Sign in to use this feature.

Years

Between: -

Subjects

remove_circle_outline
remove_circle_outline
remove_circle_outline
remove_circle_outline
remove_circle_outline

Journals

Article Types

Countries / Regions

Search Results (15)

Search Parameters:
Keywords = phenyl selenide

Order results
Result details
Results per page
Select all
Export citation of selected articles as:
12 pages, 1742 KB  
Article
Simulation of Lead-Free Perovskite Solar Cells with Improved Performance
by Saood Ali, Praveen Kumar, Khursheed Ahmad and Rais Ahmad Khan
Crystals 2025, 15(2), 171; https://doi.org/10.3390/cryst15020171 - 10 Feb 2025
Cited by 10 | Viewed by 1898
Abstract
At present, lead halide PVSKSCs are promising photovoltaic cells but have some limitations, including their low stability in ambient conditions and the toxicity of lead. Thus, it will be of great significance to explore lead-free perovskite materials as an alternative absorber layer. In [...] Read more.
At present, lead halide PVSKSCs are promising photovoltaic cells but have some limitations, including their low stability in ambient conditions and the toxicity of lead. Thus, it will be of great significance to explore lead-free perovskite materials as an alternative absorber layer. In recent years, the numerical simulation of perovskite solar cells (PVSKSCs) via the solar cell capacitance simulation (SCAPS) method has attracted the attention of the scientific community. In this work, we adopted SCAPS for the theoretical study of lead (Pb)-free PVSKSCs. A cesium bismuth iodide (CsBi3I10; CBI) perovskite-like material was used as an absorber layer. The thickness of the CBI layer was optimized. In addition, different electron transport layers (ETLs), such as titanium dioxide (TiO2), tin oxide (SnO2), zinc oxide (ZnO), and zinc selenide (ZnSe), and different hole transport layers, such as spiro-OMeTAD (2,2,7,7-tetrakis(N,N-di(4-methoxyphenylamine)-9,9′-spirobifluorene), poly(3-hexylthiophene-2,5-diyl) (P3HT), poly[bis(4-phenyl)(2,4,6-trimethylphenyl)amine (PTAA), and copper oxide (Cu2O), were explored for the simulation of CBI-based PVSKSCs. A device structure of FTO/ETL/CBI/HTL/Au was adopted for simulation studies. The simulation studies showed the improved photovoltaic performance of CBI-based PVSKSCs using spiro-OMeTAD and TiO2 as the HTL and ETL, respectively. An acceptable PCE of 11.98% with a photocurrent density (Jsc) of 17.360258 mA/cm2, a fill factor (FF) of 67.10%, and an open-circuit voltage (Voc) of 1.0282 V were achieved under the optimized conditions. It is expected that the present study will be beneficial for researchers working towards the development of CBI-based PVSKSCs. Full article
(This article belongs to the Section Materials for Energy Applications)
Show Figures

Figure 1

15 pages, 1998 KB  
Article
Synthesis of a New Class of β-Carbonyl Selenides Functionalized with Ester Groups with Antioxidant and Anticancer Properties—Part II
by Anna Laskowska, Agata J. Pacuła-Miszewska, Magdalena Obieziurska-Fabisiak, Aneta Jastrzębska, Angelika Długosz-Pokorska, Katarzyna Gach-Janczak and Jacek Ścianowski
Molecules 2024, 29(12), 2866; https://doi.org/10.3390/molecules29122866 - 16 Jun 2024
Cited by 4 | Viewed by 1647
Abstract
A series of phenyl β-carbonyl selenides with o-ester functionality substituted on the oxygen atom with chiral and achiral alkyl groups was synthesized. All compounds are the first examples of this type of organoselenium derivatives with an ester substituent in the ortho position. [...] Read more.
A series of phenyl β-carbonyl selenides with o-ester functionality substituted on the oxygen atom with chiral and achiral alkyl groups was synthesized. All compounds are the first examples of this type of organoselenium derivatives with an ester substituent in the ortho position. The obtained derivatives were tested as antioxidants and anticancer agents to see the influence of an ester functionality on the bioactivity of β-carbonyl selenides by replacing the o-amide group with an o-ester group. The best results as an antioxidant agent were observed for O-((1R,2S,5R)-(−)-2-isopropyl-5-methylcyclohexyl)-2-((2-oxopropyl)selanyl)benzoate. The most cytotoxic derivative against breast cancer MCF-7 cell lines was O-(methyl)-2-((2-oxopropyl)selanyl)benzoate and against human promyelocytic leukemia HL-60 was O-(2-pentyl)-2-((2-oxopropyl)selanyl)benzoate. Full article
Show Figures

Graphical abstract

15 pages, 2488 KB  
Article
Synthesis of New Chiral β-Carbonyl Selenides with Antioxidant and Anticancer Activity Evaluation—Part I
by Anna Laskowska, Agata J. Pacuła-Miszewska, Magdalena Obieziurska-Fabisiak, Aneta Jastrzębska, Angelika Długosz-Pokorska, Katarzyna Gach-Janczak and Jacek Ścianowski
Materials 2024, 17(4), 899; https://doi.org/10.3390/ma17040899 - 15 Feb 2024
Cited by 3 | Viewed by 1857
Abstract
A series of unsymmetrical phenyl β-carbonyl selenides with o-amido function substituted on the nitrogen atom with chiral alkyl groups was obtained. The compounds form a series of enantiomeric and diastereomeric pairs and present the first examples of this type of chiral [...] Read more.
A series of unsymmetrical phenyl β-carbonyl selenides with o-amido function substituted on the nitrogen atom with chiral alkyl groups was obtained. The compounds form a series of enantiomeric and diastereomeric pairs and present the first examples of this type of chiral Se derivatives. All obtained selenides were further evaluated as antioxidants and anticancer agents to define the influence of the particular stereochemistry of the attached functional groups on the bioactivity of the molecules. The highest H2O2 reduction potential was observed for N-(cis-2-hydroxy-1-indanyl)-2-((2-oxopropyl)selanyl)benzamide, and the best radical scavenging properties for N-(-1-hydroxy-2-butanyl)-2-((2-oxopropyl)selanyl)benzamide. Also, both enantiomers of the N-(1-hydroxy-2-butanyl) selenide expressed the highest cytotoxic potential towards human promyelocytic leukemia HL-60 cell line with similar IC50 values 14.4 ± 0.5 and 16.2 ± 1.1 µM, respectively. On the other hand, breast cancer cell line MCF-7 was most sensitive to N-((R)-(-)-1-hydroxy-2-butanyl)- 2-((2-oxopropyl)selanyl)benzamide (IC50 of 35.7 ± 0.6 µM). The structure–activity dependence of the obtained Se derivatives was discussed, and the most potent compounds were selected. Full article
Show Figures

Figure 1

15 pages, 2293 KB  
Article
Luminescent Diimine-Pt(IV) Complexes with Axial Phenyl Selenide Ligands
by Marzieh Dadkhah Aseman, Reza Babadi Aghakhanpour, Zohreh Sharifioliaei, Axel Klein and S. Masoud Nabavizadeh
Inorganics 2023, 11(10), 387; https://doi.org/10.3390/inorganics11100387 - 28 Sep 2023
Cited by 1 | Viewed by 2217
Abstract
Luminescent diimine-Pt(IV) complexes [Pt(N^N)(Me)2(PhSe)2], (N^N = 2,2′-bipyridine (bpy, 1b), 1,10-phenanthroline (phen, 2b), and 4,4′-dimethyl-2,2′-bipyridine (Me2bpy, 3b), PhSe = phenyl selenide were prepared and identified using multinuclear (1H, 13C{1H} [...] Read more.
Luminescent diimine-Pt(IV) complexes [Pt(N^N)(Me)2(PhSe)2], (N^N = 2,2′-bipyridine (bpy, 1b), 1,10-phenanthroline (phen, 2b), and 4,4′-dimethyl-2,2′-bipyridine (Me2bpy, 3b), PhSe = phenyl selenide were prepared and identified using multinuclear (1H, 13C{1H} and 77Se{1H}) NMR spectroscopy. The PhSe ligands were introduced through oxidative addition of diphenyl diselenide to the non-luminescent Pt(II) precursors [Pt(N^N)(Me)2], N^N = (bpy, 1a), (phen, 2a), (Me2bpy, 3a), to give the luminescent Pt(IV) complexes 1b3b. The UV-vis absorption spectra of 1b3b are characterised by intense bands in the range 240–330 nm. We assigned them to transitions of essentially π−π* character with small metal and PhSe ligand contributions with the help of TD-DFT (time-dependent density functional theory) calculations. The weak long-wavelength bands in the range 350–475 nm are of mixed ligand-to-metal charge transfer (L’MCT) (n(Se)→d(Pt)/intra-ligand charge transfer (IL’CT) (n(Se)→π*(Ph) or π(Ph)→π*(Ph))/ligand-to-ligand’ charge transfer (LL’CT) (L = N^N, L’ = PhSe, M = Pt and n = lone pair) character. The Pt(IV) complexes showed broad emission bands in the solid state at 298 and 77 K, peaking at 560–595 nm with a blue shift upon cooling. Structured emission bands were obtained in the range 450–600 nm, with the maxima depending on the N^N ligands and the solvent polarity (CH2Cl2 vs. dimethyl sulfoxide (DMSO) and aqueous tris(hydroxymethyl)aminomethane hydrochloride (tris-HCl) buffer). The emissions originate from essentially ligand-centred triplet states (3LC) with mixed IL’CT/L’MCT contributions as concluded from the DFT calculation. Such dominating PhSe contributions to the emissive states are unprecedented in the world of luminescent diimine-Pt(IV) complexes. Full article
(This article belongs to the Special Issue 10th Anniversary of Inorganics: Organometallic Chemistry)
Show Figures

Graphical abstract

18 pages, 2643 KB  
Article
Novel Organoselenium Redox Modulators with Potential Anticancer, Antimicrobial, and Antioxidant Activities
by Marwa Sak, Yasair S. Al-Faiyz, Hany Elsawy and Saad Shaaban
Antioxidants 2022, 11(7), 1231; https://doi.org/10.3390/antiox11071231 - 23 Jun 2022
Cited by 42 | Viewed by 3280
Abstract
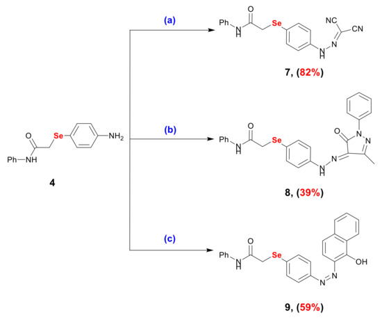
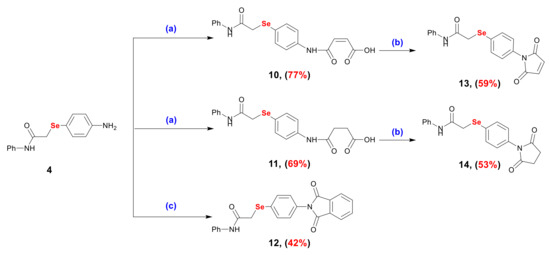
Novel organic selenides were developed in good yields (up to 91%), and their chemical entities were confirmed by IR, MS, and 1H- and 13C-NMR spectroscopy. Their anticancer and antimicrobial properties were estimated against different human cancer (MCF-7 and HepG2) and healthy [...] Read more.
Novel organic selenides were developed in good yields (up to 91%), and their chemical entities were confirmed by IR, MS, and 1H- and 13C-NMR spectroscopy. Their anticancer and antimicrobial properties were estimated against different human cancer (MCF-7 and HepG2) and healthy (WI-38) cell lines, as well as several microbial strains (Escherichia coli, Staphylococcus aureus, and Candida albicans). Furthermore, the 2,2-diphenyl-1-picrylhydrazyl (DPPH) and 2,2′-azino-bis(3-ethylbenzothiazoline-6-sulfonic acid) (ABTS) bioassays were used for the estimation of the antioxidant activities. Generally, cytotoxicity results were more pronounced against the MCF-7 cells than HepG2 cells. Compound 2-((4-((1-hydroxynaphthalen-2-yl)diazenyl)phenyl)selanyl)-N-phenylacetamide (9) was the most cytotoxic, even more than doxorubicin, with IC50 of 3.27 ± 0.2 against 4.17 ± 0.2 µM and twelve-times more selective, respectively. Interestingly, compound 9 exhibited similar antimicrobial potential to reference antibacterial and antifungal drugs and comparable antioxidant activity to vitamin C. These results point to selective cytotoxicity against MCF-7 cells and interesting antimicrobial and antioxidant properties of some newly synthesized organic selenides, which in turn needs further in vitro studies. Full article
(This article belongs to the Section Health Outcomes of Antioxidants and Oxidative Stress)
Show Figures

Figure 1

11 pages, 1459 KB  
Article
Reactivity Studies of Phosphinines: The Selenation of Diphenyl-Phosphine Substituents and Formation of a Chelating Bis(Phosphinine) Palladium(II) Complex
by Peter A. Cleaves, Ben Gourlay, Robert J. Newland, Robert Westgate and Stephen M. Mansell
Inorganics 2022, 10(2), 17; https://doi.org/10.3390/inorganics10020017 - 3 Feb 2022
Cited by 4 | Viewed by 4160
Abstract
Phosphinines and donor-substituted phosphinines are of recent interest due to their use in homogeneous catalysis. In this article, a Pd(II) bis(phosphinine) complex was characterised and phosphorus–selenium coupling constants were used to assess the donor properties of the diphenylphosphine substituents of phosphinine ligands to [...] Read more.
Phosphinines and donor-substituted phosphinines are of recent interest due to their use in homogeneous catalysis. In this article, a Pd(II) bis(phosphinine) complex was characterised and phosphorus–selenium coupling constants were used to assess the donor properties of the diphenylphosphine substituents of phosphinine ligands to promote their further use in catalysis. The selenation of 2,5-bis(diphenylphosphino)-3,6-dimethylphosphinine (5) and 2-diphenylphosphino-3-methyl-6-trimethylsilylphosphinine (6) gave the corresponding phosphine selenides 8 and 9, respectively, leaving the phosphinine ring intact. Multinuclear NMR spectroscopy, mass spectrometry and single crystal X-ray diffraction confirmed the oxidation of all the diphenylphosphine substituents with 1JP-Se coupling constants determined to be similar to SePPh3, indicating that the phosphinine rings were electronically similar to phenyl substituents. Solutions of 6 were found to react with oxygen slowly to produce the phosphine oxide 10 along with other by-products. The reaction of [bis{3-methyl-6-(trimethylsilyl)phosphinine-2-yl}dimethylsilane] (4) with [PdCl2(COD)] gave the chelating dichloropalladium(II) complex, as determined by multinuclear NMR spectroscopy, mass spectrometry and an elemental analysis. The molecular structure of the intermediate 2 in the formation of 4,6-di(tert-butyl)-1,3,2-diazaphosphinine (3) was also determined, which confirmed the structure of the diazaphosphacycle P(Cl){N=C(tBu)CH=C(tBu)-N(H)}. Full article
(This article belongs to the Section Organometallic Chemistry)
Show Figures

Figure 1

11 pages, 2927 KB  
Article
New Nitrogen, Sulfur-, and Selenium-Donating Ligands Derived from Chiral Pyridine Amino Alcohols. Synthesis and Catalytic Activity in Asymmetric Allylic Alkylation
by Marzena Wosińska-Hrydczuk and Jacek Skarżewski
Molecules 2021, 26(12), 3493; https://doi.org/10.3390/molecules26123493 - 8 Jun 2021
Cited by 7 | Viewed by 3403
Abstract
Although many chiral ligands for asymmetric catalysis have been developed, there is still a need for new structures allowing the modular approach. Recently, easy synthesis of chiral pyridine-containing β-amino alcohols has been elaborated by opening respective epoxides with enantiomeric 1-phenylethylamine. This paper reports [...] Read more.
Although many chiral ligands for asymmetric catalysis have been developed, there is still a need for new structures allowing the modular approach. Recently, easy synthesis of chiral pyridine-containing β-amino alcohols has been elaborated by opening respective epoxides with enantiomeric 1-phenylethylamine. This paper reports the synthetic transformation of β-amino alcohols into the new complexing pyridine-containing seleno- and thioethers. The amino alcohols were effectively converted to cyclic sulfonamidates, which were reacted with thiolates or phenyl selenide nucleophile. The reaction was diastereoselective, and its outcome depended on the configuration at the substitution center. The problem was discussed considering DFT optimized structures of both diastereomeric sulfonamidates. New amino-aldimine ligands were also synthesized from chiral pyridine-containing diamines. Nine new chiral ligands were tested in the Tsuji-Trost allylic alkylation resulting in the enantiomerically enriched product in up to 75% ee. The observed stereochemical induction agrees with the prevailing nucleophilic attack at the allylic carbon laying opposite to the complexing nitrogen of pyridine in η3-allylic intermediate complexes. Full article
(This article belongs to the Special Issue In Honor of the 80th Birthday of Professor Janusz Jurczak)
Show Figures

Graphical abstract

12 pages, 6265 KB  
Article
Efficient Regioselective Synthesis of Novel Water-Soluble 2H,3H-[1,4]thiazino[2,3,4-ij]quinolin-4-ium Derivatives by Annulation Reactions of 8-quinolinesulfenyl Halides
by Vladimir A. Potapov, Roman S. Ishigeev and Svetlana V. Amosova
Molecules 2021, 26(4), 1116; https://doi.org/10.3390/molecules26041116 - 20 Feb 2021
Cited by 4 | Viewed by 2875
Abstract
Regioselective synthesis of novel 2H,3H-[1,4]thiazino[2,3,4-ij]quinolin-4-ium derivatives has been developed by annulation reactions of 8-quinolinesulfenyl halides with vinyl chalcogenides (vinyl ethers, divinyl sulfide, divinyl selenide and phenyl vinyl sulfide) and tetravinyl silane. The novel reagent 8-quinolinesulfenyl bromide was [...] Read more.
Regioselective synthesis of novel 2H,3H-[1,4]thiazino[2,3,4-ij]quinolin-4-ium derivatives has been developed by annulation reactions of 8-quinolinesulfenyl halides with vinyl chalcogenides (vinyl ethers, divinyl sulfide, divinyl selenide and phenyl vinyl sulfide) and tetravinyl silane. The novel reagent 8-quinolinesulfenyl bromide was used in the annulation reactions. The influence of the substrate structure and the nature of heteroatoms on the direction of the reactions and on product yields has been studied. The opposite regiochemistry was observed in the reactions with vinyl chalcogenides and tetravinyl silane. The obtained condensed heterocycles are novel water-soluble functionalized compounds with promising biological activity. Full article
Show Figures

Figure 1

5 pages, 527 KB  
Proceeding Paper
Nanoparticle Conjugates of Selenium Compounds: Preparation, Characterisation and Electron Transfer
by Kavirayani Indira Priyadarsini, Beena G. Singh, Prasad P. Phadnis, Kanhu Charan Barick and Puthusserickal Abdulrahiman Hassan
Chem. Proc. 2020, 2(1), 24; https://doi.org/10.3390/ECCS2020-07545 - 9 Nov 2020
Viewed by 2001
Abstract
One of the important features influencing the biological applications of organoselenium compounds is their redox state, which in turn is affected by their interactions with nearby heteroatoms. To modulate the biological action of selenium in such compounds, researchers have designed new structural motifs [...] Read more.
One of the important features influencing the biological applications of organoselenium compounds is their redox state, which in turn is affected by their interactions with nearby heteroatoms. To modulate the biological action of selenium in such compounds, researchers have designed new structural motifs and also developed new formulations using inorganic nanoparticles. Metal nanoparticles such as gold nanoparticles (GNPs) and magnetic nanoparticles (MNPs) like iron oxide (Fe3O4) have been extensively studied for conjugation with many heteroatoms (sulphur, nitrogen and oxygen) containing ligands. Selenium, being more polarisable than sulphur, can induce significant surface passivation, thereby providing easy modulations with physico-chemical properties. Considering this, we investigated the physico-chemical properties of a few selenium compounds conjugated to GNPs and MNPs. The GNP conjugates were characterised by spectroscopic and microscopic tools, such as optical absorption, Raman spectroscopy, dynamic light scattering (DLS), the zeta potential and transmission electron microscopy (TEM). The results confirmed that the selenium atom was covalently conjugated to GNPs and this conjugation not only increased their electron transfer ability, but also their antioxidant ability. In another study, asymmetric phenyl selenides were conjugated with MNPs and characterised byX-ray diffraction (XRD), TEM, DLS and zeta potential. The radical scavenging ability of the selenium compounds improved upon conjugation with the MNPs. Therefore, the above studies confirmed that the redox activities of selenium compounds can be modulated upon conjugation with inorganic nanoparticles, such as GNPs and MNPs, which in turn provides new avenues for delivering organoselenium compounds. Full article
(This article belongs to the Proceedings of The 1st International Electronic Conference on Catalysis Sciences)
Show Figures

Figure 1

19 pages, 9473 KB  
Article
An Escape from Noble Metals for Generating Urethanes via Reductive Carbonylation of Nitroarenes over FeSe2/γ-Al2O3
by Anh Vy Tran, Thuy Tram Huynh Nguyen, Thanh Tung Nguyen, Hye Jin Lee, Jayeon Baek and Yong Jin Kim
Catalysts 2020, 10(11), 1228; https://doi.org/10.3390/catal10111228 - 22 Oct 2020
Cited by 4 | Viewed by 3637
Abstract
The reaction of FeCl3, SeO2, and Pyridine (Py) in the presence of methanol (MeOH) under CO pressure generates a black precipitate, which has been confirmed as ferric di-selenide, FeSe2 through different structure characterization methods. Furthermore, impregnation of 5 [...] Read more.
The reaction of FeCl3, SeO2, and Pyridine (Py) in the presence of methanol (MeOH) under CO pressure generates a black precipitate, which has been confirmed as ferric di-selenide, FeSe2 through different structure characterization methods. Furthermore, impregnation of 5 wt% of FeSe2 onto γ-Al2O3 exhibits better catalytic performance than FeSe2 due to the highly dispersed and smaller particle sizes ca. 200–300 nm. The reductive carbonylation of nitrobenzene (NB) was investigated over FeSe2/γ-Al2O3 as a heterogeneous catalyst, delivering an excellent yield and high selectivity of methyl-N-phenyl carbamate (MPC). Moreover, a set of reactions was performed with variation in the reaction time, temperature, and pressure to investigate the effects of these factors. In particular, FeSe2/γ-Al2O3 is highly stable and can be recycled for up to five cycles without significant loss in catalytic performance. A mechanistic study was also conducted on this low-cost catalyst system, especially proposing a crucial role of FeSe2 (μ-CO) active species. Full article
(This article belongs to the Special Issue Heterogeneous Catalysis in Green Chemistry)
Show Figures

Figure 1

13 pages, 2474 KB  
Article
Phenylselanyl Group Incorporation for “Glutathione Peroxidase-Like” Activity Modulation
by Magdalena Obieziurska-Fabisiak, Agata J. Pacuła, Lucia Capoccia, Joanna Drogosz-Stachowicz, Anna Janecka, Claudio Santi and Jacek Ścianowski
Molecules 2020, 25(15), 3354; https://doi.org/10.3390/molecules25153354 - 24 Jul 2020
Cited by 16 | Viewed by 4937
Abstract
The ability of organoselenium molecules to mimic the activity of the antioxidant selenoenzyme glutathione peroxidase (GPx) allows for their use as antioxidant or prooxidant modulators in several diseases associated with the disruption of the cell redox homeostasis. Current drug design in the field [...] Read more.
The ability of organoselenium molecules to mimic the activity of the antioxidant selenoenzyme glutathione peroxidase (GPx) allows for their use as antioxidant or prooxidant modulators in several diseases associated with the disruption of the cell redox homeostasis. Current drug design in the field is partially based on specific modifications of the known Se-therapeutics aimed at achieving more selective bioactivity towards particular drug targets, accompanied by low toxicity as the therapeutic window for organoselenium compounds tends to be very narrow. Herein, we present a new group of Se-based antioxidants, structurally derived from the well-known group of GPx mimics—benzisoselenazol-3(2H)-ones. A series of N-substituted unsymmetrical phenylselenides with an o-amido function has been obtained by a newly developed procedure: a copper-catalyzed nucleophilic substitution by a Se-reagent formed in situ from diphenyl diselenide and sodium borohydride. All derivatives were tested as antioxidants and anticancer agents towards breast (MCF-7) and leukemia (HL-60) cancer cell lines. The highest H2O2-scavenging potential was observed for N-(3-methylbutyl)-2-(phenylselanyl)benzamide. The best antiproliferative activity was found for (−)-N-(1S,2R,4R)-menthyl-2-(phenylselanyl)benzamide (HL-60) and ((−)-N-(1S,2R,3S,6R)-(2-caranyl))benzamide (MCF-7). The structure–activity correlations, including the differences in reactivity of the obtained phenyl selenides and corresponding benzisoselenazol-3(2H)-ones, were performed. Full article
(This article belongs to the Special Issue Organoselenium Reagents and Their Applications)
Show Figures

Graphical abstract

11 pages, 8326 KB  
Article
Selenide-Containing Polyimides with an Ultrahigh Intrinsic Refractive Index
by Qilong Li, Jiandong Zhang, Xiangqiang Pan, Zhengbiao Zhang, Jian Zhu and Xiulin Zhu
Polymers 2018, 10(4), 417; https://doi.org/10.3390/polym10040417 - 9 Apr 2018
Cited by 26 | Viewed by 6674
Abstract
This work developed novel selenium-containing polyimides with a high intrinsic refractive index. Four polyimides with different selenium contents and repeat unit structures were designed and synthesized via amine-dianhydride polycondensation of one of two diamines, i.e., 4,4′-oxydianiline or bis(4-aminophenyl)selanide, with one of two [...] Read more.
This work developed novel selenium-containing polyimides with a high intrinsic refractive index. Four polyimides with different selenium contents and repeat unit structures were designed and synthesized via amine-dianhydride polycondensation of one of two diamines, i.e., 4,4′-oxydianiline or bis(4-aminophenyl)selanide, with one of two dianhydrides, i.e., bis(4-(3,4-dicarboxylbenzoyloxy)phenyl) ester dianhydride or 1,1′-bis(4-(3,4-dicarboxylbenzoyloxy)phenyl) selenide dianhydride. Various techniques, e.g., nuclear magnetic resonance, Fourier transformed infrared spectroscopy, and wide-angle X-ray diffraction, were used to characterize the polymers’ structures. Differential scanning calorimetry, thermogravimetric analysis, ultraviolet-visible spectroscopy, and spectroscopic ellipsometry were used to characterize the properties of the polymers. The selenium contents showed a positive effect on the refractive index of the final polymer. In addition, the refractive index can reach up to 1.968 at 633 nm, which was the highest intrinsic refractive index of a polyimide ever reported. Because of the high intrinsic refractive index, the reflective ratio of visible light on the surface of a silicon wafer was significantly reduced, indicating the potentially utility of the polymer in an anti-reflection coating. Full article
Show Figures

Graphical abstract

20 pages, 1054 KB  
Article
Substituent Effects on the Stability and Antioxidant Activity of Spirodiazaselenuranes
by Devappa S. Lamani, Debasish Bhowmick and Govindasamy Mugesh
Molecules 2015, 20(7), 12959-12978; https://doi.org/10.3390/molecules200712959 - 17 Jul 2015
Cited by 15 | Viewed by 7912
Abstract
Spirodiazaselenuranes are structurally interesting compounds and the stability of these compounds depends highly on the nature of the substituents attached to the nitrogen atoms. Aromatic substituents are known to play important roles in stabilizing the Se-N bonds in spiro compounds. In this study, [...] Read more.
Spirodiazaselenuranes are structurally interesting compounds and the stability of these compounds depends highly on the nature of the substituents attached to the nitrogen atoms. Aromatic substituents are known to play important roles in stabilizing the Se-N bonds in spiro compounds. In this study, several spirodiazaselenuranes are synthesized by introducing benzylic and aliphatic substituents to understand their effect on the stability of the Se-N bonds and the antioxidant activity. Replacement of phenyl substituent by benzyl/alkyl groups significantly reduces the stability of the spirodiazaselenuranes and slows down the oxidative cyclization process. The selenium centre in the spiro compounds undergoes further oxidation to produce the corresponding selenurane oxides, which are stable at room temperature. Comparison of the glutathione peroxidase (GPx) mimetic activity of the compounds showed that the diaryl selenides having heterocyclic rings are significantly more active due to the facile oxidation of the selenium centre. However, the activity is reduced significantly for compounds having aliphatic substituents. In addition to GPx activity, the compounds also inhibit peroxynitrite-mediated nitration and oxidation reaction of protein and small molecules, respectively. The experimental observations suggest that the antioxidant activity is increased considerably upon substitution of the aromatic group with the benzylic/aliphatic substituents on the nitrogen atoms. Full article
(This article belongs to the Special Issue Selenium Catalysts and Antioxidants)
Show Figures

Graphical abstract

26 pages, 825 KB  
Article
Synthesis and Pharmacological Screening of Several Aroyl and Heteroaroyl Selenylacetic Acid Derivatives as Cytotoxic and Antiproliferative Agents
by Carmen Sanmartín, Daniel Plano, Enrique Domínguez, María Font, Alfonso Calvo, Celia Prior, Ignacio Encío and Juan Antonio Palop
Molecules 2009, 14(9), 3313-3338; https://doi.org/10.3390/molecules14093313 - 1 Sep 2009
Cited by 55 | Viewed by 13539
Abstract
The synthesis and cytotoxic activity of a series of twenty six aroyl and heteroaroyl selenylacetic acid derivatives of general formula Ar-CO-Se-CH2-COOH or Heterar-CO-Se-CH2-COOH are reported. The synthesis was carried out by reaction of acyl chlorides with sodium hydrogen selenide, [...] Read more.
The synthesis and cytotoxic activity of a series of twenty six aroyl and heteroaroyl selenylacetic acid derivatives of general formula Ar-CO-Se-CH2-COOH or Heterar-CO-Se-CH2-COOH are reported. The synthesis was carried out by reaction of acyl chlorides with sodium hydrogen selenide, prepared in situ, and this led to the formation of sodium aroylselenides that subsequently reacted with α-bromoacetic acid to produce the corresponding selenylacetic acid derivatives. All of the compounds were tested against a prostate cancer cell line (PC-3) and some of the more active compounds were assessed against a panel of four human cancer cell lines (CCRF-CEM, HTB-54, HT-29, MCF-7) and one mammary gland-derived non-malignant cell line (184B5). Some of the compounds exhibited remarkable cytotoxic and antiproliferative activities against MCF-7 and PC-3 that were higher than those of the reference compounds doxorubicin and etoposide, respectively. For example, in MCF-7 when Ar = phenyl, 3,5-dimethoxyphenyl or benzyl the TGI values were 3.69, 4.18 and 6.19 μM. On the other hand, in PC-3 these compounds showed values of 6.8, 4.0 and 2.9 μM. Furthermore, benzoylselenylacetic acid did not provoke apoptosis nor did it perturb the cell cycle in MCF-7. Full article
(This article belongs to the Special Issue Selenium and Tellurium Chemistry)
Show Figures

Figure 1

14 pages, 281 KB  
Article
A Synthesis of 6-(2,5-Dimethoxy-4-(2-aminopropyl)phenyl)-hexylthiol. A Ligand for Conjugation with Fluorescent Cadmium Selenide/Zinc Sulfide Core/Shell Nanocrystals and Biological Imaging
by Ian D. Tomlinson, Jesse L. Grey and Sandra J. Rosenthal
Molecules 2002, 7(11), 777-790; https://doi.org/10.3390/71100777 - 30 Nov 2002
Cited by 18 | Viewed by 9494
Abstract
The synthesis of 6-(2,5-dimethoxy-4-(2-aminopropyl)phenyl)hexylthiol, an agonist with a very high affinity for the 5HT2A serotonin receptor subtype is reported. This agonist was designed to be attached to highly fluorescent cadmium selenide/zinc sulfide core/shells via a thiol at the end of a linker [...] Read more.
The synthesis of 6-(2,5-dimethoxy-4-(2-aminopropyl)phenyl)hexylthiol, an agonist with a very high affinity for the 5HT2A serotonin receptor subtype is reported. This agonist was designed to be attached to highly fluorescent cadmium selenide/zinc sulfide core/shells via a thiol at the end of a linker arm. This conjugate has applications in biological assays and biological imaging. Full article
Show Figures

Figure 1

Back to TopTop