Probability Maps and Search Strategies for Automated UAV Search in the Wadden Sea
Abstract
1. Introduction
1.1. Motivation
1.2. State of Research
1.3. Contributions
- Creation of a lost person model (LPM) specifically tailored for UAV-assisted SAR operations in the Wadden Sea, addressing its unique environmental and geographical features. The model is based on established behavioral principles, adapted through expert opinion, simulations, and experiments.
- The introduction of two methods, Monte Carlo simulations (MCS) and Markov chain (MAC), for generating the dynamic PM for a mobile LP.
- The design and adaptation of multiple approaches for optimal UAV path planning for SAR missions based on a PM. The combination of a path planning method with any of the two PM generation methods is defined as the search strategy.
- An extensive simulation study comparing different search strategies for a single (or multiple) UAV(s). The presented analysis evaluates the effectiveness and limitations of PM-based and non-PM-based search approaches in the context of SAR missions in the Wadden Sea.
2. Probability Map Generation
2.1. Lost Person Model for Hikers in the Wadden Sea
- Trail walking (): The person walks along a hiking path, or an edge of the tideways, upon encountering one.
- Direction walking (): The person continues to walk in a fixed direction, regardless of encountering a trail.
- Random walk (): The person changes direction randomly within the interval from 0 to 360 degrees.
- Rest at the current position (): The person remains stationary for a random period of time followed by a random change of direction.
2.2. Monte Carlo Simulation (MCS)
2.3. Markov Chain (MAC)
3. UAV Path Planning
3.1. Simple Search Patterns
- Random direction (RD): The UAV selects a random direction at each step and travels in a straight line until it reaches a boundary of the search region. A new random direction is then chosen, and the process repeats. can be any angle relative to its current position within the search region.
- Lawn mower (LM): This strategy involves the UAV systematically sweeping back and forth across the search region in parallel lines, resembling the movement of a lawn mower, ensuring full coverage.
- Square spiral (SQ): the UAV starts at an outer edge and moves clockwise along the boundary, spiraling inward with step sizes progressively decreasing until the entire search region is covered.
3.2. PM-Based Search Patterns
3.2.1. Probabilistic Path-Weighted Greedy Search (PPWGS)
- (i)
- The five unvisited cells with the highest priority scores , as defined in (13), are selected as candidates.
- (ii)
- For each candidate, the cumulative transition probability of detection along the straight-line path from the current location of the UAV is computed. This is done by summing the probability values, , of all cells j that are covered by the drone’s field of view (FoV) intersecting this path.
- (iii)
- The candidate cell corresponding to the path with the highest cumulative probability is selected as the next search cell, representing the specific grid cell the UAV targets at each step.
3.2.2. Exponential Priority Distance Greedy Search (EPDGS)
3.2.3. Probabilistic Horizon Search (PHS)
3.3. Multi-UAV Path Planning Strategies
3.3.1. Non-PM-Based Area Segmentation
3.3.2. PM-Based Search Patterns
- (i)
- PM-based area segmentation: Divide the search region, and assign each UAV a dedicated subregion. Then proceed with advanced search patterns, as described in Section 3.2.
- (ii)
- Shared PM search: All UAVs operate simultaneously on the entire search region. The PM is updated according to the plan of each UAV, in a specific order, before being sent to the next UAV to determine a new way point.
3.3.3. Border-Center Greedy Search
4. Simulation Setup and Evaluation Metrics
4.1. Simulation Parameters
4.1.1. Terrain Parameters
4.1.2. LPM Parameters and Trajectory Generation
4.1.3. PM Generation Parameters
4.1.4. UAV and Search Parameters
4.2. Dynamic PM Updates
4.3. Performance Metrics
5. Results
5.1. Comparison of PM Generation Methods
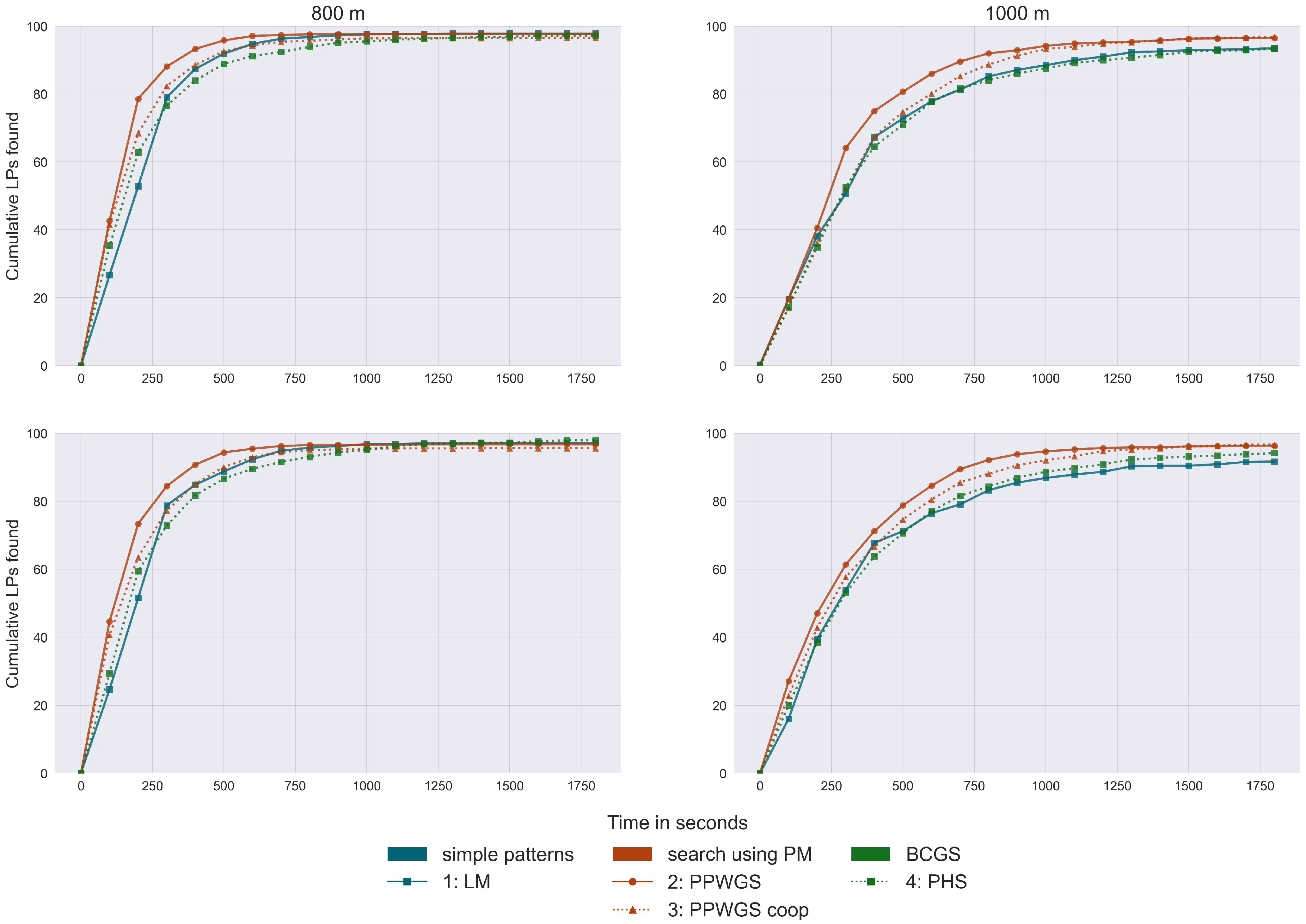
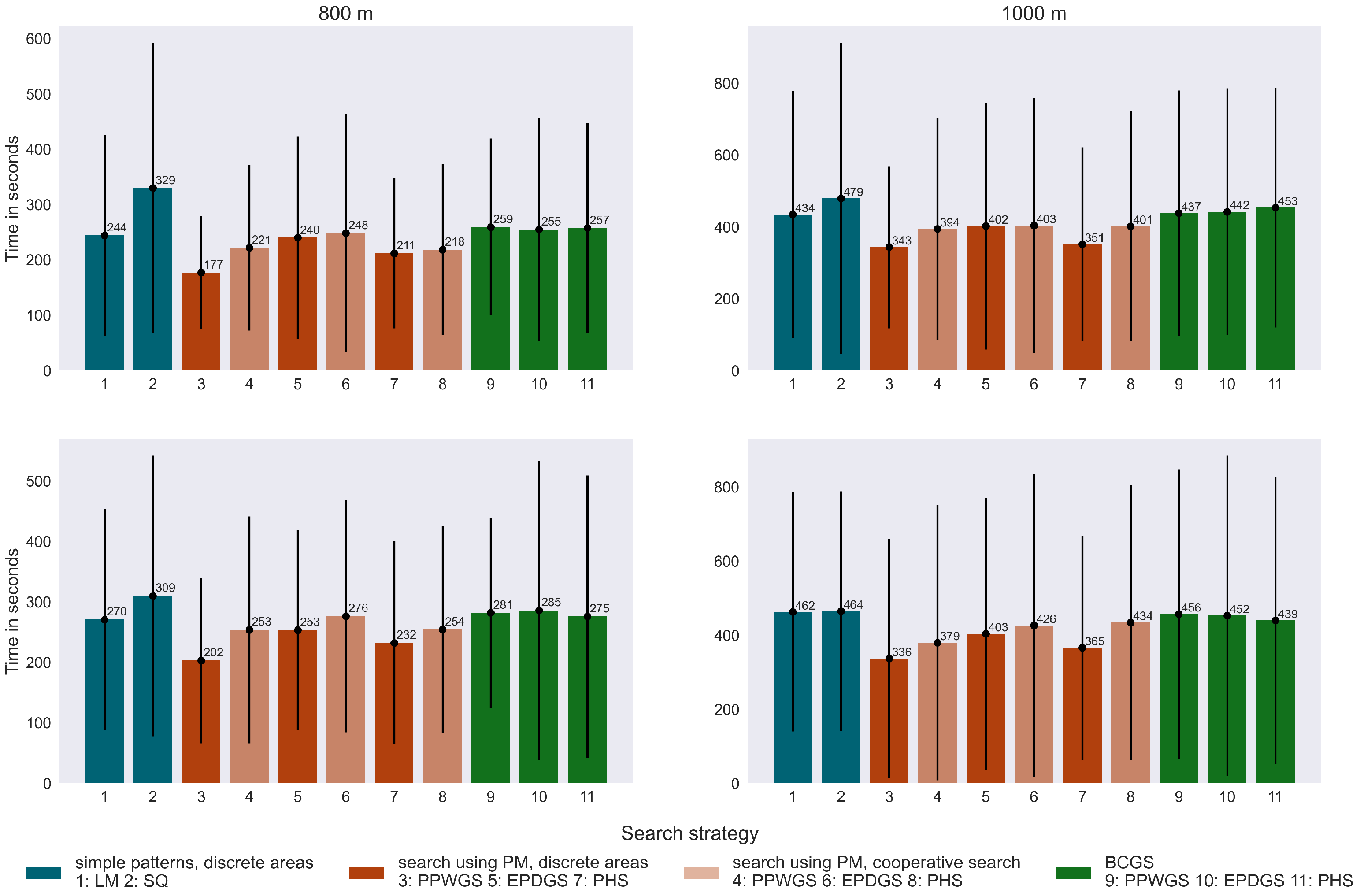
5.2. Single-UAV LP Search
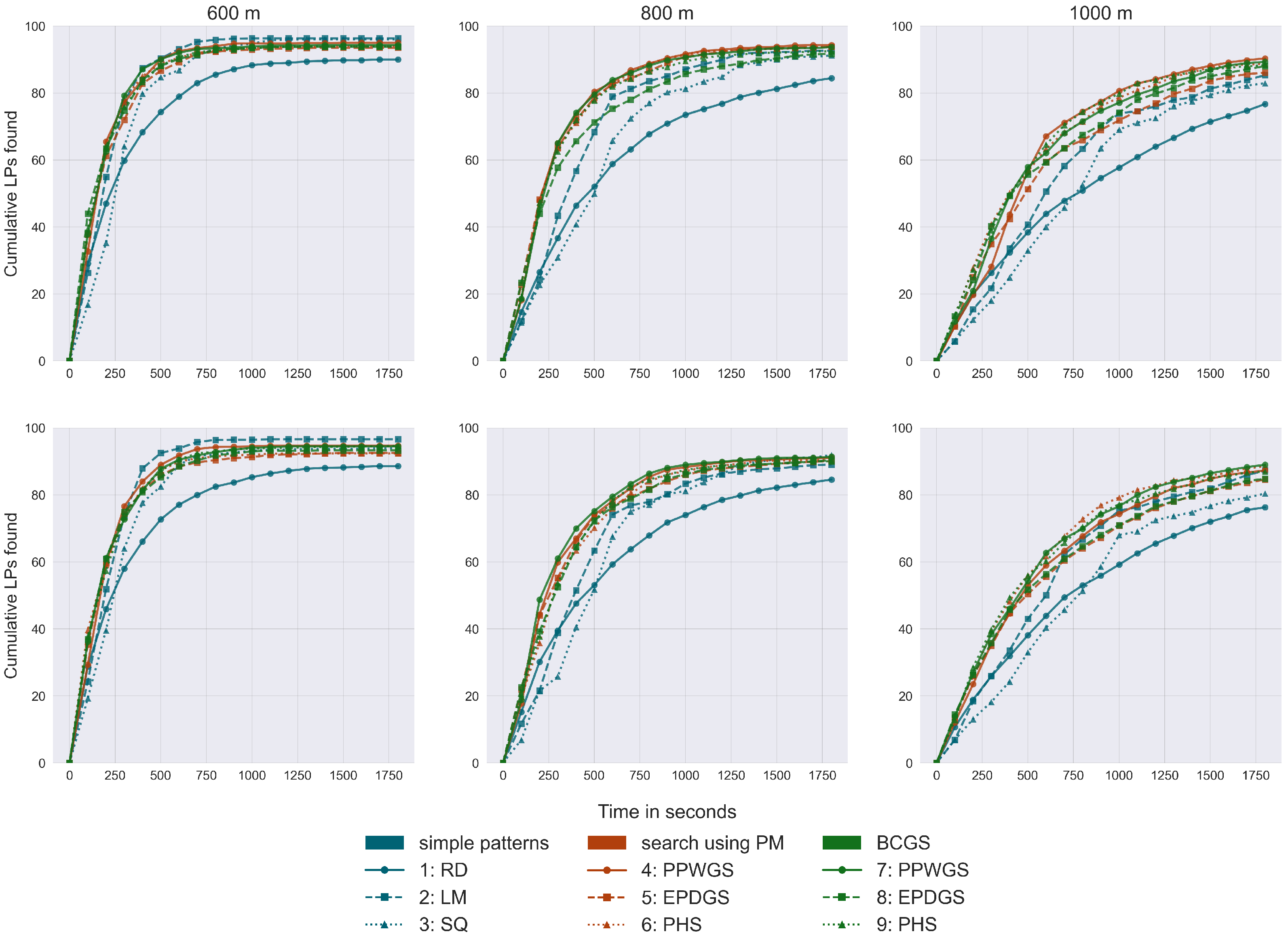
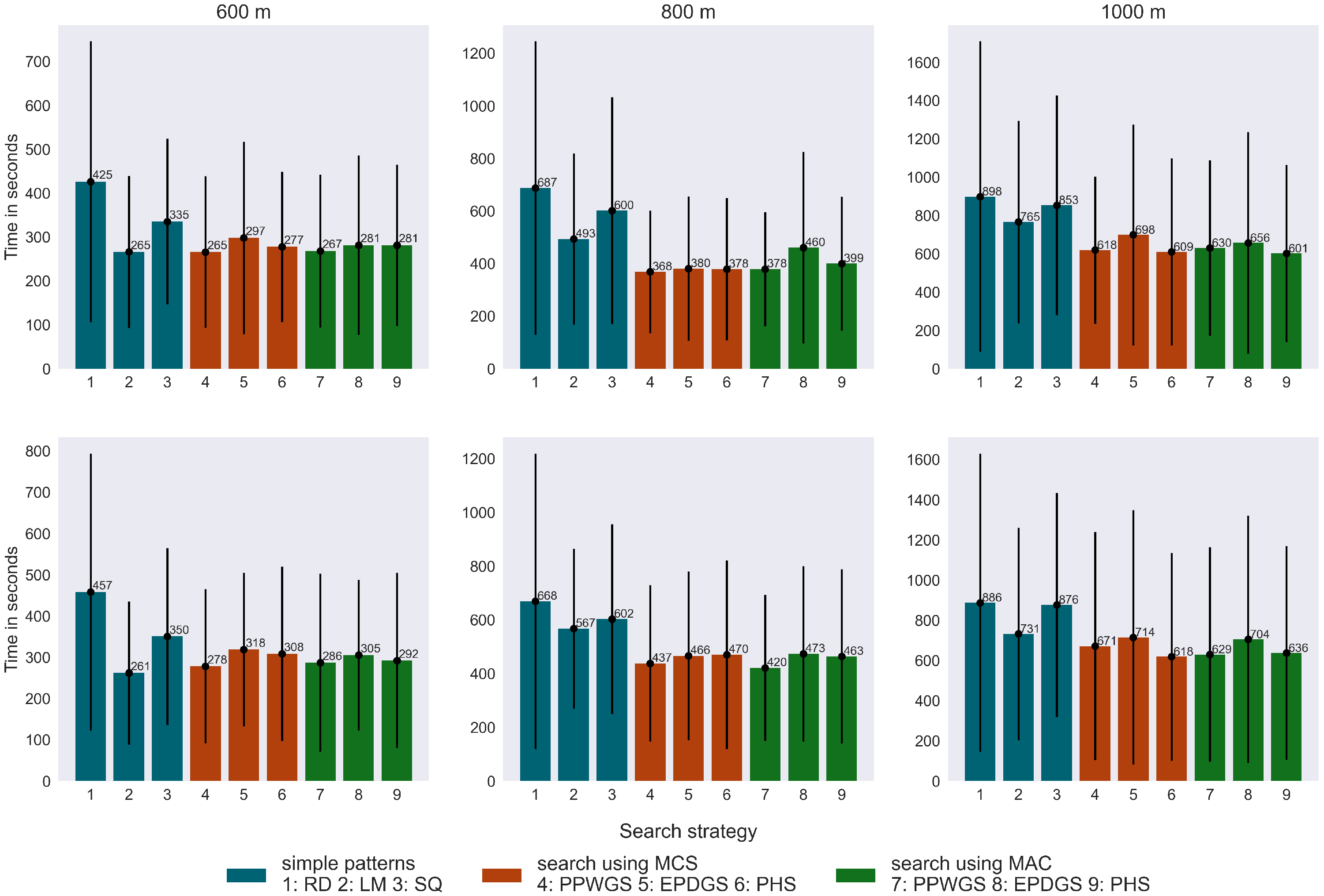
5.3. Multi-UAV LP Search
6. Discussion
6.1. PM Generation
6.2. Performance Comparison of UAV Search Strategies
6.2.1. Simple vs. PM-Based Strategies
6.2.2. Multi-UAV Strategies
7. Conclusions
Author Contributions
Funding
Data Availability Statement
Acknowledgments
Conflicts of Interest
References
- World Wide Fund for Nature. WWF. WWF: Wadden Sea—National Park and World Heritage Site on the North Sea Coast. Available online: https://www.wwf.de/themen-projekte/projektregionen/wattenmeer (accessed on 15 July 2025).
- Cuxland Tourismus. Neuwerk—Wattwanderung und Ausflüge. Available online: https://www.cuxland.de/erleben/ausfluege-highlights/neuwerk (accessed on 5 September 2025).
- Nationalpark Wattenmeer. Nationalpark-Wattführungen. Available online: https://www.nationalpark-wattenmeer.de/wissensbeitrag/nationalpark-wattfuehrungen/ (accessed on 5 September 2025).
- FF Cuxhaven-Duhnen. FF Cuxhaven-Duhnen: Mudflat and Water Rescue. Available online: https://www.ff-duhnen-stickenbuettel.de/watt-und-wasserrettung/teil-1-ffd/teil-2 (accessed on 15 July 2025).
- FF Cuxhaven-Duhnen. FF Cuxhaven-Duhnen: Operations of the Volunteer Fire Brigade Cuxhaven-Duhnen. Available online: https://www.ff-duhnen-stickenbuettel.de/eins%C3%A4tze/ (accessed on 15 July 2025).
- Yeong, S.; King, L.; Dol, S. A review on marine search and rescue operations using unmanned aerial vehicles. Int. J. Mar. Environ. Sci. 2015, 9, 396–399. [Google Scholar]
- FF Cuxhaven-Duhnen. FF Cuxhaven-Duhnen: Search for People in the Mudflats. Available online: https://www.ff-duhnen-stickenbuettel.de/eins%C3%A4tze/einsatzordner-2023/230728-2344/ (accessed on 15 July 2025).
- Tipton, M.; McCormack, E.; Elliott, G.; Cisternelli, M.; Allen, A.; Turner, A.C. Survival time and search time in water: Past, present and future. J. Therm. Biol. 2022, 110, 103349. [Google Scholar] [CrossRef] [PubMed]
- Sava, E.; Twardy, C.; Koester, R.; Sonwalkar, M. Evaluating lost person behavior models. Trans. Gis 2016, 20, 38–53. [Google Scholar] [CrossRef]
- Esri ArcGIS. Esri ArcGIS: Prepare for Search and Rescue Incidents. Available online: https://www.arcgis.com/home/item.html?id=b03bf318c74042078aa28c6676dca98a#overview (accessed on 15 July 2025).
- Lin, L.; Goodrich, M.A. A Bayesian approach to modeling lost person behaviors based on terrain features in wilderness search and rescue. Comput. Math. Organ. Theory 2010, 16, 300–323. [Google Scholar] [CrossRef]
- Bugajski, G. Using the Monte Carlo method to create probability maps for search and rescue operations at sea. Zeszyty Naukowe Akademii Morskiej w Szczecinie 2016, 48, 71–74. [Google Scholar]
- San Juan, V.; Santos, M.; Andújar, J.M. Intelligent UAV map generation and discrete path planning for search and rescue operations. Complexity 2018, 2018, 6879419. [Google Scholar] [CrossRef]
- Syrotuck, W.G. Analysis of Lost Person Behavior: An Aid to Search Planning; Barkleigh Productions: Mechanicsburg, PA, USA, 1977. [Google Scholar]
- Frost, J.R.; Soza & Company, Ltd. The Theory of Search: A Simplified Explanation; Office of Search and Rescue, U.S. Coast Guard: Washington, DC, USA, 1996. [Google Scholar]
- Hill, K. The psychology of lost. In Lost Person Behavior; National Search and Rescue Secretariat: Ottawa, ON, Canada, 1998; Volume 116. [Google Scholar]
- Hashimoto, A.; Heintzman, L.; Koester, R.; Abaid, N. An agent-based model reveals lost person behavior based on data from wilderness search and rescue. Sci. Rep. 2022, 12, 5873. [Google Scholar] [CrossRef] [PubMed]
- Waharte, S.; Trigoni, N. Supporting search and rescue operations with UAVs. In Proceedings of the 2010 International Conference on Emerging Security Technologies, Canterbury, UK, 6–7 September 2010; pp. 142–147. [Google Scholar]
- Ge, Z.; Jiang, J.; Coombes, M. Multi-UAV Search and Rescue in Wilderness Using Smart Agent-Based Probability Models. arXiv 2024, arXiv:2411.10148. [Google Scholar] [CrossRef]
- Liu, S.; Yao, W.; Zhu, X.; Zuo, Y.; Zhou, B. Emergent Search of UAV Swarm Guided by the Target Probability Map. Appl. Sci. 2022, 12, 5086. [Google Scholar] [CrossRef]
- Cheng, K.; Wu, D.; Hu, T.; Wei, J.; Tian, Z. Cooperative search optimization of an unknown dynamic target based on the modified TPM. Int. J. Aerosp. Eng. 2022, 2022, 8561245. [Google Scholar] [CrossRef]
- Esri ArcGIS World Imagery. Satellite Imagery of Wadden Sea National Park. Esri, DigitalGlobe, GeoEye, i-cubed, USDA FSA, USGS, AEX, Getmapping, Aerogrid, IGN, IGP, Swisstopo, and the GIS User Community. Available online: https://services.arcgisonline.com/ArcGIS/rest/services/World_Imagery/MapServer/export (accessed on 15 July 2025).
- Mooney, C.Z. Monte Carlo Simulation; Sage Publications: Thousand Oaks, CA, USA, 1997. [Google Scholar]
- Serfozo, R. Basics of Applied Stochastic Processes; Springer Science & Business Media: Berlin/Heidelberg, Germany, 2009. [Google Scholar]
- Russell, S.J.; Norvig, P. Artificial Intelligence: A Modern Approach; Pearson: London, UK, 2016. [Google Scholar]
- Oniani, D. Cosine Similarity and Its Applications in the Domains of Artificial Intelligence. 2020. Available online: https://oniani.org/pdf/cosine_similarity_ai.pdf (accessed on 5 September 2025).
- Briët, J.; Harremoës, P. Properties of Classical and Quantum Jensen-Shannon Divergence. Phys. Rev. A 2009, 79, 052311. [Google Scholar] [CrossRef]
- Debnath, D.; Vanegas, F.; Sandino, J.; Gonzalez, F. DECK-GA: A Hybrid Clustering and Distance Efficient Genetic Algorithm for Scalable Multi-UAV Path Planning. In Proceedings of the 2025 International Conference on Unmanned Aircraft Systems (ICUAS), Charlotte, NC, USA, 14–17 May 2025; pp. 301–308. [Google Scholar] [CrossRef]
- Shen, J.; Tang, S.; Mohd Ariffin, M.K.A.; As’arry, A.; Wang, X. NSGA-III algorithm for optimizing robot collaborative task allocation in the internet of things environment. J. Comput. Sci. 2024, 81, 102373. [Google Scholar] [CrossRef]
- Xu, H.; Niu, Z.; Jiang, B.; Zhang, Y.; Chen, S.; Li, Z.; Gao, M.; Zhu, M. ERRT-GA: Expert Genetic Algorithm with Rapidly Exploring Random Tree Initialization for Multi-UAV Path Planning. Drones 2024, 8, 367. [Google Scholar] [CrossRef]
- WaterRescueDrones. 2025. Available online: https://www.uam-innoregion-sh.de/waterrescuedrones (accessed on 20 June 2025).








| Image Size | Terrain Map | Cosine Similarity | JSD |
|---|---|---|---|
| map 1 | 0.9245 | 0.1824 | |
| map 2 | 0.9215 | 0.2004 | |
| map 1 | 0.9410 | 0.1803 | |
| map 2 | 0.9265 | 0.2095 | |
| map 1 | 0.9289 | 0.1949 | |
| map 2 | 0.9196 | 0.2122 |
| Search Region | ||||||||||||
|---|---|---|---|---|---|---|---|---|---|---|---|---|
| Search Method | Avg. Time (s) | LPs Found (%) | Avg. Time (s) | LPs Found (%) | Avg. Time (s) | LPs Found (%) | ||||||
| Map 1 | Map 2 | Map 1 | Map 2 | Map 1 | Map 2 | Map 1 | Map 2 | Map 1 | Map 2 | Map 1 | Map 2 | |
| Random direction | 273 | 285 | 90.0 | 88.6 | 482 | 462 | 82.0 | 84.6 | 624 | 603 | 76.7 | 76.3 |
| Lawn mower | 207 | 207 | 96.3 | 96.6 | 390 | 416 | 91.0 | 89.1 | 587 | 576 | 85.3 | 87.3 |
| Square spiral | 274 | 256 | 96.0 | 93.8 | 485 | 497 | 90.2 | 91.9 | 657 | 652 | 82.9 | 80.4 |
| PPWGS using MCS | 185 | 192 | 95.0 | 94.7 | 281 | 304 | 93.6 | 91.1 | 492 | 507 | 90.3 | 87.3 |
| EPDGS using MCS | 193 | 198 | 93.5 | 92.5 | 286 | 319 | 93.0 | 90.1 | 520 | 517 | 86.1 | 84.6 |
| PHS using MCS | 180 | 186 | 94.0 | 92.4 | 284 | 332 | 93.2 | 90.6 | 458 | 466 | 88.7 | 88.6 |
| PPWGS using MAC | 175 | 199 | 94.3 | 94.5 | 283 | 291 | 94.0 | 91.4 | 490 | 484 | 89.3 | 89 |
| EPDGS using MAC | 180 | 198 | 93.8 | 93.3 | 339 | 331 | 90.6 | 90.3 | 502 | 508 | 88.1 | 84.8 |
| PHS using MAC | 182 | 206 | 93.9 | 94.6 | 284 | 315 | 91.8 | 90 | 443 | 461 | 88.3 | 86.9 |
| Search Region | ||||||||
|---|---|---|---|---|---|---|---|---|
| Search Method | Avg. Time (s) | LPs Found (%) | Avg. Time (s) | LPs Found (%) | ||||
| Map 1 | Map 2 | Map 1 | Map 2 | Map 1 | Map 2 | Map 1 | Map 2 | |
| Lawn mover | 209 | 226 | 97.8 | 97.2 | 339 | 341 | 93.5 | 91.7 |
| Square spiral | 296 | 285 | 97.8 | 98.4 | 405 | 391 | 94.7 | 94.8 |
| PPWGS | 130 | 150 | 97.7 | 96.8 | 290 | 281 | 96.5 | 96.4 |
| PPWGS cooperative | 166 | 184 | 96.6 | 95.7 | 348 | 331 | 96.8 | 96.7 |
| EPDGS | 178 | 173 | 96.2 | 95.1 | 338 | 326 | 95.6 | 94.8 |
| EPDGS cooperative | 185 | 199 | 96.1 | 95.2 | 340 | 353 | 95.5 | 95.0 |
| PHS | 162 | 166 | 97.0 | 96.0 | 283 | 275 | 95.5 | 94.1 |
| PHS cooperative | 162 | 189 | 96.6 | 96.0 | 355 | 354 | 96.8 | 94.5 |
| BCGS PPWGS | 191 | 184 | 95.8 | 94.0 | 347 | 354 | 93.8 | 92.9 |
| BCGS EPDGS | 199 | 232 | 96.5 | 96.6 | 347 | 381 | 93.5 | 95 |
| BCGS PHS | 213 | 244 | 97.2 | 98.0 | 358 | 355 | 93.4 | 94.2 |
Disclaimer/Publisher’s Note: The statements, opinions and data contained in all publications are solely those of the individual author(s) and contributor(s) and not of MDPI and/or the editor(s). MDPI and/or the editor(s) disclaim responsibility for any injury to people or property resulting from any ideas, methods, instructions or products referred to in the content. |
© 2025 by the authors. Licensee MDPI, Basel, Switzerland. This article is an open access article distributed under the terms and conditions of the Creative Commons Attribution (CC BY) license (https://creativecommons.org/licenses/by/4.0/).
Share and Cite
Moshagen, L.; Castelar Wembers, C.; Schildbach, G. Probability Maps and Search Strategies for Automated UAV Search in the Wadden Sea. Drones 2025, 9, 647. https://doi.org/10.3390/drones9090647
Moshagen L, Castelar Wembers C, Schildbach G. Probability Maps and Search Strategies for Automated UAV Search in the Wadden Sea. Drones. 2025; 9(9):647. https://doi.org/10.3390/drones9090647
Chicago/Turabian StyleMoshagen, Ludmila, Carlos Castelar Wembers, and Georg Schildbach. 2025. "Probability Maps and Search Strategies for Automated UAV Search in the Wadden Sea" Drones 9, no. 9: 647. https://doi.org/10.3390/drones9090647
APA StyleMoshagen, L., Castelar Wembers, C., & Schildbach, G. (2025). Probability Maps and Search Strategies for Automated UAV Search in the Wadden Sea. Drones, 9(9), 647. https://doi.org/10.3390/drones9090647

