Sign in to use this feature.

Years

Between: -

Subjects

remove_circle_outline
remove_circle_outline
remove_circle_outline
remove_circle_outline
remove_circle_outline
remove_circle_outline
remove_circle_outline
remove_circle_outline
remove_circle_outline

Journals

remove_circle_outline
remove_circle_outline
remove_circle_outline
remove_circle_outline
remove_circle_outline
remove_circle_outline

Article Types

Countries / Regions

remove_circle_outline
remove_circle_outline
remove_circle_outline
remove_circle_outline

Search Results (306)

Search Parameters:
Keywords = paper fiber estimation

Order results
Result details
Results per page
Select all
Export citation of selected articles as:
17 pages, 2241 KB  
Article
Effects of Refining and Fiber Type on the Electrical Properties of Environmentally Friendly Conductive Cellulose Paper
by Adriana Millan, Anny Morales, Noah Crowder, Fernando Urdaneta, Richard A. Venditti and Joel J. Pawlak
Coatings 2026, 16(5), 526; https://doi.org/10.3390/coatings16050526 (registering DOI) - 27 Apr 2026
Abstract
Economic growth and the expanding demands of modern technologies have traditionally relied on processes and materials that harm the environment. For this reason, renewable biopolymers such as cellulose and its derivatives, together with carbon-based conductive fillers like carbon nanotubes, graphite, graphene, and carbon [...] Read more.
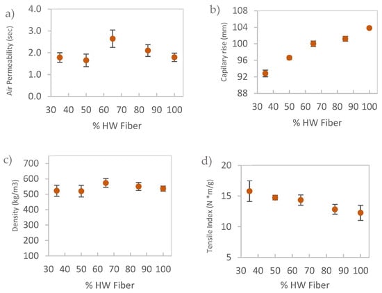
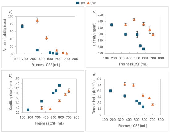
Economic growth and the expanding demands of modern technologies have traditionally relied on processes and materials that harm the environment. For this reason, renewable biopolymers such as cellulose and its derivatives, together with carbon-based conductive fillers like carbon nanotubes, graphite, graphene, and carbon black, are at the forefront of the transition from toxic materials to sustainable alternatives. Building on previous work that developed a conductive substrate with fully water-based carbon black coating using sodium-carboxymethyl cellulose (CMC) as a non-toxic binder and dispersant, this study investigates how papermaking variables, such as fiber refining levels and fiber type, influence the electrical performance of conductive cellulose paper. Handsheets were prepared from 100% hardwood (HW), 100% softwood (SW), and hardwood–softwood blends at different refining levels. They were first characterized by surface roughness and other physical properties, and then coated on their rough and smooth sides with the carbon black/CMC formulation. After coating, the coat weight and sheet resistance were assessed. The results showed that fiber type, refining, and blend ratio significantly affect coating retention and conductivity. Unrefined 100% hardwood substrates provided the most favorable and predictable performance: the rough side with a single coating layer reached 4.55 kΩ/sq, and multilayer coatings reduced the estimated sheet resistance to 0.009 kΩ/sq while preserving flexibility and mechanical integrity. These outcomes appear to be closely related to the variations in coating weight observed for those samples. Certain blends were found to be comparable, as the rough side of an unrefined sheet containing 65% hardwood (35% softwood) achieved 4.77 kΩ/sq with a single coating layer, closely matching the 100% hardwood reference under the same conditions. Full article
Show Figures

Figure 1

48 pages, 14824 KB  
Review
Convergence of Multidimensional Sensing: A Review of AI-Enhanced Space-Division Multiplexing in Optical Fiber Sensors
by Rabiu Imam Sabitu and Amin Malekmohammadi
Sensors 2026, 26(7), 2044; https://doi.org/10.3390/s26072044 - 25 Mar 2026
Viewed by 1084
Abstract
The growing demand for high-fidelity, multi-parameter, distributed sensing in critical domains such as structural health monitoring, oil and gas exploration, and secure perimeter surveillance is pushing traditional optical fiber sensors (OFS) to their performance limits. Although conventional multiplexing techniques such as time-division and [...] Read more.
The growing demand for high-fidelity, multi-parameter, distributed sensing in critical domains such as structural health monitoring, oil and gas exploration, and secure perimeter surveillance is pushing traditional optical fiber sensors (OFS) to their performance limits. Although conventional multiplexing techniques such as time-division and wavelength-division multiplexing (TDM, WDM) have been commercially successful, they are rapidly approaching fundamental bottlenecks in sensor density, spatial resolution, and data capacity. This review argues that the synergistic convergence of space-division multiplexing (SDM) and artificial intelligence (AI) represents a paradigm shift, enabling a new generation of intelligent, high-dimensional sensing networks. We comprehensively survey the state of the art in SDM-based OFS, detailing the operating principles and applications of multi-core fibers (MCFs) for ultra-dense sensor arrays and 3D shape sensing, as well as few-mode fibers (FMFs) for mode-division multiplexing and enhanced multi-parameter discrimination. However, the unprecedented spatial parallelism provided by SDM introduces significant challenges, including inter-channel crosstalk, complex signal demultiplexing, and massive data volumes. This paper systematically explores how AI, particularly machine learning (ML) and deep learning (DL), is being leveraged not merely as a tool but as an indispensable core technology to mitigate these impairments. We critically analyze AI’s role in digital crosstalk suppression, intelligent mode demultiplexing, signal denoising, and solving complex inverse problems for parameter estimation. Furthermore, we highlight how this AI–SDM synergy enables capabilities beyond the reach of either technology alone, such as super-resolution sensing and predictive analytics. The discussion is extended to include the critical supporting pillars of this ecosystem, such as advanced interrogation techniques and the associated data management challenges. Finally, we provide a forward-looking perspective on the trajectory of the field, outlining a path toward cognitive sensing networks that are self-calibrating, adaptive, and capable of autonomous decision-making. This review is intended to serve as a foundational reference for researchers and engineers at the intersection of photonics and intelligent systems, illuminating the pathway toward tomorrow’s intelligent sensing infrastructure. Full article
(This article belongs to the Collection Artificial Intelligence in Sensors Technology)
Show Figures

Figure 1

32 pages, 10021 KB  
Article
Statistical Multi-Response Optimization and Prediction of Abrasive Water Jet Machining Process Parameters for HRS Fiber/CNT/Epoxy Hybrid Composites
by Supriya J. P, Raviraj Shetty, Gururaj Bolar, Rajesh Nayak, Sawan Shetty and Adithya Hegde
J. Compos. Sci. 2026, 10(4), 173; https://doi.org/10.3390/jcs10040173 - 24 Mar 2026
Viewed by 286
Abstract
This paper investigates the AWJ machinability of Hibiscus Rosa-Sinensis/carbon nanotube (CNT) fiber/epoxy-based hybrid composites by analyzing key machinability metrics such as kerf width (KW), material removal rate (MRR), and surface roughness (Ra). Various process parameters including CNT weight percentage, CNT diameter, stand-off distance, [...] Read more.
This paper investigates the AWJ machinability of Hibiscus Rosa-Sinensis/carbon nanotube (CNT) fiber/epoxy-based hybrid composites by analyzing key machinability metrics such as kerf width (KW), material removal rate (MRR), and surface roughness (Ra). Various process parameters including CNT weight percentage, CNT diameter, stand-off distance, and traverse speed have been varied to optimize the machining performance. Experimental analysis suggested that increasing the CNT weight percentage significantly enhanced material hardness, thereby reducing both the MRR and surface roughness. Moreover, adjusting the stand-off distance and traverse speed further improved the machinability of the composite. ANOVA results highlighted that CNT weight percentage was a significant factor, accounting for 94.17% of the variation in MRR and 93.72% of the variation in surface finish, while the stand-off distance influenced 87.03% of the variation in kerf width. Additionally, response surface methodology (RSM) was utilized to develop predictive models that estimated KW, MRR, and Ra with error rates of 2.95%, 2.23%, and 5.65%, respectively. These insights offer a valuable framework for tailoring the AWJ process to achieve optimal machining outcomes in HRS/CNT/epoxy composite materials Full article
(This article belongs to the Section Composites Modelling and Characterization)
Show Figures

Figure 1

19 pages, 2255 KB  
Article
Comparative Analysis and Optimization of Sensitivity Enhancement Methods for Fiber-Optic Strain Sensors in Structural Monitoring
by Askar Abdykadyrov, Amandyk Tuleshov, Nurzhigit Smailov, Zhandos Dosbayev, Sunggat Marxuly, Yerlan Tashtay, Gulbakhar Yussupova and Nurlan Kystaubayev
Fibers 2026, 14(3), 31; https://doi.org/10.3390/fib14030031 - 3 Mar 2026
Viewed by 517
Abstract
In recent decades, the reliability and safety of large engineering structures have become a critical issue due to failures caused by undetected micro-level deformations. Fiber-optic strain sensors, especially Fiber Bragg Grating (FBG) and interferometric systems, are widely used in structural health monitoring (SHM); [...] Read more.
In recent decades, the reliability and safety of large engineering structures have become a critical issue due to failures caused by undetected micro-level deformations. Fiber-optic strain sensors, especially Fiber Bragg Grating (FBG) and interferometric systems, are widely used in structural health monitoring (SHM); however, their standard sensitivity is often insufficient for early detection of nano-strain level damage. This paper presents a comparative analysis and system-level optimization of the main sensitivity enhancement methods, including mechanical amplification, functional coatings and composite embedding, interferometric schemes, and advanced spectral signal processing. Analytical modeling and numerical simulations were performed. It is shown that flexure-beam amplifiers provide a stable sensitivity gain of 2.1–4.8, whereas lever-type mechanisms achieve higher amplification (5.6–9.3) at the cost of dynamic degradation. Functional coatings increase the strain transfer coefficient from 0.62 to 0.68 to 0.91–0.97, but introduce temperature-induced errors up to 1.5–2.0 µε. Interferometric systems can detect strains at the 10−8 level but exhibit high temperature cross-sensitivity. Advanced spectral processing reduces the Bragg wavelength estimation error by 8–15 times, improving the equivalent strain resolution to (2–5) × 10−8. Based on these results, an optimized integrated approach combining moderate mechanical amplification (2.5–3.5), improved strain transfer (η ≈ 0.85–0.92), and efficient spectral processing is proposed. This improves the equivalent strain resolution from 1 × 10−6 to (1.5–3.0) × 10−8 while keeping temperature-induced errors within 15–25% and limiting the computational load increase to 2–3 times. The proposed solution is suitable for long-term monitoring of large engineering structures. Full article
Show Figures

Figure 1

23 pages, 8514 KB  
Article
SHM System for Multilevel Impact Detection of Full-Scale Composite Wing Box
by Monica Ciminello, Vittorio Memmolo, Assunta Sorrentino and Fulvio Romano
Appl. Mech. 2026, 7(1), 19; https://doi.org/10.3390/applmech7010019 - 26 Feb 2026
Viewed by 457
Abstract
This paper presents the structural health monitoring (SHM) system applied to a 9 m composite outer wing box (OWB) specifically designed for a brand-new regional aircraft to detect barely visible impact damage (BVID) based on structural response data. The approach relies on different [...] Read more.
This paper presents the structural health monitoring (SHM) system applied to a 9 m composite outer wing box (OWB) specifically designed for a brand-new regional aircraft to detect barely visible impact damage (BVID) based on structural response data. The approach relies on different technologies to offer multilevel diagnosis, including impact detection as well as disbonding identification, localization, and sizing. The use of different sensing techniques based on piezoelectric transducers and distributed fiber optic sensors deployed all over wing structures is explored. Different features are simultaneously extracted from the propagating waves and from light scattering, able to detect low-energy BVID impact. In addition, the combined use of static and dynamic interrogation allows the estimation of the delamination surface after impact with good accuracy. The final test results on the OWB provided effectiveness in detecting, localizing, and tracking impact damage in the composite structure, ensuring long-term reliability and safety, as well as characterizing barely visible damage by a fully integrated onboard SHM system. Full article
Show Figures

Figure 1

21 pages, 5303 KB  
Article
Design, Manufacturing, and Analysis of a Carbon Fiber Reinforced Polymer Crash Box
by Mehmet Engul, Serdar Demir and Nuri Ersoy
J. Compos. Sci. 2026, 10(2), 85; https://doi.org/10.3390/jcs10020085 - 6 Feb 2026
Viewed by 623
Abstract
This paper presents a novel carbon fiber reinforced polymer (CFRP) crash box design, incorporating numerical analysis and manufacturing aspects. Within the design and analysis phases, a novel numerical methodology is employed to mitigate computational costs in estimating specific energy absorption (SEA). The proposed [...] Read more.
This paper presents a novel carbon fiber reinforced polymer (CFRP) crash box design, incorporating numerical analysis and manufacturing aspects. Within the design and analysis phases, a novel numerical methodology is employed to mitigate computational costs in estimating specific energy absorption (SEA). The proposed approach involves a reduction in ply interfaces and modification of pertinent material properties to optimize energy dissipation, achieving more than 50% reduction in simulation time. This methodology is applied to the design of a composite crash box made of unidirectional (UD) carbon/epoxy prepregs, resulting in a new geometry: sun-like shape featuring four sinusoidal arms connected to a central circular core. Subsequent manufacturing and testing reveal a SEA value of 79.46 J/g for designed geometry, surpassing metallic counterparts by a factor of 3 to 4. Furthermore, this study conducts a comparative analysis of energy absorption performance between unidirectional and woven fabric prepregs for the same geometry. Utilizing carbon/epoxy woven fabric (WF) prepregs further enhances the SEA to 89.26 J/g. Finally, the application of edge tapering to the crash box structure is shown to eliminate initial peak loads, thereby preventing excessive deceleration. Full article
(This article belongs to the Section Polymer Composites)
Show Figures

Figure 1

16 pages, 2016 KB  
Article
A Deep Learning Phase Noise Compensation Network for Photonic Terahertz OFDM System
by Shenao Cai, Long Zhou, Tong Li and Jianguo Yu
Electronics 2026, 15(3), 647; https://doi.org/10.3390/electronics15030647 - 2 Feb 2026
Cited by 1 | Viewed by 564
Abstract
To address the phase noise issue in terahertz OFDM system, this paper proposes a dual-branch deep learning phase noise compensation network named AdaPhaseNet. The Transformer branch of this network leverages the powerful modeling capability of Transformers for long-range dependencies to achieve long-range phase [...] Read more.
To address the phase noise issue in terahertz OFDM system, this paper proposes a dual-branch deep learning phase noise compensation network named AdaPhaseNet. The Transformer branch of this network leverages the powerful modeling capability of Transformers for long-range dependencies to achieve long-range phase noise estimation and compensation, while the CNN branch is employed for local signal enhancement. Finally, an optimized signal is output through a confidence-driven adaptive fusion module. For experimental validation of the algorithm, we constructed a photonic terahertz communication system comprising 10 km of fiber and 5 m of wireless transmission. Experimental results show that, compared with multiple baseline models, AdaPhaseNet achieves relative BER reductions ranging from 37.0% to 57.9% and EVM gains ranging from 1.4 dB to 3.2 dB. Full article
Show Figures

Figure 1

20 pages, 4098 KB  
Article
A Finite Element-Inspired Method to Characterize Foreign Object Debris (FOD) in Carbon Fiber Composites
by Sina Hassanpoor, Rachel E. Van Lear, Mahsa Khademi and David A. Jack
Appl. Sci. 2026, 16(3), 1459; https://doi.org/10.3390/app16031459 - 31 Jan 2026
Viewed by 418
Abstract
This study investigates ultrasonic wave propagation in carbon fiber reinforced polymer (CFRP) composites containing foreign object debris (FOD) by introducing a novel method to characterize the depth and size of FOD, from a single captured waveform generated by an out-of-focus spherically focused transducer. [...] Read more.
This study investigates ultrasonic wave propagation in carbon fiber reinforced polymer (CFRP) composites containing foreign object debris (FOD) by introducing a novel method to characterize the depth and size of FOD, from a single captured waveform generated by an out-of-focus spherically focused transducer. Current methods of inspection utilize a raster approach to both detect and quantify FOD, which is limited to identifying FOD smaller than 4 mm. The method introduced in the present paper allows for a single point scan to detect and quantify FOD, as small as 0.5 mm, with the highest error in the depth estimation being less than 8%. This paper presents experimental testing to inform a finite element analysis of a full waveform simulation of an immersion tank inspection environment and compares waveforms between testing and simulation. A transient pressure acoustic model is developed in the COMSOL Multiphysics environment to simulate wave propagations. Simulation results provide waveform reflection and transmission at material interfaces, which will occur when there is an acoustic mismatch between materials. The transmitted ultrasonic wave is partially reflected toward the transducer upon encountering material interfaces between the water, CFRP laminate, and the FOD. Simulation results show that the acoustic profile and pressure of the reflected wave captured by the transducer allows an accurate identification of FOD depth and size within the composite structure, suggesting an alternative method of inspection to quantify FOD characteristics faster than through conventional approaches. Results show an increase in captured signal pressure of over 125% between the 0.5 mm FOD and the 1 mm FOD located on the mid-plane of the laminate, and 500% between the same 0.5 mm FOD and 1 mm FOD placed near the front wall. These results suggest the potential sensitivity limits for physical component. This work demonstrates that small FOD, which are often difficult to resolve and quantify under conventional raster-based inspection, can be reliably identified by intentionally positioning the specimen within the defocused region of a spherically focused transducer. Results are presented to correlate the reflected acoustic pressure amplitude to defect depth, transducer–specimen distance, and FOD size, providing an approach to quantitatively discriminate small defects that would otherwise produce ambiguous signals. Full article
Show Figures

Figure 1

25 pages, 2237 KB  
Article
A Generalized Cost Model for Techno-Economic Analysis in Optical Networks
by André Souza, Marco Quagliotti, Mohammad M. Hosseini, Andrea Marotta, Carlo Centofanti, Farhad Arpanaei, Arantxa Villavicencio Paz, José Manuel Rivas-Moscoso, Gianluca Gambari, Laia Nadal, Marc Ruiz, Stephen Parker and João Pedro
Photonics 2026, 13(2), 125; https://doi.org/10.3390/photonics13020125 - 29 Jan 2026
Viewed by 695
Abstract
Techno-economic analysis (TEA) plays a vital role in assessing the feasibility and scalability of emerging technologies, especially in the context of innovation and development. Central to any effective TEA is a reliable and detailed model of capital and operational costs. This paper reports [...] Read more.
Techno-economic analysis (TEA) plays a vital role in assessing the feasibility and scalability of emerging technologies, especially in the context of innovation and development. Central to any effective TEA is a reliable and detailed model of capital and operational costs. This paper reports the development of such a model for optical networks in the framework of the SEASON project, aimed at supporting a broad spectrum of techno-economic evaluations. The model is constructed using publicly available data and expert insights from project participants. Its generalizable design allows it to be used both within the SEASON project and as a reference for other studies. By harmonizing assumptions and cost parameters, the model fosters consistency across different analyses. It includes cost and power consumption data for a wide range of commercially available optical network components (including transceivers for point-to-multipoint communications), introduces a statistical framework for estimating values for emerging technologies, and provides a cost model for multiband-doped fiber amplifiers. To demonstrate its practical relevance, the paper applies the model to two case studies: an evaluation of how the cost of various multiband node architectures scales with network traffic in meshed topologies and a comparison of different transport solutions to carry fronthaul flows in the radio access network. Full article
(This article belongs to the Section Optical Communication and Network)
Show Figures

Figure 1

44 pages, 1721 KB  
Systematic Review
Vibration-Based Predictive Maintenance for Wind Turbines: A PRISMA-Guided Systematic Review on Methods, Applications, and Remaining Useful Life Prediction
by Carlos D. Constantino-Robles, Francisco Alberto Castillo Leonardo, Jessica Hernández Galván, Yoisdel Castillo Alvarez, Luis Angel Iturralde Carrera and Juvenal Rodríguez-Reséndiz
Appl. Mech. 2026, 7(1), 11; https://doi.org/10.3390/applmech7010011 - 26 Jan 2026
Cited by 1 | Viewed by 1858
Abstract
This paper presents a systematic review conducted under the PRISMA (Preferred Reporting Items for Systematic Reviews and Meta-Analyses) framework, analyzing 286 scientific articles focused on vibration-based predictive maintenance strategies for wind turbines within the context of advanced Prognostics and Health Management (PHM). The [...] Read more.
This paper presents a systematic review conducted under the PRISMA (Preferred Reporting Items for Systematic Reviews and Meta-Analyses) framework, analyzing 286 scientific articles focused on vibration-based predictive maintenance strategies for wind turbines within the context of advanced Prognostics and Health Management (PHM). The review combines international standards (ISO 10816, ISO 13373, and IEC 61400) with recent developments in sensing technologies, including piezoelectric accelerometers, microelectromechanical systems (MEMS), and fiber Bragg grating (FBG) sensors. Classical signal processing techniques, such as the Fast Fourier Transform (FFT) and wavelet-based methods, are identified as key preprocessing tools for feature extraction prior to the application of machine-learning-based diagnostic algorithms. Special emphasis is placed on machine learning and deep learning techniques, including Support Vector Machines (SVM), Random Forest (RF), Convolutional Neural Networks (CNN), Long Short-Term Memory networks (LSTM), and autoencoders, as well as on hybrid digital twin architectures that enable accurate Remaining Useful Life (RUL) estimation and support autonomous decision-making processes. The bibliometric and case study analysis covering the period 2020–2025 reveals a strong shift toward multisource data fusion—integrating vibration, acoustic, temperature, and Supervisory Control and Data Acquisition (SCADA) data—and the adoption of cloud-based platforms for real-time monitoring, particularly in offshore wind farms where physical accessibility is constrained. The results indicate that vibration-based predictive maintenance strategies can reduce operation and maintenance costs by more than 20%, extend component service life by up to threefold, and achieve turbine availability levels between 95% and 98%. These outcomes confirm that vibration-driven PHM frameworks represent a fundamental pillar for the development of smart, sustainable, and resilient next-generation wind energy systems. Full article
Show Figures

Graphical abstract

2 pages, 142 KB  
Correction
Correction: Kamiya et al. Non-Destructive Estimation of Paper Fiber Using Macro Images: A Comparative Evaluation of Network Architectures and Patch Sizes for Patch-Based Classification. NDT 2024, 2, 487–503
by Naoki Kamiya, Kosuke Ashino, Yasuhiro Sakai, Yexin Zhou, Yoichi Ohyanagi and Koji Shibazaki
NDT 2026, 4(1), 2; https://doi.org/10.3390/ndt4010002 - 23 Dec 2025
Viewed by 298
Abstract
A few unintended typos were introduced after the proofreading stage, and the authors hence wish to make the following corrections to this paper [...] Full article
17 pages, 1221 KB  
Article
Conservation Laws, Soliton Dynamics, and Stability in a Nonlinear Schrödinger Equation with Second-Order Spatiotemporal Dispersion
by Naila Nasreen, Ismat Latif, Kashifa Basheer, Muhammad Arshad and Zhaoliang Jiang
Mathematics 2026, 14(1), 54; https://doi.org/10.3390/math14010054 - 23 Dec 2025
Viewed by 606
Abstract
This paper presents the construction of exact wave solutions for the generalized nonlinear Schrödinger equation (NLSE) with second-order spatiotemporal dispersion using the modified exponential rational function method (mERFM). The NLSE plays a vital role in various fields such as quantum mechanics, oceanography, transmission [...] Read more.
This paper presents the construction of exact wave solutions for the generalized nonlinear Schrödinger equation (NLSE) with second-order spatiotemporal dispersion using the modified exponential rational function method (mERFM). The NLSE plays a vital role in various fields such as quantum mechanics, oceanography, transmission lines, and optical fiber communications, particularly in modeling pulse dynamics extending beyond the traditional slowly varying envelope estimation. By incorporating higher-order dispersion and nonlinear effects, including cubic–quintic nonlinearities, this generalized model provides a more accurate representation of ultrashort pulse propagation in optical fibers and oceanic environments. A wide range of soliton solutions is obtained, including bright and dark solitons, as well as trigonometric, hyperbolic, rational, exponential, and singular forms. These solutions offer valuable insights into nonlinear wave dynamics and multi-soliton interactions relevant to shallow- and deep-water wave propagation. Conservation laws associated with the model are also derived, reinforcing the physical consistency of the system. The stability of the obtained solutions is investigated through the analysis of modulation instability (MI), confirming their robustness and physical relevance. Graphical representations based on specific parameter selections further illustrate the complex dynamics governed by the model. Overall, the study demonstrates the effectiveness of mERFM in solving higher-order nonlinear evolution equations and highlights its applicability across various domains of physics and engineering. Full article
(This article belongs to the Section E: Applied Mathematics)
Show Figures

Figure 1

13 pages, 1437 KB  
Article
Energy Efficiency and Circular Economy in Glass Wool Fiberizing: Impact of Lightweight Refractory Design
by Junaid Afzal, Baptiste Forgerit and Abhishek Tiwary
Sustainability 2026, 18(1), 135; https://doi.org/10.3390/su18010135 - 22 Dec 2025
Viewed by 827
Abstract
This paper presents an analysis of energy savings and sustainability measures to improve the environmental performance of glass wool fiberizing, the latter being the most energy intensive production step in manufacturing glass wool thermal insulation, involving conversion of hot molten glass into fibers. [...] Read more.
This paper presents an analysis of energy savings and sustainability measures to improve the environmental performance of glass wool fiberizing, the latter being the most energy intensive production step in manufacturing glass wool thermal insulation, involving conversion of hot molten glass into fibers. The first part evaluates two refractory designs—business as usual (BAU) and modified (MOD), over four trials. BAU refractory has higher density whereas MOD is an innovative lightweight design, with lower density and improved thermal conductivity. The key operational parameters analyzed include energy demand and CO2 emissions in the fiberizing stage, along with burner pressure, temperature and fiber diameter. The results show that MOD has better thermal performance, leading to an average energy demand reduction potential of up to 10%. The second part focuses on promoting a circular economy for the end-of-life refractory, underpinned by the potential for recovery and reuse of spent refractory materials. Based on a total refractory mass of 1.2 tons for the six burners, the end-of-life refractory material recovery is estimated as 0.78 ton (65% of the aggregate). Balancing the recovery costs with the acquired value of the recovered aggregates, results demonstrate significant material and environmental cost avoidance on a 3-year refractory relining cycle. Full article
Show Figures

Figure 1

36 pages, 11316 KB  
Systematic Review
Glaucoma Drainage Devices and Minimally Invasive Glaucoma Surgery—Evolution of Designs and Materials
by Hari Tunga, Neloy Shome, Amirmohammad Shafiee, Prisha Jonnalagadda, Noah Wong, Amirmahdi Shafiee, Sohan Bobba and Karanjit Kooner
Designs 2025, 9(6), 145; https://doi.org/10.3390/designs9060145 - 15 Dec 2025
Cited by 1 | Viewed by 2435
Abstract
Glaucoma is recognized as the second leading cause of blindness globally and a primary cause of irreversible blindness, estimated to affect over 80 million patients worldwide, including 4.5 million in the United States. Though the disease is multifactorial, the primary cause is elevated [...] Read more.
Glaucoma is recognized as the second leading cause of blindness globally and a primary cause of irreversible blindness, estimated to affect over 80 million patients worldwide, including 4.5 million in the United States. Though the disease is multifactorial, the primary cause is elevated intraocular pressure (IOP), which damages the optic nerve fibers that connect the eye to the brain, thus interfering with the quality of vision. Current treatments have evolved, which consist of medications, laser therapies, and surgical interventions such as filtering procedures, glaucoma drainage devices (GDDs), and current innovations of minimally invasive glaucoma surgeries (MIGS). This paper aims to discuss the history and evolution of the design and biomaterials employed in GDDs and MIGS. Through a comprehensive review of the literature, we trace the development of these devices from early concepts to modern implants, highlighting advancements in materials science and surgical integration. This historical analysis, ranging from the mid-19th century, reveals a trend towards enhanced biocompatibility, improved efficiency in IOP reduction, and reduced complications. We conclude that the ongoing evolution of GDDs and MIGS underscores a persistent commitment to advancing patient care in glaucoma, paving the way for future device innovations and therapeutic trends to treat glaucoma. Full article
Show Figures

Graphical abstract

11 pages, 1419 KB  
Article
Force and Temperature Characterization of a Novel Fiber Bragg Grating Overhead Line Sensor
by Grzegorz Fusiek and Pawel Niewczas
Sensors 2025, 25(24), 7425; https://doi.org/10.3390/s25247425 - 6 Dec 2025
Viewed by 705
Abstract
This paper presents the characterization of a new optical sensor designed for monitoring overhead power lines (OHLs) by determining key mechanical parameters of electrical conductors. The device employs fiber Bragg gratings (FBGs) written into a metal-coated fiber and enclosed within a Kovar® [...] Read more.
This paper presents the characterization of a new optical sensor designed for monitoring overhead power lines (OHLs) by determining key mechanical parameters of electrical conductors. The device employs fiber Bragg gratings (FBGs) written into a metal-coated fiber and enclosed within a Kovar® capillary tube. Its epoxy-free design provides robust hermetic protection for the FBGs, enabling reliable performance with both conventional low-temperature and high-temperature low-sag (HTLS) conductors. The sensor configuration enables direct measurements of conductor strain and temperature, as well as indirect estimation of sag and related mechanical quantities such as tension and stress. Laboratory tests were carried out over a temperature range of 30 °C to 200 °C and for applied forces up to 2 kN. The experimentally determined sensitivities were about 0.4 nm/kN for force and 27 pm/°C for temperature. The device endured ten successive thermal cycles between 30 °C and 200 °C, maintaining its force sensitivity within 20% variation throughout the tests. These results confirm that the developed sensor can simultaneously track temperature and mechanical load across the investigated temperature range, demonstrating its potential for HTLS conductor monitoring in power transmission networks. Full article
(This article belongs to the Special Issue Optical Sensors for Industrial Applications)
Show Figures

Figure 1

Back to TopTop