applications in Smart Networks and Sensor Devices)
Show Figures

Figure 1

26 pages, 1447 KB  
Article
FPGA-Based Vehicle Detection and Tracking Accelerator
by Jiaqi Zhai, Bin Li, Shunsen Lv and Qinglei Zhou
Sensors 2023, 23(4), 2208; https://doi.org/10.3390/s23042208 - 16 Feb 2023
Cited by 34 | Viewed by 7840
Abstract
A convolutional neural network-based multiobject detection and tracking algorithm can be applied to vehicle detection and traffic flow statistics, thus enabling smart transportation. Aiming at the problems of the high computational complexity of multiobject detection and tracking algorithms, a large number of model [...] Read more.
A convolutional neural network-based multiobject detection and tracking algorithm can be applied to vehicle detection and traffic flow statistics, thus enabling smart transportation. Aiming at the problems of the high computational complexity of multiobject detection and tracking algorithms, a large number of model parameters, and difficulty in achieving high throughput with a low power consumption in edge devices, we design and implement a low-power, low-latency, high-precision, and configurable vehicle detector based on a field programmable gate array (FPGA) with YOLOv3 (You-Only-Look-Once-version3), YOLOv3-tiny CNNs (Convolutional Neural Networks), and the Deepsort algorithm. First, we use a dynamic threshold structured pruning method based on a scaling factor to significantly compress the detection model size on the premise that the accuracy does not decrease. Second, a dynamic 16-bit fixed-point quantization algorithm is used to quantify the network parameters to reduce the memory occupation of the network model. Furthermore, we generate a reidentification (RE-ID) dataset from the UA-DETRAC dataset and train the appearance feature extraction network on the Deepsort algorithm to improve the vehicles’ tracking performance. Finally, we implement hardware optimization techniques such as memory interlayer multiplexing, parameter rearrangement, ping-pong buffering, multichannel transfer, pipelining, Im2col+GEMM, and Winograd algorithms to improve resource utilization and computational efficiency. The experimental results demonstrate that the compressed YOLOv3 and YOLOv3-tiny network models decrease in size by 85.7% and 98.2%, respectively. The dual-module parallel acceleration meets the demand of the 6-way parallel video stream vehicle detection with the peak throughput at 168.72 fps. Full article
(This article belongs to the Special Issue Application of Deep Learning in Intelligent Transportation)
Show Figures

Figure 1

19 pages, 3856 KB  
Article
YOLOv4-Tiny-Based Coal Gangue Image Recognition and FPGA Implementation
by Shanyong Xu, Yujie Zhou, Yourui Huang and Tao Han
Micromachines 2022, 13(11), 1983; https://doi.org/10.3390/mi13111983 - 16 Nov 2022
Cited by 24 | Viewed by 4353
Abstract
Nowadays, most of the deep learning coal gangue identification methods need to be performed on high-performance CPU or GPU hardware devices, which are inconvenient to use in complex underground coal mine environments due to their high power consumption, huge size, and significant heat [...] Read more.
Nowadays, most of the deep learning coal gangue identification methods need to be performed on high-performance CPU or GPU hardware devices, which are inconvenient to use in complex underground coal mine environments due to their high power consumption, huge size, and significant heat generation. Aiming to resolve these problems, this paper proposes a coal gangue identification method based on YOLOv4-tiny and deploys it on the low-power hardware platform FPGA. First, the YOLOv4-tiny model is well trained on the computer platform, and the computation of the model is reduced through the 16-bit fixed-point quantization and the integration of a BN layer and convolution layer. Second, convolution and pooling IP kernels are designed on the FPGA platform to accelerate the computation of convolution and pooling, in which three optimization methods, including input and output channel parallelism, pipeline, and ping-pong operation, are used. Finally, the FPGA hardware system design of the whole algorithm is completed. The experimental results of the self-made coal gangue data set indicate that the precision of the algorithm proposed in this paper for coal gangue recognition on the FPGA platform are slightly lower than those of CPU and GPU, and the mAP value is 96.56%; the recognition speed of each image is 0.376 s, which is between those of CPU and GPU; the hardware power consumption of the FPGA platform is only 2.86 W; and the energy efficiency ratio is 10.42 and 3.47 times that of CPU and GPU, respectively. Full article
Show Figures

Figure 1

21 pages, 2689 KB  
Article
Robust Handover Optimization Technique with Fuzzy Logic Controller for Beyond 5G Mobile Networks
by Saddam Alraih, Rosdiadee Nordin, Asma Abu-Samah, Ibraheem Shayea, Nor Fadzilah Abdullah and Abdulraqeb Alhammadi
Sensors 2022, 22(16), 6199; https://doi.org/10.3390/s22166199 - 18 Aug 2022
Cited by 37 | Viewed by 4133
Abstract
Mobility management is an essential process in mobile networks to ensure a high quality of service (QoS) for mobile user equipment (UE) during their movements. In fifth generation (5G) and beyond (B5G) mobile networks, mobility management becomes more critical due to several key [...] Read more.
Mobility management is an essential process in mobile networks to ensure a high quality of service (QoS) for mobile user equipment (UE) during their movements. In fifth generation (5G) and beyond (B5G) mobile networks, mobility management becomes more critical due to several key factors, such as the use of Millimeter Wave (mmWave) and Terahertz, a higher number of deployed small cells, massive growth of connected devices, the requirements of a higher data rate, and the necessities for ultra-low latency with high reliability. Therefore, providing robust mobility techniques that enable seamless connections through the UE’s mobility has become critical and challenging. One of the crucial handover (HO) techniques is known as mobility robustness optimization (MRO), which mainly aims to adjust HO control parameters (HCPs) (time-to-trigger (TTT) and handover margin (HOM)). Although this function has been introduced in 4G and developed further in 5G, it must be more efficient with future mobile networks due to several key challenges, as previously illustrated. This paper proposes a Robust Handover Optimization Technique with a Fuzzy Logic Controller (RHOT-FLC). The proposed technique aims to automatically configure HCPs by exploiting the information on Reference Signal Received Power (RSRP), Reference Signal Received Quality (RSRQ), and UE velocity as input parameters for the proposed technique. The technique is validated through various mobility scenarios in B5G networks. Additionally, it is evaluated using a number of major HO performance metrics, such as HO probability (HOP), HO failure (HOF), HO ping-pong (HOPP), HO latency (HOL), and HO interruption time (HIT). The obtained results have also been compared with other competitive algorithms from the literature. The results show that RHOT-FLC has achieved considerably better performance than other techniques. Furthermore, the RHOT-FLC technique obtains up to 95% HOP reduction, 95.8% in HOF, 97% in HOPP, 94.7% in HOL, and 95% in HIT compared to the competitive algorithms. Overall, RHOT-FLC obtained a substantial improvement of up to 95.5% using the considered HO performance metrics. Full article
(This article belongs to the Special Issue Towards Next Generation beyond 5G (B5G) Networks)
Show Figures

Figure 1

18 pages, 4482 KB  
Article
Thermal—Airflow Coupling in Hourly Energy Simulation of a Building with Natural Stack Ventilation
by Piotr Michalak
Energies 2022, 15(11), 4175; https://doi.org/10.3390/en15114175 - 6 Jun 2022
Cited by 9 | Viewed by 2822
Abstract
Natural ventilation dominates in Polish residential buildings. It is a simple and low-cost system but its performance is affected by varying environmental conditions. Hence, setting up constant ventilation airflow results in errors when calculating heating and cooling energy. In this paper, an attempt [...] Read more.
Natural ventilation dominates in Polish residential buildings. It is a simple and low-cost system but its performance is affected by varying environmental conditions. Hence, setting up constant ventilation airflow results in errors when calculating heating and cooling energy. In this paper, an attempt to integrate the buoyancy effect in natural ventilation of a residential building at hourly resolution with the hourly simulation method of EN ISO 13790 to obtain energy use for space heating and cooling is presented. The ping-pong coupling algorithm was proposed and applied. Hourly variation of ventilation airflow rate was from −26.8 m3/h (flow from outdoor to the interior of the building) to 87.2 m3/h with 55 m3/h on average. The lack of a cooling system resulted in overheating during summer and indicated the necessity of its application or use of other techniques to reduce solar gains. Application of the cooling system resulted in an hourly ventilation rate from −38.0 m3/h to 87.2 m3/h. Detailed simulation in EnergyPlus and statistical analysis proved the applicability of the proposed method in stack-induced ventilation assessment. The coefficient of determination R2 = 0.936, mean squared error MAE = 5.72 m3/h and root mean square error RMSE = 7.86 m3/h. Full article
Show Figures

Figure 1

12 pages, 5940 KB  
Article
Motor Dynamic Loading and Comprehensive Test System Based on FPGA and MCU
by Chunxiang Zhu, Linxin Bao, Bowen Zheng, Jiacheng Qian, Yongdong Cai and Binrui Wang
Electronics 2022, 11(9), 1317; https://doi.org/10.3390/electronics11091317 - 21 Apr 2022
Cited by 2 | Viewed by 3593
Abstract
In view of the problem that the traditional motor test system cannot directly test the transient parameters of the motor and the dynamic arbitrary load loading requirements during motor loading, as well as the high cost of implementation, this research uses STM32+FPGA as [...] Read more.
In view of the problem that the traditional motor test system cannot directly test the transient parameters of the motor and the dynamic arbitrary load loading requirements during motor loading, as well as the high cost of implementation, this research uses STM32+FPGA as the core to form the main control of the motor test system unit, combining the superior control performance of the ARM processor and the high-speed data processing advantages of FPGA. FPGA and STM32 are controlled by the FSMC bus communication and data ping-pong algorithm. Using this method, a small-size control core board in the motor test system is manufactured. It can be embedded in the existing traditional dynamometer system to improve the dynamometer transient parameter test and the dynamic motor loading performance. The experimental results show that the system can basically meet the requirements of the motor transient test and dynamic loading, and can achieve the fastest data refresh rate of 1 ms when measuring the motor’s speed and torque, as well as arbitrary waveform loading within a 100 M sampling frequency, with a loading error of 0.8%. It satisfies the motor transient test and dynamic loading requirements. Full article
(This article belongs to the Topic Application of Innovative Power Electronic Technologies)
Show Figures

Figure 1

20 pages, 6002 KB  
Article
Multi-Agent Deep Q Network to Enhance the Reinforcement Learning for Delayed Reward System
by Keecheon Kim
Appl. Sci. 2022, 12(7), 3520; https://doi.org/10.3390/app12073520 - 30 Mar 2022
Cited by 14 | Viewed by 6470
Abstract
This study examines various factors and conditions that are related with the performance of reinforcement learning, and defines a multi-agent DQN system (N-DQN) model to improve them. N-DQN model is implemented in this paper with examples of maze finding and ping-pong as examples [...] Read more.
This study examines various factors and conditions that are related with the performance of reinforcement learning, and defines a multi-agent DQN system (N-DQN) model to improve them. N-DQN model is implemented in this paper with examples of maze finding and ping-pong as examples of delayed reward system, where delayed reward occurs, which makes general DQN learning difficult to apply. The implemented N-DQN shows about 3.5 times higher learning performance compared to the Q-Learning algorithm in the reward-sparse environment in the performance evaluation, and compared to DQN, it shows about 1.1 times faster goal achievement speed. In addition, through the implementation of the prioritized experience replay and the implementation of the reward acquisition section segmentation policy, such a problem as positive-bias of the existing reinforcement learning models seldom or never occurred. However, according to the characteristics of the architecture that uses many numbers of actors in parallel, the need for additional research on light-weighting the system for further performance improvement has raised. This paper describes in detail the structure of the proposed multi-agent N_DQN architecture, the contents of various algorithms used, and the specification for its implementation. Full article
(This article belongs to the Topic Artificial Intelligence in Sensors)
Show Figures

Figure 1

19 pages, 515 KB  
Article
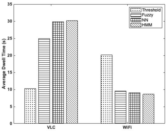
Vertical Handover Prediction Based on Hidden Markov Model in Heterogeneous VLC-WiFi System
by Oluwaseyi Paul Babalola and Vipin Balyan
Sensors 2022, 22(7), 2473; https://doi.org/10.3390/s22072473 - 23 Mar 2022
Cited by 25 | Viewed by 3331
Abstract
Visible light communication (VLC) channel quality depends on line-of-sight (LoS) transmission, which cannot guarantee continuous transmission due to interruptions caused by blockage and user mobility. Thus, integrating VLC with radio frequency (RF) such asWireless Fidelity (WiFi), provides good quality of experience (QoE) to [...] Read more.
Visible light communication (VLC) channel quality depends on line-of-sight (LoS) transmission, which cannot guarantee continuous transmission due to interruptions caused by blockage and user mobility. Thus, integrating VLC with radio frequency (RF) such asWireless Fidelity (WiFi), provides good quality of experience (QoE) to users. A vertical handover (VHO) scheme that optimizes both the cost of switching and dwelling time of the hybrid VLC–WiFi system is required since blockage on VLC LoS usually occurs for a short period. Hence, an automated VHO algorithm for the VLC–WiFi system based on the hidden Markov model (HMM) is developed in this article. The proposed VHO prediction scheme utilizes the channel characterization of the networks, specifically, the measured received signal strength (RSS) values at different locations. Effective RSS are extracted from the huge datasets using principal component analysis (PCA), which is adopted with HMM, and thus reducing the computational complexity of the model. In comparison with state-of-the-art VHO handover prediction methods, the proposed HMM-based VHO scheme accurately obtains the most likely next assigned access point (AP) by selecting an appropriate time window. The results show a high VHO prediction accuracy and reduced mixed absolute percentage error performance. In addition, the results indicate that the proposed algorithm improves the dwell time on a network and reduces the number of handover events as compared to the threshold-based, fuzzy-controller, and neural network VHO prediction schemes. Thus, it reduces the ping-pong effects associated with the VHO in the heterogeneous VLC–WiFi network. Full article
(This article belongs to the Section Intelligent Sensors)
Show Figures

Figure 1

Back to TopTop