Sign in to use this feature.

Years

Between: -

Subjects

remove_circle_outline
remove_circle_outline
remove_circle_outline
remove_circle_outline
remove_circle_outline
remove_circle_outline
remove_circle_outline
remove_circle_outline
remove_circle_outline

Journals

remove_circle_outline
remove_circle_outline
remove_circle_outline
remove_circle_outline
remove_circle_outline
remove_circle_outline
remove_circle_outline
remove_circle_outline
remove_circle_outline
remove_circle_outline
remove_circle_outline
remove_circle_outline
remove_circle_outline
remove_circle_outline
remove_circle_outline
remove_circle_outline
remove_circle_outline

Article Types

Countries / Regions

remove_circle_outline
remove_circle_outline
remove_circle_outline
remove_circle_outline
remove_circle_outline

Search Results (987)

Search Parameters:
Keywords = pattern discovery

Order results
Result details
Results per page
Select all
Export citation of selected articles as:
23 pages, 1873 KB  
Article
Machine Learning Techniques for Fault Detection in Smart Distribution Grids
by Vishakh K. Hariharan, Amritha Geetha, Fabrizio Granelli and Manjula G. Nair
Energies 2025, 18(19), 5179; https://doi.org/10.3390/en18195179 - 29 Sep 2025
Abstract
Fault detection is critical to the resilience and operational integrity of electrical power grids, particularly smart grids. In addition to requiring a lot of labeled data, traditional fault detection approaches have limited flexibility in handling unknown fault scenarios. In addition, since traditional machine [...] Read more.
Fault detection is critical to the resilience and operational integrity of electrical power grids, particularly smart grids. In addition to requiring a lot of labeled data, traditional fault detection approaches have limited flexibility in handling unknown fault scenarios. In addition, since traditional machine learning models rely on historical data, they struggle to adapt to new fault patterns in dynamic grid environments. Due to these limitations, fault detection systems have limited resilience and scalability, necessitating more advanced approaches. This paper presents a hybrid technique that integrates supervised and unsupervised machine learning with Generative AI to generate artificial data to aid in fault identification. A number of machine learning algorithms were compared with regard to how they detect symmetrical and asymmetrical faults in varying conditions, with a particular focus on fault conditions that have not happened before. A key feature of this study is the application of the autoencoder, a new machine learning model, to compare different ML models. The autoencoder, an unsupervised model, performed better than other models in the detection of faults outside the learning dataset, pointing to its potential to enhance smart grid resilience and stability. Also, the study compared a generative AI-generated dataset (D2) with a conventionally prepared dataset (D1). When the two datasets were utilized to train various machine learning models, the synthetic dataset (D2) outperformed D1 in accuracy and scalability for fault detection applications. The strength of generative AI in improving the quality of data for machine learning is thus indicated by this discovery.By emphasizing the necessity of using advanced machine learning techniques and high-quality synthetic datasets, this research aims to increase the resilience of smart grid networks through improved fault detection and identification. Full article
Show Figures

Figure 1

20 pages, 1367 KB  
Review
AI-Integrated QSAR Modeling for Enhanced Drug Discovery: From Classical Approaches to Deep Learning and Structural Insight
by Mahesh Koirala, Lindy Yan, Zoser Mohamed and Mario DiPaola
Int. J. Mol. Sci. 2025, 26(19), 9384; https://doi.org/10.3390/ijms26199384 - 25 Sep 2025
Abstract
Integrating artificial intelligence (AI) with the Quantitative Structure-Activity Relationship (QSAR) has transformed modern drug discovery by empowering faster, more accurate, and scalable identification of therapeutic compounds. This review outlines the evolution from classical QSAR methods, such as multiple linear regression and partial least [...] Read more.
Integrating artificial intelligence (AI) with the Quantitative Structure-Activity Relationship (QSAR) has transformed modern drug discovery by empowering faster, more accurate, and scalable identification of therapeutic compounds. This review outlines the evolution from classical QSAR methods, such as multiple linear regression and partial least squares, to advanced machine learning and deep learning approaches, including graph neural networks and SMILES-based transformers. Molecular docking and molecular dynamics simulations are presented as cooperative tools that boost the mechanistic consideration and structural insight into the ligand-target interactions. Discussions on using PROTACs and targeted protein degradation, ADMET prediction, and public databases and cloud-based platforms to democratize access to computational modeling are well presented with priority. Challenges related to authentication, interpretability, regulatory standards, and ethical concerns are examined, along with emerging patterns in AI-driven drug development. This review is a guideline for using computational models and databases in explainable, data-rich and profound drug discovery pipelines. Full article
Show Figures

Graphical abstract

30 pages, 668 KB  
Article
Symmetry-Aware Transformers for Asymmetric Causal Discovery in Financial Time Series
by Wenxia Zheng and Wenhe Liu
Symmetry 2025, 17(10), 1591; https://doi.org/10.3390/sym17101591 - 24 Sep 2025
Cited by 1 | Viewed by 111
Abstract
Financial markets exhibit fundamental asymmetries in temporal causality, where policy interventions create asymmetric transmission patterns that traditional symmetric modeling approaches fail to capture. This work introduces a mathematical framework that exploits the inherent symmetries of transformer architectures while preserving essential asymmetric temporal relationships [...] Read more.
Financial markets exhibit fundamental asymmetries in temporal causality, where policy interventions create asymmetric transmission patterns that traditional symmetric modeling approaches fail to capture. This work introduces a mathematical framework that exploits the inherent symmetries of transformer architectures while preserving essential asymmetric temporal relationships in financial causal inference. We develop CausalFormer, a symmetry-aware neural architecture that maintains the permutation equivariance properties of self-attention mechanisms while enforcing strict temporal asymmetry constraints for causal discovery. The framework incorporates three mathematically principled components: (1) a symmetric attention matrix construction with asymmetric temporal masking that preserves the mathematical elegance of transformer operations while ensuring causal consistency, (2) a multi-scale convolution module with symmetric kernel initialization but asymmetric temporal receptive fields that captures policy transmission effects across heterogeneous time horizons, and (3) enhanced Nelson–Siegel decomposition that maintains the symmetric factor structure while modeling the evolution dynamics of asymmetric factors. Our mathematical formulation establishes the formal symmetry properties of the attention mechanism under temporal transformations while proving asymmetric convergence behaviors in policy transmission scenarios. The integration of symmetric optimization landscapes with asymmetric causal constraints enables simultaneous achievement of mathematical elegance and economic interpretability. Comprehensive experiments on monetary policy datasets demonstrate that the symmetry-aware design achieves a 15.3% improvement in the accuracy of causal effect estimations and a 12.7% enhancement in the predictive performance compared to those for existing methods while maintaining 91.2% causal consistency scores. The framework successfully identifies asymmetric policy transmission mechanisms, revealing that monetary tightening exhibits 40% faster propagation than easing policies, establishing new mathematical insights into the temporal asymmetries in financial systems. This work demonstrates how principled exploitation of architectural symmetries combined with domain-specific asymmetric constraints opens up new directions for mathematically rigorous yet economically interpretable deep learning in financial econometrics, with broad applications spanning computational finance, economic forecasting, and policy analysis. Full article
(This article belongs to the Section Mathematics)
Show Figures

Figure 1

28 pages, 4640 KB  
Article
Proteomic Analysis of Low-Temperature Stress Response in Maize (Zea mays L.) at the Seedling Stage
by Tao Yu, Jianguo Zhang, Xuena Ma, Shiliang Cao, Wenyue Li and Gengbin Yang
Curr. Issues Mol. Biol. 2025, 47(9), 784; https://doi.org/10.3390/cimb47090784 - 22 Sep 2025
Viewed by 138
Abstract
Low temperature severely restricts maize seedling establishment and yield in northern China, but the proteomic basis of low-temperature tolerance in maize remains unclear. This study used TMT-labeled quantitative proteomics combined with data-independent acquisition (DIA) and liquid chromatography–tandem mass spectrometry (LC-MS/MS) to analyze dynamic [...] Read more.
Low temperature severely restricts maize seedling establishment and yield in northern China, but the proteomic basis of low-temperature tolerance in maize remains unclear. This study used TMT-labeled quantitative proteomics combined with data-independent acquisition (DIA) and liquid chromatography–tandem mass spectrometry (LC-MS/MS) to analyze dynamic proteome changes in two maize inbred lines (low-temperature-tolerant B144 and low-temperature-sensitive Q319) at the three-leaf stage under 5 °C treatment. A total of 4367 non-redundant proteins were identified. For differentially expressed proteins (DEPs, fold change >2.0 or <0.5, ANOVA-adjusted p < 0.05, false discovery rate [FDR] < 0.05), B144 showed exclusive upregulation under stress (6 DEPs at 24 h; 16 DEPs at 48 h), while Q319 exhibited mixed regulation (9 DEPs at 24 h: 6 upregulated, 3 downregulated; 21 DEPs at 48 h: 19 upregulated, 2 downregulated). Functional annotation indicated that ribosomal proteins, oxidoreductases, glycerol-3-phosphate permease, and actin were significantly upregulated in both lines. Pathway enrichment analysis revealed associations with carbohydrate metabolism, amino acid biosynthesis, and secondary metabolite synthesis. Weighted gene co-expression network analysis (WGCNA) identified genotype-specific expression patterns: B144 showed differential expression of proteins related to acetyl-CoA synthetase and fatty acid β-oxidation at 24 h and of proteins related to D-3-phosphoglycerate dehydrogenase at 48 h; Q319 showed differential expression of proteasome-related proteins at 24 h and of proteins related to elongation factor 1α (EF-1α) at 48 h. Venn analysis found no shared DEPs between the two lines at 24 h but four overlapping DEPs at 48 h. These results clarify proteomic differences underlying low-temperature tolerance divergence between maize genotypes and provide candidate targets for molecular breeding of low-temperature-tolerant maize. Full article
Show Figures

Figure 1

30 pages, 3270 KB  
Article
Tree–Hillclimb Search: An Efficient and Interpretable Threat Assessment Method for Uncertain Battlefield Environments
by Zuoxin Zeng, Jinye Peng and Qi Feng
Entropy 2025, 27(9), 987; https://doi.org/10.3390/e27090987 - 21 Sep 2025
Viewed by 168
Abstract
In uncertain battlefield environments, rapid and accurate detection, identification of hostile targets, and assessment of threat levels are crucial for supporting effective decision-making. Despite offering the advantage of structural transparency, traditional analytical methods rely on expert knowledge to construct models and often fail [...] Read more.
In uncertain battlefield environments, rapid and accurate detection, identification of hostile targets, and assessment of threat levels are crucial for supporting effective decision-making. Despite offering the advantage of structural transparency, traditional analytical methods rely on expert knowledge to construct models and often fail to comprehensively capture the non-linear causal relationships among complex threat factors. In contrast, data-driven methods excel at uncovering patterns in data but suffer from limited interpretability due to their black-box nature. Owing to probabilistic graphical modeling capabilities, Bayesian networks possess unique advantages in threat assessment. However, existing models are either constrained by the limitation of expert experience or suffer from excessively high complexity due to structure learning algorithms, making it difficult to meet the stringent real-time requirements of uncertain battlefield environments. To address these issues, this paper proposes a new method, the Tree–Hillclimb Search method—an efficient and interpretable threat assessment method specifically designed for uncertain battlefield environments. The core of the method is a structure learning algorithm constrained by expert knowledge—the initial network structure constructed from expert knowledge serves as a constraint, enabling the discovery of hidden causal dependencies among variables through structure learning. The model is then refined under these expert knowledge constraints and can effectively balance accuracy and complexity. Sensitivity analysis further validates the consistency between the model structure and the influence degree of threat factors, providing a theoretical basis for formulating hierarchical threat assessment strategies under resource-constrained conditions, which can effectively optimize sensor resource allocation. The Tree–Hillclimb Search method features (1) enhanced interpretability; (2) high predictive accuracy; (3) high efficiency and real-time performance; (4) actual impact on battlefield decision-making; and (5) good generality and broad applicability. Full article
(This article belongs to the Special Issue Bayesian Networks and Causal Discovery)
Show Figures

Figure 1

31 pages, 3855 KB  
Article
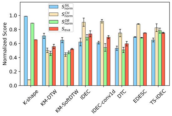
Discovering Operational Patterns Using Image-Based Convolutional Clustering and Composite Evaluation: A Case Study in Foundry Melting Processes
by Zhipeng Ma, Bo Nørregaard Jørgensen and Zheng Grace Ma
Information 2025, 16(9), 816; https://doi.org/10.3390/info16090816 - 20 Sep 2025
Viewed by 178
Abstract
Industrial process monitoring increasingly relies on sensor-generated time-series data, yet the lack of labels, high variability, and operational noise make it difficult to extract meaningful patterns using conventional methods. Existing clustering techniques either rely on fixed distance metrics or deep models designed for [...] Read more.
Industrial process monitoring increasingly relies on sensor-generated time-series data, yet the lack of labels, high variability, and operational noise make it difficult to extract meaningful patterns using conventional methods. Existing clustering techniques either rely on fixed distance metrics or deep models designed for static data, limiting their ability to handle dynamic, unstructured industrial sequences. Addressing this gap, this paper proposes a novel framework for unsupervised discovery of operational modes in univariate time-series data using image-based convolutional clustering with composite internal evaluation. The proposed framework improves upon existing approaches in three ways: (1) raw time-series sequences are transformed into grayscale matrix representations via overlapping sliding windows, allowing effective feature extraction using a deep convolutional autoencoder; (2) the framework integrates both soft and hard clustering outputs and refines the selection through a two-stage strategy; and (3) clustering performance is objectively evaluated by a newly developed composite score, Seva, which combines normalized Silhouette, Calinski–Harabasz, and Davies–Bouldin indices. Applied to over 3900 furnace melting operations from a Nordic foundry, the method identifies seven explainable operational patterns, revealing significant differences in energy consumption, thermal dynamics, and production duration. Compared to classical and deep clustering baselines, the proposed approach achieves superior overall performance, greater robustness, and domain-aligned explainability. The framework addresses key challenges in unsupervised time-series analysis, such as sequence irregularity, overlapping modes, and metric inconsistency, and provides a generalizable solution for data-driven diagnostics and energy optimization in industrial systems. Full article
Show Figures

Figure 1

17 pages, 15283 KB  
Article
ADAMTS5 Orchestrates Cell Lineage Specific Patterning and Extracellular Matrix Organization During Semilunar Valve Development
by Loren E. Dupuis, Joshua J. Mifflin, Amy L. Marston, Jeremy P. Laxner and Christine B. Kern
J. Cardiovasc. Dev. Dis. 2025, 12(9), 371; https://doi.org/10.3390/jcdd12090371 - 19 Sep 2025
Viewed by 161
Abstract
Aortic valve (AV) disease affects about 5% of the aging population, with AV replacement as the only treatment option. Histopathology indicates that accumulation of extracellular matrix (ECM) proteoglycans correlates with dysfunctional AVs. Proteoglycan content is controlled by ECM proteolytic cleavage, with the cleaved [...] Read more.
Aortic valve (AV) disease affects about 5% of the aging population, with AV replacement as the only treatment option. Histopathology indicates that accumulation of extracellular matrix (ECM) proteoglycans correlates with dysfunctional AVs. Proteoglycan content is controlled by ECM proteolytic cleavage, with the cleaved and intact forms of the proteoglycan Versican (VCAN) occupying different cell lineage-specific regions throughout AV development. To test the hypothesis that VCAN cleavage is required for lineage specific cell behaviors and ECM stratification, the cardiac neural crest (CNC) lineage was traced in mice with global inactivation of the proteoglycan protease Adamts5. By mid-gestation, Adamts5−/− mice exhibited disorganized CNC patterning with excess VCAN and enlarged semilunar valve (SLV) morphology. Use of the Adamts5 floxed mice indicated that Adamts5 was required in the endothelial cells and their mesenchymal derivatives (EndoMT lineage) to prevent VCAN accumulation, initiate ECM stratification, and promote normal SLV morphology. These data suggest that the ECM remodeling event of VCAN cleavage may orchestrate cell lineage distinct behaviors and interactions to control proteoglycan levels throughout AV development and to prevent disease. Understanding mechanisms that regulate VCAN content may lead to the discovery of effective pharmacological targets for the treatment of AV disease. Full article
(This article belongs to the Section Cardiac Development and Regeneration)
Show Figures

Figure 1

11 pages, 274 KB  
Brief Report
Examination of DNA Methylation Patterns in Children Born Premature with Prenatal Tobacco Smoke Exposure
by Olivia E. Gittens, Alonzo T. Folger, Xue Zhang, Lili Ding, Nehal A. Parikh and E. Melinda Mahabee-Gittens
Toxics 2025, 13(9), 789; https://doi.org/10.3390/toxics13090789 - 17 Sep 2025
Viewed by 201
Abstract
Prenatal tobacco smoke exposure (TSE) has been associated with significant alterations in DNA methylation (DNAm), an epigenetic mechanism with potential functional consequences to child development. This pilot study aimed to investigate differential DNAm patterns in preterm children with and without prenatal TSE using [...] Read more.
Prenatal tobacco smoke exposure (TSE) has been associated with significant alterations in DNA methylation (DNAm), an epigenetic mechanism with potential functional consequences to child development. This pilot study aimed to investigate differential DNAm patterns in preterm children with and without prenatal TSE using reduced representation bisulfite sequencing (RRBS) to interrogate a wider array of sites than in more common approaches, namely microarrays. Buccal swabs were collected from 16 two-year-old children (7 with TSE, 9 without), and DNAm was quantified at over 1.3 million CpG sites. To identify differential DNAm, univariable analyses were first performed and followed by Bayesian beta-binomial hierarchical regression models for sequence count data including adjustment for potential confounders. False Discovery Rate correction was used to account for multiple comparisons. Significant differential methylation was observed at CpG sites within intronic regions of the CALN1 and LINGO1 genes and the distal intergenic region of the TBL1XR1 gene. These findings suggest that prenatal TSE may influence epigenetic regulation in genes involved in neurodevelopment. This study demonstrates the importance of RRBS in identifying novel DNAm changes associated with prenatal TSE and highlights the need for larger studies to validate and expand upon these preliminary findings. Full article
(This article belongs to the Special Issue Environmental Contaminants and Human Health—2nd Edition)
20 pages, 7629 KB  
Article
Probability Maps and Search Strategies for Automated UAV Search in the Wadden Sea
by Ludmila Moshagen, Carlos Castelar Wembers and Georg Schildbach
Drones 2025, 9(9), 647; https://doi.org/10.3390/drones9090647 - 15 Sep 2025
Viewed by 293
Abstract
Search and rescue (SAR) operations with unmanned aerial vehicles (UAVs) have been the subject of numerous scientific studies. Their effectiveness relies on intelligent and efficient path planning. Not only can they save expensive resources, they can minimize potential risks for the rescue team. [...] Read more.
Search and rescue (SAR) operations with unmanned aerial vehicles (UAVs) have been the subject of numerous scientific studies. Their effectiveness relies on intelligent and efficient path planning. Not only can they save expensive resources, they can minimize potential risks for the rescue team. This paper deals with optimal path planning for automated UAV-SAR operations, tailored specifically to the challenging inter-tidal environment of the Wadden Sea. The aim is to minimize the search time and maximize the discovery probability of lost persons (LPs) with intelligent UAV path-planning strategies. To achieve this, first a dynamic probability map (PM) of the lost person’s possible location is generated. Two distinct methods are evaluated for this purpose: Monte Carlo simulations (MCSs), and a more efficient Markov chain (MAC) model. The PM then directly informs the UAV’s decision-making process. Then, several automated search strategies are systematically evaluated and compared in a comprehensive simulation study, from simple coverage patterns to advanced PM-driven algorithms. MAC-generated PMs prove to provide a fast and reliable foundation for time-critical applications such as SAR operations. Additionally, PM-based search strategies outperform standard search patterns, especially in larger search regions. Furthermore, the evaluation is extended to multi-UAV scenarios, showing in this case that an area-segmentation approach is most effective. The results validate and provide a considerable contribution for an efficient, time-critical framework for UAV deployment in complex, real-world SAR operations. Full article
Show Figures

Figure 1

9 pages, 208 KB  
Editorial
Cancer Biomarkers: Reflection on Recent Progress, Emerging Innovations, and the Clinical Horizon
by M. Walid Qoronfleh and Nader Al-Dewik
Cancers 2025, 17(18), 2981; https://doi.org/10.3390/cancers17182981 - 12 Sep 2025
Viewed by 567
Abstract
This perspective provides a short overview of cancer biomarkers, balancing the technical details with the broad implications for biomarker discovery and innovation; early detection and screening; personalized treatment and monitoring; and emerging technologies. It also briefly discusses challenges in their clinical translation while [...] Read more.
This perspective provides a short overview of cancer biomarkers, balancing the technical details with the broad implications for biomarker discovery and innovation; early detection and screening; personalized treatment and monitoring; and emerging technologies. It also briefly discusses challenges in their clinical translation while exploring recent advancements and future implications for clinical practice. Finally, we offer thoughts on the role of artificial intelligence (AI) in biomarker development. AI is accelerating the discovery and validation of biomarkers by mining complex datasets, identifying hidden patterns, and improving the predictive accuracy. AI-powered tools enhance image-based diagnostics, automate genomic interpretation, and facilitate real-time monitoring of treatment responses. By integrating multi-omics data, AI offers new avenues for precision medicine and scalable cancer diagnostics, pushing biomarker development into a new era of intelligent, data-driven oncology. This editorial is a reflection on the state of biomarkers based on the contributions to the Special Issue “Cancer Biomarkers: Recent Progress, Innovations, and Future Clinical Implications”. Full article
Show Figures

Graphical abstract

15 pages, 1154 KB  
Article
Integrative Mutational Landscape of Mycosis Fungoides Using a National Genomics Repository
by Grace S. Saglimbeni, Beau Hsia, Peter T. Silberstein and Abubakar Tauseef
Cancers 2025, 17(18), 2984; https://doi.org/10.3390/cancers17182984 - 12 Sep 2025
Viewed by 345
Abstract
Background: Mycosis fungoides (MF) is a rare cutaneous T-cell lymphoma (CTCL) that presents clinically on the skin as patches, plaques, or tumors. MF often mimics benign inflammatory conditions which leads to difficult and delayed diagnosis, worsening prognosis despite available treatment options. This study [...] Read more.
Background: Mycosis fungoides (MF) is a rare cutaneous T-cell lymphoma (CTCL) that presents clinically on the skin as patches, plaques, or tumors. MF often mimics benign inflammatory conditions which leads to difficult and delayed diagnosis, worsening prognosis despite available treatment options. This study seeks to improve diagnosis and identify potential therapeutic targets by better characterizing MF’s genetic landscape using the AACR Project GENIE dataset. Methods: Retrospective analysis of MF cases was conducted using the AACR Project GENIE database accessed from cBioPortal (v17.0-public) on 5 June 2025. Data analysis included identifying recurrent somatic mutations, assessing patterns of mutation co-occurrence and mutual exclusivity using non-parametric tests with Benjamini–Hochberg False Discovery Rate (FDR) correction, and examining enrichment of specific mutations based on sex and race, with significance of p < 0.05. Results: Recurrent alterations included FAT1 (28.2%), KMT2D (19.2%), TP53 (13.5%), JAK3 (11.5%), and SETBP1 (11.5%), highlighting the role of Wnt signaling, epigenetic dysregulation, the p53 pathway, and JAK/STAT signaling in MF pathogenesis. Mutations with significant co-occurrence and enrichment in White, Black, and Asian populations were identified. Conclusions: The findings of this study provide a comprehensive understanding of MF’s molecular profile. The discovery of commonly mutated pathways (Wnt, p53, JAK/STAT, and epigenetic regulators) suggests potential targets for the development of future therapies. Furthermore, the enrichment of certain mutations based on race and patterns of alteration co-occurrence offer possibilities for patient-tailored treatment approaches. Full article
Show Figures

Figure 1

30 pages, 1130 KB  
Review
From Dysbiosis to Prediction: AI-Powered Microbiome Insights into IBD and CRC
by Minkwan Kim, Donghyeon Gim, Sunghan Kim, Sungsu Park, Tehyun Phillip Eom, Jaehoon Seol, Junyeong Yeo, Changmin Jo, Gunha Seo, Hyungjune Ku and Jae Hyun Kim
Gastroenterol. Insights 2025, 16(3), 34; https://doi.org/10.3390/gastroent16030034 - 11 Sep 2025
Viewed by 793
Abstract
Recent advances in the integration of artificial intelligence (AI) and microbiome analysis have expanded our understanding of gastrointestinal diseases, particularly in inflammatory bowel disease (IBD), colitis-associated colorectal cancer (CAC), and sporadic colorectal cancer (CRC). While IBD and CAC are mechanistically linked, recent evidence [...] Read more.
Recent advances in the integration of artificial intelligence (AI) and microbiome analysis have expanded our understanding of gastrointestinal diseases, particularly in inflammatory bowel disease (IBD), colitis-associated colorectal cancer (CAC), and sporadic colorectal cancer (CRC). While IBD and CAC are mechanistically linked, recent evidence also implicates dysbiosis in sporadic CRC. The progression from IBD to CAC is mechanistically linked through chronic inflammation and microbial dysbiosis, whereas distinct dysbiotic patterns are also observed in sporadic CRC. In this review, we examined how machine learning (ML) and AI were applied to the microbiome and multi-omics data, which enabled the discovery of non-invasive microbial biomarkers, refined risk stratification, and prediction of treatment response. We highlighted how emerging computational frameworks, including explainable AI (xAI), graph-based models, and integrative multi-omics, were advancing the field from descriptive profiling toward predictive and prescriptive analytics. While emphasizing these innovations, we also critically assessed current limitations, including data variability, the lack of methodological standardization, and challenges in clinical translation. Collectively, these developments enabled AI-powered microbiome research as a driving force for precision medicine in IBD, CAC, and sporadic CRC. Full article
(This article belongs to the Special Issue Advances in the Management of Gastrointestinal and Liver Diseases)
Show Figures

Figure 1

25 pages, 12500 KB  
Article
Gemmological, Spectroscopic, and Origin Description Studies of Tourmaline from Yunnan, China
by Qishen Zhou, Fangmin Zhan, Haochi Yu, Zhuo Lu and Xin Wan
Molecules 2025, 30(18), 3680; https://doi.org/10.3390/molecules30183680 - 10 Sep 2025
Viewed by 312
Abstract
The Nujiang region of Yunnan is by far the richest tourmaline-producing mining area in China. Since the discovery of the tourmaline-bearing deposit in Yunnan Province in 1980, there have been few comprehensive gemmological studies of this deposit. Therefore, the results of tests on [...] Read more.
The Nujiang region of Yunnan is by far the richest tourmaline-producing mining area in China. Since the discovery of the tourmaline-bearing deposit in Yunnan Province in 1980, there have been few comprehensive gemmological studies of this deposit. Therefore, the results of tests on 32 tourmaline samples from the Fugong and Gongshan regions of Yunnan are reported in this paper. The chemical composition of the Yunnan tourmalines was analyzed, and the contents of major trace elements were compared with those of tourmaline samples from different localities reported in the literature to highlight their specific provenance characteristics. Microscopic observation revealed the presence of liquid, gas, and solid inclusions; Raman spectra indicated the presence of constitutional water and CH4-C2H6 dihydrate in the Yunnan tourmalines and also pointed to the influence pattern of the Fe content. The infrared spectrum in the range of 4000–4800 cm−1 showed the frequency of metal cations and hydroxyl groups. Based on the characteristic peaks at 4343 cm−1 and 4600 cm−1, a quick distinction between elbaite and dravite could be made. UV–Vis absorption spectroscopy analysis showed that in yellow tourmalines, Mn2+-Ti4+ IVCT is the main cause of color, while green coloration occurs due to Fe2+–Fe3+ interactions or Cr3+ and V3+, and the pink color is caused by Mn3+ d-d transitions. The three-dimensional fluorescence spectra revealed the presence of the main fluorescence peaks at λex280/λem320 nm and λex265/λem510 nm in the tourmaline samples analyzed and the fluorescence intensity with Ti and Fe contents. Full article
Show Figures

Figure 1

25 pages, 5908 KB  
Article
Research on Innovation Network Features of Patent-Intensive Industry Clusters and Their Evolution
by Lanqing Ge, Chunyan Li, Deli Cheng and Lei Jiang
Systems 2025, 13(9), 795; https://doi.org/10.3390/systems13090795 - 10 Sep 2025
Viewed by 543
Abstract
In the contemporary economic landscape shaped by globalization and digital transformation, patent-intensive industries have emerged as critical engines for enhancing national competitiveness. This study analyzed 98,464 collaborative patent application records (2012–2023) from listed companies in patent-intensive sectors, sourced from the China National Intellectual [...] Read more.
In the contemporary economic landscape shaped by globalization and digital transformation, patent-intensive industries have emerged as critical engines for enhancing national competitiveness. This study analyzed 98,464 collaborative patent application records (2012–2023) from listed companies in patent-intensive sectors, sourced from the China National Intellectual Property Administration (CNIPA) database. Through kernel density estimation, social network analysis, and community detection techniques, we examined the evolutionary trajectories of innovation networks and spatial patterns within these industrial clusters. Our findings indicate a notable spatial agglomeration trend in patent-intensive industries, exhibiting a prominent “core-periphery” structural feature. The core nodes of this cluster network closely align with economically developed regions, and the network structure has gradually shifted from a triangular framework supported by Beijing-Tianjin-Hebei, Yangtze River Delta, and Pearl River Delta to a diversified multilateral framework. Moreover, the community structure of the collaborative network within China’s patent-intensive industrial clusters exhibits distinct characteristics driven by technological relevance and strategic synergy, rather than strictly adhering to the principle of geographical proximity. These discoveries not only enrich the application of innovation network theory in the specific context of China, but also provide valuable guidance for cluster enterprises in selecting partners and achieving collaborative innovation. Full article
Show Figures

Figure 1

20 pages, 2959 KB  
Article
Niche Competition and Overlapping Area Dynamics of Two Sympatric Ants Jointly Indicate Strong Adaptive and Dispersal Ability of Yellow Crazy Ant (Anoplolepis gracilipes)
by Yulin Yuan, Changqi Chen, Ying Zhang, Jinlu Zhang, Zhouyang Liao, Fang Liu, Zachary Y. Huang and Yuan Zhang
Animals 2025, 15(17), 2633; https://doi.org/10.3390/ani15172633 - 8 Sep 2025
Viewed by 316
Abstract
Global climate change, coupled with the escalating severity of species invasions, has profoundly impacted and continues to influence species distribution patterns across multiple spatial scales. The invasive ant species Anoplolepis gracilipes (yellow crazy ants) and the dominant species Oecophylla smaragdina (weaver ants) share [...] Read more.
Global climate change, coupled with the escalating severity of species invasions, has profoundly impacted and continues to influence species distribution patterns across multiple spatial scales. The invasive ant species Anoplolepis gracilipes (yellow crazy ants) and the dominant species Oecophylla smaragdina (weaver ants) share a significant overlapping distribution in tropical Asia and Oceania. The changes in their distribution areas, particularly in the overlapping regions, under future climate change scenarios remain inadequately explored. By integrating field behavioral experiments conducted on two ant species with climate and topographic datasets, we evaluated the extent of overlapping ranges and predicted the future dynamics of both species. Our results show that yellow crazy ants are more efficient at finding food and mobilizing workers, indicating stronger collaborative abilities than weaver ants. Under food and water deprivation conditions, yellow crazy ants exhibit a higher survival rate than weaver ants. Climatic factors exert a greater influence on the potential distribution of yellow crazy ants compared to topographic factors. Regions with consistently high suitability for yellow crazy ants primarily include southern China, Myanmar, India, Thailand, Malaysia, and Australia. The potential distribution area for weaver ants has constricted due to climate change, while that for yellow crazy ants has expanded. Initially, these two ant species had highly overlapping suitable habitats. However, this overlap is projected to diminish under future climate conditions. Mitigating future climate change could substantially reduce the expansion of yellow crazy ants. This discovery underscores the importance of monitoring and managing the dynamic changes in the distribution areas of both invasive and native species against the backdrop of climate change. Full article
(This article belongs to the Section Ecology and Conservation)
Show Figures

Figure 1

Back to TopTop