Due to scheduled maintenance work on our servers, there may be short service disruptions on this website between 11:00 and 12:00 CEST on March 28th.
Sign in to use this feature.

Years

Between: -

Subjects

remove_circle_outline
remove_circle_outline
remove_circle_outline
remove_circle_outline
remove_circle_outline
remove_circle_outline
remove_circle_outline
remove_circle_outline

Journals

Article Types

Countries / Regions

Search Results (19)

Search Parameters:
Keywords = overlapping blank

Order results
Result details
Results per page
Select all
Export citation of selected articles as:
19 pages, 1068 KB  
Article
Liposomal Encapsulation of Pine Green Cone Essential Oil: The Influence of the Carrier on the Enhancement of Anti-Inflammatory Activity
by Snježana Mirković, Vanja Tadić, Marina Tomović, Anica Petrović, Marijana Andjić, Jovana Bradić, Sanja Perać, Aleksandar Radojković, Jelena Jovanović and Ana Žugić
Pharmaceutics 2025, 17(9), 1182; https://doi.org/10.3390/pharmaceutics17091182 - 11 Sep 2025
Viewed by 1256
Abstract
Background/Objectives: This study aimed to investigate the traditionally claimed anti-inflammatory effect of essential oil (EO) derived from pine green cones per se and after encapsulation into liposomes, which is expected to enhance its bioactivity and stability. Methods: The chemical profiling of EO [...] Read more.
Background/Objectives: This study aimed to investigate the traditionally claimed anti-inflammatory effect of essential oil (EO) derived from pine green cones per se and after encapsulation into liposomes, which is expected to enhance its bioactivity and stability. Methods: The chemical profiling of EO was conducted using GC/GC-MS. The physico-chemical characterization of the liposomal formulation (LEO) included encapsulation efficiency, FTIR spectroscopy, and AFM imaging. Additionally, parameters such as mean particle diameter, polydispersity index, zeta potential, pH, and electrical conductivity were evaluated and reassessed after 30 days and 1 year to determine formulation stability. The in vivo anti-inflammatory effect of the EO and LEO was examined using a carrageenan-induced rat paw edema model. Results: The Pinus halepensis EO contained 14 components, mainly, α-pinene, myrcene, and (E)-caryophyllene. Encapsulation efficiency was 97.35%. AFM analyses confirmed the nanoscale dimensions and spherical shape of liposomes, while FTIR indicated successful encapsulation through overlapping functional groups. The droplet size of blank liposomes (L) ranged from 197.4 to 217 nm, while adding the EO decreased the droplet size and electrical conductivity. The polydispersity index (PDI) remained below 0.2. The zeta potential of the liposomes was between −35.61 and −49.43 mV, while the pH value was in the range of 4.35 to 5.01. These results indicate satisfactory stability across repeated measurements. Administration of LEO significantly inhibited paw edema relative to the controls, with a percentage inhibition of approximately 69%, which does not significantly differ from the effect of hydrocortisone, which was used as a positive control. Conclusions: This is the first study to report liposomal encapsulation and in vivo anti-inflammatory activity of an EO derived specifically from green cones of P. halepensis. Our findings demonstrate that EO-loaded liposomes exhibited favorable physico-chemical properties and notable anti-inflammatory activity, comparable to that of hydrocortisone. These results support their potential application in the development of effective topical anti-inflammatory formulations. Full article
(This article belongs to the Special Issue Natural Bioactive Compounds in Micro- and Nanocarriers)
Show Figures

Figure 1

13 pages, 2562 KB  
Article
Gill Transcriptome, Proteome, and Histology in Female Eriocheir sinensis Under Copper Stress
by Tingshuang Pan, Tong Li, Min Yang, Chengchen Yu, He Jiang and Jun Ling
Int. J. Mol. Sci. 2025, 26(10), 4711; https://doi.org/10.3390/ijms26104711 - 14 May 2025
Viewed by 825
Abstract
Cu is a chemical contaminant that is toxic to aquatic animals at certain concentrations. The present study describes the gill transcriptome, proteome, and histology of the Chinese mitten crab (Eriocheir sinensis) subjected to copper stress. Female 14-month-old E. sinensis (n = [...] Read more.
Cu is a chemical contaminant that is toxic to aquatic animals at certain concentrations. The present study describes the gill transcriptome, proteome, and histology of the Chinese mitten crab (Eriocheir sinensis) subjected to copper stress. Female 14-month-old E. sinensis (n = 60) crabs (79.6 ± 4.8 g, body weight) were randomly divided into two groups and subjected to copper stress at concentrations of 0 μg/L (Blank group, GBL) and 50 μg/L (Copper group, GCP) for 96 h. In total, 278 upregulated and 189 downregulated differentially expressed genes (DEGs) were identified in the GBL and GCP groups. In addition, upregulated and downregulated differentially expressed proteins (DEPs) in the GBL and GCP groups were 260 and 308, respectively. An integrated analysis demonstrated that the three DEGs overlapped between the two omics approaches. Comparative omics analysis indicated that seven GO terms were significantly (p < 0.05) enriched by overlapping DEGs in the transcriptome and proteome. Further analysis revealed that only one overlapping DEG (stumps) was enriched in two common KEGG pathways, the PI3K-Akt and B cell receptor signaling pathways. Histological analyses showed that copper-stressed gills had collapsed lamellae with enlarged marginal vessels and shortened interlamellar spaces due to the disruption of the pillar cells and cuticles. These results demonstrate the variations in copper-stressed gills and will be helpful for better understanding the mechanisms of copper toxicity in E. sinensis. Full article
Show Figures

Figure 1

21 pages, 13379 KB  
Article
Investigation on the Welding Residual Stress Distribution in Multi-Segment Conical Egg-Shaped Shell
by Yongmei Zhu, Ao Sun, Longbo Zhou, Lihui Wang and Xilu Zhao
J. Mar. Sci. Eng. 2025, 13(3), 578; https://doi.org/10.3390/jmse13030578 - 15 Mar 2025
Cited by 2 | Viewed by 1456 | Correction
Abstract
The egg-shaped pressure shell, an essential component of manned submersibles, has garnered significant attention from researchers. However, the fabrication of such shells, particularly the welding process used to connect petals or frustums into a shell blank, has raised several concerns. This study investigates [...] Read more.
The egg-shaped pressure shell, an essential component of manned submersibles, has garnered significant attention from researchers. However, the fabrication of such shells, particularly the welding process used to connect petals or frustums into a shell blank, has raised several concerns. This study investigates the distribution of welding residual stresses in a multi-segment frustum-assembled egg-shaped shell using a thermal–elastic–plastic method under an instantaneous heat source. A numerical model for a 12-segment frustum-welded egg-shaped shell is developed, and welding simulations are performed. The model’s boundary conditions are defined by cyclic symmetry, with a mesh element size of 2 mm to enhance computational efficiency. The results are validated through experimental tests. The findings indicate that the residual stress around the weld is tensile, while compressive stress is present on both sides of the weld. The length of the generatrix and the relative inclination angle significantly affect the distribution and overlap of circumferential residual stress, whereas axial residual stress primarily influences its magnitude. Finally, a simplified numerical model of the egg-shaped shell is proposed, with its simulation results showing good agreement with the distribution of welding residual stresses on the shell surface. This study provides valuable insights for optimizing the welding process of egg-shaped pressure shells in manned submersibles. Full article
(This article belongs to the Special Issue Advancements in Deep-Sea Equipment and Technology, 3rd Edition)
Show Figures

Figure 1

20 pages, 1050 KB  
Article
Joint Entity and Relation Extraction Model Based on Inner and Outer Tensor Dot Product and Single-Table Filling
by Ping Feng, Lin Yang, Boning Zhang, Renjie Wang and Dantong Ouyang
Appl. Sci. 2024, 14(4), 1334; https://doi.org/10.3390/app14041334 - 6 Feb 2024
Cited by 4 | Viewed by 2640
Abstract
Joint relational triple extraction is a crucial step in constructing a knowledge graph from unstructured text. Recently, multiple methods have been proposed for extracting relationship triplets. Notably, end-to-end table-filling methods have garnered significant research interest due to their efficient extraction capabilities. However, existing [...] Read more.
Joint relational triple extraction is a crucial step in constructing a knowledge graph from unstructured text. Recently, multiple methods have been proposed for extracting relationship triplets. Notably, end-to-end table-filling methods have garnered significant research interest due to their efficient extraction capabilities. However, existing approaches usually generate separate tables for each relationship, which neglects the global correlation between relationships and context, producing a large number of useless blank tables. This problem results in issues of redundant information and sample imbalance. To address these challenges, we propose a novel framework for joint entity and relation extraction based on a single-table filling method. This method incorporates all relationships as prompts within the text sequence and associates entity span information with relationship labels. This approach reduces the generation of redundant information and enhances the extraction capability for overlapping triplets. We utilize the internal and external multi-head tensor fusion approach to generate two sets of table feature vectors. These vectors are subsequently merged to capture a wider range of global information. Experimental results on the NYT and WebNLG datasets demonstrate the effectiveness of our proposed model, which maintains excellent performance, even in complex scenarios involving overlapping triplets. Full article
Show Figures

Figure 1

18 pages, 2059 KB  
Article
Chemical Analysis of Sexual Lubricant Residue: A Comparison of Medical Examination Swabs Analyzed Using Spectroscopic Techniques
by Safiya J. Best, Santana Thomas, Nancy Flynn and Candice Bridge
Forensic Sci. 2023, 3(4), 620-637; https://doi.org/10.3390/forensicsci3040045 - 8 Dec 2023
Cited by 1 | Viewed by 3809
Abstract
Sexual assault kits are the standard method for collecting and preserving sexual assault evidence. During the sexual assault examination, swabs are commonly used to collect bodily fluids as sexual assault evidence from the vagina, anus, mouth, and skin. The type of fiber swab [...] Read more.
Sexual assault kits are the standard method for collecting and preserving sexual assault evidence. During the sexual assault examination, swabs are commonly used to collect bodily fluids as sexual assault evidence from the vagina, anus, mouth, and skin. The type of fiber swab used during collection can greatly influence the recovery of the substrate. In cases where lubricant residue may be present, it would be useful to identify the swab type that would be the most efficient in the collection of lubricant residues. In this study, four types of swabs with different fibers (i.e., cotton, polyester, rayon, and foam) with sexual lubricants present, were extracted in various solvents. The extracts were analyzed using attenuated total reflectance Fourier-transform infrared (ATR-FTIR) and Raman spectroscopy. The Pearson correlation coefficient (PCCs) test was applied to determine a pairwise comparison between swab lube extracts and the standard lubricant reference. Visual comparisons of the lubricant reference, blank fiber swab, and the fiber lubricant extract were used to determine peak overlap, significance, and matrix interference. Full article
Show Figures

Figure 1

16 pages, 474 KB  
Article
Physical Layer Security for L-Band Digital Aeronautical Communication System with Interference Mitigation
by Lei Qian, Henghao Xu, Lei Wang, Di Wang, Xin Liu and Boya Shi
Electronics 2023, 12(22), 4591; https://doi.org/10.3390/electronics12224591 - 10 Nov 2023
Cited by 1 | Viewed by 1775
Abstract
As one of the main candidates for future civil aviation communications systems, the L-band digital aeronautical communication system (L-DACS) is expected to achieve secure and reliable transmission. Due to the broadcasting nature of air–ground wireless links, the L-DACS has the risk of being [...] Read more.
As one of the main candidates for future civil aviation communications systems, the L-band digital aeronautical communication system (L-DACS) is expected to achieve secure and reliable transmission. Due to the broadcasting nature of air–ground wireless links, the L-DACS has the risk of being intercepted by malicious eavesdroppers, which negatively affects aviation communication security. In addition, because the spectrum of the L-DACS overlaps with the aviation distance measuring equipment (DME), the pulse interference caused by the DME signal may lead to the wireless link being more fragile and susceptible to wiretapping. In this paper, with a focus on enhancing wireless transmission security, we propose a comprehensive physical layer security (PLS) method for the L-DACS. The key to the proposed PLS method is restraining the transmission of the eavesdropper by injecting artificial noise into the transmitted signal while improving the transmission of the legitimate receiver through the adoption of pulse interference mitigation. First, to characterize the L-DACS in the secure scene, we derive the signal-to-interference-plus-noise ratio (SINR) of the legitimate receiver and any potential eavesdropper by constructing equivalent noise. Next, from the perspective of the information theory, we derive the closed form of the secrecy capacity of the L-DACS by employing the proposed PLS methods with three kinds of nonlinear interference mitigation: including ideal pulse blanking, peak threshold-based pulse blanking, and peak threshold-based pulse clipping. Finally, we compare and analyze different ways to enhance the secrecy capacity of the proposed PLS method using various interference mitigation methods. Full article
(This article belongs to the Section Microwave and Wireless Communications)
Show Figures

Figure 1

22 pages, 18411 KB  
Article
Adaptive 3D Reversible Data Hiding Technique Based on the Cumulative Peak Bins in the Histogram of Directional Prediction Error
by Dima Kasasbeh, Mohammed Anbar, Ghassan Issa, Basim Ahmad Alabsi and Shaza Dawood Ahmed Rihan
Electronics 2023, 12(15), 3245; https://doi.org/10.3390/electronics12153245 - 27 Jul 2023
Cited by 2 | Viewed by 2221
Abstract
Reversible data hiding (RDH) is crucial in modern data security, ensuring confidentiality and tamper-proofness in various industries like copyright protection, medical imaging, and digital forensics. As technology advances, RDH techniques become essential, but the trade-off between embedding capacity and visual quality must be [...] Read more.
Reversible data hiding (RDH) is crucial in modern data security, ensuring confidentiality and tamper-proofness in various industries like copyright protection, medical imaging, and digital forensics. As technology advances, RDH techniques become essential, but the trade-off between embedding capacity and visual quality must be heeded. In this paper, the relative correlation between the pixel’s local complexity and its directional prediction error is employed to enhance an efficient RDH without using a location map. An embedding process based on multiple cumulative peak region localization (MCPRL) is proposed to hide information in the 3D-directional prediction error histogram with a lower local complexity value and avoid the underflow/overflow problems. The carrier image is divided into three color channels, and then each channel is split into two non-overlapping sets: blank and shadow. Two half-directional prediction errors (the blank set and the shadow set) are constructed to generate a full-directional prediction error for each color channel belonging to the host image. The local complexity value and directional prediction error are critical metrics in the proposed embedding process to improve security and robustness. By utilizing these metrics to construct a 3D stego-Blank Set, the 3D stego-shadow Set will be subsequently constructed using the 3D blank set. The proposed technique outperforms other state-of-the-art techniques in terms of embedding capacity, image quality, and robustness against attacks without an extra location map. The experimental results illustrate the effectiveness of the proposed method for various 3D RDH techniques. Full article
Show Figures

Figure 1

16 pages, 783 KB  
Article
Effect of Storage Time on the Physical, Chemical, and Rheological Properties of Blueberry Jam: Experimental Measurements and Artificial Neural Network Simulation
by Daniela Helena Pelegrine Guimarães, Ana Lúcia Gabas Ferreira and Pedro Felipe Arce
Foods 2023, 12(15), 2853; https://doi.org/10.3390/foods12152853 - 27 Jul 2023
Cited by 3 | Viewed by 3812
Abstract
Reversible data hiding (RDH) is crucial in modern data security, ensuring confidentiality and tamper-proofness in various industries like copyright protection, medical imaging, and digital forensics. As technology advances, RDH techniques become essential, but the trade-off between embedding capacity and visual quality must be [...] Read more.
Reversible data hiding (RDH) is crucial in modern data security, ensuring confidentiality and tamper-proofness in various industries like copyright protection, medical imaging, and digital forensics. As technology advances, RDH techniques become essential, but the trade-off between embedding capacity and visual quality must be heeded. In this paper, the relative correlation between the pixel’s local complexity and its directional prediction error is employed to enhance an efficient RDH without using a location map. An embedding process based on multiple cumulative peak region localization (MCPRL) is proposed to hide information in the 3D-directional prediction error histogram with a lower local complexity value and avoid the underflow/overflow problems. The carrier image is divided into three color channels, and then each channel is split into two non-overlapping sets: blank and shadow. Two half-directional prediction errors (the blank set and the shadow set) are constructed to generate a full-directional prediction error for each color channel belonging to the host image. The local complexity value and directional prediction error are critical metrics in the proposed embedding process to improve security and robustness. By utilizing these metrics to construct a 3D stego-Blank Set, the 3D stego-shadow Set will be subsequently constructed using the 3D blank set. The proposed technique outperforms other state-of-the-art techniques in terms of embedding capacity, image quality, and robustness against attacks without an extra location map. The experimental results illustrate the effectiveness of the proposed method for various 3D RDH techniques. Full article
Show Figures

Graphical abstract

16 pages, 1373 KB  
Article
GLOD: The Local Greedy Expansion Method for Overlapping Community Detection in Dynamic Provenance Networks
by Ying Song, Zhiwen Zheng, Yunmei Shi and Bo Wang
Mathematics 2023, 11(15), 3284; https://doi.org/10.3390/math11153284 - 26 Jul 2023
Cited by 6 | Viewed by 1888
Abstract
Local overlapping community detection is a hot problem in the field of studying complex networks. It is the process of finding dense clusters based on local network information. This paper proposes a method called local greedy extended dynamic overlapping community detection (GLOD) to [...] Read more.
Local overlapping community detection is a hot problem in the field of studying complex networks. It is the process of finding dense clusters based on local network information. This paper proposes a method called local greedy extended dynamic overlapping community detection (GLOD) to address the challenges of detecting high-quality overlapping communities in complex networks. The goal is to improve the accuracy of community detection by considering the dynamic nature of community boundaries and leveraging local network information. The GLOD method consists of several steps. First, a coupling seed is constructed by selecting nodes from blank communities (i.e., nodes not assigned to any community) and their similar neighboring nodes. This seed serves as the starting point for community detection. Next, the seed boundaries are extended by applying multiple community fitness functions. These fitness functions determine the likelihood of nodes belonging to a specific community based on various local network properties. By iteratively expanding the seed boundaries, communities with higher density and better internal structure are formed. Finally, the overlapping communities are merged using an improved version of the Jaccard coefficient, which is a measure of similarity between sets. This step ensures that overlapping nodes between communities are properly identified and accounted for in the final community structure. The proposed method is evaluated using real networks and three sets of LFR (Lancichinetti–Fortunato–Radicchi) networks, which are synthetic benchmark networks widely used in community detection research. The experimental results demonstrate that GLOD outperforms existing algorithms and achieves a 2.1% improvement in the F-score, a community quality evaluation metric, compared to the LOCD framework. It outperforms the best existing LOCD algorithm on the real provenance network. In summary, the GLOD method aims to overcome the limitations of existing community detection algorithms by incorporating local network information, considering overlapping communities, and dynamically adjusting community boundaries. The experimental results suggest that GLOD is effective in improving the quality of community detection in complex networks. Full article
(This article belongs to the Section E1: Mathematics and Computer Science)
Show Figures

Figure 1

12 pages, 2016 KB  
Article
Double Image Encryption System Using a Nonlinear Joint Transform Correlator in the Fourier Domain
by Ronal A. Perez, Elisabet Pérez-Cabré, Juan M. Vilardy, María S. Millán and Cesar O. Torres
Sensors 2023, 23(3), 1641; https://doi.org/10.3390/s23031641 - 2 Feb 2023
Cited by 5 | Viewed by 2962
Abstract
In this work, we present a new nonlinear joint transform correlator (JTC) architecture in the Fourier domain (FD) for the encryption and decryption of two simultaneous images. The main features of the proposed system are its increased level of security, the obtention of [...] Read more.
In this work, we present a new nonlinear joint transform correlator (JTC) architecture in the Fourier domain (FD) for the encryption and decryption of two simultaneous images. The main features of the proposed system are its increased level of security, the obtention of a single real-valued encrypted signal that contains the ciphered information of the two primary images and, additionally, a high image quality for the two final decrypted signals. The two images to be encrypted can be either related to each other, or independent signals. The encryption system is based on the double random phase encoding (DRPE), which is implemented by using a nonlinear JTC in the FD. The input plane of the JTC has four non-overlapping data distributions placed side-by-side with no blank spaces between them. The four data distributions are phase-only functions defined by the two images to encrypt and four random phase masks (RPMs). The joint power spectrum (JPS) is produced by the intensity of the Fourier transform (FT) of the input plane of the JTC. One of the main novelties of the proposal consists of the determination of the appropriate two nonlinear operations that modify the JPS distribution with a twofold purpose: to obtain a single real-valued encrypted image with a high level of security and to improve the quality of the decrypted images. The security keys of the encryption system are represented by the four RPMs, which are all necessary for a satisfactory decryption. The decryption system is implemented using a 4f-processor where the encrypted image and the security keys given by the four RPMs are introduced in the proper plane of the processor. The double image encryption system based on a nonlinear JTC in the FD increases the security of the system because there is a larger key space, and we can simultaneously validate two independent information signals (original images to encrypt) in comparison to previous similar proposals. The feasibility and performance of the proposed double image encryption and decryption system based on a nonlinear JTC are validated through computational simulations. Finally, we additionally comment on the proposed security system resistance against different attacks based on brute force, plaintext and deep learning. Full article
Show Figures

Figure 1

16 pages, 6162 KB  
Article
Using Overlapped Resonators in Wireless Power Transfer for Uniform Electromagnetic Field and Removing Blank Spots in Free Moving Applications
by Saeideh Pahlavan, Mostafa Shooshtari, Mohammadreza Maleki and Shahin Jafarabadi Ashtiani
Electronics 2022, 11(8), 1204; https://doi.org/10.3390/electronics11081204 - 10 Apr 2022
Cited by 16 | Viewed by 4254
Abstract
We propose an induction link based on overlapping arrays to eliminate blank spots on the electromagnetic field for moving object applications. We use two arrays of four aligned coils that have a 50% overlap between the two plates. This mechanism compensates for the [...] Read more.
We propose an induction link based on overlapping arrays to eliminate blank spots on the electromagnetic field for moving object applications. We use two arrays of four aligned coils that have a 50% overlap between the two plates. This mechanism compensates for the internal coil power drop at positions in the boundaries between two adjacent external coils. We showed that if these plates are excited, a uniform electromagnetic field is created in the movement direction of the moving object. This uniform electromagnetic field distribution will result in a constant receiving power at all points in the path of the moving internal coil with the same power consumption of one coil excitation. Power delivery to the moving object tolerance reaches 10% at most, while, in non-overlapped scenarios, it is approximately 50%. In addition, according to the theoretical calculations, printed circuit coils (PCB) for the array are designed for maximum efficiency. We found that the change in distance and dimensions of the receiver coil has a linear effect on power and efficiency. Moreover, a Specific Absorption Rate (SAR) simulation was performed for biocompatibility. In this paper, we investigate and record a 68% electrical power efficiency for the fabricated system. The array consists of eight transmitters coils of the same size and shape and a receiver coil at a distance of 4 cm. Furthermore, the fabricated coil has shown improved efficiency compared to similar studies in the literature and introduces a promising structure for bio-test applications. Full article
Show Figures

Figure 1

21 pages, 9164 KB  
Article
Solving Generalized Polyomino Puzzles Using the Ising Model
by Kazuki Takabatake, Keisuke Yanagisawa and Yutaka Akiyama
Entropy 2022, 24(3), 354; https://doi.org/10.3390/e24030354 - 28 Feb 2022
Cited by 13 | Viewed by 7703
Abstract
In the polyomino puzzle, the aim is to fill a finite space using several polyomino pieces with no overlaps or blanks. Because it is an NP-complete combinatorial optimization problem, various probabilistic and approximated approaches have been applied to find solutions. Several previous studies [...] Read more.
In the polyomino puzzle, the aim is to fill a finite space using several polyomino pieces with no overlaps or blanks. Because it is an NP-complete combinatorial optimization problem, various probabilistic and approximated approaches have been applied to find solutions. Several previous studies embedded the polyomino puzzle in a QUBO problem, where the original objective function and constraints are transformed into the Hamiltonian function of the simulated Ising model. A solution to the puzzle is obtained by searching for a ground state of Hamiltonian by simulating the dynamics of the multiple-spin system. However, previous methods could solve only tiny polyomino puzzles considering a few combinations because their Hamiltonian designs were not efficient. We propose an improved Hamiltonian design that introduces new constraints and guiding terms to weakly encourage favorable spins and pairs in the early stages of computation. The proposed model solves the pentomino puzzle represented by approximately 2000 spins with >90% probability. Additionally, we extended the method to a generalized problem where each polyomino piece could be used zero or more times and solved it with approximately 100% probability. The proposed method also appeared to be effective for the 3D polycube puzzle, which is similar to applications in fragment-based drug discovery. Full article
(This article belongs to the Special Issue Ising Model: Recent Developments and Exotic Applications)
Show Figures

Figure 1

14 pages, 1583 KB  
Article
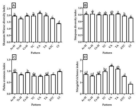
Shrub Diversity and Niche Characteristics in the Initial Stage of Reconstruction of Low-Efficiency Cupressus funebris Stands
by Yang Wang, Silu Chen, Wenchun He, Jingjing Ren, Xiaochen Wen, Yu Wang, Xianwei Li, Gang Chen, Maosong Feng and Chuan Fan
Forests 2021, 12(11), 1492; https://doi.org/10.3390/f12111492 - 29 Oct 2021
Cited by 13 | Viewed by 3113
Abstract
The upper reaches of the Yangtze River are a very important ecological barrier in China, but the ecological benefits of large-scale Cupressus funebris Endl.plantations are low. This study investigated 12 plantations of different compositions and densities, including two densities of Cinnamomum septentrionale Hand.-Mazz. [...] Read more.
The upper reaches of the Yangtze River are a very important ecological barrier in China, but the ecological benefits of large-scale Cupressus funebris Endl.plantations are low. This study investigated 12 plantations of different compositions and densities, including two densities of Cinnamomum septentrionale Hand.-Mazz. (Cs), Alnus cremastogyne Burk. (Ac), and Toona sinensis (A. Juss.) Roem. (Ts), and mixed plantations of Cs + Ac (CA), Ts + Cs (TC), Ts + Ac (TA), and Ac + Ts + Cs (ATC) and the cutting-blank (CB), and, at the same time, the unreconstructed pure C. funebris (Cf) forest was set as the control. We aimed to explore the influence mechanism of upper tree composition and density on shrub diversity, as well as the relationship between shrub diversity and niche. Our research results are as follows: (1) Among all the patterns, the TA, CA, and TC patterns are the most conducive to improving the diversity of shrubs. The composition and density of different trees have a great influence on the diversity of shrubs. (2) Niche is closely related to the diversity of shrubs. In the patterns of low niche overlap between dominant shrubs, the diversity of shrubs is greater. These results contribute to a deeper understanding of the relationship between the diversity of overstory and shrubs, and reveals the relationship between niche and diversity. Full article
(This article belongs to the Section Forest Biodiversity)
Show Figures

Figure 1

10 pages, 2221 KB  
Communication
Facile Method for Surface-Grafted Chitooligosaccharide on Medical Segmented Poly(ester-urethane) Film to Improve Surface Biocompatibility
by Yifan Liu, Zhengqi Liu, Ya Gao, Weiwei Gao, Zhaosheng Hou and Yuzheng Zhu
Membranes 2021, 11(1), 37; https://doi.org/10.3390/membranes11010037 - 4 Jan 2021
Cited by 15 | Viewed by 2944
Abstract
In the paper, the chitooligosaccharide (CHO) was surface-grafted on the medical segmented poly(ester-urethane) (SPU) film by a facile two-step procedure to improve the surface biocompatibility. By chemical treatment of SPU film with hexamethylene diisocyanate under mild reaction condition, free -NCO groups were first [...] Read more.
In the paper, the chitooligosaccharide (CHO) was surface-grafted on the medical segmented poly(ester-urethane) (SPU) film by a facile two-step procedure to improve the surface biocompatibility. By chemical treatment of SPU film with hexamethylene diisocyanate under mild reaction condition, free -NCO groups were first introduced on the surface with high grafting density, which were then coupled with -NH2 groups of CHO to immobilize CHO on the SPU surface (SPU-CHO). The CHO-covered surface was characterized by FT-IR and water contact angle test. Due to the hydrophilicity of CHO, the SPU-CHO possessed higher surface hydrophilicity and faster hydrolytic degradation rate than blank SPU. The almost overlapping stress-strain curves of SPU and SPU-CHO films demonstrated that the chemical treatments had little destruction on the intrinsic properties of the substrate. In addition, the significant inhibition of platelet adhesion and protein adsorption on CHO-covered surface endowed SPU-CHO an outstanding surface biocompatibility (especially blood compatibility). These results indicated that the CHO-grafted SPU was a promising candidate as blood-contacting biomaterial for biomedical applications. Full article
(This article belongs to the Special Issue Membrane Surface Modification and Functionalization)
Show Figures

Figure 1

15 pages, 9960 KB  
Article
Circumferential Material Flow in the Hydroforming of Overlapping Blanks
by Cong Han and Hao Feng
Metals 2020, 10(7), 864; https://doi.org/10.3390/met10070864 - 29 Jun 2020
Cited by 7 | Viewed by 3227
Abstract
The hydroforming of the overlapping blanks is a forming process where overlapping tubular blanks are used instead of tubes to enhance the forming limit and improve the thickness distribution. A distinguishing characteristic of the hydroforming of overlapping blanks is that the material can [...] Read more.
The hydroforming of the overlapping blanks is a forming process where overlapping tubular blanks are used instead of tubes to enhance the forming limit and improve the thickness distribution. A distinguishing characteristic of the hydroforming of overlapping blanks is that the material can flow along the circumferential direction easily. In this research, the circumferential material flow was investigated using overlapping blanks with axial constraints to study the circumferential material flow in the hydroforming of a variable-diameter part. AISI 304 stainless steel blanks were selected for numerical simulation and experimental research. The circumferential material flow distribution was obtained from the profile at the edge of the overlap. The peak value located at the middle cross-section. In addition, the circumferential material flow could be also reflected in the variation of the overlap angle. The variation of the overlap angle kept increasing as the initial overlap angle increased but the improvement of the thickness distribution did not. There was an optimal initial overlap angle to minimize the thinning ratio. An optimal thickness distribution was obtained when the initial angle was 120° for the hydroforming of the variable-diameter part with an expansion of 31.6%. Full article
(This article belongs to the Special Issue Latest Hydroforming Technology of Metallic Tubes and Sheets)
Show Figures

Figure 1

Back to TopTop