Sign in to use this feature.

Years

Between: -

Subjects

remove_circle_outline
remove_circle_outline
remove_circle_outline
remove_circle_outline
remove_circle_outline
remove_circle_outline
remove_circle_outline
remove_circle_outline
remove_circle_outline

Journals

remove_circle_outline
remove_circle_outline
remove_circle_outline
remove_circle_outline
remove_circle_outline

Article Types

Countries / Regions

remove_circle_outline
remove_circle_outline
remove_circle_outline
remove_circle_outline
remove_circle_outline

Search Results (1,860)

Search Parameters:
Keywords = phenology difference

Order results
Result details
Results per page
Select all
Export citation of selected articles as:
25 pages, 8655 KB  
Article
Field-Aware and Explainable Modelling for Early-Season Crop Yield Prediction Using Satellite-Derived Phenology
by Ignacio Fuentes and Dhahi Al-Shammari
Remote Sens. 2026, 18(6), 890; https://doi.org/10.3390/rs18060890 - 14 Mar 2026
Abstract
Accurate and early prediction of crop yield at the sub-field scale is essential for precision-agriculture and food-system planning. This study evaluates a phenology-based machine learning framework for winter wheat yield prediction using Sentinel-2 satellite imagery, climate reanalysis data, and field-level yield data. Phenological [...] Read more.
Accurate and early prediction of crop yield at the sub-field scale is essential for precision-agriculture and food-system planning. This study evaluates a phenology-based machine learning framework for winter wheat yield prediction using Sentinel-2 satellite imagery, climate reanalysis data, and field-level yield data. Phenological metrics derived from the normalised difference vegetation index (NDVI), the normalised difference water index (NDWI), and the normalised difference red-edge index (NDRE) were combined with accumulated seasonal rainfall and seasonal potential evapotranspiration, and multiple modelling strategies were assessed using a leave-one-field-out cross-validation (LOFO CV) scheme to ensure spatial generalisation. Among the evaluated models, the Random Forest (RF) algorithm achieved the highest overall performance, explaining up to 73% of the yield variability with a root mean square error (RMSE) of 0.88 t ha−1 at optimal prediction timing (day of year 160–175). Integrating phenological and climatic covariates consistently improved prediction accuracy compared to models based only on phenological variables, while the inclusion of soil properties provided limited additional benefit at the examined spatial scale. Phenological metrics based on red-edge data, particularly the maximum NDRE, were the most influential predictors, highlighting the added value of red-edge spectral information beyond traditional red–near-infrared indices. Uncertainty analysis revealed spatially heterogeneous prediction uncertainty, particularly near field boundaries and in areas of complex spatial patterns. Overall, the proposed framework enables robust, early, and interpretable yield prediction at the sub-field scale, supporting uncertainty-aware decision-making in precision agriculture and offering a scalable foundation for regional crop monitoring. Full article
(This article belongs to the Special Issue Advances in Multi-Sensor Remote Sensing for Vegetation Monitoring)
Show Figures

Figure 1

27 pages, 5361 KB  
Article
Dual-Stream 2D and 3D-SE-ResNet Architectures for Crop Mapping Using EnMAP Hyperspectral Time-Series
by László Mucsi, Márkó Sóti, Dorottya Litkey-Kovács, János Mészáros, Dóra Vigh-Szabó, Elemér Szalma, Zalán Tobak and József Szatmári
Remote Sens. 2026, 18(6), 884; https://doi.org/10.3390/rs18060884 - 13 Mar 2026
Viewed by 77
Abstract
Deep learning-based crop mapping from hyperspectral satellite data offers immense potential for capturing subtle phenological differences, yet leveraging sparse time series remains a major methodological challenge. This study evaluates the ability of the EnMAP sensor to identify nine major crop types in the [...] Read more.
Deep learning-based crop mapping from hyperspectral satellite data offers immense potential for capturing subtle phenological differences, yet leveraging sparse time series remains a major methodological challenge. This study evaluates the ability of the EnMAP sensor to identify nine major crop types in the intensive agricultural landscape of Southeastern Hungary. We utilized a limited time series (November, March, August) to benchmark two modeling strategies: a single-date dual-stream spatial–spectral 2D-CNN (DSS-2D) and a multi-temporal 3D-SE-ResNet. Model performance was assessed using parcel-level spatial cross-validation to ensure realistic accuracy estimates and reduce spatial autocorrelation bias. The results demonstrate that the DSS-2D model achieved superior single-date accuracy (OA > 97%), significantly outperforming pixel-based baselines. Furthermore, the multi-temporal 3D-SE-ResNet achieved a robust seasonal accuracy of 92.9%, effectively compensating for temporal sparsity by exploiting the deep spectral information of the SWIR domain. This study confirms that treating hyperspectral data as a 3D volume enables the extraction of phenological traits even from limited observations. These findings provide a strong proof-of-concept for the operational feasibility of future missions such as Copernicus CHIME for continental-scale food security monitoring. Full article
Show Figures

Figure 1

31 pages, 6867 KB  
Article
Field-Scale Detection of Rice Bacterial Leaf Blight Using UAV-Based Multispectral Imagery: Via Cross-Scale Sample-Label Transfer and Spatial–Spectral Feature Fusion
by Huiqin Ma, Zhiqin Gui, Yujin Jing, Dongmei Chen, Dayang Li, Dong Shen and Jingcheng Zhang
Remote Sens. 2026, 18(6), 880; https://doi.org/10.3390/rs18060880 - 13 Mar 2026
Viewed by 85
Abstract
Accurate field-scale crop disease detection is crucial for precise decisions and for highly efficient multi-scale collaboration. UAV-based multispectral imaging technology offers advantages in terms of high efficiency and low cost. Deep learning shows potential for deep representation and fusion of spectral and spatial [...] Read more.
Accurate field-scale crop disease detection is crucial for precise decisions and for highly efficient multi-scale collaboration. UAV-based multispectral imaging technology offers advantages in terms of high efficiency and low cost. Deep learning shows potential for deep representation and fusion of spectral and spatial features. However, traditional manual disease surveys are limited by efficiency and cost, making it difficult to meet the large sample sizes required by deep learning. Therefore, we proposed a method for rice bacterial leaf blight detection using UAV-based multispectral imagery. This method integrates a cross-scale sample-label transfer, and a spectral–spatial dual-branch feature fusion architecture (DualRiceNet). We first used RTK positioning to transfer disease labels from near-ground RGB images to high-altitude multispectral images, effectively expanding the dataset and alleviating the scarcity of labeled samples. DualRiceNet employed a cross-attention mechanism to couple its spectral and spatial branches, thereby isolating disease-specific spatial–spectral patterns from complex interference from the farmland background. DualRiceNet achieved an overall accuracy (OA) of 92.3% on the same-distribution test set. In an independent scenario test set spanning multiple differences in geography, time, phenology, and variety, the model maintained the highest OA of 80.0%. Our method demonstrated an excellent generalization ability to real-world environmental variations in rice fields. Full article
Show Figures

Figure 1

23 pages, 2586 KB  
Article
Explainable AI-Based Hyperspectral Classification Reveals Differences in Spectral Response over Phenological Stages
by Rameez Ahsen, Pierpaolo Di Bitonto, Pierfrancesco Novielli, Michele Magarelli, Donato Romano, Martina Di Venosa, Anna Maria Stellacci, Nicola Amoroso, Alfonso Monaco, Bruno Basso, Roberto Bellotti and Sabina Tangaro
Biology 2026, 15(6), 454; https://doi.org/10.3390/biology15060454 - 11 Mar 2026
Viewed by 133
Abstract
Optimizing nitrogen (N) fertilization is essential for sustaining durum wheat yield and grain quality while reducing the environmental impacts associated with N over-application. Hyperspectral sensing provides a rapid and non-destructive approach for monitoring crop N status. However, high-dimensional data, phenology-dependent spectral responses, and [...] Read more.
Optimizing nitrogen (N) fertilization is essential for sustaining durum wheat yield and grain quality while reducing the environmental impacts associated with N over-application. Hyperspectral sensing provides a rapid and non-destructive approach for monitoring crop N status. However, high-dimensional data, phenology-dependent spectral responses, and spatial autocorrelation in field measurements limit robust nitrogen classification and interpretation. This study evaluated hyperspectral-based nitrogen status classification in durum wheat under Mediterranean field conditions and identified key spectral regions using explainable artificial intelligence. A field experiment was conducted in Southern Italy using ten N fertilization rates (0–180 kg N ha−1). Canopy reflectance was acquired at the booting and heading stages from georeferenced sampling locations. Three nitrogen stratification strategies (binary Low–High, Extreme, and three-level) were evaluated using Random Forest, SVM-RBF, and XGBoost classifiers. Model performance was assessed using spatially independent Leave-One-Plot-Out cross-validation at both the sample and plot levels, with plot-level predictions derived through majority voting. Classification robustness was strongly influenced by the stratification strategy and phenological stage. The binary Low–High stratification achieved the highest sample-level accuracy, with a maximum of 0.78 at booting (SVM-RBF) and 0.75 at heading (SVM-RBF), whereas the Extreme stratification produced intermediate performance, with maximum accuracies of 0.73 at booting (SVM-RBF) and 0.63 at heading (XGBoost). Plot-level aggregation improved performance, reaching up to 0.90 at booting and 1.00 at heading. SHAP analysis highlighted red, red-edge, and near-infrared wavelengths as the dominant contributors, with increased reliance on longer wavelengths at the heading. Overall, explainable machine learning provides a robust framework for hyperspectral nitrogen monitoring in durum wheat. Full article
(This article belongs to the Special Issue Adaptation of Living Species to Environmental Stress (2nd Edition))
Show Figures

Figure 1

15 pages, 2613 KB  
Article
Intra-Crown Microclimatic Heterogeneity and Phenological Buffering: A High-Resolution UAV Study of Flowering and Autumn Leaf Senescence
by Min-Kyu Park, Hun-Gi Choi, Yun-Young Kim and Dong-Hak Kim
Forests 2026, 17(3), 342; https://doi.org/10.3390/f17030342 - 10 Mar 2026
Viewed by 256
Abstract
While climate change shifts plant phenology, conventional satellite-based studies often overlook intra-individual variations due to spatial averaging. This study utilized high-resolution UAV imagery and Digital Surface Models (DSMs) to investigate how intra-crown microclimatic heterogeneity affects the spatiotemporal patterns of flowering and autumn leaf [...] Read more.
While climate change shifts plant phenology, conventional satellite-based studies often overlook intra-individual variations due to spatial averaging. This study utilized high-resolution UAV imagery and Digital Surface Models (DSMs) to investigate how intra-crown microclimatic heterogeneity affects the spatiotemporal patterns of flowering and autumn leaf senescence. Rhododendron yedoense f. poukhanense (H.Lév.) M. Sugim (RY) and Acer triflorum Kom. (AT) were monitored at the Korea National Arboretum, with 23 time-series images acquired between April and November 2025. Cumulative solar duration was calculated for 0.5 m intra-crown grids, and phenological events were detected using derivative analysis of vegetation indices (Red Chromatic Coordinate [RCC] and Green Chromatic Coordinate [GCC]). The results confirmed asynchrony in phenological events within single individuals depending on crown sectors. However, the linear relationship between intra-crown microclimatic heterogeneity and phenological duration was statistically weak (ρ > 0.05), suggesting that strong physiological buffering mitigates the direct impact of spatial light variation. Despite this buffering, species-specific response patterns were observed: RY exhibited spatially independent flowering responses, whereas AT maintained relatively higher synchrony. Furthermore, AT showed a “Phenological Velocity” gap, where sunlit sectors tended to experience senescence approximately 1.12 days later than shaded areas**, while RY showed no significant directional lag.** This research demonstrates that phenological responses can be spatially dispersed even within an individual, and the buffering mechanisms against environmental variability differ by crown structure and growth form. These findings highlight the necessity of individual-level spatial resolution in understanding plant responses to climate change. Full article
Show Figures

Figure 1

22 pages, 95583 KB  
Article
Diagnosing Early Establishment of Hybrid Sorghum in Response to Seeding Rates Using UAV-Based Remote Sensing and Soil ECa Analysis
by Gonçalo Tavares Póvoas, Luís Silva, Susana Dias, Paola D’Antonio, Fernando Cebola Lidon, João Serrano and Luís Alcino Conceição
Grasses 2026, 5(1), 12; https://doi.org/10.3390/grasses5010012 - 7 Mar 2026
Viewed by 151
Abstract
Sorghum is a resilient crop important for sustainable intensification in semi-arid regions, yet the impact of variable seeding rates on its early development remains under-researched. This research investigated the early establishment of hybrid sorghum under three seeding strategies, ”Uniformise” (medium density across all [...] Read more.
Sorghum is a resilient crop important for sustainable intensification in semi-arid regions, yet the impact of variable seeding rates on its early development remains under-researched. This research investigated the early establishment of hybrid sorghum under three seeding strategies, ”Uniformise” (medium density across all zones), “Optimise” (increased density in low-soil apparent Electrical Conductivity (ECa)), and “Maximise” (increased density in high-soil ECa), at the Herdade da Comenda (Innovation Center—Elvas, Portugal). Crop performance was monitored over 33 days, the established window for safe direct grazing, using Unmanned Aerial Vehicle (UAV) multispectral imagery to derive the Normalised Difference Vegetation Index (NDVI) and Canopy Cover (Cveg), alongside physical sampling of plant height and biomass. Statistical analysis revealed that both the seeding strategy and soil variability significantly affected early growth. The “Uniformise” strategy recorded the highest plant height, NDVI, and Cveg values, whereas the “Optimise” strategy performed the poorest. Additionally, an accumulation of 407.5 Growing Degree-Days (GDDs; °C) accelerated the phenological cycle by five days relative to the climatological normal. Despite differences in vegetative vigour, no statistically significant variations were observed in final biomass across the strategies. These results indicate that while the “Uniformise” approach provided a more balanced environment for early establishment under these specific Mediterranean conditions, the lack of biomass differentiation highlights the potential for resource optimisation. The study demonstrates that UAV-based remote sensing is a useful diagnostic tool to identify these spatial limitations, providing the data to refine variable-rate seeding (VRS) algorithms and improve the economic efficiency of precision sowing. Full article
Show Figures

Graphical abstract

28 pages, 4834 KB  
Article
Altitude, Phenology, and Cotton Yield in Arid Oases: Quantifying Their Interactive Relationships
by Jian Huang, Pengfei Wu, Juan Huang, Wenyuan Xing, Hongfei Hao, Maochun Li and Xiaojun Wang
Plants 2026, 15(5), 824; https://doi.org/10.3390/plants15050824 - 7 Mar 2026
Viewed by 216
Abstract
Climate change induces cotton phenological changes, but the impact of these changes on yield and the regulatory role of altitude in the phenology–yield relationship remains unclear. Major Chinese cotton-growing regions (e.g., Xinjiang) are in arid and semi-arid areas with fragile ecosystems, making it [...] Read more.
Climate change induces cotton phenological changes, but the impact of these changes on yield and the regulatory role of altitude in the phenology–yield relationship remains unclear. Major Chinese cotton-growing regions (e.g., Xinjiang) are in arid and semi-arid areas with fragile ecosystems, making it crucial to clarify the phenology–yield correlation for ensuring regional cotton production security. Using long-term data (1981–2023) from 35 cotton monitoring stations in Xinjiang’s arid oases, we analyzed key phenological variations, quantified phenology’s impact on yield, and examined altitude’s effects on phenology. The results showed that the dates of four key cotton phenology—sowing (Sow), emergence (Eme), squaring (Squ), and flowering (Flo)—exhibited an advancing trend at a rate of 0.037–0.050 days year−1. In contrast, the dates of boll opening (Bol) and maturity (Mat) showed a delaying trend, with the delay rate ranging from 0.015 to 0.037 days year−1. Most phenological stage durations changed slightly: Sow–Eme, Squ–Flo, Bol–Mat, and vegetative growth period (VGP) shortened, while Eme–Squ, Flo–Bol, reproductive growth period (RGP), and whole growth period (WGP) lengthened. Lint yield increased by 24.061 kg ha−1 year−1. A one-day delay in the occurrence dates of any of the five cotton phenological stages—Sow, Eme, Squ, Flo, or Bol—was associated with a yield reduction ranging from 0.895 to 9.780 kg ha−1. In contrast, a one-day delay in the Mat led to a yield increase of 0.7876 kg ha−1. Additionally, the extension of three growth periods (Sow–Eme, Squ–Flo, and VGP) resulted in a yield decline, while the prolongation of four other periods (Eme–Squ, Bol–Mat, RGP, and WGP) contributed to a yield increase. The most critical finding is that altitude has a significant association with cotton phenology and its yield response: every 100 m increase in elevation, cotton phenological dates were delayed, the durations of different growth stages were altered, yield was reduced by 0.250 kg ha−1, and low-altitude areas exhibited more pronounced spatial heterogeneity in phenology and yield. However, this regulatory effect did not reach a significant level (p > 0.05), and the correlation between altitude and yield variability tended to be stronger in high-altitude areas than in low-altitude areas. This elevation-induced phenological shift is a key mediator of yield changes—elevational temperature variations are significantly associated with the duration of critical growth stages (e.g., the lengthening of reproductive growth period in low-altitude areas and shortening in high-altitude areas), which may indirectly affect dry matter accumulation and final yield formation. Corresponding policies for different altitudes should be formulated to offset the negative effects of phenological changes, providing scientific support for securing cotton production in arid oases. Full article
(This article belongs to the Section Crop Physiology and Crop Production)
Show Figures

Figure 1

28 pages, 58054 KB  
Article
Molecular Techniques and Ecological Data for Taxonomically Difficult Groups: A Case Study of a Morphologically Variable New Species in the Genus Chrysobothris (Coleoptera: Buprestidae)
by Botao Huang, Long Wu, Tao Ni, Rongxiang Su, Haitian Song and Rong Wang
Insects 2026, 17(3), 291; https://doi.org/10.3390/insects17030291 - 6 Mar 2026
Viewed by 317
Abstract
Morphological characters of beetles can differ greatly, even within a single species, necessitating the integration of molecular techniques and ecological data for accurate taxonomical delineation, particularly within taxonomically challenging groups. Chrysobothris, a world-distributed genus of considerable size with a homonymy rate exceeding [...] Read more.
Morphological characters of beetles can differ greatly, even within a single species, necessitating the integration of molecular techniques and ecological data for accurate taxonomical delineation, particularly within taxonomically challenging groups. Chrysobothris, a world-distributed genus of considerable size with a homonymy rate exceeding 1/5, frequently presents ambiguities in species boundaries. In this research, a series of Chrysobothris specimens collected from southern China were segregated into four sharply contrasting external morphotypes. A taxonomic ambiguity was initially posed: whether they represented several species, intraspecific polymorphism within a single species, or geographic/intraspecific variants of the similar species Chrysobothris violacea Kerremans, 1892. COI barcoding and phylogenetic analyses supported the conspecificity of these morphotypes and confirmed their distinction from C. violacea at the species level. Based on integrated evidence, we describe these specimens as Chrysobothris borealina Huang, Wu & Song, sp. nov., provide diagnostic characters with illustrations, and compare the new species with C. violacea. The species occurs in mid- to high-elevation pine and pine–broadleaf mixed forests and differs from C. violacea in both elevational range and phenology, indicating potential ecological differentiation. Additionally, we document a rare instance of a nymphal parasitengone mite (cf. Erythraeidae) attached to one female specimen. Full article
(This article belongs to the Section Insect Systematics, Phylogeny and Evolution)
Show Figures

Figure 1

23 pages, 3707 KB  
Article
Spatiotemporal Patterns and Climate Attributions of Seasonal Stability of Vegetation Growth in Northern China
by Juanzhu Liang, Liping Fan, Yuke Zhou and Wenfang Li
Remote Sens. 2026, 18(5), 773; https://doi.org/10.3390/rs18050773 - 4 Mar 2026
Viewed by 157
Abstract
The earlier onset of vegetation phenology and longer growing seasons resulting from global warming are widely recognized as beneficial for enhancing the carbon sink function of terrestrial ecosystems. However, significant uncertainty remains regarding whether the increased growth during the early growing season can [...] Read more.
The earlier onset of vegetation phenology and longer growing seasons resulting from global warming are widely recognized as beneficial for enhancing the carbon sink function of terrestrial ecosystems. However, significant uncertainty remains regarding whether the increased growth during the early growing season can be sustained and converted into growth benefits during the later season or even throughout the entire year. This study focuses on vegetation in northern China. Based on solar-induced chlorophyll fluorescence (SIF) data from 2001 to 2020, it establishes an analytical framework for assessing the “seasonal stability” of vegetation growth. The framework quantifies the evolutionary characteristics of early growth enhancement signals during the late growing season. Furthermore, structural equation modeling (SEM) is employed to elucidate the underlying climate-driven mechanisms. The results indicate: (1) Vegetation growth season stability in northern China has long been dominated by the Strong stabilizing type (accounting for 87.4%), suggesting that early growth enhancement signals are mostly attenuated or suppressed during seasonal progression rather than continuously amplified. (2) This stable pattern exhibits a distinct spatial structure at the interannual scale. The expansive and Weak stabilizing types undergo event-driven expansions during specific climatic years, with different vegetation functional types adopting differentiated regulatory strategies during this process. Shallow-rooted grasslands demonstrate higher growth elasticity, while forest vegetation exhibits stronger ecological inertia. (3) Mechanistic analysis reveals that in water-limited zones, enhanced early growth accelerates transpiration processes, thereby disrupting seasonal soil moisture continuity and exacerbating water deficits during the late growing season. This inhibits late-season photosynthesis, constituting a core hydrological–physiological regulatory mechanism that maintains the dominance of Strong stabilizing in the region. Conversely, in energy-limited zones, late-season temperature emerges as the dominant factor constraining sustained growth. This study examines the transmission and modulation mechanisms of early growth signals to the later growing season from the perspective of intra-seasonal dynamics, providing a new analytical approach for incorporating interseasonal processes into assessments of vegetation growth and carbon sink stability in northern China. Full article
Show Figures

Figure 1

38 pages, 9014 KB  
Article
Climate-Induced Vegetation Stress Detected Through Remote Sensing of Hydroclimatic Indicators
by Esra Bayazit, Veysi Kartal, Saad Sh. Sammen and Miklas Scholz
Sustainability 2026, 18(5), 2235; https://doi.org/10.3390/su18052235 - 26 Feb 2026
Viewed by 261
Abstract
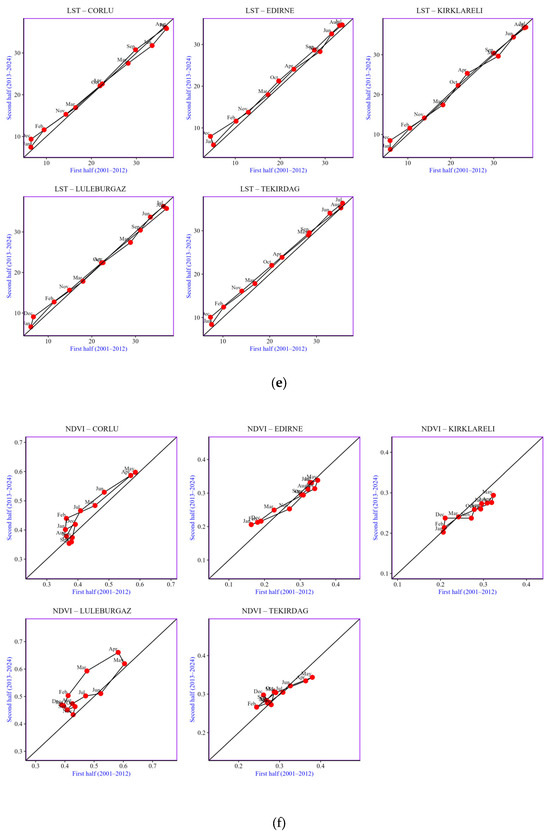
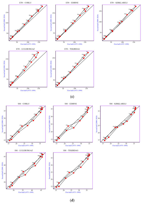
Maintaining agricultural viability and managing water resources under rising global temperatures requires understanding the complex relationship between climate variability and vegetation dynamics. This study investigated the effects of hydroclimatic variability and long-term trends on vegetation response in the Meriç-Ergene Basin, one of Türkiye’s [...] Read more.
Maintaining agricultural viability and managing water resources under rising global temperatures requires understanding the complex relationship between climate variability and vegetation dynamics. This study investigated the effects of hydroclimatic variability and long-term trends on vegetation response in the Meriç-Ergene Basin, one of Türkiye’s most agriculturally productive and climate-sensitive regions. The monthly precipitation (pr), average temperature (Tave), reference evapotranspiration (ET0), and soil moisture (SM) were analyzed for 1975–2024 while the land surface temperature (LST) and Normalized Difference Vegetation Index (NDVI) were assessed between 2001 and 2024. Seasonal anomaly analysis revealed negative SM anomalies and frequent positive anomalies in the Tave, LST, and ET0, especially in spring and summer. The NDVI anomalies were more favorable in the spring and autumn but constrained in summer. Trend analyses (ITA/IPTA) showed increasing trends in the Tave, LST, and ET0, and declining trends in the SM. Correlation results indicated strong positive ET0–LST–Tave relationships (r > 0.90) and strong negative ET0–SM correlations (as low as −0.83). The NDVI showed moderate correlations with the LST but weak associations with the pr and SM, indicating a shift toward temperature-driven vegetation behavior. The findings demonstrate that vegetation dynamics, as represented by NDVI, are progressively affected by temperature anomalies. Warming trends specifically increase evapotranspiration demand and expedite phenological processes, resulting in stronger correlations between NDVI and both Tave and LST. This transition toward temperature sensitivity signifies that vegetation greenness in the study area is increasingly influenced by thermal factors rather than being solely limited by precipitation. These findings underscore the basin’s vulnerability to warming and drying, highlighting the need for climate-resilient agriculture, improved irrigation planning, and adaptive land use strategies. Full article
Show Figures

Figure 1

18 pages, 1781 KB  
Article
Phenolic Compounds, Phytohormones, and Biological Agents in the Post-Harvest Conservation of ‘Nanicão’ Banana Produced Under Deficit Irrigation
by Brencarla de Medeiros Lima, Valéria Fernandes de Oliveira Sousa, Lauriane Almeida dos Anjos Soares, Pedro Dantas Fernandes, Geovani Soares de Lima, Patrick Lima do Nascimento, Francisco Jean da Silva Paiva, Rafaela Aparecida Frazão Torres, Valeska Karolini Nunes Oliveira, Reynaldo Teodoro de Fátima, Luderlândio de Andrade Silva, Hans Raj Gheyi, Michack Djibo, Jessica Pedrosa de Lima and Evanilson Souza de Almeida
Horticulturae 2026, 12(3), 264; https://doi.org/10.3390/horticulturae12030264 - 25 Feb 2026
Viewed by 233
Abstract
Banana is a nutritious food of great global economic importance. However, water deficit negatively impacts banana plant development. Therefore, it is essential to study efficient water use and develop technologies capable of maintaining fruit quality after harvest, extending the shelf life, and reducing [...] Read more.
Banana is a nutritious food of great global economic importance. However, water deficit negatively impacts banana plant development. Therefore, it is essential to study efficient water use and develop technologies capable of maintaining fruit quality after harvest, extending the shelf life, and reducing losses. This study aimed to evaluate the efficiency of post-harvest applications of salicylic acid, gibberellic acid, and Trichoderma harzianum on ‘Nanicão’ banana fruits produced under controlled water deficit during different phenological stages, aiming to extend the shelf life and maintain nutritional quality. The experimental design was completely randomized in a 4 × 4 factorial scheme, comprising four irrigation management strategies based on crop evapotranspiration (ETc)—100% ETc throughout the cultivation cycle (E1) and 50% ETc during the juvenile stage (E2), fruiting stage (E3), and both juvenile/fruiting stages (E4)—and four post-harvest fruit conservation strategies: WC, control (distilled water); GA3, 200 mg L−1 of gibberellic acid; SA, 4.5 mM of salicylic acid; and TRIC, 1.5 mL L−1 of Trichoderma harzianum. There were four replications. The use of gibberellic acid at a concentration of 200 mg L−1 is the most effective strategy to extend the shelf life and maintain the post-harvest quality of ‘Nanicão’ banana fruits produced under water restrictions during the juvenile stage. Full article
(This article belongs to the Section Postharvest Biology, Quality, Safety, and Technology)
Show Figures

Figure 1

19 pages, 2762 KB  
Article
Assessing Spring Phenology Models with Photosynthesis Integration: Mechanistic Drivers of the Carbon–Frost Trade-Off
by Yating Gu, Qianhan Wu, Xiaorong Wang and Yantian Wang
Forests 2026, 17(2), 287; https://doi.org/10.3390/f17020287 - 23 Feb 2026
Viewed by 285
Abstract
Accurate prediction of spring phenology is critical for understanding ecosystem carbon and water dynamics under changing climates. In this study, we applied a revised optimality-based model (R-OPT) that integrates a mechanistic photosynthesis framework into the existing OPT model to simulate leaf unfolding date. [...] Read more.
Accurate prediction of spring phenology is critical for understanding ecosystem carbon and water dynamics under changing climates. In this study, we applied a revised optimality-based model (R-OPT) that integrates a mechanistic photosynthesis framework into the existing OPT model to simulate leaf unfolding date. We evaluated R-OPT alongside three widely used models—Growing Degree Days (GDD), Chilling–Forcing Trade-off (CFT), and Optimality-based (OPT) models—across multiple Plant Functional Types (PFTs) and sites using repeated 5-fold cross-validation. Findings reveal that R-OPT consistently outperforms the other models, achieving the lowest median RMSE (13.11 days), indicating enhanced predictive accuracy and explanatory power. Although the model incurs slightly higher complexity (median AIC = 13.44), the improvement in prediction justifies the trade-off. Our results highlight the importance of incorporating plant functional traits and environmental heterogeneity in phenological modeling. PFT-specific differences, such as the lower RMSEs for evergreen forbs and deciduous broadleaf PFTs versus larger uncertainties for drought-deciduous and semi-evergreen PFTs, underscore that current models may insufficiently capture key environmental drivers, including precipitation and partial leaf retention. Latitudinal and elevational variations in trade-off parameter a, and the prominence of leaf-level carbon assimilation traits (Aleaf) as drivers of phenology, demonstrate the critical role of physiological traits in shaping PFT-specific phenological timing. These findings have significant implications for large-scale ecosystem modeling. By linking phenology directly to photosynthetic processes, R-OPT enhances predictive skill and biological interpretability, supporting improved simulations of carbon and water fluxes. Overall, R-OPT offers a mechanistically grounded and robust framework for advancing predictive understanding of spring phenology and its ecological and climate-relevant consequences. Full article
Show Figures

Figure 1

22 pages, 9889 KB  
Article
Hyperspectral Estimation of Apple Canopy SPAD Values Based on Optimized Spectral Indices and CEO-LSSVM
by Kaiyao Hou, Ziyan Shi, Wei Lou, Bo Xiao and Xu Li
Agronomy 2026, 16(4), 490; https://doi.org/10.3390/agronomy16040490 - 23 Feb 2026
Viewed by 346
Abstract
Leaf chlorophyll content (LCC) is a key physiological parameter affecting plant growth and development. Rapid and non-destructive monitoring of LCC using hyperspectral remote sensing is crucial for promoting precision agriculture. In this study, hyperspectral data of apple canopy leaves at different phenological stages [...] Read more.
Leaf chlorophyll content (LCC) is a key physiological parameter affecting plant growth and development. Rapid and non-destructive monitoring of LCC using hyperspectral remote sensing is crucial for promoting precision agriculture. In this study, hyperspectral data of apple canopy leaves at different phenological stages were collected alongside their corresponding SPAD values (representing LCC) to construct a dataset. Two types of spectral features were extracted: (1) optimized spectral index combinations; and (2) feature bands selected using the Successive Projections Algorithm (SPA). Based on these features, three machine learning models—Support Vector Machine (SVM), Least Squares Support Vector Machine (LSSVM), and Chaos Evolution Optimization-enhanced LSSVM (CEO-LSSVM)—were developed to estimate SPAD values. The results indicate that the constructed optimal spectral index combinations exhibit superior sensitivity in SPAD estimation compared to the feature bands selected by SPA. Specifically, during the physiological fruit drop stage, the CEO-LSSVM model based on spectral indices achieved a test set R2 of 0.851, surpassing the SPA-based model (R2 = 0.813). Regarding model performance, the CEO-LSSVM demonstrated the highest accuracy and robustness across all stages. In the fruit drop period, using optimized spectral indices, it achieved an RMSE of 1.338, significantly outperforming the LSSVM (RMSE = 1.703) and SVM (RMSE = 2.409) models. This superiority was further evident in the fruit enlargement stage, where the CEO-LSSVM model reached a peak test set R2 of 0.868 and the lowest RMSE of 1.254. The integrated model combining optimized spectral indices and CEO-LSSVM provides an efficient and high-precision approach for hyperspectral SPAD estimation in apple canopies, effectively addressing the challenges of inversion modeling in arid oasis environments. Full article
(This article belongs to the Section Precision and Digital Agriculture)
Show Figures

Figure 1

22 pages, 1358 KB  
Article
Screening Almond Cultivars for Water Stress Tolerance Using Multiple Diagnostic Parameters
by Joan Ramon Gispert, Neus Marimon, Agustí Romero and Xavier Miarnau
Agronomy 2026, 16(4), 478; https://doi.org/10.3390/agronomy16040478 - 20 Feb 2026
Viewed by 351
Abstract
Climate change influences the agronomic behaviour of fruit trees. It is necessary to determine which cultivars adapt best to conditions in which water supplies are becoming increasingly scarce. This study analyses different phenological, morphological, physiological, agronomic and productive parameters to evaluate water stress [...] Read more.
Climate change influences the agronomic behaviour of fruit trees. It is necessary to determine which cultivars adapt best to conditions in which water supplies are becoming increasingly scarce. This study analyses different phenological, morphological, physiological, agronomic and productive parameters to evaluate water stress tolerance in six late-blooming almond cultivars widely grown in Spain (‘Ferragnès’, ’Francolí’, ‘Masbovera’, ‘Glorieta’, ’Guara’ and ‘Lauranne’). Two different plots were analysed: one under regulated deficit irrigation, at Les Borges Blanques, Lleida, with a water deficit (146.2 mm/year) and the other under rainfed conditions, at Mas Bové, Constantí, Tarragona, with a water deficit (284.5 mm/year). Parameters, including an increase in canopy volume, leaf-to-air thermal gradient, and slope between leaf water potential and level of leaf saturation, have proven to be good indicators of resistance to water stress. Yield variation and leaf temperature variation between rainfed and irrigated conditions also perform quite well. An assessment of leaf chlorophyll content, measured using SPAD-502, suggested the presence of a collateral effect resulting from the opacity of the biomass, as well as to chlorophyll-related cuticular colouring. Finally, under the experimental conditions, ‘Guara’ and ‘Masbovera’ proved the most resistant cultivars; ‘Glorieta’ and ‘Francolí’ exhibited an intermediate level, and ‘Lauranne’ and ‘Ferragnès’ were the least resistant cultivars. Full article
Show Figures

Figure 1

26 pages, 9500 KB  
Article
Fusing Time-Series Harmonic Phenology and Ensemble Learning for Enhanced Paddy Rice Mapping and Driving Mechanisms Analysis in Anhui, China
by Nan Wu, Yiling Cui, Wei Zhuo, Bolong Zhang, Shichang Liu, Jun Wu, Zijie Zhao and Yicheng Wang
Agriculture 2026, 16(4), 459; https://doi.org/10.3390/agriculture16040459 - 16 Feb 2026
Viewed by 306
Abstract
Accurate and timely mapping of paddy rice is essential for agricultural management, food security, and climate-resilient policy. However, high-precision mapping remains challenging in subtropical monsoon regions due to persistent cloud cover, long revisit intervals, and striping noise, which compromise satellite data quality and [...] Read more.
Accurate and timely mapping of paddy rice is essential for agricultural management, food security, and climate-resilient policy. However, high-precision mapping remains challenging in subtropical monsoon regions due to persistent cloud cover, long revisit intervals, and striping noise, which compromise satellite data quality and availability. To address these limitations, a rice mapping framework suitable for different geographical environments was developed based on a random forest (RF) by combining time-series harmonic analysis (HANTS) with Sentinel-1 and Sentinel-2 multi-source data. To address these limitations, a rice mapping classification algorithm for different geographical environments was developed by combining Harmonic Analysis of Time Series (HANTS) with Sentinel-1/2 multi-source data. The research obtained annual maps of single-season and double-season rice in the research area from 2019 to 2024, with a spatial resolution of 10 m. The results indicated that the Sentinel-1, Sentinel-2, GEE, and HANTS algorithm can effectively support the yearly mapping of single- and double-season paddy rice in Anhui Province, China. The resultant paddy rice map has a high accuracy with overall accuracies exceeding 92% and Kappa coefficients above 0.84. HANTS effectively captures key phenological features of paddy rice, and it can especially enhance the discrimination between single- and double-season rice; compared to existing rice mapping products, the proposed approach reduces classification errors by an average of 3.92% in six major rice-producing cities, each with cultivation areas exceeding 1 million hectares; spatial correlation analysis indicates substantial heterogeneity in rice cultivation patterns across northern, central, and southern Anhui, associated with both biophysical and anthropogenic factors. These results indicate that integrating phenological data with machine learning can enhance the accuracy of long-term, high-resolution crop monitoring, and annual rice maps will offer valuable support for food security assessment, water resource management, and policy planning. Full article
Show Figures

Figure 1

Back to TopTop