Sign in to use this feature.

Years

Between: -

Subjects

remove_circle_outline
remove_circle_outline
remove_circle_outline
remove_circle_outline
remove_circle_outline
remove_circle_outline
remove_circle_outline
remove_circle_outline

Journals

Article Types

Countries / Regions

Search Results (16)

Search Parameters:
Keywords = phosphagens

Order results
Result details
Results per page
Select all
Export citation of selected articles as:
12 pages, 2102 KB  
Review
Integrative Physiological Strategies for Monitoring Demands in Functional Fitness
by Manoel Rios and David B. Pyne
Sports 2025, 13(11), 381; https://doi.org/10.3390/sports13110381 - 4 Nov 2025
Viewed by 1713
Abstract
An integrated physiological model would be useful for monitoring internal load in functional fitness, including formats like CrossFit and Hyrox. Traditional performance metrics often neglect internal strain, energy system engagement, and neuromuscular fatigue, central to these modalities. Oxygen uptake kinetics, metabolic profiling, heart [...] Read more.
An integrated physiological model would be useful for monitoring internal load in functional fitness, including formats like CrossFit and Hyrox. Traditional performance metrics often neglect internal strain, energy system engagement, and neuromuscular fatigue, central to these modalities. Oxygen uptake kinetics, metabolic profiling, heart rate and heart rate variability monitoring, and neuromuscular fatigue assessment can be employed for load monitoring. Breath-by-breath oxygen uptake analysis characterizes aerobic activation and recovery. Metabolic stress is estimated via indirect calorimetry and capillary blood lactate to quantify oxidative, glycolytic, and phosphagen contributions. Heart rate is tracked continuously to assess session intensity, while heart rate variability provides insights into autonomic recovery. Neuromuscular fatigue can be assessed via countermovement jump performance, offering sensitive measures of recovery and training tolerance. Portable tools such as the Cosmed K5, Lactate Pro 2, heart rate sensors, and force platforms support real-time monitoring in training and competitions. Rather than advocating for the continuous use of advanced tools, the model promotes strategic integration of high-precision methods for research, and practical, low-cost alternatives (e.g., heart rate monitoring, session rating of perceived exertion, or jump analysis apps) for day-to-day coaching. This approach enables early detection of maladaptation, supports individualized training adjustments, and improves safety and performance outcomes. Ultimately, this framework bridges physiological science and real-world practice, providing value across both applied and research settings. Full article
Show Figures

Figure 1

17 pages, 6177 KB  
Review
Structural Insights into Arginine Kinase and Phosphagen Kinase Homologs: Mechanisms of Catalysis, Regulation, and Evolution
by Sung-Min Kang
Biology 2025, 14(9), 1176; https://doi.org/10.3390/biology14091176 - 2 Sep 2025
Cited by 1 | Viewed by 958
Abstract
Phosphagen kinases are vital for energy buffering and ATP regeneration in cells with high or fluctuating energy demands. Phosphagens are small, high-energy phosphate-storage molecules, such as arginine phosphate or creatine phosphate, that serve as immediate phosphate donors for rapid ATP production. Among them, [...] Read more.
Phosphagen kinases are vital for energy buffering and ATP regeneration in cells with high or fluctuating energy demands. Phosphagens are small, high-energy phosphate-storage molecules, such as arginine phosphate or creatine phosphate, that serve as immediate phosphate donors for rapid ATP production. Among them, arginine kinase plays a central role in invertebrates, while creatine kinase is predominant in vertebrates. This review presents a comprehensive structural analysis of arginine kinases and their homologs across diverse species, ranging from invertebrates like Daphnia magna, Scylla paramamosain, and Limulus polyphemus to the bacterial kinase McsB from Staphylococcus aureus. High-resolution crystal and cryo-EM structures reveal a common two-domain architecture and shed light on substrate-induced conformational changes, domain cooperativity, and catalytic mechanisms. Mutational studies highlight conserved residues such as His284 and their impact on enzyme dynamics. Importantly, the structure of bacterial arginine kinase-like kinases, such as McsB, unveils regulatory mechanisms mediated by activators like McsA. This structural diversity and functional specificity underscore the evolutionary adaptability of phosphagen kinases and their relevance as potential drug targets or diagnostic markers. Full article
(This article belongs to the Section Biochemistry and Molecular Biology)
Show Figures

Figure 1

16 pages, 4197 KB  
Review
Conformational Dynamics and Structural Transitions of Arginine Kinase: Implications for Catalysis and Allergen Control
by Sung-Min Kang
Life 2025, 15(8), 1248; https://doi.org/10.3390/life15081248 - 6 Aug 2025
Viewed by 1219
Abstract
Arginine kinase is a key phosphagen kinase in invertebrates that facilitates rapid ATP regeneration by reversibly transferring phosphate groups between phosphoarginine and ADP. Structural studies have shown that the enzyme adopts distinct conformations in its ligand-free and ligand-bound states, known as the “open” [...] Read more.
Arginine kinase is a key phosphagen kinase in invertebrates that facilitates rapid ATP regeneration by reversibly transferring phosphate groups between phosphoarginine and ADP. Structural studies have shown that the enzyme adopts distinct conformations in its ligand-free and ligand-bound states, known as the “open” and “closed” forms, respectively. These conformational changes are crucial for catalytic activity, enabling precise positioning of active-site residues and loop closure during phosphoryl transfer. Transition-state analog complexes have provided additional insights by mimicking intermediate states of catalysis, supporting the functional relevance of the open/closed structural model. Furthermore, studies across multiple species reveal how monomeric and dimeric forms of arginine kinase contribute to its allosteric regulation and substrate specificity. Beyond its metabolic role, arginine kinase is also recognized as a major allergen in crustaceans. Its structural uniqueness and absence in vertebrates make it a promising candidate for selective drug targeting. By integrating crystallographic data with functional context, this review highlights conserved features and species-specific variations of arginine kinase that may inform the design of inhibitors. Such molecules have the potential to serve both as antiparasitic agents and as novel therapeutics to manage crustacean-related allergic responses in humans. Full article
(This article belongs to the Section Proteins and Proteomics)
Show Figures

Figure 1

25 pages, 3051 KB  
Review
Alcohol Alters Skeletal Muscle Bioenergetic Function: A Scoping Review
by Matthew R. DiLeo, Rylea E. Hall, Heather L. Vellers, Chelsea L. Daniels and Danielle E. Levitt
Int. J. Mol. Sci. 2024, 25(22), 12280; https://doi.org/10.3390/ijms252212280 - 15 Nov 2024
Cited by 6 | Viewed by 5597
Abstract
Bioenergetic pathways uniquely support sarcomere function which, in turn, helps to maintain functional skeletal muscle (SKM) mass. Emerging evidence supports alcohol (EtOH)-induced bioenergetic impairments in SKM and muscle precursor cells. We performed a scoping review to synthesize existing evidence regarding the effects of [...] Read more.
Bioenergetic pathways uniquely support sarcomere function which, in turn, helps to maintain functional skeletal muscle (SKM) mass. Emerging evidence supports alcohol (EtOH)-induced bioenergetic impairments in SKM and muscle precursor cells. We performed a scoping review to synthesize existing evidence regarding the effects of EtOH on SKM bioenergetics. Eligible articles from six databases were identified, and titles, abstracts, and full texts for potentially relevant articles were screened against inclusion criteria. Through the search, we identified 555 unique articles, and 21 met inclusion criteria. Three studies investigated EtOH effects on the adenosine triphosphate (ATP)-phosphocreatine (PCr) system, twelve investigated EtOH effects on glycolytic metabolism, and seventeen investigated EtOH effects on mitochondrial metabolism. Despite increased ATP-PCr system reliance, EtOH led to an overall decrease in bioenergetic function through decreased expression and activity of glycolytic and mitochondrial pathway components. However, effects varied depending on the EtOH dose and duration, model system, and sample type. The results detail the EtOH-induced shifts in energy metabolism, which may adversely affect sarcomere function and contribute to myopathy. These findings should be used to develop targeted interventions that improve SKM bioenergetic function, and thus sarcomere function, in people with Alcohol Use Disorder (AUD). Key areas in need of further investigation are also identified. Full article
(This article belongs to the Special Issue Sarcomeric Proteins in Health and Disease: 3rd Edition)
Show Figures

Figure 1

15 pages, 1612 KB  
Article
Sex Differences in the Energy System Contribution during Sprint Exercise in Speed-Power and Endurance Athletes
by Damian Archacki, Jacek Zieliński, Monika Ciekot-Sołtysiak, Ewa Anna Zarębska and Krzysztof Kusy
J. Clin. Med. 2024, 13(16), 4812; https://doi.org/10.3390/jcm13164812 - 15 Aug 2024
Cited by 6 | Viewed by 4108
Abstract
Background/Objectives: A high level of specific metabolic capacity is essential for maximal sprinting in both male and female athletes. Various factors dictate sex differences in maximal power production and energy utilization. This study aims to compare the contribution of energy systems between [...] Read more.
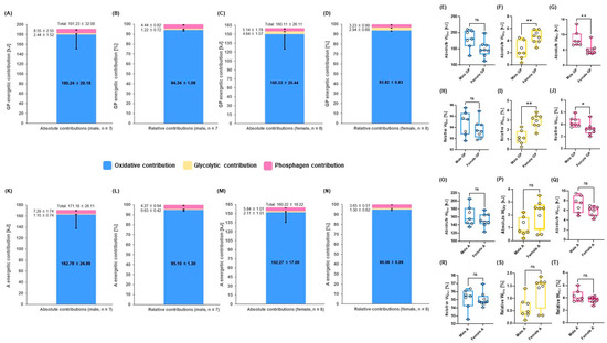
Background/Objectives: A high level of specific metabolic capacity is essential for maximal sprinting in both male and female athletes. Various factors dictate sex differences in maximal power production and energy utilization. This study aims to compare the contribution of energy systems between male and female athletes with similar sport-specific physiological adaptations during a 15-s sprint exercise. Methods: The endurance group consisted of 17 males (23 ± 7 y) and 17 females (20 ± 2 y). The speed-power group included 14 males (21.1 ± 2.6 y) and 14 females (20 ± 3 y). The contribution of phosphagen, glycolytic, and aerobic systems was determined using the three-component PCr-LA-O2 method. Results: Significant differences were observed in the energy expenditure for all systems and total energy expenditure between males and females in both groups (p = 0.001–0.013). The energy expenditure in kJ for individual systems (phosphagen–glycolytic–aerobic) was 35:25:7 vs. 20:16:5 in endurance males vs. female athletes, respectively. In the speed-power group, male athletes expended 33:37:6 kJ and female athletes expended 21:25:4 kJ, respectively. The percentage proportions did not differ between males and females in any system. The contribution of the phosphagen–glycolytic–aerobic systems was 52:37:11 vs. 48:39:13 in endurance male and female athletes, respectively. For speed-power males vs. female athletes, the proportions were 42:50:8 vs. 41:50:9, respectively. Conclusions: Despite the differences in body composition, mechanical output, and absolute energy expenditure, the energy system contribution appears to have a similar metabolic effect between male and female athletes engaged in sprint exercises with similar sport-related adaptations. The magnitude and profile of sex differences are related to sports discipline. Full article
(This article belongs to the Special Issue Sports Exercise: How It Benefits Health and Disease)
Show Figures

Figure 1

12 pages, 2448 KB  
Article
Assessment of Cardiorespiratory and Metabolic Contributions in an Extreme Intensity CrossFit® Benchmark Workout
by Manoel Rios, Klaus Magno Becker, Filipa Cardoso, David B. Pyne, Victor Machado Reis, Daniel Moreira-Gonçalves and Ricardo J. Fernandes
Sensors 2024, 24(2), 513; https://doi.org/10.3390/s24020513 - 14 Jan 2024
Cited by 14 | Viewed by 5344
Abstract
Our purpose was to characterize the oxygen uptake kinetics (VO2), energy systems contributions and total energy expenditure during a CrossFit® benchmark workout performed in the extreme intensity domain. Fourteen highly trained male CrossFitters, aged 28.3 ± 5.4 years, with height [...] Read more.
Our purpose was to characterize the oxygen uptake kinetics (VO2), energy systems contributions and total energy expenditure during a CrossFit® benchmark workout performed in the extreme intensity domain. Fourteen highly trained male CrossFitters, aged 28.3 ± 5.4 years, with height 177.8 ± 9.4 cm, body mass 87.9 ± 10.5 kg and 5.6 ± 1.8 years of training experience, performed the Isabel workout at maximal exertion. Cardiorespiratory variables were measured at baseline, during exercise and the recovery period, with blood lactate and glucose concentrations, including the ratings of perceived exertion, measured pre- and post-workout. The Isabel workout was 117 ± 10 s in duration and the VO2 peak was 47.2 ± 4.7 mL·kg−1·min−1, the primary component amplitude was 42.0 ± 6.0 mL·kg−1·min−1, the time delay was 4.3 ± 2.2 s and the time constant was 14.2 ± 6.0 s. The accumulated VO2 (0.6 ± 0.1 vs. 4.8 ± 1.0 L·min−1) value post-workout increased substantially when compared to baseline. Oxidative phosphorylation (40%), glycolytic (45%) and phosphagen (15%) pathways contributed to the 245 ± 25 kJ total energy expenditure. Despite the short ~2 min duration of the Isabel workout, the oxygen-dependent and oxygen-independent metabolism energy contributions to the total metabolic energy release were similar. The CrossFit® Isabel requires maximal effort and the pattern of physiological demands identifies this as a highly intensive and effective workout for developing fitness and conditioning for sports. Full article
Show Figures

Figure 1

12 pages, 1369 KB  
Review
Energy System Contributions during Olympic Combat Sports: A Narrative Review
by Emerson Franchini
Metabolites 2023, 13(2), 297; https://doi.org/10.3390/metabo13020297 - 17 Feb 2023
Cited by 31 | Viewed by 14530
Abstract
This narrative review focuses on the studies that estimate the energy systems’ contributions during match simulations of striking (boxing, karate, and taekwondo), grappling (judo), and weapon-based (fencing) Olympic combat sports. The purpose is to provide insights into the metabolism of these athletes. In [...] Read more.
This narrative review focuses on the studies that estimate the energy systems’ contributions during match simulations of striking (boxing, karate, and taekwondo), grappling (judo), and weapon-based (fencing) Olympic combat sports. The purpose is to provide insights into the metabolism of these athletes. In striking Olympic combat sports, the oxidative contribution varied from 62% (in karate and taekwondo) to 86% (in boxing), the ATP-PCr system contribution varied from 10% (in boxing) to 31% (in taekwondo), and the glycolytic contribution was between 3% (in the third round of taekwondo) and 21% (in karate). In grappling combat sports, only judo was studied, and for a 4 min match, the oxidative contribution was 79%, followed by 14% ATP-PCr system contribution and 7% contribution from the glycolytic system. In fencing, the only weapon-based Olympic combat sport, the oxidative contribution varied from 81% (in the first bout) to 90% (in the second bout), followed by 9% (bout 2) to 12% (bout 1) contribution from the ATP-PCr system, and 0.6% to 7% contribution from the glycolytic system during 3 × 3 min bouts of épée match simulation. Hence, Olympic combat sports are primarily powered by the oxidative system, but the key scoring actions are likely fueled by anaerobic pathways. Full article
(This article belongs to the Special Issue Metabolic Flexibility in Exercise Performances and Metabolic Diseases)
Show Figures

Figure 1

14 pages, 2468 KB  
Article
Energetic Contributions Including Gender Differences and Metabolic Flexibility in the General Population and Athletes
by Woo-Hwi Yang, Jeong-Hyun Park, So-Young Park and Yongdoo Park
Metabolites 2022, 12(10), 965; https://doi.org/10.3390/metabo12100965 - 12 Oct 2022
Cited by 19 | Viewed by 4757
Abstract
Metabolic flexibility includes the ability to perform fat and carbohydrate oxidation, as well as oxidative capacity, which is associated with mitochondrial function, energetic contributions, and physical health and performance. During a session of graded incremental exercise testing (GIET), we investigated metabolic flexibility, the [...] Read more.
Metabolic flexibility includes the ability to perform fat and carbohydrate oxidation, as well as oxidative capacity, which is associated with mitochondrial function, energetic contributions, and physical health and performance. During a session of graded incremental exercise testing (GIET), we investigated metabolic flexibility, the contributions of three energy systems, and performances of individuals with different metabolic characteristics. Fifteen general population (GP; n = 15, male n = 7, female n = 8) and 15 national-level half-marathon and triathlon athletes (A; n = 15, male n = 7, female n = 8) participated in this study. During GIET, heart rate (HR), oxygen uptake (V˙O2mean and V˙CO2mean), metabolic equivalents (METs) in V˙O2mean, and blood glucose and lactate concentrations (La) were measured. Furthermore, jogging/running speeds (S) at specific La, fat and carbohydrate oxidations (FATox and CHOox), and energetic contributions (oxidative; WOxi, glycolytic; WGly, and phosphagen; WPCr) were calculated. The percentages of HRmax, relative V˙O2mean, V˙CO2mean, and METs in V˙O2mean were all lower in A than they were in GP. FATox values were lower in GP than in A, while CHOox and La were higher in GP than in A. Negative correlations between La and FATox were also observed in both groups. Contributions of WOxi, WGly, and WPCr were higher in GP than in A during GIET. Moreover, values of WGly, and WPCr were significantly lower and higher, respectively, in male GP than in female GP. Furthermore, S at specific La were higher in A than in GP. It is suggested that an individualized low-intensity recovery exercise program be established, to achieve increased metabolic flexibility and oxidative capacity (aerobic base), such as public health improvements and a greater volume of higher exercise intensities; this is the type of exercise that elite athletes worldwide mostly perform during their training period and progression. This may prevent cardiac/metabolic diseases in GP. Full article
(This article belongs to the Section Endocrinology and Clinical Metabolic Research)
Show Figures

Figure 1

13 pages, 2857 KB  
Article
The Arginine Kinase from the Tick Rhipicephalus sanguineus Is an Efficient Biocatalyst
by Ana C. Gomez-Yanes, Elena N. Moreno-Cordova, Karina D. Garcia-Orozco, Aldana Laino, Maria A. Islas-Osuna, Alonso A. Lopez-Zavala, Jesus G. Valenzuela and Rogerio R. Sotelo-Mundo
Catalysts 2022, 12(10), 1178; https://doi.org/10.3390/catal12101178 - 6 Oct 2022
Cited by 7 | Viewed by 3107
Abstract
Arginine kinase (AK) is a reversible enzyme that regulates invertebrates’ phosphagen arginine phosphate levels. AK also elicits an immune response in humans, and it is a major food allergen in crustacea and may be a target for novel antiparasitic drugs. Although AK has [...] Read more.
Arginine kinase (AK) is a reversible enzyme that regulates invertebrates’ phosphagen arginine phosphate levels. AK also elicits an immune response in humans, and it is a major food allergen in crustacea and may be a target for novel antiparasitic drugs. Although AK has been primarily described in the shrimp, it is also present in other invertebrates, such as the brown tick Rhipicephalus sanguineus (Rs), the vector for Rocky Mountain Spotted Fever. Here we report the enzymatic activity and the crystal structure of AK from Rhipicephalus sanguineus (RsAK) in an open conformation without substrate or ligands and a theoretical structure of RsAK modeled bound with the substrate/product (Arg-ADP) in a closed conformation. The Michaelis-Menten kinetics confirmed that RsAK is an efficient biocatalyst due to its high kcat/Km parameter. The recombinant enzyme was expressed in bacteria and purified to a 20 mg/L culture yield. AK is an essential enzyme in invertebrates. Future work will be focused on the RsAK enzymatic inhibition that may lead to novel strategies to control this pest, a burden to animal and human health. Full article
(This article belongs to the Section Biocatalysis)
Show Figures

Figure 1

13 pages, 1244 KB  
Review
Benefits of Table Tennis for Brain Health Maintenance and Prevention of Dementia
by Takao Yamasaki
Encyclopedia 2022, 2(3), 1577-1589; https://doi.org/10.3390/encyclopedia2030107 - 14 Sep 2022
Cited by 12 | Viewed by 40411
Abstract
Table tennis is an extremely popular sport throughout the world as it requires no expensive equipment, specialized amenities, or physical contact among players, and the pace of play can be adapted to allow participation by players of all skill levels, ages, and abilities. [...] Read more.
Table tennis is an extremely popular sport throughout the world as it requires no expensive equipment, specialized amenities, or physical contact among players, and the pace of play can be adapted to allow participation by players of all skill levels, ages, and abilities. It is an aerobic-dominant sport driven primarily by the phosphagen system because rallies are relatively brief (several seconds) and separated by longer rest periods. Several studies have shown that physical interventions including table tennis can help prevent cognitive decline and dementia. Accordingly, the present paper provides an overview of the basic physical and cognitive demands of table tennis, reviews previous studies reporting improvements in physical and brain health across different non-clinical and clinical populations, and critically evaluates the usefulness of table tennis intervention for the prevention of cognitive decline and dementia. This review suggests that table tennis intervention could be a powerful strategy to prevent cognitive decline and dementia in the elderly. Full article
(This article belongs to the Section Medicine & Pharmacology)
Show Figures

Figure 1

29 pages, 910 KB  
Review
The Impact of Vegan and Vegetarian Diets on Physical Performance and Molecular Signaling in Skeletal Muscle
by Alexander Pohl, Frederik Schünemann, Käthe Bersiner and Sebastian Gehlert
Nutrients 2021, 13(11), 3884; https://doi.org/10.3390/nu13113884 - 29 Oct 2021
Cited by 34 | Viewed by 38052
Abstract
Muscular adaptations can be triggered by exercise and diet. As vegan and vegetarian diets differ in nutrient composition compared to an omnivorous diet, a change in dietary regimen might alter physiological responses to physical exercise and influence physical performance. Mitochondria abundance, muscle capillary [...] Read more.
Muscular adaptations can be triggered by exercise and diet. As vegan and vegetarian diets differ in nutrient composition compared to an omnivorous diet, a change in dietary regimen might alter physiological responses to physical exercise and influence physical performance. Mitochondria abundance, muscle capillary density, hemoglobin concentration, endothelial function, functional heart morphology and availability of carbohydrates affect endurance performance and can be influenced by diet. Based on these factors, a vegan and vegetarian diet possesses potentially advantageous properties for endurance performance. Properties of the contractile elements, muscle protein synthesis, the neuromuscular system and phosphagen availability affect strength performance and can also be influenced by diet. However, a vegan and vegetarian diet possesses potentially disadvantageous properties for strength performance. Current research has failed to demonstrate consistent differences of performance between diets but a trend towards improved performance after vegetarian and vegan diets for both endurance and strength exercise has been shown. Importantly, diet alters molecular signaling via leucine, creatine, DHA and EPA that directly modulates skeletal muscle adaptation. By changing the gut microbiome, diet can modulate signaling through the production of SFCA. Full article
(This article belongs to the Section Sports Nutrition)
Show Figures

Figure 1

52 pages, 4723 KB  
Review
Phosphorus Compounds of Natural Origin: Prebiotic, Stereochemistry, Application
by Oleg I. Kolodiazhnyi
Symmetry 2021, 13(5), 889; https://doi.org/10.3390/sym13050889 - 17 May 2021
Cited by 66 | Viewed by 18526
Abstract
Organophosphorus compounds play a vital role as nucleic acids, nucleotide coenzymes, metabolic intermediates and are involved in many biochemical processes. They are part of DNA, RNA, ATP and a number of important biological elements of living organisms. Synthetic compounds of this class have [...] Read more.
Organophosphorus compounds play a vital role as nucleic acids, nucleotide coenzymes, metabolic intermediates and are involved in many biochemical processes. They are part of DNA, RNA, ATP and a number of important biological elements of living organisms. Synthetic compounds of this class have found practical application as agrochemicals, pharmaceuticals, bioregulators, and othrs. In recent years, a large number of phosphorus compounds containing P-O, P-N, P-C bonds have been isolated from natural sources. Many of them have shown interesting biological properties and have become the objects of intensive scientific research. Most of these compounds contain asymmetric centers, the absolute configurations of which have a significant effect on the biological properties of the products of their transformations. This area of research on natural phosphorus compounds is still little-studied, that prompted us to analyze and discuss it in our review. Moreover natural organophosphorus compounds represent interesting models for the development of new biologically active compounds, and a number of promising drugs and agrochemicals have already been obtained on their basis. The review also discusses the history of the development of ideas about the role of organophosphorus compounds and stereochemistry in the origin of life on Earth, starting from the prebiotic period, that allows us in a new way to consider this most important problem of fundamental science. Full article
(This article belongs to the Collection Feature Papers in Chemistry)
Show Figures

Graphical abstract

12 pages, 14446 KB  
Article
High-Intensity Warm-Up Increases Anaerobic Energy Contribution during 100-m Sprint
by Seung-Bo Park, Da-Sol Park, Minjun Kim, Eunseok Lee, Doowon Lee, Jaewoo Jung, Seong Jun Son, Junggi Hong and Woo-Hwi Yang
Biology 2021, 10(3), 198; https://doi.org/10.3390/biology10030198 - 5 Mar 2021
Cited by 19 | Viewed by 10351
Abstract
This study aimed to evaluate the effects of warm-up intensity on energetic contribution and performance during a 100-m sprint. Ten young male sprinters performed 100-m sprints following both a high-intensity warm-up (HIW) and a low-intensity warm-up (LIW). Both the HIW and LIW were [...] Read more.
This study aimed to evaluate the effects of warm-up intensity on energetic contribution and performance during a 100-m sprint. Ten young male sprinters performed 100-m sprints following both a high-intensity warm-up (HIW) and a low-intensity warm-up (LIW). Both the HIW and LIW were included in common baseline warm-ups and interventional warm-ups (eight 60-m runs, HIW; 60 to 95%, LIW; 40% alone). Blood lactate concentration [La], time trial, and oxygen uptake (VO2) were measured. The different energy system contribution was calculated by using physiological variables. [La−1]Max following HIW was significantly higher than in LIW (11.86 ± 2.52 vs. 9.24 ± 1.61 mmol·L−1; p < 0.01, respectively). The 100-m sprint time trial was not significantly different between HIW and LIW (11.83 ± 0.57 vs. 12.10 ± 0.63 s; p > 0.05, respectively). The relative (%) phosphagen system contribution was higher in the HIW compared to the LIW (70 vs. 61%; p < 0.01, respectively). These results indicate that an HIW increases phosphagen and glycolytic system contributions as compared to an LIW for the 100-m sprint. Furthermore, an HIW prior to short-term intense exercise has no effect on a 100-m sprint time trial; however, it tends to improve times (decreased 100-m time trial; −0.27 s in HIW vs. LIW). Full article
(This article belongs to the Special Issue The Impact of Extreme Sport on Body Functions)
Show Figures

Figure 1

27 pages, 515 KB  
Review
Creatine in Health and Disease
by Richard B. Kreider and Jeffery R. Stout
Nutrients 2021, 13(2), 447; https://doi.org/10.3390/nu13020447 - 29 Jan 2021
Cited by 146 | Viewed by 106027
Abstract
Although creatine has been mostly studied as an ergogenic aid for exercise, training, and sport, several health and potential therapeutic benefits have been reported. This is because creatine plays a critical role in cellular metabolism, particularly during metabolically stressed states, and limitations in [...] Read more.
Although creatine has been mostly studied as an ergogenic aid for exercise, training, and sport, several health and potential therapeutic benefits have been reported. This is because creatine plays a critical role in cellular metabolism, particularly during metabolically stressed states, and limitations in the ability to transport and/or store creatine can impair metabolism. Moreover, increasing availability of creatine in tissue may enhance cellular metabolism and thereby lessen the severity of injury and/or disease conditions, particularly when oxygen availability is compromised. This systematic review assesses the peer-reviewed scientific and medical evidence related to creatine’s role in promoting general health as we age and how creatine supplementation has been used as a nutritional strategy to help individuals recover from injury and/or manage chronic disease. Additionally, it provides reasonable conclusions about the role of creatine on health and disease based on current scientific evidence. Based on this analysis, it can be concluded that creatine supplementation has several health and therapeutic benefits throughout the lifespan. Full article
(This article belongs to the Special Issue Creatine Supplementation for Health and Clinical Diseases)
9 pages, 5574 KB  
Article
Energy System Contributions and Physical Activity in Specific Age Groups during Exergames
by Seung-Bo Park, Minjun Kim, Eunseok Lee, Doowon Lee, Seong Jun Son, Junggi Hong and Woo-Hwi Yang
Int. J. Environ. Res. Public Health 2020, 17(13), 4905; https://doi.org/10.3390/ijerph17134905 - 7 Jul 2020
Cited by 10 | Viewed by 6132
Abstract
Exergames have been recommended as alternative ways to increase the health benefits of physical exercise. However, energy system contributions (phosphagen, glycolytic, and oxidative) of exergames in specific age groups remain unclear. The purpose of this study was to investigate the contributions of three [...] Read more.
Exergames have been recommended as alternative ways to increase the health benefits of physical exercise. However, energy system contributions (phosphagen, glycolytic, and oxidative) of exergames in specific age groups remain unclear. The purpose of this study was to investigate the contributions of three energy systems and metabolic profiles in specific age groups during exergames. Seventy-four healthy males and females participated in this study (older adults, n = 26: Age of 75.4 ± 4.4 years, body mass of 59.4 ± 8.7 kg, height of 157.2 ± 8.6 cm; adults, n = 24: Age of 27.8 ± 3.3 years, body mass of 73.4 ± 17.8 kg, height of 170.9 ± 11.9 cm; and adolescents, n = 24: Age of 14 ± 0.8 years, body mass of 71.3 ± 11.5 kg, height of 173.3 ± 5.2 cm). To evaluate the demands of different energy systems, all participants engaged in exergames named Action-Racing. Exergames protocol comprised whole-body exercises such as standing, sitting, stopping, jumping, and arm swinging. During exergames, mean heart rate (HRmean), peak heart rate (HRpeak), mean oxygen uptake (VO2mean), peak oxygen uptake (VO2peak), peak lactate (Peak La), difference in lactate (ΔLa), phosphagen (WPCr), glycolytic (WLa), oxidative (WAER), and total energy demands (WTotal) were analyzed. The contribution of the oxidative energy system was higher than that of the phosphagen or glycolytic energy system (65.9 ± 12% vs. 29.5 ± 11.1% or 4.6 ± 3.3%, both p < 0.001). The contributions of the total energy demands and oxidative system in older adults were significantly lower than those in adults and adolescents (72.1 ± 28 kJ, p = 0.028; 70.3 ± 24.1 kJ, p = 0.024, respectively). The oxidative energy system was predominantly used for exergames applied in the current study. In addition, total metabolic work in older adults was lower than that in adolescents and adults. This was due to a decrease in the oxidative energy system. For future studies, quantification of intensity and volume is needed to optimize exergames. Such an approach plays a crucial role in encouraging physical activity in limited spaces. Full article
Show Figures

Figure 1

Back to TopTop