Sign in to use this feature.

Years

Between: -

Subjects

remove_circle_outline
remove_circle_outline
remove_circle_outline
remove_circle_outline
remove_circle_outline
remove_circle_outline
remove_circle_outline
remove_circle_outline
remove_circle_outline

Journals

remove_circle_outline
remove_circle_outline
remove_circle_outline
remove_circle_outline
remove_circle_outline
remove_circle_outline
remove_circle_outline
remove_circle_outline
remove_circle_outline

Article Types

Countries / Regions

remove_circle_outline
remove_circle_outline
remove_circle_outline
remove_circle_outline

Search Results (915)

Search Parameters:
Keywords = permeation flux

Order results
Result details
Results per page
Select all
Export citation of selected articles as:
18 pages, 11223 KB  
Article
Water Purification Efficiency and Membrane Fouling Behavior of Ceramic Membrane-Nanofiltration in Treating Water Treatment Plant Production Wastewater
by Yawei Xie, Zewei Liu, Jiayi Yu, Zizhang Shan, Hongyuan Liu and Yan Zhang
Membranes 2025, 15(12), 387; https://doi.org/10.3390/membranes15120387 - 18 Dec 2025
Viewed by 198
Abstract
To mitigate the risks associated with production wastewater from water treatment plants, this study evaluated the effectiveness of nanofiltration (NF) and a hybrid ceramic membrane–nanofiltration (CM–NF) process in removing natural organic matter (NOM) and Ca2+. A comprehensive analysis of changes in [...] Read more.
To mitigate the risks associated with production wastewater from water treatment plants, this study evaluated the effectiveness of nanofiltration (NF) and a hybrid ceramic membrane–nanofiltration (CM–NF) process in removing natural organic matter (NOM) and Ca2+. A comprehensive analysis of changes in specific flux and fouling resistance of the NF membrane, combined with scanning electron microscopy (SEM) observations, provided deeper insight into membrane fouling behavior. The results show that the CM–NF process achieved average removal rates of 95.60% for DOC, 98.55% for UV254, 34.50% for conductivity, and 50.71% for Ca2+. These values represent improvements of 4.70%, 1.40%, 16.37%, and 10.36%, respectively, compared to the standalone NF process. Furthermore, CM pretreatment consistently optimized the performance of the nanofiltration system. After continuous operation, the average specific membrane flux of the CM–NF system reached 0.715, 0.67, and 0.61 under varying pollutant concentrations—increases of 10.9%, 19.6%, and 17.3% over the standalone NF system—confirming a significant improvement in permeate flux. Under continuous operation, the average degree of irreversible fouling was markedly reduced across different pollutant concentrations—decreasing from 9.2%, 17.6%, and 23.6% for the standalone NF system to 8.9%, 15.6%, and 10.9% for the CM–NF system, which clearly demonstrates the efficacy of CM pretreatment in controlling irreversible fouling. SEM observations further corroborated that CM pretreatment effectively alleviated fouling on the NF membrane surface. Additionally, higher Ca2+ concentrations were found to contribute to reduced membrane fouling and enhance flux performance. Full article
Show Figures

Figure 1

18 pages, 5618 KB  
Article
Flux Enhancement in Hybrid Pervaporation Membranes Filled with Mixed Magnetic Chromites ZnCr2Se4, CdCr2Se4 and CuCr2Se4
by Łukasz Jakubski, Izabela Jendrzejewska, Artur Chrobak, Klaudiusz Gołombek and Gabriela Dudek
Molecules 2025, 30(24), 4784; https://doi.org/10.3390/molecules30244784 - 15 Dec 2025
Viewed by 139
Abstract
The integration of bioethanol into transportation fuels requires efficient purification methods to overcome the ethanol–water azeotrope, which cannot be separated by conventional distillation. Pervaporation has become an attractive alternative, offering high selectivity while minimising energy consumption. To further improve membrane performance, this study [...] Read more.
The integration of bioethanol into transportation fuels requires efficient purification methods to overcome the ethanol–water azeotrope, which cannot be separated by conventional distillation. Pervaporation has become an attractive alternative, offering high selectivity while minimising energy consumption. To further improve membrane performance, this study analyses sodium alginate-based hybrid membranes containing binary mixtures of chromite selenides with varying magnetic properties (ZnCr2Se4, CdCr2Se4, and CuCr2Se4). Pairwise combinations of these fillers were introduced to create complex magnetic structures that can influence polymer–filler interactions and molecular transport. Structural, magnetic, and functional characterisation showed that membrane properties were strongly dependent on the type and proportion of fillers. In particular, the CdCr2Se4 with CuCr2Se4 combination exhibited the most favourable balance between permeation flux and selectivity, achieving the highest parameters, including pervaporation separation index (PSI) reaching 747 kg·m−2·h−1. This superior performance is attributed to the synergistic interaction of these two magnetic fillers, which enhances membrane selectivity while maintaining its integrity. This work presents a novel approach to membrane-based separation, advancing the development of energy-efficient, environmentally sustainable bioethanol purification technologies. Full article
(This article belongs to the Special Issue Biopolymer-Based Materials: Preparation, Properties and Applications)
Show Figures

Graphical abstract

18 pages, 3661 KB  
Article
Effects of Metal Foam Insertion on the Performance of a Vacuum Membrane Distillation Unit
by Nizar Loussif and Jamel Orfi
Membranes 2025, 15(12), 379; https://doi.org/10.3390/membranes15120379 - 13 Dec 2025
Viewed by 197
Abstract
The present study investigates the use of aluminum foam to enhance pure water production using a Vacuum Membrane Distillation (VMD) desalination unit. Numerical simulations were conducted for a conventional VMD and three VMD configurations with different metal foam thickness-to-channel-width ratios of h/b = [...] Read more.
The present study investigates the use of aluminum foam to enhance pure water production using a Vacuum Membrane Distillation (VMD) desalination unit. Numerical simulations were conducted for a conventional VMD and three VMD configurations with different metal foam thickness-to-channel-width ratios of h/b = (0.5, 0.75, 1). The effects of operational parameters on different VMD setups were presented and discussed. Additionally, the effects of flow rates on temperature polarization, average Nusselt number, and pressure drop were presented and discussed. The performance evaluation criterion (PEC), an indicator of the system’s global performance encompassing the heat transfer enhancement and the related pressure loss, has also been used and analyzed. Outcomes demonstrate improvements in water production with the increase in inlet velocity and temperature, while applied vacuum pressure and inlet concentration increments showed opposite behavior for all studied VMD setups. Permeate flux and temperature polarization were enhanced with metal foam insertion, and the case h = b presents the highest permeate flux and pressure drop. PEC demonstrates values superior to unity for all studied cases, with higher values for lower flow rates. Fully filled metal foam insertion is recommended for lower flow rates, while partially filled metal foam (h = 0.5b) is suggested for higher ones. Full article
(This article belongs to the Special Issue Membrane Distillation: Module Design and Application Performance)
Show Figures

Figure 1

15 pages, 2086 KB  
Article
Effect of Nanobubbles on Ultrafiltration Membrane Performance and Properties of Model Cheese Whey
by FNU Akshit, Sanjay Kumar Bharti and Maneesha S. Mohan
Foods 2025, 14(24), 4224; https://doi.org/10.3390/foods14244224 - 9 Dec 2025
Viewed by 298
Abstract
Fouling has been a major concern in membrane processing, requiring frequent cleaning, increasing the time of processing, and reducing the lifespan of membranes. As a strategy to improve membrane filtration processes, our study investigates the impact of nanobubbles (NBs) on the whey ultrafiltration [...] Read more.
Fouling has been a major concern in membrane processing, requiring frequent cleaning, increasing the time of processing, and reducing the lifespan of membranes. As a strategy to improve membrane filtration processes, our study investigates the impact of nanobubbles (NBs) on the whey ultrafiltration (UF) process and provides insights into the resulting changes in permeation flux, concentration factor, composition, particle charge and size, viscosity, and protein secondary structures. NBs led to significantly enhanced permeation flux up to 60 min (p < 0.05), leading to a higher concentration factor with time, as indicated at 120 min compared to the control. There was a significant increase in protein and total solids concentrations (33 ± 10% and 28 ± 5%) in the final retentate at 120 min for NB-treated cheese whey (NBW) as compared to the control (p < 0.05). While particle size is relatively unchanged with and without NB treatment, increased viscosity in NBW is caused by the increased concentration factors achieved with higher flux for the NBW by the end of UF. FTIR and SDS-PAGE reveal no significant alterations in whey protein secondary structures and fractions, respectively. Overall, membrane efficiency was enhanced by significantly increasing peak flux and concentration factor (34 ± 5% and 40 ± 4%) for NBW compared to CW. Our study presents an innovative approach to reach the targeted total solids/protein for cheese whey concentration in significantly less processing time (28.27% ± 2.33 reduction), with potential energy savings. Therefore, nanobubble technology shows promising potential to improve membrane filtration in the dairy industry with higher permeation flux, reduced fouling, and improved membrane processing efficiency. Full article
(This article belongs to the Section Dairy)
Show Figures

Figure 1

14 pages, 2397 KB  
Article
Development of Drug-in-Adhesive Patch Formulation for Transdermal Delivery of Pelubiprofen
by Min-Sung Lee, Chang-Soo Han, Kyung Hyun Min, Dong-Wook Kim, Chun-Woong Park, Kwon-Yeon Weon and Ji-Hyun Kang
Pharmaceutics 2025, 17(12), 1580; https://doi.org/10.3390/pharmaceutics17121580 - 8 Dec 2025
Viewed by 433
Abstract
Background: Pelubiprofen (PBF) is a cyclooxygenase-2 inhibitor currently marketed as an oral tablet in South Korea. Oral dosing is limited by gastrointestinal variability, first-pass metabolism, which can reduce therapeutic efficiency and increase adverse effects. Transdermal drug-in-adhesive patches provide a noninvasive alternative that bypasses [...] Read more.
Background: Pelubiprofen (PBF) is a cyclooxygenase-2 inhibitor currently marketed as an oral tablet in South Korea. Oral dosing is limited by gastrointestinal variability, first-pass metabolism, which can reduce therapeutic efficiency and increase adverse effects. Transdermal drug-in-adhesive patches provide a noninvasive alternative that bypasses these limitations and enables controlled delivery through the skin. Methods: The solubility of PBF in ethanol was evaluated, and its adhesive compatibility was tested using acrylic- and silicone-based systems. Different drug-loaded formulations were prepared, and their miscibility was assessed. Several permeation enhancers were screened. The physicochemical properties were analyzed. In vitro permeation was studied using rat skin in Franz cells. Accelerated stability was tested at 40 °C and 75% relative humidity for three months. Results: PBF reached near saturation at 120 mg/mL in ethanol. Among the adhesives, Duro-Tak® 8076 showed the best compatibility with ethanol and PBF. Drug loading above 15% led to crystallization; 15% was selected as the optimal loading. The addition of 2% oleic acid (OA) significantly increased the permeation flux to 11.31 ± 1.50 μg/cm2/h, showing a 3.6-fold enhancement over the control and enhanced deposition in the stratum corneum and dermis. Based on the physicochemical evaluation, PBF was present in an amorphous state within the adhesive matrix. Stability studies revealed no recrystallization, with the drug content maintained at 97–100%. Permeation remained unchanged during storage. Conclusions: The PD-OA2 patch achieved stable drug incorporation, enhanced skin permeation, and robust stability. These findings support the potential of PBF as a clinically relevant alternative to oral PBF formulations for treating localized inflammation and pain. Full article
(This article belongs to the Special Issue Dermal and Transdermal Drug Delivery Systems)
Show Figures

Graphical abstract

16 pages, 6491 KB  
Article
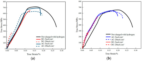
Hydrogen Damage Behavior of X80 Pipeline Steel Under AC Interference
by Tong Li, Zhihui Li, Kejun Jiang, Yuxiang Cai, Wan Sun, Ziyong He, Jun Zhao, Tao Cao, Junjun Jin, Wenjing Chen and Guoqing Gou
Materials 2025, 18(24), 5487; https://doi.org/10.3390/ma18245487 - 5 Dec 2025
Viewed by 212
Abstract
X80 pipeline steel is a key material in the field of oil and gas transportation. Its damage behavior in a hydrogen-filled environment directly affects pipeline safety. In this study, through hydrogen permeation experiments and slow strain rate tensile tests, the electrochemical responses and [...] Read more.
X80 pipeline steel is a key material in the field of oil and gas transportation. Its damage behavior in a hydrogen-filled environment directly affects pipeline safety. In this study, through hydrogen permeation experiments and slow strain rate tensile tests, the electrochemical responses and hydrogen-induced cracking behaviors of X80 base metal and welded joints under hydrogen filling conditions in both AC and DC were systematically compared. The results show that when the base material is filled with hydrogen at 20 mA/cm2 AC, the hydrogen permeation flux is the largest, and the overall hydrogen permeation parameter of the welded joint is lower than that of the base material. High-frequency polarization promotes hydrogen permeation, but anodic corrosion products at high current densities can impede hydrogen entry. The slow strain rate tensile test further confirmed that the mechanical properties of the material declined more significantly under direct current hydrogen charging, and the sensitivity to stress corrosion cracking was higher. Under alternating hydrogen charging conditions, due to the alternating effects of hydrogen charging at the cathode and corrosion at the anode, a relatively low hydrogen embrittlement sensitivity is exhibited. Full article
Show Figures

Figure 1

20 pages, 1296 KB  
Article
Use of Ultrafiltration Membranes as Tertiary/Quaternary Treatment for Wastewater Reclamation in Municipal WWTPs
by Á. Sabina Acebrón, Julio Revert-Vercher, Pau Sanchis-Perucho, Luis Borrás and Aurora Seco
Water 2025, 17(24), 3453; https://doi.org/10.3390/w17243453 - 5 Dec 2025
Viewed by 359
Abstract
This work assesses the viability of ultrafiltration (UF) membranes as a substitution for classic tertiary technologies for municipal wastewater (MWW) treatment. UF membranes can offer efficient MWW filtration, meeting quality standards regarding solids, bacteria, viruses and emerging pollutants, such as microplastics. All of [...] Read more.
This work assesses the viability of ultrafiltration (UF) membranes as a substitution for classic tertiary technologies for municipal wastewater (MWW) treatment. UF membranes can offer efficient MWW filtration, meeting quality standards regarding solids, bacteria, viruses and emerging pollutants, such as microplastics. All of these make UF not only an attractive competitor regarding tertiary treatments but also a potential quaternary treatment according to the latest legislation. Indeed, the achieved permeate quality meets the more stringent parameters for water reuse in agriculture according to the European standard (A-type water). The UF membrane’s feasibility when used as an MWW tertiary/quaternary treatment was assessed in a semi-industrial plant with commercially available industrial membrane modules under different operating conditions: (1) transmembrane flux, (2) air sparging intensity and filtration/relaxation periodicities, (3) the concentration of solids reached in the membrane tank and (4) the efficacy of chemically enhanced backwashing (CEB) to mitigate fouling. Increasing the air intensity (around 0.25 m3 m−2 h−1), increasing the solids concentration (3–4 g L−1) and using acid chemicals for backwashing at low concentrations but high periodicities (about 25–50 ppm of HCl/citric acid at a pH of 2.5 once or twice every 15 days) displayed great effectiveness in minimizing fouling, which was found to be mainly reversible. Thanks to the stablished conditions, semi-industrial UF membrane filtration was possible for more than 30 days when operating at relatively high transmembrane fluxes (21.5 LMH), achieving an average transmembrane pressure of around 120 mbar with an extremely low fouling growth rate of 0.024 mbar d−1. Full article
Show Figures

Figure 1

32 pages, 2576 KB  
Article
Advancing Solvent Dehydration with Innovative HybSi® AR Membranes: Economic and Environmental Benefits of Pervaporation
by Mohammed Nazeer Khan, Elmar Boorsma, Pieter Vandezande, Ilse Lammerink, Rob de Lange, Anita Buekenhoudt and Miet Van Dael
Membranes 2025, 15(12), 367; https://doi.org/10.3390/membranes15120367 - 1 Dec 2025
Viewed by 537
Abstract
A techno-economic and environmental evaluation of dehydrating five industrially relevant solvents (isopropanol, acetonitrile, tetrahydrofuran, acetic acid, and n-methyl-2-pyrrolidone) using pervaporation-based processes was performed and compared to their respective traditional distillation processes. A standalone pervaporation and two hybrid processes (i.e., distillation-pervaporation and distillation-pervaporation-distillation) employing [...] Read more.
A techno-economic and environmental evaluation of dehydrating five industrially relevant solvents (isopropanol, acetonitrile, tetrahydrofuran, acetic acid, and n-methyl-2-pyrrolidone) using pervaporation-based processes was performed and compared to their respective traditional distillation processes. A standalone pervaporation and two hybrid processes (i.e., distillation-pervaporation and distillation-pervaporation-distillation) employing HybSi® AR membranes were simulated in Aspen Plus, where the pervaporation module was modeled as a separator block that followed the experimental data. The experiments were performed at a vacuum pressure of 20 mbar and a temperature of 130 °C. The performance was compared based on several technical, economic, and environmental measures, of which key metrics are the levelized cost of separation (LCOS) and CO2 footprint reduction. From the economic perspective, the pervaporation-based processes are much more economical than the distillation processes for isopropanol (up to 42% reduction in LCOS) and acetonitrile (up to 39% reduction in LCOS), while their economic performance is similar to the benchmark process in the case of tetrahydrofuran (only up to 4% reduction in LCOS). For acetic acid (9% higher LCOS) and n-methyl-2-pyrrolidone (124% higher LCOS), the pervaporation-based processes do not perform better than the distillation processes under the current technical and economic considerations. However, a sensitivity analysis showed the potential to make the pervaporation-based processes more economical by improving the permeate flux and membrane module cost. On the other hand, the pervaporation-based processes are much more environmentally friendly for all the solvents studied compared to their respective benchmark processes. The reduction in CO2 footprint is in the order of 86%, 82%, 73%, 82%, and 65%, respectively, for the aforementioned solvents. Full article
Show Figures

Figure 1

14 pages, 2609 KB  
Article
Stable Ti3C2 MXene-Based Nanofiltration Membrane Prepared by Bridging for Efficient Dye Wastewater Treatment
by Yu Zhang and Ming Qiu
Membranes 2025, 15(11), 343; https://doi.org/10.3390/membranes15110343 - 18 Nov 2025
Viewed by 601
Abstract
Transition metal carbides/nitrides (MXenes) nanosheets have emerged as promising candidates for constructing high-performance nanofiltration (NF) membranes for separation processes. However, MXene membranes exhibit limited feasibility due to the instability of their microstructure, which can lead to failure in the filtration process. This study [...] Read more.
Transition metal carbides/nitrides (MXenes) nanosheets have emerged as promising candidates for constructing high-performance nanofiltration (NF) membranes for separation processes. However, MXene membranes exhibit limited feasibility due to the instability of their microstructure, which can lead to failure in the filtration process. This study presents a bridging strategy (polyethyleneimine and polydopamine) to prepare a stable titanium carbide (Ti3C2) membrane, resulting in superior nanofiltration efficiency. Polyethyleneimine intercalation can inhibit the tendency to swell, while polydopamine enhances the force between the substrate and nanosheets. The optimized membrane possesses a permeate flux of 112.3 L m−2 h−1 bar−1 (1.6 times higher than pristine Ti3C2 membrane) and good selectivity (methyl blue rejection rate: ~99.5%; Na2SO4 rejection rate: <5.0%). In addition, the prepared membrane has good long-time durability and is more suitable for low pressure nanofiltration. Notably, the bridging strategy is also applicable to various two-dimensional lamellar membranes. This strategy provides a universal method for enhancing the stability of two-dimensional membranes, thereby promoting their practical applications in robust separation processes. Full article
Show Figures

Figure 1

28 pages, 4112 KB  
Article
Development and Pharmacokinetic Evaluation of Newly Formulated Letrozole Non-Aqueous Nanoemulgel Transdermal Systems for Hormone-Dependent Breast Cancer Therapy
by Husam M. Younes, AlSayed A. Sallam, Loai Ahmad Saifan, Aya M. Ghanem, Enam A. Khalil, Ehab A. Abu-Basha and Ahmad Y. Abuhelwa
Pharmaceutics 2025, 17(11), 1444; https://doi.org/10.3390/pharmaceutics17111444 - 8 Nov 2025
Viewed by 780
Abstract
Background/Objectives: Breast cancer remains the most prevalent malignancy among women worldwide, with letrozole (LZ) serving as a critical aromatase inhibitor for hormone receptor–positive cases. However, long-term oral administration of LZ is often associated with systemic adverse effects and poor patient compliance. To overcome [...] Read more.
Background/Objectives: Breast cancer remains the most prevalent malignancy among women worldwide, with letrozole (LZ) serving as a critical aromatase inhibitor for hormone receptor–positive cases. However, long-term oral administration of LZ is often associated with systemic adverse effects and poor patient compliance. To overcome these limitations, new non-aqueous nanoemulgels (NEMGs) were developed for transdermal delivery of LZ. Methods: The NEMGs were formulated using glyceryl monooleate (GMO), Sepineo P600®, Transcutol, propylene glycol, and penetration enhancers propylene glycol laurate (PGL), propylene glycol monocaprylate (PGMC), and Captex®. Physicochemical characterization, solubility, stability, and in vitro permeation studies were conducted using Strat-M® membranes, while in vivo pharmacokinetics were evaluated in rat models. Results: The optimized GMO/PGMC-based NEMG demonstrated significantly enhanced drug flux, higher permeability coefficients, and shorter lag times compared with other NEMGs and suspension emulgels. In vivo, transdermal application of the GMO/PGMC-based NEMG over an area of 2.55 cm2 produced dual plasma absorption peaks, with 57% of the LZ dose absorbed relative to oral administration over 12 days. Shelf-life and accelerated stability assessments confirmed excellent physicochemical stability with negligible crystallization. Conclusions: The developed LZ NEMG formulations offer a stable, effective, and patient-friendly transdermal drug delivery platform for breast cancer therapy. This system demonstrates potential to improve patient compliance and reduce systemic toxicity compared to conventional oral administration. Full article
Show Figures

Figure 1

15 pages, 2881 KB  
Article
UiO-66-(COOH)2 Decorated Collagen Fiber Membranes for High-Efficiency Separation of Cationic Surfactant-Stabilized Oil/Water Emulsions: Toward Sustainable and Robust Wastewater Treatment
by Guifang Yang, Qiu Wu, Gao Xiao and Xiaoxia Ye
Polymers 2025, 17(21), 2879; https://doi.org/10.3390/polym17212879 - 29 Oct 2025
Viewed by 430
Abstract
Membrane separation is a promising technology for emulsified wastewater treatment. However, conventional membrane often suffer from limitations such as low mechanical strength, the inherent “trade-off” effect between flux and separation efficiency, and poor antifouling properties. To address these challenges, we report a novel [...] Read more.
Membrane separation is a promising technology for emulsified wastewater treatment. However, conventional membrane often suffer from limitations such as low mechanical strength, the inherent “trade-off” effect between flux and separation efficiency, and poor antifouling properties. To address these challenges, we report a novel composite membrane (CFM-UiO-66-(COOH)2) fabricated by in situ growth of functionalized UiO-66-(COOH)2 on a mechanically robust collagen fiber membrane (CFM) substrate. The resulting composite leverages the inherent properties of the CFM, along with the controlled generation of charge-neutralization demulsification sites and size-sieving filtration layers from the UiO-66-(COOH)2. This CFM-UiO-66-(COOH)2 exhibited superwetting behavior and achieved efficient separation of cationic surfactant-stabilized oil-in-water micro- and nano-emulsions. Specifically, the CFM-UiO-66-(COOH)2 achieved separation efficiencies exceeding 99.85% for various cationic O/W emulsions, with permeation fluxes ranging from 178.9 to 225.9 L·m−2·h−1. The membrane also demonstrated robust antifouling properties, excellent acid/alkali resistance, high abrasion durability, and good biocompatibility. Importantly, stable performance was maintained over six consecutive separation cycles. These characteristics, combined with the electrostatic interactions between carboxyl groups on the UiO-66-(COOH)2 and cationic contaminants, suggest that CFM-UiO-66-(COOH)2 holds significant potential for practical and sustainable wastewater treatment applications. Full article
(This article belongs to the Section Polymer Membranes and Films)
Show Figures

Graphical abstract

12 pages, 2322 KB  
Article
Engineering Thermal Cross-Linking in Nanofiltration Membranes for Efficient Nicotine Extraction from Tobacco Extract
by He Du, Xinyuan Wang, Baodan Na, Yajun Ye, Yuemei Qiao, Linda Li, Ye Tian, Xiaoping Ning, Zhigang Wang, Xingquan Zhao and Chen Chen
Membranes 2025, 15(11), 327; https://doi.org/10.3390/membranes15110327 - 28 Oct 2025
Viewed by 955
Abstract
Tobacco extract contains numerous valuable components, among which nicotine possesses significant potential for high-value applications despite its well-known health risks. However, the efficient extraction of nicotine is challenging due to the complex composition of tobacco extracts and the limitations of conventional separation techniques. [...] Read more.
Tobacco extract contains numerous valuable components, among which nicotine possesses significant potential for high-value applications despite its well-known health risks. However, the efficient extraction of nicotine is challenging due to the complex composition of tobacco extracts and the limitations of conventional separation techniques. In this work, an integrally asymmetric nanofiltration membrane was developed via thermal cross-linking for highly efficient nicotine separation. A poly(aryl ether ketone) (PEK)-based ultrafiltration membrane was first prepared via non-solvent induced phase separation (NIPS), followed by controlled thermal cross-linking to tailor the membrane pore size toward the molecular weight of nicotine. To mitigate pore collapse and enhance flux, TiO2 nanoparticles were incorporated in situ through a sol–gel method. The resulting thermally cross-linked membrane exhibited a molecular weight cut-off of ~180 Da, a nicotine rejection rate of 93.2%, and a permeation flux of 143 L/(m2·h)—representing a 259% increase over the control membrane. Moreover, the thermally cross-linked membranes demonstrated exceptional chemical stability in various organic solvents and extreme pH conditions. This work offers a feasible and sustainable strategy for fabric high-performance nanofiltration membranes for the targeted extraction of bioactive molecules from complex plant extracts. Full article
(This article belongs to the Special Issue Applications of Membrane Filtration and Separation)
Show Figures

Figure 1

16 pages, 4000 KB  
Article
Influence of Fabric Support on Improving the Layer-by-Layer Polyethersulfone Membrane Performance
by Ahmed A. Bhran, Abdelrahman G. Gadallah, Eman S. Mansor and Heba Abdallah
Polymers 2025, 17(21), 2825; https://doi.org/10.3390/polym17212825 - 23 Oct 2025
Viewed by 557
Abstract
This work is based on studying the effect of different kinds of support on the prepared reverse osmosis membranes. Different kinds of woven and non-woven supports were tested and characterized to select the best one for RO membrane preparation. The prepared membrane on [...] Read more.
This work is based on studying the effect of different kinds of support on the prepared reverse osmosis membranes. Different kinds of woven and non-woven supports were tested and characterized to select the best one for RO membrane preparation. The prepared membrane on polyester woven support (M1ws) provides 39.9 LMH permeate flux using a piperazine coagulation bath during membrane preparation, while polyester non-woven support (M2ns) exhibits the highest salt rejection percentage, which was 92.2% using a Melamine coagulation bath. The mechanical properties for preparing membranes using supports were arranged in descending order as follows: M1ws > M2ns > M3np. The membrane on polypropylene support (M3np) provides the lowest mechanical properties. Full article
(This article belongs to the Special Issue Preparation and Application of Polymer Membranes)
Show Figures

Figure 1

16 pages, 2823 KB  
Article
Evaluation of End-of-Life Reverse Osmotic Membrane for High-Retention Anaerobic Membrane Bioreactor
by Oriol Morató Torras, Hiren D. Raval, Bianca Zappulla-Sabio, Ignasi Rodriguez-Roda, Hèctor Monclús and Gaetan Blandin
Membranes 2025, 15(11), 323; https://doi.org/10.3390/membranes15110323 - 22 Oct 2025
Viewed by 1227
Abstract
Following on from a circular economy in water, membrane technologies can play a role in resource recovery and high-quality water production but should also consider membrane industry circularity. Anaerobic membrane bioreactors (AnMBRs) are being used for advanced wastewater treatment, and their applications are [...] Read more.
Following on from a circular economy in water, membrane technologies can play a role in resource recovery and high-quality water production but should also consider membrane industry circularity. Anaerobic membrane bioreactors (AnMBRs) are being used for advanced wastewater treatment, and their applications are growing due to advantages like lower sludge volume, better permeate quality, and the generation of biogas. High-Rejection (HR) AnMBRs retain a higher fraction of dissolved and particulate components to further promote resource recovery and obtain improved effluent quality. With the development of membrane technologies, end-of-life (EOL) membrane recycling is emerging for various applications. The feasibility of transforming EOL Reverse Osmosis (RO) membranes into ultrafiltration (UF)- and nanofiltration (NF)-like membranes and applying these membranes to submerged HR-AnMBR applications was evaluated. A small pilot AnMBR with granular biomass was operated with EOL RO membranes converted to submerged UF- and NF-like membranes and compared to commercial microfiltration (MF) membranes. UF- and NF-like plates were constructed, characterized, and introduced step-by-step into the AnMBR by the substitution of MF plates. A chemical oxygen demand (COD) removal study showed that while 77% removal of COD was possible with MF membranes, improved COD removal (i.e., 81.40% and 88.39%) was achieved using UF-like and NF-like membranes, respectively. Because of the higher retention of salts of the NF-like membrane, the salinity in the membrane bioreactor increased from 1300 to 1680 µS·cm−1 but stabilized quickly and without a negative impact on system performance. Even without cleaning, minimal fouling and flux decline were observed for all tested configurations thanks to the use of granular biomass and low permeation flux. Permeate flux in the case of the NF-like membrane was slightly lower due to the required higher pressure. The present study demonstrated that the EOL-RO membranes may find applications in HR-AnMBRs to achieve superior permeate quality and move toward circular membrane processes. Full article
Show Figures

Figure 1

14 pages, 1370 KB  
Article
Mitigating Wetting and Scaling in Air Gap Membrane Distillation Crystallization via SiO2 Seeding
by Stefanie Flatscher, Mark W. Hlawitschka, Wolfgang M. Samhaber, Florian Hell and Josef Lahnsteiner
Membranes 2025, 15(10), 321; https://doi.org/10.3390/membranes15100321 - 17 Oct 2025
Viewed by 1043
Abstract
Membrane distillation crystallization (MDCr) is an approach for treating hypersaline wastewaters and enabling zero-liquid-discharge (ZLD) systems. However, its performance is often inhibited by concentration polarization, scaling, and membrane wetting. Heterogeneous seeding has been proposed to shift crystallization into the bulk phase, yet its [...] Read more.
Membrane distillation crystallization (MDCr) is an approach for treating hypersaline wastewaters and enabling zero-liquid-discharge (ZLD) systems. However, its performance is often inhibited by concentration polarization, scaling, and membrane wetting. Heterogeneous seeding has been proposed to shift crystallization into the bulk phase, yet its quantitative influence on flux stability, wetting resistance, and crystal growth remains poorly understood. This study investigates air-gap MDCr (AGMDCr) of 300 g L−1 NaCl using polypropylene (PP) and polytetrafluoroethylene (PTFE) membranes under seeded and unseeded conditions. Introducing 0.1 g L−1 SiO2 seeds (30–60 µm) enhanced steady-state permeate flux by 41% and maintained salt rejection ≥ 99.99%, indicating effective suppression of wetting. Seeding shifted the crystal size distribution from fine (mean 50.6 µm, unseeded) to coarse (230–340 µm), consistent with reduced primary nucleation and preferential growth on seed surfaces. At 0.6 g L−1, the flux decreased relative to 0.1–0.3 g L−1, consistent with near-wall solids holdup and hindered transport at high seeding concentration. The PTFE membrane exhibited a 47% higher flux than PP, primarily due to its reduced thermal resistance and optimized module geometry at the same flow rate. These results demonstrate that appropriately sized and dosed SiO2 seeding effectively stabilizes flux and suppresses wetting in MDCr. Full article
(This article belongs to the Section Membrane Applications for Water Treatment)
Show Figures

Graphical abstract

Back to TopTop